Sign in to use this feature.

Years

Between: -

Subjects

remove_circle_outline
remove_circle_outline
remove_circle_outline
remove_circle_outline
remove_circle_outline

Journals

Article Types

Countries / Regions

Search Results (16)

Search Parameters:
Keywords = pesticide firms

Order results
Result details
Results per page
Select all
Export citation of selected articles as:
25 pages, 295 KB  
Article
TSRS-Aligned Sustainability Reporting in Turkey’s Agri-Food Sector: A Qualitative Content Analysis Based on GRI 13 and the SDGs
by Efsun Dindar
Sustainability 2026, 18(2), 1085; https://doi.org/10.3390/su18021085 - 21 Jan 2026
Viewed by 84
Abstract
Sustainability in the agri-food sector has become a cornerstone of global efforts to combat climate change, ensure food security through climate-smart agriculture, and strengthen economic resilience. Sustainability reporting within agri-food systems has gained increasing regulatory significance with the introduction of mandatory frameworks such [...] Read more.
Sustainability in the agri-food sector has become a cornerstone of global efforts to combat climate change, ensure food security through climate-smart agriculture, and strengthen economic resilience. Sustainability reporting within agri-food systems has gained increasing regulatory significance with the introduction of mandatory frameworks such as the Turkish Sustainability Reporting Standards (TSRSs). This article searches for the sustainability reports of agri-business firms listed in BIST in Turkey. Although TSRS reporting is not yet mandatory for the agribusiness sector, this study examines the first TSRS-aligned sustainability reports published by eight agri-food companies, excluding the retail sector. The analysis assesses how effectively these reports address sector-specific environmental and social challenges defined in the GRI 13 Agriculture, Aquaculture and Fishing Sector Standard and their alignment with the United Nations Sustainable Development Goals (SDGs). Using a structured content analysis approach, disclosure patterns were examined at both thematic and company levels. The findings indicate that TSRS-aligned reports place strong emphasis on environmental and climate-related disclosures, particularly emissions, climate adaptation and resilience, water management, and waste. In contrast, agro-ecological and land-based impacts—such as soil health, pesticide use, and ecosystem conversion—are weakly addressed. Economic disclosures are predominantly framed around climate-related financial risks and supply chain traceability, while social reporting focuses mainly on occupational health and safety, employment practices, and food safety, with limited attention to labor and equity issues across the broader value chain. Company-level results reveal marked heterogeneity, with internationally active firms demonstrating deeper alignment with GRI 13 requirements. From an SDG alignment perspective, high levels of coverage are observed across all companies for SDG 13 (Climate Action), SDG 12 (Responsible Consumption and Production), and SDG 6 (Clean Water and Sanitation). By contrast, SDGs critical to agro-ecological integrity and social equity—namely SDG 1 (No Poverty), SDG 2 (Zero Hunger), SDG 10 (Reduced Inequalities), and SDG 15 (Life on Land)—are weakly represented or entirely absent. Overall, the results suggest that while TSRS-aligned reporting enhances transparency in climate-related domains, it achieves only selective alignment with the SDG agenda. This underscores the need for a stronger integration of sector-specific sustainability priorities into mandatory sustainability reporting frameworks. Full article
(This article belongs to the Section Environmental Sustainability and Applications)
28 pages, 2243 KB  
Article
Does China’s Zero Growth Policy Promote Green Enterprise Entry? Evidence from the Agricultural Input Sector
by Yuxian Lin, Jingxuan Dong, Naiwen Kang and Zhen Yan
Agriculture 2025, 15(17), 1804; https://doi.org/10.3390/agriculture15171804 - 23 Aug 2025
Cited by 1 | Viewed by 1510
Abstract
Against the backdrop of global commitments to sustainable development and carbon neutrality objectives, the agricultural sector faces compelling imperatives to transition toward environmentally sustainable and resource-efficient production systems. Focusing on the critical role of agricultural inputs, this study investigates how China’s Zero Growth [...] Read more.
Against the backdrop of global commitments to sustainable development and carbon neutrality objectives, the agricultural sector faces compelling imperatives to transition toward environmentally sustainable and resource-efficient production systems. Focusing on the critical role of agricultural inputs, this study investigates how China’s Zero Growth Policy for Fertilizer and Pesticide Use (ZGP), implemented in 2015, influences green transformation in the agricultural inputs sector through a quasi-natural experiment framework. Employing a staggered difference-in-differences (DID) design with comprehensive nationwide firm registration data from 2013 to 2020, we provide novel micro-level evidence on environmental regulation’s market-shaping effects. Our findings demonstrate that the ZGP significantly enhances green market selection, stimulating entry of environmentally certified firms, with effect heterogeneity revealing policy impacts are attenuated in manufacturing-intensive regions due to green entry barriers, while being amplified in major grain-producing areas and more market-oriented regions. Mechanism analyses identify three key transmission channels: intensified regulatory oversight, heightened public environmental awareness, and growing market demand for sustainable inputs. Furthermore, the policy has induced structural transformation within the industry, progressively increasing green enterprises’ market share. These results offer valuable insights for designing targeted environmental governance mechanisms to facilitate sustainable transitions in agricultural input markets. Full article
(This article belongs to the Section Agricultural Economics, Policies and Rural Management)
Show Figures

