Sign in to use this feature.

Years

Between: -

Subjects

remove_circle_outline
remove_circle_outline
remove_circle_outline
remove_circle_outline
remove_circle_outline
remove_circle_outline
remove_circle_outline
remove_circle_outline
remove_circle_outline

Journals

remove_circle_outline
remove_circle_outline
remove_circle_outline
remove_circle_outline
remove_circle_outline
remove_circle_outline
remove_circle_outline
remove_circle_outline
remove_circle_outline
remove_circle_outline
remove_circle_outline
remove_circle_outline
remove_circle_outline
remove_circle_outline
remove_circle_outline

Article Types

Countries / Regions

remove_circle_outline
remove_circle_outline
remove_circle_outline
remove_circle_outline
remove_circle_outline
remove_circle_outline

Search Results (677)

Search Parameters:
Keywords = permutation analysis

Order results
Result details
Results per page
Select all
Export citation of selected articles as:
22 pages, 2143 KB  
Article
Coarse-Grained Drift Fields and Attractor-Basin Entropy in Kaprekar’s Routine
by Christoph D. Dahl
Entropy 2026, 28(1), 92; https://doi.org/10.3390/e28010092 - 12 Jan 2026
Abstract
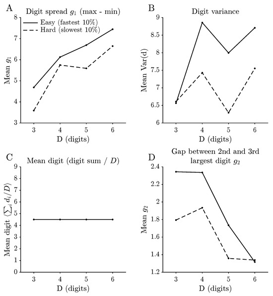
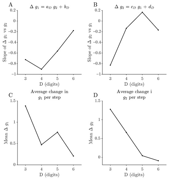
Kaprekar’s routine, i.e., sorting the digits of an integer in ascending and descending order and subtracting the two, defines a finite deterministic map on the state space of fixed-length digit strings. While its attractors (such as 495 for D=3 and 6174 [...] Read more.
Kaprekar’s routine, i.e., sorting the digits of an integer in ascending and descending order and subtracting the two, defines a finite deterministic map on the state space of fixed-length digit strings. While its attractors (such as 495 for D=3 and 6174 for D=4) are classical, the global information-theoretic structure of the induced dynamics and its dependence on the digit length D have received little attention. Here an exhaustive analysis is carried out for D{3,4,5,6}. For each D, all states are enumerated and the transition structure is computed numerically; attractors and convergence distances are obtained, and the induced distribution over attractors across iterations is used to construct “entropy funnels”. Despite the combinatorial growth of the state space, average distances remain small and entropy decays rapidly before entering a slow tail. Permutation symmetry is then exploited by grouping states into digit multisets and, in a further reduction, into low-dimensional digit-gap features. On this gap space, a first-order Markov approximation is empirically estimated by counting one-step transitions induced by the exhaustively enumerated deterministic map. From the resulting empirical transition matrix, drift fields and the stationary distribution are computed numerically. These quantities serve as descriptive summaries of the projected dynamics and are not derived in closed form. Full article
(This article belongs to the Section Complexity)
Show Figures

Figure 1

23 pages, 7071 KB  
Article
Role of Morpho-Phenological Traits in Passive Resistance to Fusarium Head Blight in Wheat
by Shayan Syed, Žilvinas Liatukas and Andrii Gorash
Agriculture 2026, 16(2), 188; https://doi.org/10.3390/agriculture16020188 - 12 Jan 2026
Abstract
Fusarium head blight (FHB) is a serious concern for wheat production worldwide. The current study was conducted to identify morpho-phenological traits that contribute to passive resistance against FHB. For this purpose, a set of 332 spring wheat genotypes from different origins was used. [...] Read more.
Fusarium head blight (FHB) is a serious concern for wheat production worldwide. The current study was conducted to identify morpho-phenological traits that contribute to passive resistance against FHB. For this purpose, a set of 332 spring wheat genotypes from different origins was used. Eight morpho-phenological traits and FHB severity were evaluated using spray inoculation under field conditions in 2022 and 2023. A non-parametric test was performed to evaluate genotypic variation for all studied traits, revealing significant differences among genotypes across the two years. Correlation analysis demonstrated a strong negative association between FHB severity and phenological traits: days to heading (r = −0.43, p < 0.001), days to flowering (r = −0.39, p < 0.001) and a low to medium negative correlation between FHB resistance and spike length (r = −0.29, p < 0.001) and spikelets per spike (r = −0.26, p < 0.001) on average across two years. Furthermore, there was a significant negative but weak association between anther extrusion and FHB severity (r = −0.21, p < 0.001). Random forest regression analysis demonstrated that a complex of eight morpho-phenological traits predicted FHB severity with an accuracy of 65% in 2023 and 57% in cross-validation sets across two years. According to permutation importance analysis, days to flowering, heading, and anther extrusion had the highest contribution to FHB severity, and all three traits had a significant effect on FHB prediction. Full article
(This article belongs to the Section Crop Protection, Diseases, Pests and Weeds)
Show Figures

