Due to scheduled maintenance work on our servers, there may be short service disruptions on this website between 11:00 and 12:00 CEST on March 28th.
Sign in to use this feature.

Years

Between: -

Subjects

remove_circle_outline
remove_circle_outline
remove_circle_outline
remove_circle_outline
remove_circle_outline
remove_circle_outline
remove_circle_outline
remove_circle_outline
remove_circle_outline

Journals

remove_circle_outline
remove_circle_outline
remove_circle_outline
remove_circle_outline
remove_circle_outline
remove_circle_outline
remove_circle_outline
remove_circle_outline
remove_circle_outline

Article Types

Countries / Regions

remove_circle_outline
remove_circle_outline
remove_circle_outline
remove_circle_outline

Search Results (491)

Search Parameters:
Keywords = pedestrian behavior

Order results
Result details
Results per page
Select all
Export citation of selected articles as:
31 pages, 5285 KB  
Article
Research on Multi-Task Spatio-Temporal Learning Model with Dynamic Graph Attention for Joint Pedestrian Trajectory and Intention Prediction
by Guanchen Zhou, Yongqian Zhao and Zhaoyong Gu
Appl. Sci. 2026, 16(6), 2881; https://doi.org/10.3390/app16062881 - 17 Mar 2026
Viewed by 153
Abstract
Accurate pedestrian trajectory prediction and intention estimation are crucial for autonomous systems and intelligent transportation applications. However, existing methods often address these two highly correlated tasks in isolation and rely on static or heuristic interaction modeling, leading to insufficient adaptability and limited generalization [...] Read more.
Accurate pedestrian trajectory prediction and intention estimation are crucial for autonomous systems and intelligent transportation applications. However, existing methods often address these two highly correlated tasks in isolation and rely on static or heuristic interaction modeling, leading to insufficient adaptability and limited generalization capability in dynamic traffic scenarios. To this end, this paper proposes MTG-TPNet, a Multi-task dynamic Graph Transformer network for joint Trajectory Prediction and intention estimation. The research framework integrates three key innovations: First, a dynamic graph neural network enhanced with motion features, whose graph topology can be adaptively learned end-to-end based on semantic and motion contexts to accurately capture evolving interactions. Second, a multi-granularity attention mechanism that collaboratively fuses geometric proximity, semantic similarity, and physical hard constraints to achieve fine-grained modeling of spatiotemporal dependencies. Third, a dynamic correlation loss based on Bayesian uncertainty, which balances multi-task learning in an adaptive manner and encourages beneficial interactions across tasks. Extensive experiments on the publicly available PIE and ETH/UCY datasets demonstrate that MTG-TPNet achieves state-of-the-art performance. On the PIE dataset, the proposed model significantly outperforms the best baseline model in trajectory prediction metrics, achieving an Average Displacement Error (ADE) of 0.21 and a Final Displacement Error (FDE) of 0.29. This represents a 27.6% reduction in ADE while maintaining stability in intention estimation. Systematic ablation studies validate the effectiveness of each proposed module, with the model retaining an average performance of 69.3%. Furthermore, cross-dataset evaluations confirm its superior generalization capability. This study provides a powerful unified framework for robust pedestrian behavior understanding in complex urban traffic scenarios. Full article
Show Figures