Figure 1

26 pages, 389 KB  
Article
From Greenwashing to Sustainability: The Mediating Effect of Green Innovation in the Agribusiness Sector on Financial Performance
by Zhongping Wang and Xiaoying Tian
Agriculture 2025, 15(12), 1316; https://doi.org/10.3390/agriculture15121316 - 19 Jun 2025
Cited by 2 | Viewed by 3639
Abstract
This study analyses the impact of agricultural greenwashing on financial performance via green innovation. To this end, it employs data from Chinese A-share agribusinesses from 2012 to 2022. The study indicates the following results: (1) the practice of greenwashing (ESG disclosure–performance gap, GW) [...] Read more.
This study analyses the impact of agricultural greenwashing on financial performance via green innovation. To this end, it employs data from Chinese A-share agribusinesses from 2012 to 2022. The study indicates the following results: (1) the practice of greenwashing (ESG disclosure–performance gap, GW) has a significant negative impact on ROA, particularly in non-state firms; (2) green innovation (patents, GI) partially mediates this relationship, with a percentage of 9.09%, as GW diverts research and development resources toward image management. Robustness checks are employed to confirm the results obtained using ROE and lagged models. Property rights moderate the effects: non-state firms are more adversely affected by innovation dependency, while state firms are protected by policies. The “double-edged” mechanism elucidates GW’s short-term legitimacy gains in contrast to long-term innovation suppression and financial decline. The report calls for the establishment of standardised ESG metrics (for example, the disclosure of pesticide residue) and targeted green incentives (for example, SME R&D subsidies) to be aligned with UN SDGs 9.4 (green tech) and 12.6 (responsible production). The present study offers insights into the governance of environmental, social, and governance (ESG) matters within the context of agriculture in China. Full article
(This article belongs to the Section Agricultural Economics, Policies and Rural Management)
Show Figures

Figure 1

14 pages, 1164 KB  
Article
Alternative Plant Protection Strategies Using Bacteria and Thyme to Improve Strawberry (cv. Elsanta) Yield and Quality
by Neringa Rasiukevičiūtė, Armina Morkeliūnė, Ingrida Mažeikienė, Juozas Lanauskas and Alma Valiuškaitė
Plants 2025, 14(12), 1827; https://doi.org/10.3390/plants14121827 - 14 Jun 2025
Cited by 2 | Viewed by 1000
Abstract
Alternative plant protection methods should be promoted to mitigate the dangers and consequences of using chemical pesticides, ensuring a safe environment and protecting human health (Directive 2009/128/EC). One of the objectives of the EU organic production action plan is to provide substitutes for [...] Read more.
Alternative plant protection methods should be promoted to mitigate the dangers and consequences of using chemical pesticides, ensuring a safe environment and protecting human health (Directive 2009/128/EC). One of the objectives of the EU organic production action plan is to provide substitutes for plant protection methods, decrease the adverse effects on the environment, and promote the diversity of living organisms. The use of synthetic and non-organic chemicals has significantly expanded, damaging human health and the environment. This study aimed to evaluate alternative plant protection solutions for the improvement of the strawberry cv. Elsanta plant’s generative development, yield, fruit quality, and biochemical composition. The two-year strawberry experiment conducted in a tunnel greenhouse included chemical and biological means (Bacteria and Thyme preparations). The experiment randomised a block design with four replicates and 32 plants per replicate. The treatments were conducted at the 10% flowering state (BBCH 61–65), every 7–10 days (a total of four times): (1) Control, (2) Chemical, (3) Bacteria, and (4) Thyme. We evaluated the yield, fruit weight, size, number of leaves, crowns, flowers, inflorescences, fruit firmness, soluble solids, and Vitamin C. The highest fruit weight at the first picking was in the Bacteria treatment. The number of rotten fruits was similar after all treatments. Additionally, they were firmer and bigger in size but had a smaller soluble solids content. The strawberry ascorbic acid and soluble solids content (Brix %) showed significant variation. The highest ascorbic acid concentration in the fruit was after the Thyme application (45.06%). Our study showed that alternative plant protection measures can reduce the use of chemical fungicides and maintain proper fruit quality. Full article
Show Figures

