Sign in to use this feature.

Years

Between: -

Subjects

remove_circle_outline
remove_circle_outline
remove_circle_outline
remove_circle_outline
remove_circle_outline
remove_circle_outline
remove_circle_outline
remove_circle_outline
remove_circle_outline

Journals

remove_circle_outline
remove_circle_outline
remove_circle_outline
remove_circle_outline
remove_circle_outline
remove_circle_outline

Article Types

Countries / Regions

remove_circle_outline
remove_circle_outline
remove_circle_outline
remove_circle_outline

Search Results (413)

Search Parameters:
Keywords = periurban development

Order results
Result details
Results per page
Select all
Export citation of selected articles as:
29 pages, 1608 KB  
Article
Geospatial Assessment of Agricultural Sustainability Using Multi-Criteria Analysis: A Case Study of the Grocka Municipality, Serbia
by Ljiljana Mihajlović, Dragan Petrović, Danijela Vukoičić, Miroljub Milinčić and Nikola Milentijević
World 2026, 7(1), 10; https://doi.org/10.3390/world7010010 - 14 Jan 2026
Viewed by 236
Abstract
Agricultural land represents a fundamental production resource and one of the key factors of ecological and economic stability in rural and peri-urban areas. In the municipality of Grocka, the impacts of urbanization, demographic decline, and changes in the agrarian production structure have led [...] Read more.
Agricultural land represents a fundamental production resource and one of the key factors of ecological and economic stability in rural and peri-urban areas. In the municipality of Grocka, the impacts of urbanization, demographic decline, and changes in the agrarian production structure have led to spatial degradation and reduced economic sustainability. To assess the current state and potential of agriculture at the settlement level, a multi-criteria analysis (MCA) integrated with Geographic Information Systems (GIS) was applied. The analysis encompassed demographic, production, environmental, and spatial indicators, normalized using the min–max scaling method and aggregated through a weighted sum. Criteria weights were defined based on a combination of literature review and expert judgment. The results reveal spatial variations in the level of sustainability and enable the identification of priority zones for agro-economic improvement, areas of moderate stability, and spaces suitable for developing sustainable agricultural models. Sensitivity testing (±20% variation in weights) confirmed the robustness of the results. The identified zones and proposed measures aim to revitalize degraded areas, preserve permanent crops, and strengthen production and institutional capacities. The applied methodological framework can serve as a tool for planning and policymaking in sustainable agricultural development, particularly in peri-urban contexts. Full article
Show Figures

Figure 1

26 pages, 32788 KB  
Article
AI-Supported Detection of Vegetation Degradation and Urban Expansion Using Sentinel-2 Multispectral Data: Case Study
by Mihai Valentin Herbei, Ana Cornelia Badea, Sorin Mihai Radu, Csaba Lorinț, Roxana Claudia Herbei, Radu Bertici, Lucian Octavian Dragomir, George Popescu, Adrian Smuleac and Florin Sala
Land 2026, 15(1), 140; https://doi.org/10.3390/land15010140 - 10 Jan 2026
Viewed by 188
Abstract
Peri-urban areas in Eastern Europe are undergoing rapid land transformation driven by suburban housing expansion and infrastructure development, yet the processes through which vegetation is progressively degraded and built-up areas intensify remain insufficiently documented. This study analyses vegetation loss and urban expansion in [...] Read more.
Peri-urban areas in Eastern Europe are undergoing rapid land transformation driven by suburban housing expansion and infrastructure development, yet the processes through which vegetation is progressively degraded and built-up areas intensify remain insufficiently documented. This study analyses vegetation loss and urban expansion in the peri-urban belt of Timișoara, Western Romania, between 2020 and 2025 using Sentinel-2 multispectral imagery, two key spectral indices (NDVI and NDBI), and a Random Forest (RF) classifier. The results reveal a gradual, multi-stage transformation trajectory, where dense vegetation transitions first into sparse vegetation and bare soil before consolidating into built-up surfaces, rather than being replaced abruptly. Substantial vegetation decline is accompanied by notable increases in built-up land, with strong spatial differences between communes depending on development pressure. The integration of RF classification with spectral index analysis allows these transitions to be validated and interpreted more reliably, helping distinguish structural suburbanisation from short-term spectral variability. Overall, the study demonstrates the value of combining NDVI, NDBI and AI-supported land-cover classification to capture nuanced peri-urban transformation dynamics and provides actionable insights for spatial planning and sustainable land management in rapidly growing metropolitan regions. Full article
(This article belongs to the Special Issue AI’s Role in Land Use Management)
Show Figures