Figure 1

23 pages, 2962 KB  
Article
Feasibility of Infrared-Based Pedestrian Detectability in Unlit Urban and Rural Road Sections Using Consumer Thermal Cameras
by Yordan Stoyanov, Atanasi Tashev and Penko Mitev
Vehicles 2026, 8(3), 61; https://doi.org/10.3390/vehicles8030061 - 16 Mar 2026
Viewed by 202
Abstract
This study evaluates the feasibility of using two affordable thermal cameras (UNI-T UTi260M and UTi260T), which are not designed as automotive sensors, for observing pedestrians and warm objects during night-time driving under low-illumination conditions. The experimental setup includes mounting the camera on the [...] Read more.
This study evaluates the feasibility of using two affordable thermal cameras (UNI-T UTi260M and UTi260T), which are not designed as automotive sensors, for observing pedestrians and warm objects during night-time driving under low-illumination conditions. The experimental setup includes mounting the camera on the vehicle body (e.g., side mirror area/roof), recording road scenes in urban and rural environments, and selecting representative frames for qualitative and quantitative analysis. The study assesses: (i) observable pedestrian detectability in unlit road sections and under oncoming headlight glare, where visible cameras often lose contrast; (ii) the influence of low ambient temperature and strong cold wind on image appearance (including “whitening”/contrast shifts); and (iii) workflow differences, where UTi260M relies on a smartphone application for streaming/recording, while UTi260T supports PC-based image analysis and temperature-profile visualization. In addition, a calibration-based geometric method is proposed for approximate pedestrian distance estimation from single frames using silhouette pixel height and a regression model based on 1/hpx, valid for a specific mounting configuration and a known subject height. Results indicate that both cameras can highlight warm objects relative to the background and support visual pedestrian identification at low illumination, including in the presence of oncoming headlights, with UTi260M showing more stable behavior in parts of the tests. This work is a feasibility study and does not claim Advanced Driver Assist Systems (ADAS) functionality; it outlines limitations, repeatability considerations, and a minimal set of metrics and procedures for future extension. All quantitative indicators derived from exported frames are explicitly treated as image-level proxy metrics, not as physical sensor characteristics. Full article
(This article belongs to the Special Issue Novel Solutions for Transportation Safety, 2nd Edition)
Show Figures

Figure 1

24 pages, 4429 KB  
Article
Disentangling Interaction and Intention for Long-Tail Pedestrian Trajectory Prediction
by Chengkai Yang, Jincheng Liu and Xingping Dong
Computers 2026, 15(3), 186; https://doi.org/10.3390/computers15030186 - 12 Mar 2026
Viewed by 186
Abstract
Pedestrian trajectory prediction remains a challenging task, particularly in long-tail scenarios where goal distributions are sparse and inter-agent behaviors are uncertain. In this work, we propose to disentangle the trajectory prediction task into two complementary components: interaction modeling and intention modeling. For interaction [...] Read more.
Pedestrian trajectory prediction remains a challenging task, particularly in long-tail scenarios where goal distributions are sparse and inter-agent behaviors are uncertain. In this work, we propose to disentangle the trajectory prediction task into two complementary components: interaction modeling and intention modeling. For interaction modeling, we introduce an adaptive meta-strategy that proactively extracts latent and rare-yet-critical interaction patterns often overlooked by conventional trajectory-only approaches. For intention modeling, we propose Continuous Waypoint Slot-Driven Prototypical Contrastive Learning (PCL). It adapts prototype learning to the multi-modal reality where conventional PCL fails to model diverse and continuous goal distributions. Capitalizing on the complementary strengths of both components, we orchestrate a unified frequency-based fusion module that seamlessly integrates interaction and intention modeling, yielding enhanced overall prediction accuracy. In particular, our method is model-agnostic and can be seamlessly incorporated into a wide range of existing prediction frameworks. Extensive experiments on several datasets demonstrate that our approach not only achieves consistent performance gains in standard settings, but also significantly alleviates degradation on hard or long-tail trajectory samples. Full article
(This article belongs to the Section AI-Driven Innovations)
Show Figures