Figure 1

25 pages, 21050 KB  
Article
Predicting ESG Scores Using Machine Learning for Data-Driven Sustainable Investment
by Sanskruti Patel, Abhay Nath and Pranav Desai
Analytics 2026, 5(1), 7; https://doi.org/10.3390/analytics5010007 - 9 Jan 2026
Viewed by 99
Abstract
Environmental, social and governance (ESG) metrics increasingly inform sustainable investment yet suffer from inter-rater heterogeneity and incomplete reporting, limiting their utility for forward-looking allocation. In this study, we developed and validated a two-level stacked-ensemble machine-learning framework to predict total ESG risk scores for [...] Read more.
Environmental, social and governance (ESG) metrics increasingly inform sustainable investment yet suffer from inter-rater heterogeneity and incomplete reporting, limiting their utility for forward-looking allocation. In this study, we developed and validated a two-level stacked-ensemble machine-learning framework to predict total ESG risk scores for S&P 500 firms using a comprehensive feature set comprising pillar sub-scores, controversy measures, firm financials, categorical descriptors and geospatial environmental indicators. Data pre-processing combined median/mean imputation, one-hot encoding, normalization and rigorous feature engineering; models were trained with an 80:20 train–test split and hyperparameters tuned by k-fold cross-validation. The stacked ensemble substantially outperformed single-model baselines (RMSE = 1.006, MAE = 0.664, MAPE = 3.13%, R2 = 0.979, CV_RMSE_Mean = 1.383, CV_R2_Mean = 0.957), with LightGBM and gradient boosting as competitive comparators. Permutation importance and correlation analysis identified environmental and social components as primary drivers (environmental importance = 0.41; social = 0.32), with potential multicollinearity between component and aggregate scores. This study concludes that ensemble-based predictive analytics can produce reliable, actionable ESG estimates to enhance screening and prioritization in sustainable investment, while recommending human review for extreme predictions and further work to harmonize cross-provider score divergence. Full article
Show Figures

Figure 1

14 pages, 2120 KB  
Article
Sex-Specific Differences in Gut Microbiota Composition in Adult Patients with Bronchial Asthma
by Chihiro Hirano, Yutaka Kozu, Yusuke Jinno, Yusuke Kurosawa, Shiho Yamada, Kouta Hatayama, Kanako Kono, Kenji Mizumura, Motoyasu Iikura, Shuichiro Maruoka, Hiroaki Masuyama and Yasuhiro Gon
Biomedicines 2026, 14(1), 125; https://doi.org/10.3390/biomedicines14010125 - 8 Jan 2026
Viewed by 146
Abstract
Background: Gut microbiota dysbiosis has been associated with childhood asthma; however, its role in adult bronchial asthma (BA), particularly in Japanese populations, remains unclear. The potential influence of sex-based differences also warrants investigation. We aimed to investigate the association between gut microbiota composition [...] Read more.
Background: Gut microbiota dysbiosis has been associated with childhood asthma; however, its role in adult bronchial asthma (BA), particularly in Japanese populations, remains unclear. The potential influence of sex-based differences also warrants investigation. We aimed to investigate the association between gut microbiota composition and adult BA in a Japanese cohort, focusing on sex-specific differences. Methods: Stool samples from 108 Japanese adults with BA (48 male and 60 female individuals) and 210 healthy controls (90 male and 120 female individuals) were analyzed using 16S rRNA gene sequencing. Analyses were stratified by sex. β-diversity was assessed using non-metric multidimensional scaling and permutational multivariate analysis of variance. Genus-level taxonomic comparisons were conducted using the ANOVA-Like Differential Expression version 2 tool on centered log-ratio-transformed data. Results: β-diversity significantly differed between the groups among both male and female individuals. In male individuals, 11 taxa had absolute effect sizes of ≥0.2, with 4 showing significant differences. In female individuals, 19 taxa met this threshold, with 8 reaching significance after Benjamini–Hochberg correction. Streptococcus and Blautia were enriched in the BA group in both sexes, whereas other taxa showed sex-specific patterns, such as Veillonella in male and Flavonifractor and Eggerthella in female individuals. Several short-chain fatty acid (SCFA)-producing taxa were depleted in the BA group. Conclusions: Our findings suggest that gut microbiota dysbiosis occurs in Japanese adults with BA, characterized by enrichment of taxa associated with respiratory diseases and depletion of SCFA-producing bacteria. The observed patterns highlight the importance of considering sex-specific differences in future research. Full article
(This article belongs to the Section Microbiology in Human Health and Disease)
Show Figures

