Sign in to use this feature.

Years

Between: -

Subjects

remove_circle_outline
remove_circle_outline
remove_circle_outline
remove_circle_outline
remove_circle_outline

Journals

Article Types

Countries / Regions

Search Results (15)

Search Parameters:
Keywords = pentatomids

Order results
Result details
Results per page
Select all
Export citation of selected articles as:
21 pages, 1074 KB  
Article
Monitoring and Volatile Profiling of Fruit Crops as Host Plants of the Polyphagous Brown Marmorated Stink Bug Halyomorpha halys (Stål, 1855)
by Alicia Koßmann, Bruna Czarnobai de Jorge, Asya Demir, Astrid Eben and Jürgen Gross
Insects 2026, 17(2), 186; https://doi.org/10.3390/insects17020186 - 10 Feb 2026
Viewed by 550
Abstract
Volatile organic substances (VOCs) emitted by plants play an important role in the recognition and selection of host plants by insects. For polyphagous insects with a broad host range, like the brown marmorated stink bug Halyomorpha halys, not much is known about [...] Read more.
Volatile organic substances (VOCs) emitted by plants play an important role in the recognition and selection of host plants by insects. For polyphagous insects with a broad host range, like the brown marmorated stink bug Halyomorpha halys, not much is known about the plant volatiles that influence host choice. In order to determine which odour stimuli could influence host selection, monitoring was carried out using pheromone traps in orchards with various host plants. The headspace of the phenological stages of plants on which H. halys occurred in large numbers was sampled and analysed with gas chromatography coupled with mass spectrometry (GC-MS). The volatile profiles of the different host plants varied significantly. Some compounds occurred in high relative proportions across all taxa. Those compounds were tested by H. halys using electroantennography. H. halys’ antennae responded significantly to all of the selected compounds. In a Y-tube olfactometer, H. halys showed a significant attraction to 1 µg hexanal, 100 µg (E)-4,8-dimethyl-1,3,7-nonatriene (DMNT), and a volatile mixture. Due to the limited sustainable strategies for plant protection against this polyphagous insect, adding attractive plant volatiles to lures could improve the effectiveness of alternative volatile-based plant protection strategies, such as traps or capsules, or promote their development. Full article
(This article belongs to the Section Insect Pest and Vector Management)
Show Figures

Figure 1

12 pages, 4564 KB  
Article
Improving the Efficiency and Safety of Sentinel Stink Bug Eggs Using X-rays
by Evelyne Hougardy, Ronald P. Haff and Brian N. Hogg
Insects 2024, 15(10), 767; https://doi.org/10.3390/insects15100767 - 4 Oct 2024
Cited by 1 | Viewed by 1885
Abstract
Sentinel eggs used to monitor field parasitism of stink bug pests (Hemiptera: Pentatomidae) can only be deployed for a few days to avoid releasing the pest in the monitored area. Using sterile eggs removes the risk of accidental pest introduction and extends deployment [...] Read more.
Sentinel eggs used to monitor field parasitism of stink bug pests (Hemiptera: Pentatomidae) can only be deployed for a few days to avoid releasing the pest in the monitored area. Using sterile eggs removes the risk of accidental pest introduction and extends deployment time. Freezing the eggs before deployment is one common method of sterilizing sentinel eggs. However, some egg parasitoid species have low or no parasitism on frozen eggs. In this study, X-ray irradiation was used to sterilize Bagrada hilaris sentinel eggs intended for monitoring parasitism by Gryon aetherium (Hymenoptera: Scelionidae), the most promising biological control candidate. In this case, freezing sentinel eggs is not recommended because G. aetherium has low levels of parasitism on frozen eggs. Doses as low as 10 Gy induced 100% sterility. Irradiated eggs successfully sustained the development of G. aetherium and Ooencyrtus californicus (Hymenoptera: Encyrtidae), another egg parasitoid attacking B. hilaris, and parasitism levels were comparable to that of fresh eggs up to seven days old. In addition, G. aetherium showed no preference for fresh non-irradiated eggs over seven-day-old irradiated eggs. Our results indicate that X-ray irradiation is a suitable alternative to produce safe and reliable sentinel eggs to monitor the egg parasitism of B. hilaris and possibly other species. Full article
(This article belongs to the Section Insect Pest and Vector Management)
Show Figures