Figure 1

19 pages, 4631 KB  
Article
Improving Water-Cycle Soundness Through LID in a Future Urbanizing Watershed: A Case Study of the Dawoon Watershed, Ulsan
by Joowon Choi, Jaerock Park, Jaemoon Kim and Soonchul Kwon
Water 2026, 18(2), 166; https://doi.org/10.3390/w18020166 - 8 Jan 2026
Viewed by 150
Abstract
Climate change and rapid urbanization are increasingly disrupting urban water cycles by intensifying runoff and reducing infiltration, particularly in watersheds designated for future development. However, most existing studies have focused on fully urbanized areas, with limited attention given to semi-rural or urban–rural transition [...] Read more.
Climate change and rapid urbanization are increasingly disrupting urban water cycles by intensifying runoff and reducing infiltration, particularly in watersheds designated for future development. However, most existing studies have focused on fully urbanized areas, with limited attention given to semi-rural or urban–rural transition watersheds at the planning stage. In this context, the Dawoon watershed in Ulsan, Republic of Korea, represents a critical case, as it is currently undeveloped but designated for large-scale urban expansion. This study evaluates the effectiveness of Low Impact Development (LID) strategies in restoring water-cycle soundness under anticipated urbanization conditions. A hydrological model of the Dawoon watershed was developed using the Storm Water Management Model (SWMM), and multiple land-use-specific LID scenarios were designed to reflect realistic planning-stage applications. Long-term simulations were conducted to assess changes in runoff, infiltration, evapotranspiration, and overall water-cycle performance. The results indicate that urban development substantially increases surface runoff while reducing infiltration and evapotranspiration. The integrated application of LID measures significantly mitigated these impacts, reducing total runoff by approximately 3% and improving the water cycle recovery rate to nearly 99%, restoring hydrological conditions close to the pre-development state. Among the evaluated scenarios, the combined implementation of vegetated swales, infiltration–storage basins, green roofs, and permeable pavements showed the highest effectiveness. These findings highlight the importance of incorporating LID strategies at the early stages of urban planning to enhance climate resilience and prevent long-term water cycle degradation. The proposed framework provides practical guidance for setting water-cycle management targets and selecting effective LID measures in developing or peri-urban watersheds. Full article
(This article belongs to the Section Urban Water Management)
Show Figures

Figure 1

41 pages, 8084 KB  
Article
Beyond Green: Toward Architectural and Urban Design Scenarios for Therapeutic Landscapes
by Jelena Ristić Trajković, Verica Krstić, Ana Nikezić, Relja Petrović and Jelena Ilić Gajić
Land 2026, 15(1), 114; https://doi.org/10.3390/land15010114 - 7 Jan 2026
Viewed by 268
Abstract
This paper presents the results of an integrated research and design process developed within the Master’s study programme in Architecture at the University of Belgrade—Faculty of Architecture, aimed at exploring architectural agency in conditions of ecological degradation, declining biodiversity, and the urgent need [...] Read more.
This paper presents the results of an integrated research and design process developed within the Master’s study programme in Architecture at the University of Belgrade—Faculty of Architecture, aimed at exploring architectural agency in conditions of ecological degradation, declining biodiversity, and the urgent need for regenerative transformation of the built environment. Moving beyond technologically driven notions of “green design,” the study investigates architectural approaches that support ecosystem restoration, biodiversity enhancement, and multispecies coexistence while strengthening health and well-being. Grounded in a three-phase methodological framework, the research (1) formulates conceptual models of therapeutic landscapes through typo-morphological, place-based, and adventure-based analytical approaches; (2) evaluates these models using the New European Bauhaus (NEB) Checklist to assess their alignment with the core values of sustainability, beauty, and togetherness; and (3) synthesizes the findings into regenerative design scenarios that integrate ecological processes, multisensory experience, and community participation. The results position therapeutic landscapes as a spatial practice in which architecture functions as ecological infrastructure, a metabolic system where natural cycles, cultural meanings, bodily experiences, and more-than-human agencies interact. In this sense, architectural design becomes the basis for re-naturalization, regeneration, ecological care, multisensory experience, and resilience in urban, peri-urban, and rural communities. Full article
Show Figures