Figure 1

18 pages, 637 KB  
Review
Climate Resilience in Cities: Improving Health and Well-Being Through “Greener” Commuting and Working Environments
by Meital Peleg Mizrachi and David Pearlmutter
Sustainability 2026, 18(5), 2554; https://doi.org/10.3390/su18052554 - 5 Mar 2026
Viewed by 275
Abstract
Cities play a central role in shaping societal responses to the climate crisis, concentrating both on climate risks and institutional capacity to address them. While climate impacts are widely distributed, they are experienced unevenly, with marginalized populations facing disproportionate exposure to economic disruption [...] Read more.
Cities play a central role in shaping societal responses to the climate crisis, concentrating both on climate risks and institutional capacity to address them. While climate impacts are widely distributed, they are experienced unevenly, with marginalized populations facing disproportionate exposure to economic disruption and environmental stress, particularly in urban environments. This article examines how cities can enhance climate resilience while supporting a just transition to a post-carbon economy. It addresses three interrelated questions: how vulnerable urban populations can be better prepared for green employment; how transformations in work and commuting can promote compact, mixed-use, and transit-friendly urban districts; and how such districts can be designed to protect residents from urban heat and improve walkability through shade and nature-based solutions. The analysis synthesizes findings from recent empirical studies and applied policy initiatives, including a municipal green-employment pilot in Tel Aviv-Yafo, the “Reinventing Paris” office-to-housing program, and urban heat and pedestrian-behavior research. Together, these cases illustrate how physical adaptation strategies interact with labor-market dynamics and social policy. The article concludes that effective urban climate resilience requires integrating infrastructural and spatial interventions with labor-market transformation, social protection, and inclusive governance, positioning cities as key operational units for advancing equitable climate action. Full article
Show Figures

Graphical abstract

33 pages, 66120 KB  
Article
Frequency-Domain Trajectory Planning for Autonomous Driving in Highly Dynamic Scenarios
by Jie Xia, Zhuo Kong, Xiaodong Wu, Boran Shi, Yuanbo Han and Min Xu
Appl. Sci. 2026, 16(5), 2447; https://doi.org/10.3390/app16052447 - 3 Mar 2026
Viewed by 343
Abstract
Trajectory planning is a central problem in autonomous driving, requiring long-horizon reasoning, strict safety guarantees, and robustness to rare but critical events. Recent learning-based planners increasingly formulate planning as an autoregressive sequence generation problem, analogous to large language models, where future motions are [...] Read more.
Trajectory planning is a central problem in autonomous driving, requiring long-horizon reasoning, strict safety guarantees, and robustness to rare but critical events. Recent learning-based planners increasingly formulate planning as an autoregressive sequence generation problem, analogous to large language models, where future motions are discretized into action tokens and predicted by Transformer-based neural sequence models. Despite promising empirical results, most existing approaches adopt time-domain action representations, in which consecutive actions are highly correlated. When combined with autoregressive decoding, this design induces degenerate generation behavior in learning-based planners, encouraging local action continuation and leading to rapid error accumulation during closed-loop execution, particularly in safety-critical corner cases such as sudden pedestrian emergence. To address this limitation of time-domain autoregressive planning, we propose a unified trajectory planning framework built upon three core ideas: (1) explicit action tokenization for long-horizon planning, (2) transformation of the action space from the time domain to the frequency domain, and (3) a hybrid learning paradigm that combines imitation learning with reinforcement learning. By representing future motion using compact frequency-domain action coefficients rather than per-timestep actions, the proposed planner is encouraged to reason about global motion intent before refining local details. This change in action representation fundamentally alters the inductive bias of learning-based autoregressive planning, mitigates exposure bias, and enables earlier and more decisive responses in complex and safety-critical environments. We present the model formulation, learning objectives, and training strategy, and outline a comprehensive experimental protocol. Full article
(This article belongs to the Section Robotics and Automation)
Show Figures

Figure 1

23 pages, 5855 KB  
Article
Pedestrian Flow Model Based on Cellular Automata Under Visual Trajectory and Multi-Scenario Evacuation Simulation Research
by Yueyue Chen, Jinbao Yao, Chenze Gao and Haoyuan Guo
Sensors 2026, 26(5), 1405; https://doi.org/10.3390/s26051405 - 24 Feb 2026
Viewed by 265
Abstract
Precise modeling and simulation of pedestrian flow are crucial for public space safety design and emergency management. This study proposes an interdisciplinary method integrating computer vision and cellular automata (CA). First, unidirectional pedestrian flow video data with different densities were collected from an [...] Read more.
Precise modeling and simulation of pedestrian flow are crucial for public space safety design and emergency management. This study proposes an interdisciplinary method integrating computer vision and cellular automata (CA). First, unidirectional pedestrian flow video data with different densities were collected from an overpass scene via controlled experiments. High-precision pedestrian trajectory extraction and tracking were achieved using the YOLO 11 model and DeepSORT algorithm, with image distortion corrected by perspective transformation. For the first time, the probability distribution of pedestrian turning angles derived from trajectory analysis was converted into data-driven transition probabilities for the Moore neighborhood in the CA model. An improved evacuation model was then constructed, comprehensively considering real-data-based transition probabilities, speed–density distribution, panic coefficient, individual life value, and hazard source dynamics. Multi-scenario simulations show that moderate panic may shorten evacuation time, while excessive panic causes behavioral disorders; group movement is constrained by the slowest individual, and increased hazard source speed reduces the proportion of safe pedestrians. This study provides new insights and methodological support for refined pedestrian evacuation simulation and safety management. Full article
(This article belongs to the Special Issue Intelligent Traffic Safety and Security)
Show Figures