Figure 1

13 pages, 1953 KB  
Article
Potential for Grain Sorghum as a Trap and Nursery Crop for Helicoverpa zea and Its Natural Enemies and Dissemination of HearNPV into Cotton
by Wilfrid Calvin, Jeffrey Gore, Jeremy Greene, Lindsey Perkin and David L. Kerns
Agronomy 2024, 14(8), 1779; https://doi.org/10.3390/agronomy14081779 - 13 Aug 2024
Cited by 1 | Viewed by 1764
Abstract
Experiments were conducted in 2020 and 2021 in College Station, TX; Stoneville, MS; and Blackville, SC, to evaluate the potential of grain sorghum to serve as a trap crop for Helicoverpa zea (Boddie), a nursery crop for natural enemies of H. zea, [...] Read more.
Experiments were conducted in 2020 and 2021 in College Station, TX; Stoneville, MS; and Blackville, SC, to evaluate the potential of grain sorghum to serve as a trap crop for Helicoverpa zea (Boddie), a nursery crop for natural enemies of H. zea, and a source of Helicoverpa armigera nucleopolyhedrovirus (HearNPV) for H. zea management in cotton. The experiments consisted of three treatments, including cotton-only, non-treated cotton–sorghum, and HearNPV-treated cotton–sorghum. Variables, including percent injury to fruiting forms, parasitized H. zea larvae, egg density, H. zea larval density, beneficial arthropod numbers, and HearNPV prevalence, were compared between the treatments. Growing cotton in an intercropping system with grain sorghum did not result in a consistent increase in H. zea control and beneficial arthropod density relative to the cotton-only treatment. Additionally, our results did not show sufficient evidence that grain sorghum interplanted with cotton can serve as a source of HearNPV that can favor H. zea control in cotton. However, we found that, if maintained in the cotton canopy, HearNPV may favor some level of H. zea suppression in cotton. Based on our HearNPV infection analyses using PCR, chrysopids, coccinellids, pentatomids, reduviids, formicids, anthocorids, and spiders appeared to be carrying HearNPV. The virus was detected consistently in specimens of coccinellids, pentatomids, and reduviids across both years of the study. We suggest that further investigation on virus efficacy against H. zea in cotton using the sorghum–cotton system as well as the ability of grain sorghum to serve as a H. zea trap crop and source of H. zea natural enemies be considered in future studies. Full article
Show Figures

Figure 1

15 pages, 2036 KB  
Article
Effects of Irradiation on Biology and Mating Behaviour of Wild Males of Brown Marmorated Stink Bug Using a 6 MV Medical Linear Accelerator
by Gerardo Roselli, Gianfranco Anfora, David Maxwell Suckling, Valerio Mazzoni, Valentina Vanoni, Loris Menegotti, Lorenzo Fellin, Marco Valerio Rossi Stacconi, Claudio Ioriatti and Massimo Cristofaro
Insects 2023, 14(5), 460; https://doi.org/10.3390/insects14050460 - 13 May 2023
Cited by 9 | Viewed by 2964
Abstract
The brown marmorated stink bug, Halyomorpha halys, is a pentatomid bug of Eastern Asian origin that became an economically relevant pest in the Eurasian and American continents. Management of this species is limited to use of chemical insecticides: an inefficient method due [...] Read more.
The brown marmorated stink bug, Halyomorpha halys, is a pentatomid bug of Eastern Asian origin that became an economically relevant pest in the Eurasian and American continents. Management of this species is limited to use of chemical insecticides: an inefficient method due to the strong adaptability of the target pest. The sterile insect technique (SIT) is potentially a valid tactic in the search for nontoxic alternatives. In this work, we investigated the suitability of mass-trapped overwintering males, collected during the aggregation phase before the winter diapause, for their release as competitive sterile males in an SIT programme. Differently from previous studies, irradiation was applied with a linear accelerator device that produced high-energy photons. Following a similar scientific protocol with newly emerged irradiated males, the effects of X-ray irradiation on physiological parameters (longevity, fecundity and fertility) were assessed. In addition, behavioural bioassays were carried out in no-choice conditions to evaluate if irradiation interferes with mating processes. The results are very encouraging; the effects of the irradiation at 32 Gy did not differ from the controls in the longevity or fecundity of the exposed overwintering adults. The hatching rate of the eggs laid by the fertile females that had mated with the irradiated males was less than 5%. The results of behavioural bioassays showed that the irradiation did not cause a significant impact on the quality of the sterile males. More research is warranted to evaluate the mating competitiveness of sterile males in semi-field and field conditions. Full article
(This article belongs to the Section Insect Pest and Vector Management)
Show Figures

