Investigating Unsafe Pedestrian Behavior at Urban Road Midblock Crossings Using Machine Learning: Lessons from Alexandria, Egypt
Abstract
1. Introduction
- Identify the important determinants in relation to legal and illegal pedestrian crossing decisions at midblock locations along major urban roads.
- Develop and compare multiple ML classification models to predict pedestrian crossing behavior with high accuracy.
- Use intelligible tools (e.g., SHAP and permutation importance) to evaluate the comparative impacts of behavioral, demographic, and temporal variables.
- Examine how pedestrians adapt their crossing behavior to compensate for waiting time, crossing speed, grouping, and age in dealing with infrastructural challenges and traffic conditions.
- Assess the generalizability and robustness of ML models in predicting crossing behavior under differing conditions.
- Provide evidence-based support to urban and transportation planners that will assist them in re-designing midblock environments that will reduce violations and improve pedestrian safety.
2. Literature Review
2.1. Modeling Pedestrian Movements
2.2. Reasons Behind Pedestrians’ Illegal Crossing Behavior
- Demographics (age, gender, income, crossing groups, and walking patterns). The authors in refs. [18,19,20,21,22,23,24] concluded that males engage in IPCB more than females. Also, the crossing time was found to be affected by age and gender. In addition, the mean crossing speed for elderly pedestrians varies from 0.82 m/s to 1.37 m/s, and young and middle-aged pedestrians are noted to have crossing speeds ranging from 1.24 m/s to 2.04 m/s and from 1.37 m/s to 2.11 m/s, respectively. The middle-aged pedestrian category has a 60.1% higher likelihood of interrupted crossing than older and younger pedestrians. The male pedestrian category and the middle-aged pedestrian category are more likely to accept the smallest gap between the vehicles, showing the risky nature of their crossing behavior.
- Traffic characteristics, such as traffic volume, vehicle speed, number of lanes, presence of vehicles, gap size, headway, and vehicle type. The authors in refs. [13,19,22,23,24,28,29,30,31,32,33] concluded that the size of the vehicle has a significant influence on gap acceptance and crossing behavior of pedestrians. They also found that traffic volume, pedestrian red-light time, waiting time, vehicle illegal crossing behavior, and group crossing decreased the probability of violations by pedestrians.
- Road and environment, such as crosswalk type (e.g., zebra, raised, and signalized), crossing length, road width, intersection spacing, lighting, and illegal parking. The authors in refs. [19,24,25,28,30,31] concluded that traditional pedestrian safety measures such as speed cushions or roads narrowing to one lane have a superior impact than the other measures analyzed. Traffic lights or grade-separated solutions (footbridges or tunnels) are good measures for decreasing IPCB.
- Behaviors, such as waiting time, distraction (e.g., phone and headphones), crossing speed, rolling gap acceptance, and crossing in groups. The authors in refs. [18,19,22,24,29,31,32,33,64] concluded that the crossing time was influenced by gender, age, mobile phone use, clothing type, group crossing, crossing point, crossing path, and the presence of a vehicle. Moreover, the traffic light cycle is an important variable that improves the safety of pedestrian midblock crossings. In addition, parked cars at crosswalks affects the waiting and delay times of pedestrians. Regarding driver behavior, the models indicate that the number of lanes and lane width, crosswalks’ width and length, pedestrian crossing time, vehicle speed, time headway, post-encroachment time, and roadside parking are the most significant factors influencing driver-yielding behavior.