Figure 1

23 pages, 1302 KB  
Article
Long-Term Manure Application in Urban Gardens: Impacts on Soil Fertility, Mineral Composition, and Variability
by Rafael López-Núñez, Paula Madejón-Rodríguez, José Molina-Vega and Sabina Rossini-Oliva
Horticulturae 2026, 12(1), 40; https://doi.org/10.3390/horticulturae12010040 - 28 Dec 2025
Viewed by 465
Abstract
Urban and peri-urban agriculture (UA) plays an increasingly important role in promoting sustainable urban development, providing socioeconomic, environmental, and educational benefits. However, UA is often linked to nutrient accumulation in soils since vegetable-growing areas typically receive substantial inputs of both organic and inorganic [...] Read more.
Urban and peri-urban agriculture (UA) plays an increasingly important role in promoting sustainable urban development, providing socioeconomic, environmental, and educational benefits. However, UA is often linked to nutrient accumulation in soils since vegetable-growing areas typically receive substantial inputs of both organic and inorganic fertilizers. This study examines soil variability in two sections of an urban allotment garden subjected to long-term manure fertilization for 12 or 16 years, with application rates up to 10–12 kg m−2 yr−1. Surface soils were analyzed for organic and inorganic carbon, total-N, available-P and -K, pH, and elemental composition using portable X-ray fluorescence (pXRF). Prolonged manure incorporation substantially enhanced soil fertility, as evidenced by increases in soil organic carbon (up to 3.78%), total-N (up to 0.38%), available-K (up to 412 mg kg−1), and both total- and available-P (up to 2485 and 276 mg kg−1, respectively). Marked shifts in mineral composition were also detected, including significant increases in total Ca, inorganic C (as calcium carbonate), Sr, and S. Despite the high manure inputs, no accumulation of potentially toxic elements (PTEs) was observed. However, pronounced spatial heterogeneity emerged among individual plots, with coefficients of variation reaching 58% for S and 47% for Zn, reflecting differences in fertilization intensity and management practices. Portable X-ray fluorescence (pXRF) analysis proved highly effective for detecting soil compositional changes and adequate for predicting K and P availability, highlighting its value as a rapid diagnostic tool for precision agriculture. Overall, these findings demonstrate the agronomic benefits of long-term organic fertilization while emphasizing the need for careful management to avoid nutrient imbalances and ensure sustainable practices that minimize environmental risks. Full article
Show Figures