Figure 1

10 pages, 279 KB  
Article
Estimating the Cost of Production of Two Pentatomids and One Braconid for the Biocontrol of Spodoptera frugiperda (Lepidoptera: Noctuidae) in Maize Fields in Florida
by Jermaine D. Perier, Muhammad Haseeb, Daniel Solís, Lambert H. B. Kanga and Jesusa C. Legaspi
Insects 2023, 14(2), 169; https://doi.org/10.3390/insects14020169 - 9 Feb 2023
Cited by 2 | Viewed by 3384
Abstract
The fall armyworm is a polyphagous lepidopteran pest that primarily feeds on valuable global crops like maize. Insecticides and transgenic crops have long been a primary option for fall armyworm control, despite growing concerns about transgenic crop resistance inheritance and the rate of [...] Read more.
The fall armyworm is a polyphagous lepidopteran pest that primarily feeds on valuable global crops like maize. Insecticides and transgenic crops have long been a primary option for fall armyworm control, despite growing concerns about transgenic crop resistance inheritance and the rate of insecticide resistance development. Global dissemination of the pest species has highlighted the need for more sustainable approaches to managing overwhelming populations both in their native range and newly introduced regions. As such, integrated pest management programs require more information on natural enemies of the species to make informed planning choices. In this study, we present a cost analysis of the production of three biocontrol agents of the fall armyworm over a year. This model is malleable and aimed towards small-scale growers who might benefit more from an augmentative release of natural enemies than a repetitive use of insecticides, especially since, though the benefits of using either are similar, the biological control option has a lower development cost and is more environmentally sustainable. Full article
(This article belongs to the Special Issue Recent Advances in Fall Armyworm Research)
17 pages, 1654 KB  
Article
Effects of Gamma Irradiation on the Fecundity, Fertility, and Longevity of the Invasive Stink Bug Pest Bagrada hilaris (Burmeister) (Hemiptera: Pentatomidae)
by Massimo Cristofaro, René F. H. Sforza, Gerardo Roselli, Alessandra Paolini, Alessia Cemmi, Sergio Musmeci, Gianfranco Anfora, Valerio Mazzoni and Michael Grodowitz
Insects 2022, 13(9), 787; https://doi.org/10.3390/insects13090787 - 30 Aug 2022
Cited by 17 | Viewed by 3705
Abstract
The bagrada bug, Bagrada hilaris, is an invasive insect pest in the family Brassicaceae that causes economically important damage to crops. It was originally present in Asia, the Middle East, and Africa, and was reported as invasive in the southwestern part of [...] Read more.
The bagrada bug, Bagrada hilaris, is an invasive insect pest in the family Brassicaceae that causes economically important damage to crops. It was originally present in Asia, the Middle East, and Africa, and was reported as invasive in the southwestern part of the US, in Chile, and on a few islands in the Mediterranean Basin. In its native range, B. hilaris is controlled by several egg parasitoid species that are under consideration as potential biological control agents. This research evaluated the impact of gamma irradiation on life history parameters, e.g., the fecundity, fertility, and longevity of B. hilaris, as a critical step towards assessing the feasibility of using the sterile insect technique against this recent invasive pest. Newly emerged adults of a laboratory colony originally collected from the island of Pantelleria (Italy) were gamma-irradiated. Life history parameters were evaluated at nine different doses, ranging from 16 Gy to 140 Gy. The minimal dose to approach full sterility was 100 Gy. Irradiation up to a maximum of 140 Gy apparently did not negatively impact the longevity of the adults. Even if both genders are sensitive to irradiation, the decline in fecundity for irradiated females could be exploited to release irradiated males safely to apply the SIT in combination with classical biological control. The data presented here allow us to consider, for the first time, the irradiation of bagrada adults as a suitable and feasible technique that could contribute to guaranteeing a safe approach to control this important pest species in agro-ecosystems. More research is warranted on the competitive fitness of irradiated males to better understand mating behavior as well as elucidate the possible mechanisms of sperm selection by polyandric B. hilaris females. Full article
Show Figures