Figure 1

26 pages, 5736 KB  
Article
A Study on the Effects of the Dynamic Features of Light-Based eHMI on Pedestrians’ Crossing Behavior
by Yiqi Xiao, Zhiming Liu, Tini Ma and Yingjie Huang
Sensors 2026, 26(4), 1247; https://doi.org/10.3390/s26041247 - 14 Feb 2026
Viewed by 271
Abstract
While light-based external human–machine interfaces (eHMIs) on automated vehicles (AVs) are increasingly studied to mediate pedestrian–vehicle conflicts, gaps persist in understanding how specific dynamic features of the AV’s headlights influence pedestrians’ prediction of its yielding intention and their crossing behavior. This study systematically [...] Read more.
While light-based external human–machine interfaces (eHMIs) on automated vehicles (AVs) are increasingly studied to mediate pedestrian–vehicle conflicts, gaps persist in understanding how specific dynamic features of the AV’s headlights influence pedestrians’ prediction of its yielding intention and their crossing behavior. This study systematically investigates the effects of dynamic elements of vehicle lighting—including animation patterns, animation speed, and light-emitting area—on pedestrians’ objective and subjective evaluations. A factorial design framework was employed, where participants viewed video simulations of an approaching AV displaying headlight designs combining multiple dynamic features. For different vehicle motion states, the vehicle–pedestrian distance was integrated as a variable to examine its interaction effect with lighting features. Objective measures of cueing effects were complemented by subjective ratings and user preference study via questionnaires. Results showed that there were more crossing behaviors of the pedestrian when presenting higher animation speed of dynamic light eHMIs. Animation pattern and light-emitting area does not play an important role in pedestrian decision-making, but proper design of these two features can evoke higher visual attention. When the vehicle–pedestrian distance is longer, the dynamic features of lighting will more affect people’s willingness to cross. The effects of light eHMIs seemed more significant for the AV travelling in constant speed. Our findings advance preliminary suggestions for selecting light-based eHMIs in the appropriate scenarios and can contribute actionable insights for designing intuitive, human-centric AV–pedestrian negotiation strategies. Full article
(This article belongs to the Section Intelligent Sensors)
Show Figures

Figure 1

19 pages, 2612 KB  
Article
Evaluation of Pedestrian Signal Compliance on a Model Urban Corridor: A Case Study of Mall Road, Lahore (Pakistan)
by Hina Saleemi, Saadia Tabassum, Muhammad Ashraf Javid, Giovanni Tesoriere, Muhammad Waleed Bin Tariq, Khurram Rehmani and Tiziana Campisi
Future Transp. 2026, 6(1), 44; https://doi.org/10.3390/futuretransp6010044 - 12 Feb 2026
Viewed by 362
Abstract
Pedestrian safety remains a major concern in rapidly urbanizing cities of developing countries, where road traffic crashes constantly involve vulnerable road users. In Lahore, Pakistan, pedestrian facilities such as signalized crossings often underperform due to limited awareness, inadequate design, poor maintenance, and weak [...] Read more.
Pedestrian safety remains a major concern in rapidly urbanizing cities of developing countries, where road traffic crashes constantly involve vulnerable road users. In Lahore, Pakistan, pedestrian facilities such as signalized crossings often underperform due to limited awareness, inadequate design, poor maintenance, and weak enforcement. This study evaluates pedestrian awareness, perception, and compliance with pedestrian signals along the Mall Road Corridor, a busy urban arterial serving diverse socio-economic groups. Data were collected through a self-administered questionnaire survey, yielding 600 valid responses. Descriptive statistics, Pearson correlation analysis, ordinal logistic regression, and factor analysis were employed to examine the influence of socio-demographic characteristics and perceived infrastructural attributes on pedestrian behavior. Results indicate that gender, age, education, employment status, and income significantly affect compliance with pedestrian signals. Factor analysis identified seven latent constructs related to compliance behavior, safety perception, signal placement, traffic conditions, perceived importance, and user satisfaction. Only 43% of respondents demonstrated full awareness of pedestrian signals, and 54% reported regular or occasional use. The findings highlight that in this perception-based study, both infrastructural quality and perceived safety strongly shape pedestrian compliance, underscoring the need for targeted design improvements and enforcement measures to enhance pedestrian safety in developing urban contexts. Full article
(This article belongs to the Special Issue Road Design for Road Safety and Future Mobility)
Show Figures