Graphical abstract

26 pages, 10568 KB  
Article
Cultural Ecosystem Services in Rural Landscapes: A Regional Planning Perspective from Italy
by Monica Pantaloni
Sustainability 2025, 17(24), 11182; https://doi.org/10.3390/su172411182 - 13 Dec 2025
Viewed by 300
Abstract
This paper proposes an innovative methodological framework for integrating Cultural Ecosystem Services (CES) into landscape planning, with the aim of enhancing the conservation and adaptive management of rural historical landscapes. Grounded in the principles of the European Landscape Convention and the recent Nature [...] Read more.
This paper proposes an innovative methodological framework for integrating Cultural Ecosystem Services (CES) into landscape planning, with the aim of enhancing the conservation and adaptive management of rural historical landscapes. Grounded in the principles of the European Landscape Convention and the recent Nature Restoration Law, the study advocates for a shift from prescriptive and sectoral approaches toward performance-based and ecosystem-oriented models. The research focuses on the Marche Region (Italy), where the historical landscape shaped by the mezzadria (sharecropping) system provides a representative case for testing the proposed methodology. Six spatial layers have been selected as ecosystem-based indicators to identify new potential landscape CES’ hotspots as agricultural landscape high-value areas, and to redefine protection and management strategies. The analysis integrates historical, ecological, and cultural dimensions to construct a spatially explicit value matrix, supporting the definition of differentiated management zones. Results reveal the persistence of high landscape and ecosystem values in mid- and upper-hill areas, contrasted by the progressive loss of structural and functional diversity in lowland and peri-urban contexts. The findings highlight the need for more adaptive and flexible planning models, capable of incorporating nature-based actions, climate-smart agriculture, and performance-oriented evaluation criteria. The proposed approach demonstrates potential for replicability and policy integration, providing a decision-support framework to align landscape planning with rural development strategies and climate adaptation objectives. Despite limitations related to data availability and model simplification, the methodology contributes to the ongoing paradigm shift toward dynamic, evidence-based, and transdisciplinary landscape governance across Mediterranean regions. Full article
(This article belongs to the Section Sustainable Urban and Rural Development)
Show Figures

Figure 1

27 pages, 3126 KB  
Article
User-Oriented Sustainable Renewal of Peri-Urban Heritage Towns: A Case Study of Nanquan Street, Wuxi, China
by Tengfei Yu, Yi Chen, Shuling Li and Zhanchuan Chen
Sustainability 2025, 17(24), 11168; https://doi.org/10.3390/su172411168 - 12 Dec 2025
Viewed by 533
Abstract
Public spaces in peri-urban towns are becoming key focal points of urban regeneration in China due to their geographic advantages, resource endowments, and diverse populations. Substantial investments have been made to improve residents’ living environments and well-being. As over-commercialized urban centers increasingly face [...] Read more.
Public spaces in peri-urban towns are becoming key focal points of urban regeneration in China due to their geographic advantages, resource endowments, and diverse populations. Substantial investments have been made to improve residents’ living environments and well-being. As over-commercialized urban centers increasingly face congestion and homogenization, the distinctive landscapes and authentic everyday life of peri-urban towns are attracting growing attention from tourists. Understanding both residents’ and visitors’ perceptions of these public spaces is therefore essential for successful regeneration. This study examines Nanquan Street, which lies ina peri-urban heritage town in Wuxi, Jiangnan region, China. Drawing on user-generated content from major Chinese social media platforms (Xiaohongshu and Dianping) and field observations guided by the AEIOU framework, a three-stage grounded theory approach was employed to identify the key factors influencing user satisfaction. The analysis identified twelve sub-dimensions grouped into three overarching categories: foundational preconditions, social developmental factors, and spatial-operational factors, which collectively shape sustained satisfaction in Peri-urban heritage towns. By translating the satisfaction model into sustainable design strategies, this study proposes a set of renewal pathways applicable not only to Nanquan Street but also to similar peri-urban towns facing comparable challenges. Emphasizing multi-user experience, low-intervention strategies, and contextual adaptability, this research contributes to theoretical understandings of sustainable renewal in peri-urban towns. It provides actionable guidance for balancing everyday life, cultural heritage, and sustainable tourism development. Full article
(This article belongs to the Special Issue Sustainable Heritage Tourism)
Show Figures