Figure 1

11 pages, 1357 KB  
Article
Attraction of Egg Parasitoids Trissolcus mitsukurii and Trissolcus japonicus to the chemical cues of Halyomorpha halys and Nezara viridula
by Marica Scala, Jalal Melhem Fouani, Livia Zapponi, Valerio Mazzoni, Karen Elizabeth Wells, Antonio Biondi, Nuray Baser, Vincenzo Verrastro and Gianfranco Anfora
Insects 2022, 13(5), 439; https://doi.org/10.3390/insects13050439 - 6 May 2022
Cited by 15 | Viewed by 4566
Abstract
Trissolcus mitsukurii and Trissolcus japonicus are two Asian egg parasitoids associated with different pentatomids such as Halyomorpha halys. Adventive populations of T. mitsukurii were found in Northern Italy, suggesting its employment as a biological control agent (BCA) against H. halys. Nevertheless, [...] Read more.
Trissolcus mitsukurii and Trissolcus japonicus are two Asian egg parasitoids associated with different pentatomids such as Halyomorpha halys. Adventive populations of T. mitsukurii were found in Northern Italy, suggesting its employment as a biological control agent (BCA) against H. halys. Nevertheless, to reduce the latter’s population, T. japonicus was released in Italy. Releasing an exotic parasitoid requires investigating the interaction between the BCA and the environment to avoid negative impacts on the entomofauna of the new habitat. Trissolcus mitsukurii is mainly associated with Nezara viridula in its native area. Therefore, we investigated and compared the ability of female T. mitsukurii and T. japonicus to distinguish between naturally released cues of H. halys and N. viridula. A single parasitoid was exposed to contact kairomones of both pests to evaluate its modifications in orthokinetic and locomotory behaviour. The behaviour of female T. mitsukurii was also tested on synthetic compounds simulating the cues of the two pentatomids. When naturally released cues were used, T. japonicus preferred the traces of H. halys, while T. mitsukurii preferred N. viridula’s cues. Moreover, the attraction of T. mitsukurii to N. viridula’s cues was confirmed with synthetic cues. Additional studies are needed to judge if this parasitoid can be used as a BCA. Full article
(This article belongs to the Special Issue Environmentally-Friendly Pest Control Approaches for Invasive Insects)
Show Figures