Figure 1

16 pages, 897 KB  
Article
Micronuclei and Nuclear Abnormalities in Oral Mucosa as Indicators of Genotoxicity in Healthcare Professionals
by Juana Sánchez-Alarcón, Stefano Bonassi, Mirta Milić, Ninfa Ramírez-Durán, Keila Isaac-Olivé and Rafael Valencia-Quintana
Toxics 2026, 14(1), 61; https://doi.org/10.3390/toxics14010061 - 8 Jan 2026
Viewed by 176
Abstract
The buccal micronucleus cytome assay (BMCyt) is a validated, non-invasive biomonitoring method used to detect early genotoxic and cytotoxic changes linked to environmental and occupational exposures. Healthcare workers, especially nurses and dentists, are routinely exposed to genotoxic agents such as anesthetic gases, cytotoxic [...] Read more.
The buccal micronucleus cytome assay (BMCyt) is a validated, non-invasive biomonitoring method used to detect early genotoxic and cytotoxic changes linked to environmental and occupational exposures. Healthcare workers, especially nurses and dentists, are routinely exposed to genotoxic agents such as anesthetic gases, cytotoxic drugs, ionizing radiation, and heavy metals. This study compared seven cytological biomarkers in exfoliated buccal cells from female nurses, dentists, and teachers to assess multivariate cytogenetic differences and potential occupational influences. Samples were collected from 32 nurses, 41 dentists, and 47 teachers, and 3000 cells per participant were evaluated for micronuclei (MN) and six additional nuclear abnormalities. Group differences were examined using MANOVA and permutation MANOVA, followed by pairwise tests, and visualized with Principal Component Analysis (PCA). Significant multivariate differences were found between nurses and both dentists and teachers (p = 0.003), supported by permutation tests, while dentists and teachers did not differ. PCA explained 56% of the variance and showed apparent clustering of nurses. Chromatin condensation and MN were the main contributors to group separation. Nurses had significantly higher MN (p ≤ 0.001) and karyorrhexis (p ≤ 0.0004) than dentist and teachers. Overall, nurses showed a distinct cytogenetic profile consistent with greater genotoxic susceptibility. Full article
(This article belongs to the Section Exposome Analysis and Risk Assessment)
Show Figures

Graphical abstract

20 pages, 3051 KB  
Article
Five-Year Follow-Up of Photobiomodulation in Parkinson’s Disease: A Case Series Exploring Clinical Stability and Microbiome Modulation
by Brian Bicknell, Ann Liebert, Craig McLachlan and Hosen Kiat
J. Clin. Med. 2026, 15(1), 368; https://doi.org/10.3390/jcm15010368 - 4 Jan 2026
Viewed by 314
Abstract
Background: Parkinson’s disease (PD) involves progressive neurodegeneration with clinical or subclinical disturbance of the gut–brain axis, including altered gastrointestinal motility and enteric nervous system involvement. Clinical studies have reported gut microbiome alterations in PD, with shifts in taxa associated with inflammatory signalling [...] Read more.
Background: Parkinson’s disease (PD) involves progressive neurodegeneration with clinical or subclinical disturbance of the gut–brain axis, including altered gastrointestinal motility and enteric nervous system involvement. Clinical studies have reported gut microbiome alterations in PD, with shifts in taxa associated with inflammatory signalling and short-chain fatty acid (SCFA) metabolism. Photobiomodulation (PBM), a non-invasive light therapy, has been investigated as a potential adjunctive treatment for PD, with proposed effects on neural, metabolic, and immune pathways. We previously reported the five-year clinical outcomes in a PBM-treated Parkinson’s disease case series. Here we report the five-year gut microbiome outcomes based on longitudinal samples collected from the same participants. This was an exploratory, open-label longitudinal study without a control group. Objective: Our objective was to assess whether long-term PBM was associated with changes in gut microbiome diversity and composition in the same Parkinson’s disease cohort as previously assessed for changes in Parkinson’s symptoms. Methods: Six participants from the earlier PBM proof-of-concept study who had been diagnosed with idiopathic PD and who had continued treatment (transcranial light emitting diode [LED] plus abdominal and neck laser) for five years had their faecal samples analysed by 16S rDNA sequencing to assess microbiome diversity and taxonomic composition. Results: Microbiome analysis revealed significantly reduced evenness (α-diversity) and significant shifts in β-diversity over five years, as assessed by Permutational Multivariate Analysis of Variance (PERMANOVA). At the phylum level, Pseudomonadota and Methanobacteriota decreased in four of the six participants. Both of these phyla are often increased in the Parkinson’s microbiome compared with the microbiomes of healthy controls. Family-level changes included increased acetate-producing Bifidobacteriaceae (five of the six participants); decreased pro-inflammatory, lipopolysaccharide (LPS)-producing Enterobacteriaceae (two of the three participants who have this bacterial family present); and decreased LPS- and H2S-producing Desulfovibrionaceae (five of six). At the genus level, Faecalibacterium, a key butyrate producer, increased in four of the six participants, potentially leading to more SCFA availability, although other SCFA-producing bacteria were decreased. This was accompanied by reductions in pro-inflammatory LPS and H2S-producing genera that are often increased in the Parkinson’s microbiome. Conclusions: This five-year case series represents the longest follow-up of microbiome changes in Parkinson’s disease, although the interpretation of results is limited by very small numbers, the lack of a control group, and the inability to control for lifestyle influences such as dietary changes. While causal relationships cannot be inferred, the parallel changes in improvements in mobility and non-motor Parkinson’s symptoms observed in this cohort, raises the hypothesis that PBM may interact with the gut–brain axis via the microbiome. Controlled studies incorporating functional multi-omics are needed to clarify potential mechanistic links between microbial function, host metabolism, and clinical outcomes. Full article
(This article belongs to the Special Issue Innovations in Parkinson’s Disease)
Show Figures