Figure 1

16 pages, 6303 KB  
Article
Physical-Chemical Characterization of Fruit Harvested at Different Maturity Stages of Grafted Yellow Pitahaya (Selenicereus megalanthus Haw.)
by Jessica Sanmiguel, Valdemar Andrade, Yadira Vargas-Tierras, Iván Samaniego, Fernando Paredes-Arcos, Wilson Vásquez-Castillo and William Viera-Arroyo
Plants 2025, 14(2), 178; https://doi.org/10.3390/plants14020178 - 10 Jan 2025
Cited by 3 | Viewed by 2721
Abstract
The physicochemical properties of fruits at different maturity stages using grafting technology are of great importance since grafting can alter the nutritional and functional parameters of the fruit. In this study, grafted yellow pitahaya (Selenicereus megalanthus Haw.) fruit, grown on live tutors, [...] Read more.
The physicochemical properties of fruits at different maturity stages using grafting technology are of great importance since grafting can alter the nutritional and functional parameters of the fruit. In this study, grafted yellow pitahaya (Selenicereus megalanthus Haw.) fruit, grown on live tutors, was evaluated from stages 0 to 5. The following response variables were recorded: fruit weight, diameter, and length; pulp weight with seed and peel; color; firmness; total soluble solids content; titratable acidity; pH; total flavonoid content; total polyphenol content; and antioxidant activity determined using FRAP and ABTS. The results show that fruits harvested from grafted plants have better physical characteristics such as fruit weight, diameter, and length. However, the total soluble solids content and titratable acidity were similar in fruits from grafted and ungrafted plants. The highest content of total polyphenols, flavonoids, and antioxidant activity determined by ABTS and FRAP were found in fruits at maturity stage 0, and the content decreased as the fruits ripened. A positive correlation was found between the total polyphenol content, total flavonoid content, and antioxidant capacity with protein content. The S. megalanthus grafting technique is a promising technology for sustainable production because it reduces pesticide use by combatting soil pathogens and not modifying fruit quality. Full article
Show Figures