Figure 1

9 pages, 1077 KB  
Article
Lateralization of Courtship Traits Impacts Pentatomid Male Mating Success—Evidence from Field Observations
by Donato Romano, Giovanni Benelli and Cesare Stefanini
Insects 2022, 13(2), 172; https://doi.org/10.3390/insects13020172 - 5 Feb 2022
Cited by 9 | Viewed by 4155
Abstract
Lateralization has been documented in many insect species, but limited information on courtship and mating lateralization in wild conditions is available. We conducted field investigation on the courtship and mating behavior of the neem bug, Halys dentatus, a polyphagous insect mainly infesting [...] Read more.
Lateralization has been documented in many insect species, but limited information on courtship and mating lateralization in wild conditions is available. We conducted field investigation on the courtship and mating behavior of the neem bug, Halys dentatus, a polyphagous insect mainly infesting Azadirachta indica, with particular attention to lateralization of mating displays. We investigated the presence of population-level behavioral asymmetries during H. dentatus sexual interactions and their influence on male mating success. Two lateralized traits were found: left or right-biased male approaches to the female and left or right-biased male turning displays. Males approaching females from their left side were mainly right-biased in the 180° turning display, and males that approached females from their right side were mainly left-biased. Right-biased males by turning 180° to carry out end-to-end genital contact, performed a lower number of copulation attempts, thus starting copula earlier than left-biased males. Mating success was higher when males approached the left side of females during sexual interactions. A higher number of successful mating interactions was observed in right-biased males when turning 180°. Our results add useful knowledge on the reproductive behavior of H. dentatus in the field, with potential applications for identifying useful benchmarks to monitor the quality of individuals mass-reared for pest control purposes over time. Full article
Show Figures

Figure 1

13 pages, 12524 KB  
Article
Reduction in Insect Attachment Caused by Different Nanomaterials Used as Particle Films (Kaolin, Zeolite, Calcium Carbonate)
by Gianandrea Salerno, Manuela Rebora, Silvana Piersanti, Valerio Saitta, Alexander Kovalev, Elena Gorb and Stanislav Gorb
Sustainability 2021, 13(15), 8250; https://doi.org/10.3390/su13158250 - 23 Jul 2021
Cited by 22 | Viewed by 4481
Abstract
In the present investigation, we compared the reduction in attachment ability of the southern green stinkbug Nezara viridula (Hemiptera: Pentatomidae) to glass induced by three different nanoparticle (kaolin, zeolite, and calcium carbonate) films. Using traction force experiments, behavioral experiments, and scanning electron microscopy [...] Read more.
In the present investigation, we compared the reduction in attachment ability of the southern green stinkbug Nezara viridula (Hemiptera: Pentatomidae) to glass induced by three different nanoparticle (kaolin, zeolite, and calcium carbonate) films. Using traction force experiments, behavioral experiments, and scanning electron microscopy observations, we analyzed the insect attachment ability and linear speed on untreated and treated glass with the three particle films. The three nanomaterials strongly reduced insect attachment ability mainly owing to contamination of attachment pads. The ability to reduce insect attachment was different for the three tested particle films: kaolin and zeolite induced a significantly higher reduction in N. viridula safety factor than calcium carbonate. The coating of the surface was more uniform and compact in kaolin and zeolite compared to calcium carbonate particle film. Moreover, kaolin and zeolite particles can more readily adhere to N. viridula attachment devices, whereas calcium carbonate particles appeared less adherent to the cuticular surface compared to the two aluminosilicate (kaolin and zeolite) particles. Only the application of kaolin reduced insect linear speed during locomotion. Nanoparticle films have a great potential to reduce insect attachment ability and represent a good alternative to the use of insecticides for the control of pentatomid bugs and other pest insects. Full article
(This article belongs to the Special Issue Sustainable Defense Strategies for Pest Management)
Show Figures