Figure 1

25 pages, 7436 KB  
Article
Assessing the Functional–Efficiency Mismatch of Territorial Space Using Explainable Machine Learning: A Case Study of Quanzhou, China
by Zehua Ke, Wei Wei, Mengyao Hong, Junnan Xia and Liming Bo
Land 2025, 14(12), 2403; https://doi.org/10.3390/land14122403 - 11 Dec 2025
Viewed by 325
Abstract
As the foundational carrier of socio-economic development and ecological security, territorial space reflects the degree of coordination between functional structure and efficiency output. However, most existing evaluation methods overlook the heterogeneous functional endowments of spatial units and therefore cannot reasonably assess the efficiency [...] Read more.
As the foundational carrier of socio-economic development and ecological security, territorial space reflects the degree of coordination between functional structure and efficiency output. However, most existing evaluation methods overlook the heterogeneous functional endowments of spatial units and therefore cannot reasonably assess the efficiency that each unit should achieve under comparable conditions. To address this limitation, this study proposes a function-oriented and interpretable framework for territorial spatial efficiency evaluation based on the Production–Living–Ecological (PLE) paradigm. An entropy-weighted indicator system is constructed to measure production, living, and ecological efficiency, and an XGBoost–SHAP model is developed to infer the nonlinear mapping between functional attributes and efficiency performance and to estimate the ideal efficiency of each spatial unit under Quanzhou’s prevailing macro-environment. By comparing ideal and observed efficiency, functional–efficiency deviations are identified and spatially diagnosed. The results show that territorial efficiency exhibits strong spatial heterogeneity: production and living efficiency concentrate in the southeastern coastal belt, whereas ecological efficiency dominates in the northwestern mountainous region. The mechanisms differ substantially across dimensions. Production efficiency is primarily driven by neighborhood living and productive conditions; living efficiency is dominated by structural inheritance and strengthened by service-related spillovers; and ecological efficiency depends overwhelmingly on local ecological endowments with additional neighborhood synergy. Approximately 45% of spatial units achieve functional–efficiency alignment, while peri-urban transition zones and hilly areas present significant negative deviations. This study advances territorial efficiency research by linking functional structure to efficiency generation through explainable machine learning, providing an interpretable analytical tool and actionable guidance for place-based spatial optimization and high-quality territorial governance. Full article
(This article belongs to the Special Issue Land Space Optimization and Governance)
Show Figures

Figure 1

17 pages, 2208 KB  
Article
Environmental Management Study of Dairy Cattle Farming in the Peri-Urban Area of Algiers, Algeria
by Mounir Ghezal, Bahia Bouchafaa Hammadou, Karima Kouachi, Pierre Spiteri, Tilemachos Koliopoulos and Fateh Mebarek-Oudina
Sustainability 2025, 17(24), 10912; https://doi.org/10.3390/su172410912 - 5 Dec 2025
Viewed by 686
Abstract
This study focuses on the search for the optimal value of the cost per liter of raw milk. The sample included 59 farms with different types of labor, containing 422 elements maintained in different accommodation conditions. The farms are located in an urban [...] Read more.
This study focuses on the search for the optimal value of the cost per liter of raw milk. The sample included 59 farms with different types of labor, containing 422 elements maintained in different accommodation conditions. The farms are located in an urban area in the country’s capital. This study was essentially based on mathematical methodology close to a variant of the Cobb–Douglas function used by many economists. This made it possible to find expressions of the relationships linking different parameters involved in the evaluation of the optimal value of the cost per raw liter, as well as certain critical values of the number of elements to be determined. The results show that the variation in the cost per liter follows two levels; the first relates to a number of elements between one and ten, where the increase occurs in a linear and progressive manner. The second level concerns the range between 10 and 30 elements. It is characterized by a linear increase and is more accentuated than in the previous case. The results also suggest that a critical number indicates the separation between the two levels. Application of these wastes as fertilizers aligns with the EU Action Plan on the Circular Economy and can contribute to achieving SDGs 2 and 12. Full article
Show Figures