Figure 1

16 pages, 318 KB  
Article
Efficiency of the Integrated Production Systems: Evidence from the Winegrowing Firms in Italy
by Ruggiero Sardaro, Daniela Panio, Paweł Chmieliński and Piermichele La Sala
Sustainability 2024, 16(11), 4726; https://doi.org/10.3390/su16114726 - 1 Jun 2024
Viewed by 1603
Abstract
In Italy, the environmental sustainability of the agricultural sector is regulated by the National Integrated Production Quality System. It is the foundation of the regional Integrated Production Regulations (IPRs), which identify voluntary agronomic strategies on the use of pesticides, fertilisers, and irrigation water, [...] Read more.
In Italy, the environmental sustainability of the agricultural sector is regulated by the National Integrated Production Quality System. It is the foundation of the regional Integrated Production Regulations (IPRs), which identify voluntary agronomic strategies on the use of pesticides, fertilisers, and irrigation water, as well as on soil and plant management. The aim is a reduction in the environmental impacts of the agricultural processes and an increase in the production quality. However, the direct relationship between environmental and economic sustainability of the regional IPRs is not obvious and its absence could weaken the economic efficiency of firms. The study, through the stochastic frontier (SF) method, investigates the possible inefficiencies of the regional winegrowing firms that voluntarily adhere to the Apulian IPRs. The results highlight that some measures in the IPRs aimed at preserving the local agroecosystems (soil management and use of resistant varieties) are efficient, therefore allowing for an increase in the production value and quality. On the contrary, crucial measures concerning the management of irrigation water and pesticides decrease efficiency. Thus, more thoughtful measures are requested by policy makers to improve the economic impacts of the regional IPRs on firms and to make possible a certain convergence between environmental and economic sustainability. Full article
(This article belongs to the Special Issue Sustainable Agriculture and Agri-Food)
17 pages, 3828 KB  
Article
Efficacy of Essential Oil Vapours in Reducing Postharvest Rots and Effect on the Fruit Mycobiome of Nectarines
by Giulia Remolif, Fabio Buonsenso, Giada Schiavon, Marco Garello and Davide Spadaro
J. Fungi 2024, 10(5), 341; https://doi.org/10.3390/jof10050341 - 8 May 2024
Cited by 14 | Viewed by 2501
Abstract
Nectarines can be affected by many diseases, resulting in significant production losses. Natural products, such as essential oils (EOs), are promising alternatives to pesticides to control storage rots. This work aimed to test the efficacy of biofumigation with EOs in the control of [...] Read more.
Nectarines can be affected by many diseases, resulting in significant production losses. Natural products, such as essential oils (EOs), are promising alternatives to pesticides to control storage rots. This work aimed to test the efficacy of biofumigation with EOs in the control of nectarine postharvest diseases while also evaluating the effect on the quality parameters (firmness, total soluble solids, and titratable acidity) and on the fruit fungal microbiome. Basil, fennel, lemon, oregano, and thyme EOs were first tested in vitro at 0.1, 0.5, and 1.0% concentrations to evaluate their inhibition activity against Monilinia fructicola. Subsequently, an in vivo screening trial was performed by treating nectarines inoculated with M. fructicola, with the five EOs at 2.0% concentration by biofumigation, performed using slow-release diffusers placed inside the storage cabinets. Fennel, lemon, and basil EOs were the most effective after storage and were selected to be tested in efficacy trials using naturally infected nectarines. After 28 days of storage, all treatments showed a significant rot reduction compared to the untreated control. Additionally, no evident phytotoxic effects were observed on the treated fruits. EO vapors did not affect the overall quality of the fruits but showed a positive effect in reducing firmness loss. Metabarcoding analysis showed a significant impact of tissue, treatment, and sampling time on the fruit microbiome composition. Treatments were able to reduce the abundance of Monilinia spp., but basil EO favored a significant increase in Penicillium spp. Moreover, the abundance of other fungal genera was found to be modified. Full article
(This article belongs to the Special Issue New Perspectives on Brown Rot Fungi)
Show Figures

Figure 1

25 pages, 2611 KB  
Article
Effect of Storage Conditions on the Storability and Nutritional Value of New Polish Apples Grown in Central Poland
by Andrii Kistechok, Dariusz Wrona and Tomasz Krupa
Agriculture 2024, 14(1), 59; https://doi.org/10.3390/agriculture14010059 - 28 Dec 2023
Cited by 6 | Viewed by 5290
Abstract
The aim of this study is to assess the storability and nutritional value of new Polish apple cultivars recommended for cultivation after storage under low-oxygen atmospheric conditions (ULO and DCA). Fruit characteristics of ‘Chopin’ and clone ‘JB’ were evaluated in relation to commonly [...] Read more.
The aim of this study is to assess the storability and nutritional value of new Polish apple cultivars recommended for cultivation after storage under low-oxygen atmospheric conditions (ULO and DCA). Fruit characteristics of ‘Chopin’ and clone ‘JB’ were evaluated in relation to commonly grown apple cultivars. Fruits of six selected apple cultivars were stored for a period of 9 months in conventional (0.04% CO2: 21% O2), Ultra-Low Oxygen (1.5% CO2: 1.5% O2), and Dynamic Controlled Atmosphere (0.6% CO2: 0.6% O2) cold storage. Physicochemical characteristics of the apples (firmness, soluble solids, acidity, and fibre content), nutritional and antioxidant values of the fruit (P, K, Ca, Mg, Fe, Cu, Zn, total polyphenols, total flavonoids, and antioxidant capacity), and safety of consumption (residues of pesticides) were assessed. The new cultivar ‘Chopin’ and clone ‘JB’ were characterised by above-average acidity and clone ‘JB’ stood out in terms of antioxidant properties. Storage in a low-oxygen atmosphere in DCA was more effective in limiting fruit ripening than conventional cold storage, contributing to the preservation of the high potential of biologically active compounds in the apples. Apples after 9 months of storage were characterised by higher firmness (from 3.5 to 14 N), higher total polyphenol content in the flesh (from 8 to 23 mg∙100 g−1 FW) and peel (from 32 to 97 mg∙100 g−1 FW), as well as higher antioxidant capacity in the flesh (from 15 to 37 mg AAE∙100 g−1 FW) and peel (from 28 to 59 mg AAE∙100 g−1 FW) when stored in DCA compared to cold storage. Full article
Show Figures