Figure 1

18 pages, 6804 KB  
Article
Reproductive and Developmental Biology of Acroclisoides sinicus, a Hyperparasitoid of Scelionid Parasitoids
by Lucrezia Giovannini, Giuseppino Sabbatini-Peverieri, Patricia Glynn Tillman, Kim Alan Hoelmer and Pio Federico Roversi
Biology 2021, 10(3), 229; https://doi.org/10.3390/biology10030229 - 16 Mar 2021
Cited by 17 | Viewed by 4295
Abstract
Acroclisoides sinicus (Hymenoptera: Pteromalidae) was described in 1988 from China, but recent findings in Europe and North America within the framework of Halyomorpha halys (Hemiptera: Pentatomidae) biological control indicate a Holarctic distribution. The few records and fragmented information on A. sinicus are derived [...] Read more.
Acroclisoides sinicus (Hymenoptera: Pteromalidae) was described in 1988 from China, but recent findings in Europe and North America within the framework of Halyomorpha halys (Hemiptera: Pentatomidae) biological control indicate a Holarctic distribution. The few records and fragmented information on A. sinicus are derived from generic observations of other species belonging to the same genus, and its biological and ethological traits are still completely unexplored. It was suspected to be a facultative or obligate hyperparasitoid of many egg parasitoid species (e.g., Scelionidae and Eupelmidae), especially those parasitizing Pentatomidae eggs. Laboratory colonies of A. sinicus were established from specimens collected in the field in Europe and the USA, which allowed us to investigate for the first time the life traits of this somewhat enigmatic species. Our studies confirmed the obligate hyperparasitoid hypothesis for species of Scelionidae but not of Eupelmidae. Laboratory studies revealed that A. sinicus is extremely selective in its host recognition as only the pupal stage of its host species is exploited for parasitization. Taking into consideration its hyperparasitoid habit, the adventive A. sinicus populations in Europe and North America may potentially be severe threats to pentatomid natural control as new components in the trophic chain of pentatomids and their parasitoid guilds. Full article
(This article belongs to the Section Zoology)
Show Figures

Figure 1

23 pages, 2034 KB  
Article
Hidden Host Mortality from an Introduced Parasitoid: Conventional and Molecular Evaluation of Non-Target Risk
by James R. Hepler, Kacie Athey, David Enicks, Paul K. Abram, Tara D. Gariepy, Elijah J. Talamas and Elizabeth Beers
Insects 2020, 11(11), 822; https://doi.org/10.3390/insects11110822 - 23 Nov 2020
Cited by 13 | Viewed by 4037
Abstract
Hidden trophic interactions are important in understanding food web ecology and evaluating the ecological risks and benefits associated with the introduction of exotic natural enemies in classical biological control programs. Although non-target risk is typically evaluated based on evidence of successful parasitism, parasitoid-induced [...] Read more.
Hidden trophic interactions are important in understanding food web ecology and evaluating the ecological risks and benefits associated with the introduction of exotic natural enemies in classical biological control programs. Although non-target risk is typically evaluated based on evidence of successful parasitism, parasitoid-induced host mortality not resulting in visible evidence of parasitism (i.e., nonreproductive effects) is often overlooked. The adventive establishment of Trissolcus japonicus, an exotic parasitoid of the introduced stink bug Halyomorpha halys, provides an opportunity to investigate the total impact of this parasitoid on target and non-target hosts in the field. We developed a new methodology to measure nonreproductive effects in this system, involving a species-specific diagnostic PCR assay for T. japonicus. We applied this methodology to field-deployed eggs of four pentatomid species, coupled with traditional rearing techniques. Nonreproductive effects were responsible for the mortality of an additional 5.6% of H. halys eggs due to T. japonicus, and were even more substantial in some of the non-target species (5.4–43.2%). The observed hidden mortality of native non-target species from an introduced parasitoid could change predictions about direct and indirect ecological interactions and the efficacy of biological control of the target pest. Full article
Show Figures