Graphical abstract

17 pages, 2497 KB  
Article
Multimodal, Personalized Treatment of Pineal Region Tumors in Adulthood—A Single Center Study
by Tamás Mezei, János Báskay, Péter Pollner, Lukács Németh, Balázs Markia, Gábor Nagy, András Bajcsay and László Sipos
J. Clin. Med. 2026, 15(1), 248; https://doi.org/10.3390/jcm15010248 - 29 Dec 2025
Viewed by 195
Abstract
Background: Tumors of the pineal region account for less than 1% of supratentorial neoplasms in adults and represent a distinct neuro-oncological challenge. Their management requires a multidisciplinary and multimodal approach. Traditionally, direct surgical resection was considered the primary treatment modality. Recent advances in [...] Read more.
Background: Tumors of the pineal region account for less than 1% of supratentorial neoplasms in adults and represent a distinct neuro-oncological challenge. Their management requires a multidisciplinary and multimodal approach. Traditionally, direct surgical resection was considered the primary treatment modality. Recent advances in minimally invasive techniques and onco-radiotherapy have paved the way for safer and more personalized treatment strategies, in line with the principles of precision medicine. This study aims to present our institutional approach, which relies on a combination of endoscopic and radiotherapy-based techniques. Methods: A retrospective, single-center clinical study was conducted involving 28 adult patients who underwent endoscopic third ventriculostomy and biopsy of a pineal region tumor between January 2014 and March 2025. Descriptive statistics, permutation tests with bootstrap-derived confidence intervals, Fisher’s exact test, and Kaplan–Meier survival analysis were applied for data evaluation. Results: Endoscopic intervention resulted in clinical improvement in 78% of cases. A significant increase in performance status was observed in the postoperative period (<0.001) compared to preoperative results. Radiotherapy contributed to either tumor regression or disease stabilization. Conclusions: Based on our findings, the combination of endoscopic intervention and personalized radiotherapy represents a safe and effective treatment strategy, offering a compelling alternative to direct surgical resection, which is reserved as a second-line treatment. Full article
(This article belongs to the Section Oncology)
Show Figures