Figure 1

19 pages, 5123 KB  
Article
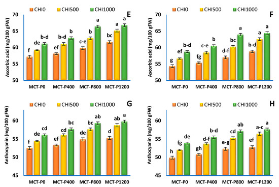
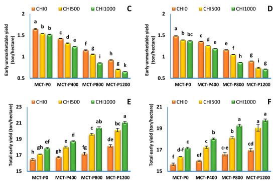
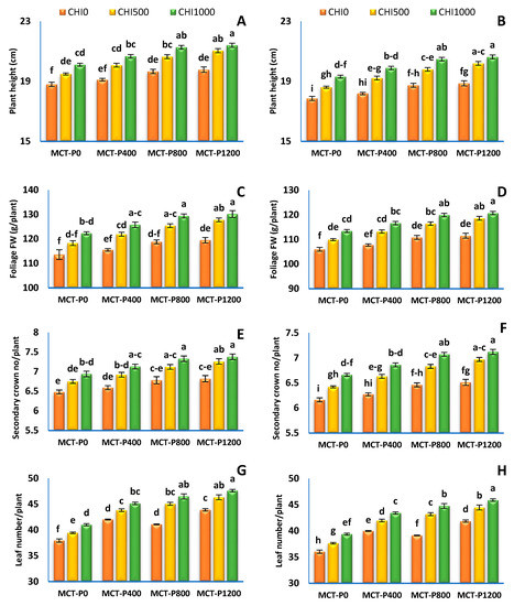
Effect of Chitosan and Micro-Carbon-Based Phosphorus Fertilizer on Strawberry Growth and Productivity
by El-Saied E. Metwaly, Arwa Abdulkreem AL-Huqail, Saad Farouk and Genesia F. Omar
Horticulturae 2023, 9(3), 368; https://doi.org/10.3390/horticulturae9030368 - 10 Mar 2023
Cited by 13 | Viewed by 3081
Abstract
High fertilization rates and pesticides are required for the intensive production of strawberries, which offer several therapeutic health benefits. Recently, chitosan (CHI), and phosphorus fertilizer based on Micro Carbon TechnologyTM (MCT-P) were applied to encourage strawberry sustainable production and enhance phosphorus-use efficiency. [...] Read more.
High fertilization rates and pesticides are required for the intensive production of strawberries, which offer several therapeutic health benefits. Recently, chitosan (CHI), and phosphorus fertilizer based on Micro Carbon TechnologyTM (MCT-P) were applied to encourage strawberry sustainable production and enhance phosphorus-use efficiency. Field trials were conducted throughout 2020/2021 and 2021/2022, to evaluate the effectiveness of MCT–P and CHI in improving strawberry cv. Fortuna growth and yield as well as their quality. Foliar spraying of CHI and MCT-P considerably improved strawberry plant growth (i.e., plant height, secondary crown number per plant, leaf number and area per plant, and foliage fresh weight), photosynthetic pigment concentration (chlorophylla, chlorophyllb, and carotenoids), as well as its yield and quality (early fruit yield, total yield, average fruit weight, fruit firmness, fruit dry matter %, soluble solid content, total sugars (%), ascorbic acid, acidity, and anthocyanin). Compared to untreated plants, 1200 mgL−1 MCT-P and 1000 mg/L CHI supplementation was the most effective concentration for improving all studied characteristics. The interaction between CHI and MCT-P had a greater impact on all examined characteristics. It is recommended to spray strawberry cv. Fortuna with 1200 mg/L MCT-P plus 1000 mg/L CHI every two weeks, from 60 days after transplanting until two weeks before the end of harvesting season for the best fruit yield and quality. Full article
(This article belongs to the Section Fruit Production Systems)
Show Figures