Figure 1

32 pages, 6721 KB  
Article
Resilience-Oriented Study on Pedestrian Accessibility Between Subway Stations and Commercial Complexes in Cities
by Xinyu Wang, Changming Yu, Binzhuo Gou and Stephen Siu Yu Lau
Land 2026, 15(2), 266; https://doi.org/10.3390/land15020266 - 5 Feb 2026
Viewed by 527
Abstract
Against the backdrop of global climate change, the rising frequency and intensity of extreme weather events pose severe challenges to urban transport and commercial systems. As a core capacity for managing uncertainty and risk, urban resilience requires infrastructure to resist shocks, recover rapidly, [...] Read more.
Against the backdrop of global climate change, the rising frequency and intensity of extreme weather events pose severe challenges to urban transport and commercial systems. As a core capacity for managing uncertainty and risk, urban resilience requires infrastructure to resist shocks, recover rapidly, and adaptively evolve. From a resilience perspective, this study develops a comprehensive evaluation system for spatial accessibility between subway stations and commercial complexes, operationalized by 21 indicators across five dimensions: Connectivity, Redundancy, Robustness, Dynamic adaptability, and Comfort. Spatial accessibility is simulated and measured using sDNA spatial network analysis, while an in-depth questionnaire survey collects, feeds back, and validates users’ subjective perceptions. By constructing a dual evaluation model that integrates spatial configuration and behavioral psychology, we find that the integrated development of subway stations and commercial complexes can maintain stable functional performance and sustained vitality under complex urban conditions by optimizing connectivity, enhancing redundancy, and improving adaptability. This is manifested in the expansion of residents’ pedestrian networks and the spillover of social service functions. In parallel, underground spaces can be transformed into resilient infrastructure to enhance civil air defense performance and provide diversified evacuation routes. The findings offer theoretical support and practical guidance for the construction of resilient cities. Full article
(This article belongs to the Topic Advances in Urban Resilience for Sustainable Futures)
Show Figures

Figure 1

21 pages, 3140 KB  
Article
Pedestrian Decision-Making Behavior During Stair Evacuation: An Experiment Study on Stair Lane-Selection Preferences
by Chunhua Xu, Ning Ding, Erhao Zhang and Qinan Xu
Fire 2026, 9(2), 64; https://doi.org/10.3390/fire9020064 - 29 Jan 2026
Viewed by 504
Abstract
Improving the efficiency of stair evacuation plays a crucial role in emergency management, which may be shaped by pedestrians’ lane-selection behavior. However, most existing studies describe pedestrians’ lane-selection preferences during stair evacuation, while the mechanisms behind these preferences are not yet well understood. [...] Read more.
Improving the efficiency of stair evacuation plays a crucial role in emergency management, which may be shaped by pedestrians’ lane-selection behavior. However, most existing studies describe pedestrians’ lane-selection preferences during stair evacuation, while the mechanisms behind these preferences are not yet well understood. To solve this issue, a stair evacuation observation experiment and a questionnaire survey were carried out to investigate pedestrian stair lane-selection preferences. Based on 1793 pieces of experimental data and 397 questionnaires, it is found that (1) pedestrians in the middle lane are more inclined to proactively change lanes based on their personal preference when sufficient space is available. (2) The primary factors influencing pedestrians’ lane-selection preferences are perceived safety, shortest path, and behavioral habit. (3) As the distance to the wall increases, the preference for the wall-side lane gradually decreases. Notably, the rate of decline accelerates at first, then slows down as the wall becomes farther away. This study deeply deconstructs pedestrians’ stair lane-selection preferences which helps understand the interactions among pedestrians, between pedestrians and their surroundings. It offers a basis for the optimization of evacuation strategies, the design of emergency evacuation plans, and the calibration of evacuation simulation models. Full article
(This article belongs to the Special Issue Fire Safety and Emergency Evacuation)
Show Figures