Figure 1

21 pages, 2019 KB  
Article
Regular Yoga Modulates Attention Bias During the Luteal Phase in Women with Premenstrual Syndrome
by Xue Li, Danyang Li, Ying Liu, Chenglin Zhou and Xiaochun Wang
Brain Sci. 2026, 16(1), 36; https://doi.org/10.3390/brainsci16010036 - 26 Dec 2025
Viewed by 335
Abstract
Objectives: Women with Premenstrual Syndrome (PMS) tend to exhibit an excessive attention bias toward negative stimuli during the luteal phase. This study intends to investigate the effect of regular yoga on attention bias of women with PMS during the luteal phase and [...] Read more.
Objectives: Women with Premenstrual Syndrome (PMS) tend to exhibit an excessive attention bias toward negative stimuli during the luteal phase. This study intends to investigate the effect of regular yoga on attention bias of women with PMS during the luteal phase and explore the mechanisms underlying such changes. Methods: Sixty-four women with PMS were recruited, coded and randomly assigned to either a 12-week yoga group (n = 32) or a control group (n = 32). The dot-probe task was used to assess attention bias at baseline and 12 weeks later. Data analysis was performed using SPSS 27.0 software, with analytical methods including descriptive statistics, repeated-measures analysis of variance (RM-ANOVA), simple effect analysis, cluster-based permutation test and Pearson correlation analysis. The Holm–Bonferroni method was used to correct for multiple comparison errors. Results: RM-ANOVA revealed significant time × group interaction effects for attention orientation, attention disengagement, P1 component, and P3 component. Simple effect analysis indicated that, compared with the control group, the yoga group exhibited significant modulations in attention orientation (t = −7.33, p < 0.001), P1 (t = 8.94, p < 0.001), attention disengagement (t = 6.89, p < 0.001), and P3 (t = 4.42, p = 0.002) after 12 weeks of intervention. Cluster-based permutation tests demonstrated that the yoga group showed significant reductions in P1 and P3 amplitudes after 12 weeks. Pearson correlation analysis indicated that attention orientation was significantly negatively correlated with P1 amplitude, while attention disengagement was significantly positively correlated with P3 amplitude. Conclusion: Regular yoga can regulate the behavioral indicators and electroencephalographic (EEG) indicators related to attention bias and exerts a positive effect on modulating attention bias toward negative stimuli in women with PMS during the luteal phase. Full article
(This article belongs to the Special Issue Advances in Emotion Processing and Cognitive Neuropsychology)
Show Figures

Figure 1

25 pages, 2228 KB  
Article
The Effect of Fertilization on Floristic Composition and Biodiversity of Montane Grasslands (HNV) in the Eastern Carpathians
by Emilian Canișag, Costel Samuil, Culiță Sîrbu, Adrian-Ilie Nazare, Bogdan-Ioan Grigoraş and Vasile Vîntu
Plants 2026, 15(1), 80; https://doi.org/10.3390/plants15010080 - 26 Dec 2025
Viewed by 370
Abstract
High Nature Value (HNV) mountain grasslands in the Eastern Carpathians are highly sensitive to changes in management intensity, particularly fertilization. This study assessed the effects of contrasting organic and mineral fertilization regimes on floristic composition, vegetation types, and diversity in an oligotrophic Nardus [...] Read more.
High Nature Value (HNV) mountain grasslands in the Eastern Carpathians are highly sensitive to changes in management intensity, particularly fertilization. This study assessed the effects of contrasting organic and mineral fertilization regimes on floristic composition, vegetation types, and diversity in an oligotrophic Nardus stricta grassland within an experimental framework established in 2021. The analysis is based on vegetation data collected over three consecutive years (2022–2024) from nine treatments, including an unfertilized control, organic fertilization with manure (10–30 t ha−1 applied in autumn or spring), and mineral fertilization with nitrocalcar (Nitrocalc_20—200 kg ha−1 calcium ammonium nitrate and Nitrocalc_30—300 kg ha−1 calcium ammonium nitrate). Vegetation responses were evaluated using hierarchical cluster analysis, principal coordinates analysis (PCoA), multi-response permutation procedures (MRPP), indicator species analysis (ISA), and α-diversity indices. Six floristic types were identified along a pronounced trophic gradient ranging from oligotrophic to eutrophic communities. Low to moderate organic fertilization (10–20 t ha−1) maximized species richness, diversity, and community evenness, maintaining a stable assemblage of oligotrophic and mesotrophic species. In contrast, high manure inputs (30 t ha−1) and mineral fertilization resulted in rapid floristic simplification, loss of oligotrophic indicators, and dominance of competitive grasses. These results indicate that moderate organic fertilization represents an effective adaptive management option for conserving HNV mountain grasslands, whereas intensive mineral fertilization is incompatible with biodiversity conservation objectives. Full article
(This article belongs to the Special Issue Advances in Plant Nutrition and Novel Fertilizers—Second Edition)
Show Figures