| Study | Objective and Model | Data | Results | Outcomes |
|---|---|---|---|---|
| Piyalungka S. et al. [52] | Predict pedestrian crossing behaviors at midblock crosswalks and improve safety for autonomous vehicles. | Pedestrians at unsignalized midblock crosswalks, Xi’an, China. | Deep MEIRL enhanced prediction of pedestrian trajectory versus traditional models. | Accuracy of pedestrian crossing behavior prediction. |
| Cai, Jun et al. [46] | Machine learning models, specifically SVM, can predict pedestrian crossing probabilities and speeds in smart cities. | Pedestrian crossing at signalized intersections in Chinese cities. | SVM predicted pedestrian crossing behavior with the highest accuracy among the tested models. | Pedestrian crossing prediction accuracy and speed. |
| Shaaban K. et al. [77] | Pedestrians illegally cross urban midblock roads by adding a factor of 1.25–1.5 to vehicle speeds before anticipating the gap. | Doha, Qatar. | Pedestrians add a factor of 1.25–1.5 to vehicle speed to judge gaps when crossing illegally. | Pedestrian gap acceptance behavior. |
| Yongjie Wang et al. [53] | Deep MEIRL and RL. | Drone video and trajectory features (distance, speed, and vehicle type). | Deep MEIRL outperforms MEIRL based on MAE and HD. | Addressing efficient movement at unsignalized midblock crosswalks for autonomous vehicles. |
| Shengqi Liu et al. [56] | Heatmaps, Association Rules, PCA, and clustering. | STATS19 dataset and spatial/behavioral data, UK. | Identification of high-risk behaviors/locations; infrastructure influences illegal crossing patterns. | Insights to prioritize safety measures that enhance pedestrian safety at unsignalized crossings. |
| Prakash S. et al. [57] | Binary logit and ML. | Field data, zebra/no-zebra marking, and waiting time. | Path changes are more likely without zebra marking; waiting time reduces path changing. | Waiting time has a negative effect on path-changing behavior, and crossing stages have a positive influence on path-changing behavior. |
| Dungar Singh1 et al. [47] | k-Nearest neighbors, artificial neural networks, and support vector machines. | A videographic survey, India. | Prediction of pedestrians based on random forest, extreme GB, and binary logit model achieved 81.72%, 77.19%, and 74.95%. | Support for infrastructure-to-vehicle interactions, negotiation of rolling pedestrian behavior, and improvement in pedestrian safety. |
| Md. Bayezid et al. [78] | CART, RF, XGBoost, and logistic regression. | Survey and crosswalk attributes. | RF best predicts crosswalk use; infrastructure and lighting are key factors. | Support for policymakers to develop more efficient traffic safety measures in Dhaka. |
| Madhar M. Taamneh et al. [48] | ANN, SVM, DT, and RF. | Video and demographic/spatial data. | RF is the most accurate; local infrastructure/traffic conditions influence compliance. | Measurable solution to improve pedestrian safety dynamically. |
| YOUNGGUN KIM et al. [55] | Transformer-based models, graph convolutional networks (GCNs), and a hybrid Transformer + GCN method. | Camera-invariant structure for predicting pedestrian crossing directions using trajectory data from CCTV footage. | The Transformer-based model achieved an accuracy of 94.10%, showing its effectiveness in capturing pedestrian intentions across diverse scenarios. | The geometric-invariant model ensures that the system is easily transferable across intersections by collecting fewer data. |
| Song-Kyoo Kim et al. [58] | Use of real-time video analysis and ML to alert pedestrians. | You Only Look Once algorithm using video footage. | Validation with gradient boosting and logistic regression. | Development of smart city initiatives that prioritize safety through advanced technological solutions. |
| Manoguid A. et al. [79] | Modified Faster RCNN, Squeeze and Excitation Network, Feature Pyramid Network, and Contrast Limited Adaptive Histogram Equalizer. | Philippines. | An improvement of the unmodified Faster RCNN architecture and Faster RCNN with a ResNet50 backbone. | Detects vehicles, but had difficulty-detecting pedestrians. |