Figure 1

36 pages, 4432 KB  
Article
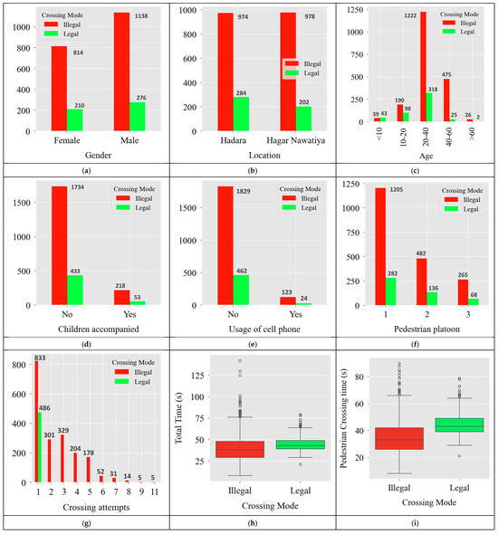
Investigating Unsafe Pedestrian Behavior at Urban Road Midblock Crossings Using Machine Learning: Lessons from Alexandria, Egypt
by Ahmed Mahmoud Darwish, Sherif Shokry, Maged Zagow, Marwa Elbany, Ali Qabur, Talal Obaid Alshammari, Ahmed Elkafoury and Mohamed Shaaban Alfiqi
Buildings 2026, 16(3), 505; https://doi.org/10.3390/buildings16030505 - 26 Jan 2026
Viewed by 499
Abstract
Examining pedestrian crossing violations at high-risk road midblock crossings has become essential, particularly in high-speed corridors, as a result of accidents at crossings resulting in fatalities. Hence, this article investigates such behavior in Alexandria, Egypt, as a credible case study in a developing [...] Read more.
Examining pedestrian crossing violations at high-risk road midblock crossings has become essential, particularly in high-speed corridors, as a result of accidents at crossings resulting in fatalities. Hence, this article investigates such behavior in Alexandria, Egypt, as a credible case study in a developing country. According to our research methodology, a comprehensive dataset of over 2400 field-observed video recordings was used for real-life data collection. Machine learning (ML) models, such as CatBoost and gradient boosting (GB), were employed to predict crossing decisions. The models showed that risky behavior is strongly influenced by waiting time, crossing time, and the number of crossing attempts. The highest predictive performance was achieved by CatBoost and gradient boosting, indicating strong interpersonal influence within small groups engaging in unsafe road-crossing behavior. In the same context, the Shapley additive explanation (SHAP) values for these variables were 3, 2, and 0.60, respectively. Subsequently, based on SHAP sensitivity analysis, the results show that the total time (s) and age group (40–60 Y) had a significant negative influence on model prediction converging to class 0 (e.g., crossing illegally). The results also showed that shorter exposure times increase the likelihood of crossing illegally. This research work is among the few studies that employ a behavior-based approach to understanding pedestrian behavior at midblock crossings. This study offers actionable insights and valuable information for urban designers and transportation planners when considering the design of midblock crossings. Full article
Show Figures