Figure 1

27 pages, 4169 KB  
Article
Optimizing Mortar Mix Design for Concrete Roofing Tiles Using Machine Learning and Particle Packing Theory: A Case Study
by Jorge Fernando Sosa Gallardo, Vivian Felix López Batista, Aldo Fernando Sosa Gallardo, María N. Moreno-García and Maria Dolores Muñoz Vicente
Appl. Sci. 2026, 16(1), 236; https://doi.org/10.3390/app16010236 - 25 Dec 2025
Viewed by 239
Abstract
The increasing demand for sustainable construction materials has motivated the optimization of mortar mix designs to reduce cement consumption and its environmental impact while maintaining adequate mechanical performance. This study develops a machine learning (ML) model for optimizing mortar mixtures used in concrete [...] Read more.
The increasing demand for sustainable construction materials has motivated the optimization of mortar mix designs to reduce cement consumption and its environmental impact while maintaining adequate mechanical performance. This study develops a machine learning (ML) model for optimizing mortar mixtures used in concrete roofing tiles by integrating aggregate particle packing techniques with non-linear regression algorithms, using an industry-grade dataset generated in the Central Laboratory of Wienerberger Ltd. Unlike most previous studies, which mainly focus on compressive strength, this research targets the transverse strength of industrial roof tile mortar. The proposed approach combines Tarantula Curve gradation limits, experimentally derived packing density (η), and ML regression within a unified and application-oriented workflow, representing a research direction rarely explored in the literature for optimizing concrete mix transverse strength. Fine concrete aggregates were characterized through a sand sieve analysis and subsequently adjusted according to the Tarantula Curve method to optimize packing density and minimize void content. Physical properties of cements and fine aggregates were assessed, and granulometric mixtures were evaluated using computational methods to calculate fineness modulus summation (FMS) and packing density. Mortar samples were tested for transverse strength at 1, 7, and 28 days using a three-point bending test, generating a robust dataset for modeling training. Three ML models—Random Forest Regressor (RFR), XG-Boost Regressor (XGBR), and Support Vector Regressor (SVR)—were evaluated, confirming their ability to capture nonlinear relationships between mix parameters and transverse strength. The analysis of input variables, which consistently ranked as the highest contributors according to impurity-based and permutation-based importance metrics, revealed that the duration of curing, density, and the summation of the fineness modulus significantly influenced the estimated transverse strength derived from the models. The integration of particle size distribution optimization and ML demonstrates a viable pathway for reducing cement content, lowering costs, and achieving sustainable mortar mix designs in the tile manufacturing industry. Full article
(This article belongs to the Topic Software Engineering and Applications)
Show Figures

Figure 1

24 pages, 651 KB  
Article
Auditory Discrimination of Parametrically Sonified EEG Signals in Alzheimer’s Disease
by Rubén Pérez-Elvira, Javier Oltra-Cucarella, María Agudo Juan, Luis Polo-Ferrero, Raúl Juárez-Vela, Jorge Bosch-Bayard, Manuel Quintana Díaz, Bogdan Neamtu and Alfonso Salgado-Ruiz
J. Clin. Med. 2026, 15(1), 140; https://doi.org/10.3390/jcm15010140 - 24 Dec 2025
Viewed by 292
Abstract
Background/Objectives: Alzheimer’s disease (AD) requires accessible and non-invasive biomarkers that can support early detection, especially in settings lacking specialized expertise. Sonification techniques may offer an alternative way to convey neurophysiological information through auditory perception. This study aimed to evaluate whether human listeners [...] Read more.
Background/Objectives: Alzheimer’s disease (AD) requires accessible and non-invasive biomarkers that can support early detection, especially in settings lacking specialized expertise. Sonification techniques may offer an alternative way to convey neurophysiological information through auditory perception. This study aimed to evaluate whether human listeners without EEG training can discriminate between sonified electroencephalographic (EEG) patterns from patients with AD and healthy controls. Methods: EEG recordings from 65 subjects (36 with Alzheimer’s, 29 controls) from the Open-Neuro ds004504 dataset were used. Data were processed through sliding-window spectral analysis, extracting relative band powers across five frequency bands (delta: 1–4 Hz, theta: 4–8 Hz, alpha: 8–13 Hz, beta: 13–30 Hz, gamma: 30–45 Hz) and spectral entropy, aggregated across 10 topographic regions. Extracted features were sonified via parameter mapping to independent synthesis sources per frequency band, implemented in an interactive web interface (Tone.js v14.8.49) enabling auditory evaluation. Eight evaluators without EEG experience blindly classified subjects into two groups based solely on listening to the sonifications. Results: Listeners achieved a mean classification accuracy of 76.12% (SD = 17.95%; range: 49.25–97.01%), exceeding chance performance (p = 0.001, permutation test). Accuracy variability across evaluators suggests that certain auditory cues derived from the sonified features were consistently perceived. Conclusions: Parametric EEG sonification preserves discriminative neurophysiological information that can be perceived through auditory evaluation, enabling above-chance differentiation between Alzheimer’s patients and healthy controls without technical expertise. This proof-of-concept study supports sonification as a complementary, accessible method for examining brain patterns in neurodegenerative diseases and highlight its potential contribution to the development of accessible diagnostic tools. Full article
(This article belongs to the Special Issue Innovative Approaches to the Challenges of Neurodegenerative Disease)
Show Figures