Figure 1

19 pages, 2806 KB  
Article
Exploring the Plant Growth-Promotion of Four Streptomyces Strains from Rhizosphere Soil to Enhance Cucumber Growth and Yield
by Ayman F. Omar, Adil H. A. Abdelmageed, Ahmad Al-Turki, Noha M. Abdelhameid, R. Z. Sayyed and Medhat Rehan
Plants 2022, 11(23), 3316; https://doi.org/10.3390/plants11233316 - 1 Dec 2022
Cited by 51 | Viewed by 5628
Abstract
The genus Streptomyces is the most abundant and essential microbes in the soil microbial community. Streptomyces are familiar and have great potential to produce a large variety of bioactive compounds. This genus considers an efficient biofertilizer based on its plant growth-promoting activities. Based [...] Read more.
The genus Streptomyces is the most abundant and essential microbes in the soil microbial community. Streptomyces are familiar and have great potential to produce a large variety of bioactive compounds. This genus considers an efficient biofertilizer based on its plant growth-promoting activities. Based on their ability to produce a wide varieties of bioactive molecules, the present study aimed to explore the potential plant growth promotion of four Streptomyces strains and their role in enhancing cucumber growth and yield under greenhouse conditions. Streptomyces sp. strain HM2, Streptomyces thinghirensis strain HM3, Streptomyces sp. strain HM8, and Streptomyces tricolor strain HM10 were chosen for the current study. Plant growth-promoting (PGP) features, i.e., indole acetic acid (IAA) production, siderophore excretion, and solubilizing phosphate, were evaluated in vitro. All four strains produced IAA, siderophore, and immobilized inorganic phosphate. Following 4 days of incubation at 30 °C, strains HM2, HM3, HM8, and HM10 produced copious amounts of IAA (18, 22, 62, and 146 µg/mL, respectively) and siderophores (42.59, 40.01, 16.84, 64.14% SU, respectively). At the same time, P solubilization efficacy scored 64.3%, 84.4%, 57.2%, and 81.6% with the same frequency. During in planta evaluation, selected Streptomyces strains combined with rock phosphate were assessed as biofertilizers on the growth and yield of cucumber plants. Under all treatments, positive and significant differences in studied traits were manifested except dry stem matter (SDM), net assimilation rate (NAR), relative growth rate (RGR), and fruit firmness (FF). Treatment T4 (rock phosphate + strain HM3) followed by T5 (rock phosphate + strain HM8) revealed the best results for plant height (PH), number of leaves per plant (NLPP), root length (RL), number of fruits per plant (NFPP), fruit length (FL), fruit diameter (FD), fruit fresh weight per plant (FFWPP), soil P (SP) after 21 DAT, and soil P at the end of the experiment. Notably, T6 (rock phosphate + strain HM10) caused a considerable increase in leaf area (LA). Plant growth-promoting bacteria enhance plant growth and yield through phosphorus solubilizing, improve nutrient availability, produce phytohormones, and support plant growth under abiotic stress. These features are important for sustainable agriculture and reducing environmental pollution with chemical fertilizers and pesticides. Full article
(This article belongs to the Special Issue Plant Growth Promoting Bacteria)
Show Figures