Figure 1

42 pages, 2996 KB  
Article
Visual Context and Behavioral Priming in Pedestrian Crossing Decisions: Evidence from a Stated Preference Experiment in Ecuadorian Urban Areas
by Yasmany García-Ramírez, Fernando Arrobo-Herrera, Alejandra Cruz-Cortez, Luis Fernández-Garrido, Joshua Flores, Wilson Lara-Bayas, Carlos Lema-Nacipucha, Diego Mejía-Caldas, Richard Navas-Coque, Harold Torres-Bermeo and Kevin Zambrano-Delgado
Smart Cities 2026, 9(1), 19; https://doi.org/10.3390/smartcities9010019 - 22 Jan 2026
Viewed by 489
Abstract
Pedestrian safety in developing countries faces critical challenges from rapid urbanization and infrastructure deficiencies. This study investigates how visual context influences pedestrian crossing preferences through a controlled stated preference experiment in multiple Ecuadorian cities. A sample of 875 participants was randomly assigned to [...] Read more.
Pedestrian safety in developing countries faces critical challenges from rapid urbanization and infrastructure deficiencies. This study investigates how visual context influences pedestrian crossing preferences through a controlled stated preference experiment in multiple Ecuadorian cities. A sample of 875 participants was randomly assigned to view either non-compliant (mid-block crossing) or compliant (signalized crosswalk) imagery before evaluating six hypothetical scenarios involving three crossing alternatives. Multinomial logit models reveal that waiting time, traveling with a minor, and walking distance are primary determinants of choice. Visual context showed systematic associations with choice patterns: compliant imagery was associated with increased preference for safer alternatives (50.5% versus 43.8% prediction accuracy) and larger safety-related parameter magnitudes. Principal Component Analysis identified two latent perception constructs, safety/security and bridge-specific convenience, providing behavioral interpretation of choice patterns. Substantial spatial heterogeneity emerged across cities (χ2 = 124.10 and 84.74, p < 0.001), with larger urban centers showing stronger responsiveness to formal infrastructure cues. The findings demonstrate that visual stimuli systematically alter choice distributions and attribute sensitivities through normative activation and perceptual recalibration. This research contributes methodologically by establishing visual framing effects in stated preference frameworks and provides actionable insights for pedestrian infrastructure design, emphasizing alignment of objective safety improvements with perceived risk and contextual behavioral cues. Full article
Show Figures

Figure 1

29 pages, 17493 KB  
Article
Towards Sustainable Historic Waterfront Streets: Integrating Semantic Segmentation and sDNA for Visual Perception Evaluation and Optimization in Liaocheng City, China
by Zhe Liu, Yining Zhang, Xianyu He, Di Zhang and Shanghong Ai
Sustainability 2026, 18(2), 1099; https://doi.org/10.3390/su18021099 - 21 Jan 2026
Viewed by 248
Abstract
Historic waterfront streets are not only an important component of urban public spaces but also highlight the distinctive features and historical contexts of the city. High-quality streetscape visual perception plays a crucial role in advancing the cultural, social, environmental, and economic sustainability of [...] Read more.
Historic waterfront streets are not only an important component of urban public spaces but also highlight the distinctive features and historical contexts of the city. High-quality streetscape visual perception plays a crucial role in advancing the cultural, social, environmental, and economic sustainability of the urban street space. This study was initiated to construct a multi-dimension and multi-scale comprehensive evaluation framework to assess the visual quality of waterfront streets, taking “Water City” Liaocheng as a typical case. Technical methods of semantic segmentation, sDNA (Spatial Design Network Analysis), GIS (Geographic Information System), and statistical analysis were utilized. Following the extraction and classification of street space elements, a multi-dimensional evaluation index system of natural coordination, artificial comfort, and historical culture for the visual assessment was established. Space syntax was performed on waterfront streets by sDNA to quantify macro-level scale spatial structure and meso-level scale pedestrian accessibility. The results of micro-scale visual perception, meso-scale behavioral walkability, and macro-scale spatial structure, were integrated to construct a multi-scale diagnostic framework for eight classifications. This framework provides a scientific basis to put forwards the refined and sustainable optimization strategies for historic waterfront streets. Full article
(This article belongs to the Special Issue Socially Sustainable Urban and Architectural Design)
Show Figures