Figure 1

35 pages, 1045 KB  
Article
Increasing the Fault Tolerance of the Pseudo-Random Code Generator with Substitution–Permutation Network “Kuznechik” Transformation Through the Use of Residue Code
by Igor Anatolyevich Kalmykov, Alexandr Anatolyevich Olenev, Vladimir Vyacheslavovich Kopytov, Daniil Vyacheslavovich Dukhovnyj and Vladimir Sergeyevich Slyadnev
Appl. Sci. 2026, 16(1), 129; https://doi.org/10.3390/app16010129 - 22 Dec 2025
Viewed by 183
Abstract
The emergence and widespread use of low-orbit satellite communication systems has become one of the triggers for the development of the Internet of Vehicles (IoV) technology. The main goal of this integration was to increase the level of vehicle safety not only in [...] Read more.
The emergence and widespread use of low-orbit satellite communication systems has become one of the triggers for the development of the Internet of Vehicles (IoV) technology. The main goal of this integration was to increase the level of vehicle safety not only in cities and their suburbs but especially in remote areas of the country. Despite its effectiveness, satellite IoV remains susceptible to attacks on the radio channel. One of the effective ways to counter such attacks is to use wireless transmission systems with the Frequency-Hopping Spread Spectrum (FHSS) method. The effectiveness of FHSS systems largely depends on the operation of the pseudorandom code generator (PRCG), which is used to calculate the new operating frequency code (number). This generator must have the following properties. Firstly, it must have high cryptographic resistance to guessing a new operating frequency number by an attacker. Secondly, since this generator will be located on board the spacecraft, it must have high fault tolerance. The conducted studies have shown that substitution–permutation network “Kuznechik” (SPNK) meets these requirements. To ensure the property of resilience to failures and malfunctions, it is proposed to implement SPNK in codes of redundant residual class systems in polynomials (RCSP) using the isomorphism of the Chinese Remainder Theorem in polynomials. RCSP codes are an effective means of eliminating computation errors caused by failures and malfunctions. The aim of this work is to increase the fault tolerance of PRCG based on SPNK transformation by using the developed error correction algorithm, which has lower hardware and time costs for implementation compared to the known ones. The comparative analysis showed that the developed algorithm for error correction in RCSP codes provides higher fault tolerance of PRCG compared with other redundancy methods. Unlike the “2 out of 3” method of duplication, the developed algorithm ensures the operational state of PRCG not only when the first failure occurs but also during the subsequent second one. In the event of a third failure, RCSP is able to correct 73% of errors in the informational residues of code combination, while the “2 out of 3” duplication method makes it possible to fend off the consequences of only the first failure. Full article
Show Figures

Figure 1

18 pages, 8537 KB  
Article
Complexity of Horizontal Oil–Gas–Water Flows in Deepwater Simulation Well: Insights from Multiscale Phase Permutation Entropy Analysis
by Lusheng Zhai, Yukun Huang, Jiawei Qiao and Jingru Cui
Energies 2026, 19(1), 52; https://doi.org/10.3390/en19010052 - 22 Dec 2025
Viewed by 182
Abstract
Deepwater oil–gas–water three-phase flow is widely regarded as a multiphase system. Intense interfacial interactions cause significant nonuniform fluid distributions in the wellbore, giving rise to complex nonlinear dynamics. In this study, a distributed conductance sensor (DCS) was developed to capture local flow information [...] Read more.
Deepwater oil–gas–water three-phase flow is widely regarded as a multiphase system. Intense interfacial interactions cause significant nonuniform fluid distributions in the wellbore, giving rise to complex nonlinear dynamics. In this study, a distributed conductance sensor (DCS) was developed to capture local flow information from a horizontal oil–gas–water simulation well. To quantify the complexity of nonlinear time series, phase permutation entropy (PPE) was first validated using artificial data, including the Tent map, Hénon map, and Lorenz system. PPE demonstrates superior capability in detecting abnormal dynamical changes compared with permutation entropy (PE). Subsequently, PPE is combined with the multiscale approach, i.e., multiscale phase permutation entropy (MPPE), to analyze the DCS signals and uncover the complexity of horizontal oil–gas–water flows. The results show that the MPPE analysis can reveal the spatial distribution characteristics of elongated gas bubbles, gas paths, dispersed bubbles and oil droplets. Full article
(This article belongs to the Section H1: Petroleum Engineering)
Show Figures