Figure 1

12 pages, 2232 KB  
Article
The Effect of the Method of Plant Protection on the Quality of Remontant Strawberry Cultivars Grown in a Gutter System under Covers
by Jan Błaszczyk, Jacek Nawrocki and Grzegorz P. Łysiak
Agriculture 2022, 12(12), 2041; https://doi.org/10.3390/agriculture12122041 - 29 Nov 2022
Cited by 3 | Viewed by 2547
Abstract
To maintain a constant supply of fresh fruit from May to November, producers increase the area of strawberry cultivation under shelters and grow strawberries that repeat fruiting. An additional problem is the reduction of available pesticides caused by the recommendations of the European [...] Read more.
To maintain a constant supply of fresh fruit from May to November, producers increase the area of strawberry cultivation under shelters and grow strawberries that repeat fruiting. An additional problem is the reduction of available pesticides caused by the recommendations of the European Green Deal. For these reasons, the authors undertook to compare cultivars to determine which had the best quality fruits and whichplant wasmost resistant to the most dangerous pests.The purpose of this study was to evaluate the effect of the method of plant protection on the health and quality of the fruit yield of three remontant strawberry cultivars grown in a soilless medium. This study evaluated fruit yield and fruit quality as well as the contribution of pathogens to yield losses. For this purpose, standard phytopathological methods were used to identify the causes of disease symptoms on the fruit. At the same time, laboratory tests were carried out on the quality of the harvested strawberries, i.e., firmness and acidity of the fruit, soluble solids content, and respiration rate. The applied protection methods had little effect on the marketable yield and fruit size but had a significant impact on reducing fruit losses caused by the most common diseases. The effectiveness of individual protection methods inreducing the incidence of the tested pathogens and the effect on fruit quality parameters depended on the cultivar and growing season. Full article
(This article belongs to the Special Issue The Impact of Environmental Factors on Fruit Quality)
Show Figures

Figure 1

16 pages, 457 KB  
Article
Impact of Government Policies on Research and Development (R&D) Investment, Innovation, and Productivity: Evidence from Pesticide Firms in China
by Ruifa Hu, Changxin Yu, Yanhong Jin, Carl Pray and Haiyan Deng
Agriculture 2022, 12(5), 709; https://doi.org/10.3390/agriculture12050709 - 17 May 2022
Cited by 12 | Viewed by 4543
Abstract
China’s pesticide industry has played an important role in the growth of agricultural productivity in both China and worldwide, but its development is hampered by production inefficiency and the lack of innovation of active ingredients. To improve innovation and the productivity of the [...] Read more.
China’s pesticide industry has played an important role in the growth of agricultural productivity in both China and worldwide, but its development is hampered by production inefficiency and the lack of innovation of active ingredients. To improve innovation and the productivity of the pesticide industry, the Chinese government has implemented a series of policies to stimulate private research and development (R&D) and firm innovation. Using the firm-level panel data of the Annual Survey of Industrial Firms (ASIF) collected by the National Bureau of Statistics in 2001–2007, this study examines the linkages between R&D investment, innovation, and productivity with a focus on the role of government policies. The results show that pesticide firms with a higher intensity of R&D investment were associated with a higher patent intensity, and more innovated firms were associated with a higher productivity. Public research, intellectual property enforcement, production subsidy, foreign direct investment (FDI), and being export oriented were positively associated with the innovation and productivity of pesticide firms. Full article
Show Figures

Figure 1

14 pages, 3528 KB  
Article
Impacts of Imidacloprid and Flupyradifurone Insecticides on the Gut Microbiota of Bombus terrestris
by Qingchao Zhang, Qinglin Wang, Yifan Zhai, Hao Zheng and Xiaofei Wang
Agriculture 2022, 12(3), 389; https://doi.org/10.3390/agriculture12030389 - 10 Mar 2022
Cited by 22 | Viewed by 5322
Abstract
Bumblebees are important pollinators for crops and wild flowering plants. Various pesticides have threatened the abundance and diversity of bumblebees. In addition to direct sublethal effects, pesticides may alter the gut microbial communities of bees. Imidacloprid and flupyradifurone insecticides both bind to the [...] Read more.
Bumblebees are important pollinators for crops and wild flowering plants. Various pesticides have threatened the abundance and diversity of bumblebees. In addition to direct sublethal effects, pesticides may alter the gut microbial communities of bees. Imidacloprid and flupyradifurone insecticides both bind to the nicotinic acetylcholine receptor. However, the latter was assumed to be harmless for honeybees and can even be applied to flowering crops. In this study, we assessed the impacts of these two pesticides on queenless microcolonies and the gut microbiota of Bombus terrestris. We found that 10 μg/L imidacloprid significantly impeded syrup consumption, and postponed the egg-laying period, larvae, and pupae development. It decreased the relative abundance of the bumblebee-specific symbionts, Apibacter and Lactobacillus Firm-5. On the contrary, 10 μg/L flupyradifurone did not reduce syrup consumption, block larvae and pupae development in bumblebees. Although no significant phenotypes were observed, PICRUST revealed that flupyradifurone suppressed pathways, involving carbohydrate metabolism, nucleotide metabolism, translation, and membrane transport. Our findings suggest the appropriate use of this new pesticide may be considered safe for bumblebees, but the underlying mechanism warrants further investigation. Full article
(This article belongs to the Special Issue Genomes, Molecular Breeding and Conservation of Bumblebee)
Show Figures