Figure 1

17 pages, 1707 KB  
Article
Assemblage of the Egg Parasitoids of the Invasive Stink Bug Halyomorpha halys: Insights on Plant Host Associations
by Livia Zapponi, Marie Claude Bon, Jalal Melhem Fouani, Gianfranco Anfora, Silvia Schmidt and Martina Falagiarda
Insects 2020, 11(9), 588; https://doi.org/10.3390/insects11090588 - 1 Sep 2020
Cited by 30 | Viewed by 4049
Abstract
Halyomorpha halys (Stål) (Hemiptera: Pentatomidae) is an invasive alien species and a key agricultural pest. Its native parasitoids (Trissolcus japonicus Ashmead and Tr. mitsukurii Ashmead) have been registered in several countries where H. halys brought dramatic economic losses and where biological control [...] Read more.
Halyomorpha halys (Stål) (Hemiptera: Pentatomidae) is an invasive alien species and a key agricultural pest. Its native parasitoids (Trissolcus japonicus Ashmead and Tr. mitsukurii Ashmead) have been registered in several countries where H. halys brought dramatic economic losses and where biological control is considered to be the most effective long-term solution. By searching for stink bug egg masses and exposing sentinel egg masses, we monitored the distribution of native and exotic egg parasitoids in Trentino-Alto Adige (Italy), an area where both the host and parasitoids are in expansion. We recorded ten pentatomids, seven parasitoid species, with the first report of Tr. japonicus in this area and a hyperparasitoid. In the assemblage, Anastatus bifasciatus (Geoffroy) and Tr. mitsukurii were the dominant parasitoids, with a different distribution in terms of context and host plants. Sycamore was the host plant where the highest number of naturally laid parasitized egg masses (26%) were recorded. Trissolcus mitsukurii showed the highest parasitism rate, and was often found in apple orchards. The emergence of exotic parasitoids showed a temporal delay compared to native ones. Sequence analysis of 823 bp of the CO1 mitochondrial gene revealed that the recovered Tr. japonicus and Tr. mitsukurii harbored one single haplotype each. These haplotypes were previously found in 2018 in Northern Italy. While sentinel egg masses proved to be very effective in tracking the arrival of exotic Trissolcus species, the collection of stink bug egg masses provided fundamental data on the plant host species. The results lend strong support to the adaptation of exotic Trissolcus species to the environmental conditions of the range of introduction, providing new information on plant host-associations, fundamental for the development of biological control programs. Full article
(This article belongs to the Special Issue Advances in Conservation Biocontrol of Beneficial Insects)
Show Figures

Figure 1

14 pages, 1207 KB  
Article
Egg Sterilisation of Irradiated Nezara viridula (Hemiptera: Pentatomidae)
by Kiran Jonathan Horrocks, Taylor Welsh, Jim E Carpenter and David Maxwell Suckling
Insects 2020, 11(9), 564; https://doi.org/10.3390/insects11090564 - 24 Aug 2020
Cited by 7 | Viewed by 4458
Abstract
Nezara viridula Linnaeus (Hemiptera: Pentatomidae) is a polyphagous pest of a wide range of economically important crops. Because the control of this species and other pentatomids relies primarily on insecticide application, investigation into the Sterile Insect Technique (SIT) is warranted. We aimed to [...] Read more.
Nezara viridula Linnaeus (Hemiptera: Pentatomidae) is a polyphagous pest of a wide range of economically important crops. Because the control of this species and other pentatomids relies primarily on insecticide application, investigation into the Sterile Insect Technique (SIT) is warranted. We aimed to investigate the irradiation biology of N. viridula for the potential application of SIT against this pest. Male and female N. viridula were gamma-irradiated at doses between 4 and 28 Gy and mated with both irradiated and nonirradiated conspecifics. Sterility of the resulting eggs followed a dose-response in each case. Irradiated males crossed with untreated females showed higher F1 egg sterility than crosses where the female was irradiated. The greatest F1 egg sterility was observed when both parents were irradiated. There was no obvious dose-response for the longevity of irradiated males, and for the fecundity of nonirradiated females mated with irradiated males. The fecundity of irradiated females appeared to decrease with irradiation dose. These results can be applied to a potential future application of SIT against N. viridula, but predominantly supports the ongoing development of SIT for Halyomorpha halys Stål (Hemiptera: Pentatomidae) and hemipteran pests in general. Full article
(This article belongs to the Special Issue Sterile Insect Technique (SIT) and Its Applications)
Show Figures