Figure 1

25 pages, 49234 KB  
Article
Global Mapping of Population Exposure to Upstream Gas Flaring Using Integrated VIIRS Nightfire and GHSL Data, 2016–2023, with Projections to 2030
by Sotiris Zikas, Christos Christakis, Loukas-Moysis Misthos, Ioannis Psomadakis, Angeliki I. Katsafadou, Ioannis Tsilikas, George C. Fthenakis, Vasilis Vasiliou and Yiannis Kiouvrekis
Toxics 2025, 13(12), 1053; https://doi.org/10.3390/toxics13121053 - 5 Dec 2025
Viewed by 1476
Abstract
Gas flaring from upstream oil and gas production remains a significant source of air pollution and toxic emissions, with major implications for human health and climate. However, the number of people living near flaring has not been quantified globally. This study presents the [...] Read more.
Gas flaring from upstream oil and gas production remains a significant source of air pollution and toxic emissions, with major implications for human health and climate. However, the number of people living near flaring has not been quantified globally. This study presents the first worldwide, settlement-scale assessment of populations living within 1 km and 3 km of active upstream flare sites between 2016 and 2023, with projections to 2030. Using the VIIRS Nightfire satellite product, which provides global detections of high-temperature combustion sources, and the Global Human Settlement Layer (GHSL) population and settlement data, we developed a transparent and reproducible geospatial workflow to compute proximity-based exposure indicators by buffering flare locations and intersecting them with population rasters The analysis provides consistent estimates across five settlement categories: rural, peri-urban/suburban, semi-dense urban, dense urban, and urban centres. The VIIRS-based flaring time series combined with GHSL projections allows us to estimate how many people are likely to live near upstream flares under current flaring patterns by 2030. Results show that exposure is concentrated in a few oil-producing countries. Nigeria remains the most affected, with over 100,000 urban residents exposed in 2023. India and Pakistan dominate peri-urban and semi-urban exposures, while Indonesia and Iraq persist as multi-settlement hotspots. Although moderate declines are observed in China and Iran, little progress is evident in Nigeria, Mexico, and Indonesia. Projections for 2030 suggest exposure will increase substantially, driven by population growth and urban expansion, with about 2.7 million people living within 1 km and 14.8 million within 3 km of flaring sites. The findings establish the first globally consistent baseline for population exposure to gas flaring, supporting the monitoring and mitigation objectives of the Zero Routine Flaring by 2030 initiative. Full article
Show Figures

Figure 1

20 pages, 3599 KB  
Article
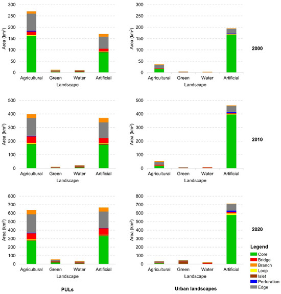
Morphological and Structural Evolution of Peri-Urban Landscapes in Zhengzhou: Implications for Sustainable Peri-Urban Development
by Zhen Shi, Xiaoyan Zhang and Krisztina Filepné Kovács
Land 2025, 14(12), 2339; https://doi.org/10.3390/land14122339 - 28 Nov 2025
Viewed by 510
Abstract
The popularity of peri-urban landscapes (PULs) around the world has made them an important part of shaping urban landscapes and promoting sustainable urban development. This study aims to propose sustainable planning guidelines for PULs by analyzing the quantitative evolution of the type, morphology [...] Read more.
The popularity of peri-urban landscapes (PULs) around the world has made them an important part of shaping urban landscapes and promoting sustainable urban development. This study aims to propose sustainable planning guidelines for PULs by analyzing the quantitative evolution of the type, morphology and structure of PULs in Zhengzhou. The methods employed in this study include the Land Cross Transfer Matrix, Morphological Spatial Pattern Analysis, and Landscape Metrics. The results show that agricultural landscapes and artificial landscapes dominate in PULs, and there is an obvious trend of transformation from agricultural PULs to artificial PULs. PULs presents the characteristics mainly in the form of large patches of cores, belt-shaped corridors, and blocks. In terms of structure, PULs show a trenddominated by the fragmentation of natural and semi-natural landscapes. The patch shapes of PULs become more complex and their heterogeneity increases. Based on the evolution trends of PULs, guidelines for planning adapted to local conditions were proposed. This study not only provides a methodological framework for the quantitative evolution analysis of PULs, but also offers insights for the optimization and management of PULs in other regions. Full article
(This article belongs to the Section Land Planning and Landscape Architecture)
Show Figures