Figure 1

15 pages, 1236 KB  
Article
Does Backward Integration Improve Food Safety of the Tea Industry in China in the Post-COVID-19 Era?
by Huashu Wang, Zhenyi Li and H. Holly Wang
Sustainability 2022, 14(4), 2323; https://doi.org/10.3390/su14042323 - 18 Feb 2022
Cited by 1 | Viewed by 3738
Abstract
China is the largest tea producer in the world; however, tea quality and safety issues have caught broad attention due to pesticide overuse in the growing stage. In order to control the quality and safety of their raw inputs, tea-processing firms in China [...] Read more.
China is the largest tea producer in the world; however, tea quality and safety issues have caught broad attention due to pesticide overuse in the growing stage. In order to control the quality and safety of their raw inputs, tea-processing firms in China are expanding their own plantations. Does this backward integration (BI) improve the food safety performance of the tea firms in China? Based on the transaction cost theory, we empirically investigate the effect of tea firms’ BI on their food safety performances, using data from 246 tea firms collected via an online survey in 2021. Controlling the basic background situation and firms’ characteristics, the empirical regression results, when controlling for the self-selection bias, support the hypothesis that BI can improve the food safety performance of the tea industry when it reaches the effective integration level, specifically, 80% or higher. Other factors include that the private brand and asset share of the plantation would also help reduce the firms’ food safety problems. Therefore, the government may consider supporting firms’ BI in the development of tea plantations through one-time subsidies and/or land and labor coordination, so as to improve the food safety situation and industry efficiency. Full article
(This article belongs to the Special Issue Management Science in the Context of Sustainability in Agrifood)
Show Figures

Figure 1

17 pages, 2055 KB  
Article
Impact of Exclusion Netting Row Covers on ‘Honeycrisp’ Apple Trees Grown under Northeastern North American Conditions: Effects on Photosynthesis and Fruit Quality
by Gérald Chouinard, Jonathan Veilleux, Francine Pelletier, Mikael Larose, Vincent Philion, Valentin Joubert and Daniel Cormier
Insects 2019, 10(7), 214; https://doi.org/10.3390/insects10070214 - 19 Jul 2019
Cited by 18 | Viewed by 5344
Abstract
Exclusion nets have been used successfully to protect fruit from insect pests of apples under various conditions, but the effect of each particular netting system on the plant itself has rarely been investigated. In this study, a complete exclusion system—in which the soil [...] Read more.
Exclusion nets have been used successfully to protect fruit from insect pests of apples under various conditions, but the effect of each particular netting system on the plant itself has rarely been investigated. In this study, a complete exclusion system—in which the soil is also excluded—was used to grow ‘Honeycrisp’ apples for six years in southern Quebec, Canada. Abiotic conditions, as well as plant photosynthesis and fruit quality characteristics (colour, firmness, size, sugar content, number of seeds, ripeness and skin integrity) and yield were estimated yearly and compared in netted (either with or without a rainproof top) and unnetted row units. Although annual variations were high and results showed little or no difference between netted and unnetted rows for all measured variables, with the following exceptions; colour (increased red surface on fruits from unnetted rows some years), size (fruits from unnetted rows were smaller) and maturity (fruits from unnetted rows matured slightly faster). Fruits produced under nets had fewer microcracks at the surface than fruits produced without nets. Reduced cracking possibly helped decrease sooty blotch and flyspeck incidence and severity. Impacts for pest control and prospects for pesticide-free production are discussed. Full article
(This article belongs to the Special Issue Pest Control in Fruit Trees)
Show Figures

Figure 1

Back to TopTop