Figure 1

14 pages, 2077 KB  
Article
Machine Learning Assessment of Soil Carbon Sequestration Potential: Integrating Land Use, Pedology, and Machine Learning in Croatia
by Lucija Galić, Mladen Jurišić, Ivan Plaščak and Dorijan Radočaj
Agronomy 2026, 16(1), 14; https://doi.org/10.3390/agronomy16010014 - 20 Dec 2025
Viewed by 352
Abstract
Spatially quantifying the soil carbon sequestration potential (SCSP) is crucial for targeting climate change mitigation strategies like carbon farming. However, static mapping approaches often fail by assuming that the drivers of soil organic carbon (SOC) are stationary. We hypothesized that the hierarchy of [...] Read more.
Spatially quantifying the soil carbon sequestration potential (SCSP) is crucial for targeting climate change mitigation strategies like carbon farming. However, static mapping approaches often fail by assuming that the drivers of soil organic carbon (SOC) are stationary. We hypothesized that the hierarchy of SOC controllers is fundamentally non-stationary, shifting from intrinsic stabilization capacity (pedology) in stable ecosystems to extrinsic flux kinetics (climate) in dynamic systems. We tested this by developing a land-use-specific (LULC; Cropland, Forest land, Grassland) ensemble machine learning (ML) framework to quantify the soil carbon saturation deficit (SCSD) across Croatia’s pedologically diverse landscape on 622 soil samples. The LULC-stratified ensemble models (SVM, RF, CUB) achieved moderate to good predictive accuracy under cross-validation (R2 = 0.41–0.60). Crucially, the feature importance analysis (permutation MSE loss) proved our hypothesis: in Forest land, SOC was superiorly controlled by intrinsic capacity (Soil CEC, Soil pH), defining the mineralogical C-saturation “ceiling”; in Grasslands, control shifted to extrinsic C-input kinetics (Precipitation: Bio19, Bio12), which “fuel” the microbial carbon pump (MCP) via root exudation; and in Croplands, the model revealed a hybrid control, limited by remaining intrinsic capacity (CEC, Clay) but strongly influenced by C-loss kinetics (Temperature: Bio08), which regulates microbial carbon use efficiency (CUE). This study demonstrates that LULC-specific dynamic modeling is a prerequisite for accurately mapping SCSP. By identifying soils with both high intrinsic capacity (high CEC/Clay) and high degradation (high SCSD), our data-driven assessment provides a critical tool for spatially targeting carbon farming interventions for maximum climate mitigation return on investment (ROI). Full article
Show Figures

Figure 1

27 pages, 6021 KB  
Article
Data-Driven Framework for Dimensional Quality Control in Automotive Assembly: Integration of PCA-BP Neural Network with Traceable Deviation Source Identification
by Xuemei Du, Yutong Zhou, Lei Chen, Jingfei Li and Anli Ma
Appl. Sci. 2026, 16(1), 37; https://doi.org/10.3390/app16010037 - 19 Dec 2025
Viewed by 229
Abstract
The intelligent transformation in the manufacturing industry poses challenges to traditional quality control methods, particularly in handling redundant data and ensuring model interpretability within high-dimensional, multivariate assembly processes. This study presents an integrated approach combining Principal Component Analysis (PCA), Back Propagation neural network [...] Read more.
The intelligent transformation in the manufacturing industry poses challenges to traditional quality control methods, particularly in handling redundant data and ensuring model interpretability within high-dimensional, multivariate assembly processes. This study presents an integrated approach combining Principal Component Analysis (PCA), Back Propagation neural network (BP neural network), and permutation importance to improve quality prediction and traceability in the automotive body-in-white rear panel dimensional chain. The data for this study originates from the actual production process of an automotive manufacturer. It comprises direct geometric measurements from the rear panel of a specific vehicle model’s Body-in-White (BIW). The measurement points from key coordinates that influence rear panel matching serve as the numerical input variables. The corresponding measurement result from the Skeleton Assembly is utilised as the output variable, which represents the final assembly quality and is treated as a numerical variable in this model. PCA is first applied to reduce dimensionality and eliminate data redundancy. Then, two types of neural networks—single and sequential—are constructed to model nonlinear relationships, with the single neural network exhibiting superior performance in accuracy (average R2 > 95%) and generalisability (RMSE < 0.1). To address the lack of interpretability in conventional neural networks, the permutation importance of variables is assessed to pinpoint the primary sources of bias and to clarify the mechanisms of variable interactions. The automotive company’s practical validation demonstrates the model’s capability to predictively assess the effects of abrupt alterations in bodyside dimensions on rear panel matching quality. The close agreement between predicted (e.g., 1.053693) and actual (e.g., 1.01) values confirms model accuracy, diminishing the reliance on supplementary quality control resources. This study provides a traceable, data-driven framework for enhancing quality control in complex manufacturing assemblies. Full article
Show Figures

Figure 1

Back to TopTop