Figure 1

25 pages, 4932 KB  
Article
Assessing the Spatiotemporal Dynamics of Regional Ecosystem Health in Aydın Province, Türkiye
by Birsen Kesgin Atak and Ebru Ersoy Tonyaloğlu
Sustainability 2025, 17(23), 10522; https://doi.org/10.3390/su172310522 - 24 Nov 2025
Viewed by 490
Abstract
This study analyzes the spatial and temporal dynamics of Regional Ecosystem Health (REH) in the province of Aydın, located in western Türkiye, using the Vigor–Organization–Resilience (VOR) framework. Ecosystem conditions between 1995 and 2020 were assessed by integrating remote sensing-based vitality indicators, landscape metrics, [...] Read more.
This study analyzes the spatial and temporal dynamics of Regional Ecosystem Health (REH) in the province of Aydın, located in western Türkiye, using the Vigor–Organization–Resilience (VOR) framework. Ecosystem conditions between 1995 and 2020 were assessed by integrating remote sensing-based vitality indicators, landscape metrics, and habitat quality modeling. Vigor (V) increased across most land use/land cover (LULC) types, whereas Resilience (R) remained generally stable but showed slight declines in natural and semi-natural areas affected by intensive human activities and climatic stressors. This divergence mainly reflects the combined effects of agricultural intensification and the expansion of urban green areas, both of which enhance vegetation vitality and productivity (V), while ongoing habitat fragmentation and land use pressure in natural and semi-natural landscapes reduce ecological resilience (R). Conversely, the weakening of the Organization (O) component in coastal and peri-urban areas is associated with increased fragmentation and low connectivity. This situation clearly suggests the pressure exerted on ecological integrity by tourism infrastructure, second home developments, and intensive agricultural activities. The study’s findings confirm, in line with the literature on the Mediterranean region, that topographic diversity, land use intensity, and socio-economic processes are key factors determining spatial differences in ecosystem health. Furthermore, it was observed that the low REH values concentrated in coastal areas in 1995 had shifted to hotspots in higher elevations by 2020; this spatial shift suggests that the continuity of natural cover in mountainous areas enhances ecological conditions. Consequently, this study, with its VOR-based integrated approach, provides an applicable, replicable, and policy-informative framework for the long-term monitoring of ecosystem health and sustainable land use planning in climate-sensitive and rapidly changing Mediterranean landscapes. Full article
(This article belongs to the Special Issue Sustainable Land Management: Urban Planning and Land Use)
Show Figures

Figure 1

22 pages, 5742 KB  
Article
Unraveling Socio-Ecological Inequities in Outer London: Cluster-Based Resilience Planning
by Qian Mao and Mingze Chen
Land 2025, 14(12), 2303; https://doi.org/10.3390/land14122303 - 23 Nov 2025
Viewed by 528
Abstract
The sustainable development of cities urgently requires an understanding of the interaction between social equity and ecological quality, especially in the peri-urban areas that traditional environmental justice research has paid less attention to. Taking Outer London as an example in this study, the [...] Read more.
The sustainable development of cities urgently requires an understanding of the interaction between social equity and ecological quality, especially in the peri-urban areas that traditional environmental justice research has paid less attention to. Taking Outer London as an example in this study, the Comprehensive Social Equity Index (CSEI) and the Remote Sensing Ecological Index (RSEI) were constructed to explore the social–ecological coupling relationship and spatial heterogeneity. Four types of socio-ecological coupling were identified through the four-quadrant model, ordinary least squares (OLS), and multi-scale geographically weighted regression (MGWR). The results reveal the characteristics of nonlinear coupling: in addition to the dual disadvantages and advantages of society and ecology, there are also regional patterns where social conditions are advantageous, but ecology is degraded, and where society is weak, but ecology is rich. This indicates that there is a complex spatial dislocation relationship between society and ecology in the peri-urban. The research proposes a scale-sensitive governance strategy based on location, emphasizing the coordinated countermeasures of social reinvestment and ecological restoration, providing a new perspective for environmental justice and sustainable planning in the peri-urban areas of the UK. Full article
Show Figures