Figure 1

27 pages, 7277 KB  
Article
Designing Safer Pedestrian Interactions with Autonomous Vehicles: A Virtual Reality Study of External Human-Machine Interfaces in Road-Crossing Scenarios
by Raul Almeida, Frederico Pereira, Dário Machado, Emanuel Sousa, Susana Faria and Elisabete Freitas
Appl. Sci. 2026, 16(2), 1080; https://doi.org/10.3390/app16021080 - 21 Jan 2026
Viewed by 342
Abstract
As autonomous vehicles (AVs) become part of urban environments, pedestrian safety and interactions with these vehicles are critical to creating sustainable, walkable cities. Intuitive pedestrian-vehicle communication is essential not only for reducing crash risk but also for supporting policies that promote active mobility [...] Read more.
As autonomous vehicles (AVs) become part of urban environments, pedestrian safety and interactions with these vehicles are critical to creating sustainable, walkable cities. Intuitive pedestrian-vehicle communication is essential not only for reducing crash risk but also for supporting policies that promote active mobility and efficient traffic flow. This study investigates pedestrian crossing behavior in a fully immersive virtual reality environment, building on previous work by the authors conducted in a CAVE-type simulator. Participants crossed between a conventional vehicle and an AV when they perceived it was safe. The analysis examines how external human–machine interfaces (eHMIs) influence crossing decisions, collisions, safety margins, and crossing initiation time (CIT) across different vehicle speeds and traffic gaps. Three hypotheses were tested regarding the effects of eHMIs on CIT, risk-taking behavior, and perceived safety. Results show that eHMIs significantly affect pedestrian decisions: participants delayed crossings when the eHMI indicated non-yielding behavior and initiated crossings earlier when yielding was signaled. Risk-taking behavior increased at higher vehicle speeds and shorter time gaps. Although perceived safety did not increase, behavioral results indicate reliance on visual cues. These findings underscore the importance of standardizing eHMIs to support pedestrian safety and sustainable urban mobility. Full article
(This article belongs to the Section Computing and Artificial Intelligence)
Show Figures

Figure 1

18 pages, 4314 KB  
Article
Evaluation and Optimization of Secondary School Laboratory Layout Based on Simulation of Students’ Evacuation Behavior
by Xihui Li and Yushu Chen
Buildings 2026, 16(2), 405; https://doi.org/10.3390/buildings16020405 - 19 Jan 2026
Viewed by 460
Abstract
Optimizing the furniture layout of middle school laboratories is crucial for improving the emergency safety, operational efficiency, and resilience of teaching buildings. This study used AnyLogic software to model and simulate pedestrian evacuation behavior in a typical middle school laboratory layout. In a [...] Read more.
Optimizing the furniture layout of middle school laboratories is crucial for improving the emergency safety, operational efficiency, and resilience of teaching buildings. This study used AnyLogic software to model and simulate pedestrian evacuation behavior in a typical middle school laboratory layout. In a standardized laboratory (90.75 m2), we constructed a behavior-oriented multi-agent evacuation model. The model incorporated key student parameters, including shoulder width (312–416 mm), walking speed (1.5–2.5 m/s), and reaction time (10–15 s). To ensure comparability between different layouts, the number of evacuees was fixed at 48. Evacuation performance was evaluated based on total evacuation time, spatial density, and detour distance. The results showed that the hybrid layout achieved the shortest evacuation time (28.0 s), which was 10.3% shorter than the island layout (31.2 s) and 34.7% shorter than the parallel layout (42.9 s). The hybrid layout also had a shorter average detour distance (9.78 m) and the lowest path variability (coefficient of variation CV = 0.33), indicating a more balanced evacuation load and a smaller bottleneck effect. Overall, these findings provide evidence-based recommendations for improving laboratory safety, space utilization, and behavioral adaptability, and provide a quantitative reference for updating educational building codes, school laboratory construction standards, and guidelines for laboratory furniture and safety facility configuration. Full article
(This article belongs to the Section Building Energy, Physics, Environment, and Systems)
Show Figures

Figure 1

Back to TopTop