Graphical abstract

16 pages, 1002 KB  
Article
Evaluation of the Physiological Host Range for the Parasitoid Ooencyrtus mirus, a Potential Biocontrol Agent of Bagrada hilaris
by Nancy Power, Fatemeh Ganjisaffar and Thomas M. Perring
Insects 2020, 11(7), 432; https://doi.org/10.3390/insects11070432 - 10 Jul 2020
Cited by 13 | Viewed by 3342
Abstract
The thelytokous egg parasitoid Ooencyrtus mirus Triapitsyn and Power (Hymenoptera: Encyrtidae) was recovered from brassica plant debris in Pakistan in an effort to find a biological control agent of the invasive bug Bagrada hilaris (Burmeister) (Heteroptera: Pentatomidae) in North America. As the first [...] Read more.
The thelytokous egg parasitoid Ooencyrtus mirus Triapitsyn and Power (Hymenoptera: Encyrtidae) was recovered from brassica plant debris in Pakistan in an effort to find a biological control agent of the invasive bug Bagrada hilaris (Burmeister) (Heteroptera: Pentatomidae) in North America. As the first step in determining the overall host range of this parasitoid, adult females were exposed to the eggs of eight alternate pentatomid host species, two non-pentatomid heteropterans, and two lepidopterans, in choice and no-choice tests. Although O. mirus was more successful on B. hilaris than the other species in terms of the number of the eggs laid, the number of emerged progeny, and the developmental time of the progeny, it was able to reproduce on all of the alternate hosts except for one of the lepidopterans, whose eggs appeared too small for this parasitoid. The results show O. mirus to be a generalist parasitoid species with a preference for B. hilaris. The results also indicate that there is a linear relationship between the mean body length of O. mirus females and the mean host egg weight with an adjusted R 2 of 0.90. The implications of this study on the release of O. mirus for the control of B. hilaris are discussed. Full article
(This article belongs to the Special Issue Improving Invasive Insect Species Management)
Show Figures

Figure 1

11 pages, 1428 KB  
Article
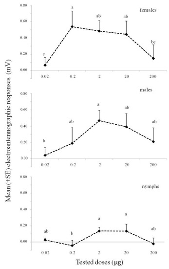
The Role of (E)-2-octenyl Acetate as a Pheromone of Bagrada hilaris (Burmeister): Laboratory and Field Evaluation
by Mokhtar Abdulsattar Arif, Salvatore Guarino, Stefano Colazza and Ezio Peri
Insects 2020, 11(2), 109; https://doi.org/10.3390/insects11020109 - 9 Feb 2020
Cited by 10 | Viewed by 3405
Abstract
The pentatomid bug Bagrada hilaris is a key pest of brassicaceous crops in several areas of the world. Previous studies suggest that mate location of this species is mediated by volatile chemicals produced by males, among which the main compound is (E [...] Read more.
The pentatomid bug Bagrada hilaris is a key pest of brassicaceous crops in several areas of the world. Previous studies suggest that mate location of this species is mediated by volatile chemicals produced by males, among which the main compound is (E)-2-octenyl acetate. However, the possible attraction of males, females, and nymphs to this compound has not yet been specifically tested. In this study, we tested the response of B. hilaris females, males, and nymphs to (E)-2-octenyl acetate using an electroantennogram (EAG) and olfactometer in the presence or absence of a host plant. Moreover, (E)-2-octenyl acetate as an attractant lure in field trap bioassays was evaluated. EAG recordings showed that this compound evokes antennal responses in B. hilaris females. Olfactometer behavioral responses showed that females and nymphs were attracted to (E)-2-octenyl acetate, while males showed no attraction. In the field trap bioassays, captures were obtained in traps baited with 5 and 10 mg of (E)-2-octenyl acetate, while in traps loaded with 2 mg and control traps, there were no recorded catches. These results suggest the involvement of (E)-2-octenyl acetate in intraspecific interactions of this species. Full article
Show Figures

Figure 1

Back to TopTop