Figure 1

24 pages, 2085 KB  
Article
DBSCAN Clustering and Entropy Optimization for Geospatial Analysis of Urban–Rural Healthcare Inequities in Latin America
by Caleigh S. Roach, Jacob J. Shawwa, Matthew A. Kis, Connor S. Nee, George Dong, Kate Stillman and Eric C. Brown
Appl. Sci. 2025, 15(22), 12278; https://doi.org/10.3390/app152212278 - 19 Nov 2025
Viewed by 718
Abstract
Healthcare access in Latin America is highly unequal, with rural and peri-urban populations disproportionately excluded from essential and specialized services. To address the persistent gaps often obscured by conventional urban–rural classifications, this study developed a machine learning framework integrating the Functional Urban Area [...] Read more.
Healthcare access in Latin America is highly unequal, with rural and peri-urban populations disproportionately excluded from essential and specialized services. To address the persistent gaps often obscured by conventional urban–rural classifications, this study developed a machine learning framework integrating the Functional Urban Area (FUA) model with Density-Based Spatial Clustering of Applications with Noise (DBSCAN) and Shannon entropy optimization to refine urbanization gradients and quantify inequities across 11 countries. High-resolution population density data from the Meta High Resolution Settlement Layer (HRSL, 2020) and CIESIN’s Gridded Population of the World (GPWv4, rev. 11), combined with healthcare facility locations from Healthsites.io, were processed in R to generate population-facility networks. Entropy optimization dynamically determined country-specific DBSCAN distance thresholds, ensuring representative clustering of functional urban and rural areas. Facilities were categorized by care level, and per-capita densities were compared across clusters. Results showed that entropy-optimized DBSCAN improved spatial precision over traditional approaches and revealed systemic urban bias: Peru, Chile, and Venezuela had the lowest hospital densities, while Ecuador, Bolivia, and Paraguay displayed the strongest rural deficits in primary care. Specialized services were overwhelmingly concentrated in urban clusters. This reproducible framework establishes a quantitative baseline for healthcare inequities, providing data-driven insights to inform the design of decentralized strategies to improve equitable access to care across Latin America. Full article
Show Figures

Figure 1

29 pages, 1820 KB  
Article
Administrative Digital Accessibility as an Opportunity for Rural Development—Case Study: The Peri-Urban Area of Bucharest
by Andrei Ducman, Camelia Teodorescu and Ana-Irina Lequeux-Dincă
Economies 2025, 13(11), 335; https://doi.org/10.3390/economies13110335 - 18 Nov 2025
Viewed by 592
Abstract
Administrative digital accessibility drives rural development, particularly in peri-urban areas where traditional governance meets the growing demands for digital services. The study examines the role of digital tools in local administrations in supporting citizen engagement and responsiveness in communes near Bucharest. A composite [...] Read more.
Administrative digital accessibility drives rural development, particularly in peri-urban areas where traditional governance meets the growing demands for digital services. The study examines the role of digital tools in local administrations in supporting citizen engagement and responsiveness in communes near Bucharest. A composite digital maturity index was created, utilizing indicators such as website usability, social media presence, integration with national platforms, and administrative transparency. Building on this framework, results reveal pronounced disparities. Dobroești (79 points) and Jilava (69 points) emerge as digital leaders, demonstrating advanced online services and structured communication. In contrast, communes such as Chiajna, Clinceni, and Tunari show limited digital adoption, with four out of eleven communes scoring below 50. This highlights significant inconsistencies in digital implementation. These disparities are further reflected in the findings, which indicate the absence of a coherent regional digital strategy. Each commune operates independently, without a standardized approach to digitalization, resulting in fragmented infrastructures and uneven citizen engagement. High performance in one area does not guarantee broader digital inclusion. These insights underscore the need for targeted policies that respect local priorities while promoting harmonized digital capacities across peri-urban communes, ensuring equitable access to digital public services and fostering inclusive administrative modernization. Full article
(This article belongs to the Special Issue Economic Indicators Relating to Rural Development)
Show Figures

Figure 1

Back to TopTop