| Bhagat S. et al. [59] | SVM, XGBoost, BERT Sentence Embeddings, BERT Word Embeddings, and Albert Model. | Iowa, USA. | 1. Traditional ML methods exhibited superior overall performance compared with some DL methods. 2. The Albert Model achieved the highest efficiency with expert classifications and original tabular data. | Hybrid approaches combining automated classification with targeted expert review offer a methodology for improving crash data quality. |
| Eloğlu B. [10] | Decision-support tool comprising two complementary stages for footbridge planning and design with ML methods. | Ankara, Türkiye. | The best-performing model had an accuracy score of 0.92. | The necessity of constructing footbridges in the predicted locations was critically evaluated by the researcher. |
| Factor Category | Studies | Detailed Factors |
|---|---|---|
| Demographics | [18,19,20,21,22,23,24] | Age, gender (males and middle-aged are more likely to commit a violation), group crossing, and walking patterns |
| Psychological factors | [25,26,27] | Attitude toward risk, habit, subjective norms, perceived behavioral control, wrong perceptions, convenience, time-saving motivation |
| Social impact | [13,21,23] | Friends’/peers’ perceptions, group size, and social acceptance of risky crossing |
| Traffic characteristics | [13,19,22,23,24,28,29,30,31,32,33] | Traffic volume, vehicle speed, number of lanes, presence of vehicles, gap size, headway, and vehicle type |
| Road and environment | [19,24,25,28,30,31] | Crosswalk type (e.g., zebra, raised, and signalized), crossing length, road width, intersection spacing, lighting, and illegal parking |
| Behavioral | [18,19,22,24,29,31,32,33,64] | Waiting time, distraction (e.g., phone and headphones), crossing speed, rolling gap acceptance, and crossing in groups |
| Policy | [25,30] | Law enforcement, surveillance, road safety campaigns, and engineering measures (e.g., lane narrowing and speed reduction) |
| Regional and cultural | [21,26] | Differences between developed and developing countries, and local norms |
2.3. Actions Taken by Developed Countries to Enhance Safety and Decrease IPCB
2.4. Models Developed for IPCB
| Actions | Studies | Outcomes |
|---|---|---|
| Midblock Pedestrian Signals (MPSs) | [89] | Use of adaptive signal systems at midblock crossings substantially decreases pedestrian–vehicle conflicts and upgrades safety compared with other interventions |
| Rectangular Rapid Flashing Beacons (RRFBs) | [89,90,91] | Use of high-visibility flashing beacons at midblock crossings increases driver yielding rates to over 90% |
| Pedestrian Hybrid Beacons (PHBs) | [89,91] | Signalized crossings with pedestrian-activated phases lower conflicts and improve safety edges |
| Active Warning Systems | [28,92,93] | LED lights and variable message signs alert drivers to pedestrian presence, increasing yielding rates and reducing conflicts |
| Road Narrowing and Speed Cushions | [28] | Lane narrowing and installing speed cushions to reduce vehicle speeds at midblock crossings |
| Raised Crosswalks and Medians | [90] | Raised sidewalks and medians slow down vehicles, providing safe waiting areas for pedestrians |
| Pavement Markings and Signage | [28] | Use of red paint, anti-skid surfaces, and clear markings to increase crosswalk visibility and driver awareness |
| Enforcement and Surveillance | [94] | Deployment of police, ePolice, and cameras to monitor compliance and deter illegal crossing behavior and non-yielding |
| Public Awareness | [95] | Campaigns for pedestrians and drivers about safe crossing habits |
3. Methodology
3.1. Research Framework
3.2. Machine Learning Models
- Supervised ML: The model is trained on a labeled dataset [98], classified into the following algorithms:
- ⮚
- Regression algorithms predict product values by discovering linear relationships (e.g., linear regression, RF, and GB).
- ⮚
- Classification algorithms predict categorical outcome variables by labeling portions of input data (e.g., logistic regression, KNN, and SVM).
- ⮚
- Naïve Bayes classifiers enable categorization for huge datasets (e.g., DT).
- ⮚
- Neural networks replicate how the human brain works with neural networks, with a substantial number of linked nodes that can assist in tasks such as natural language translation, image recognition, speech identification, and image construction.
- ⮚
- RF algorithms predict a value or category by combining the results from a few decision trees.
- Unsupervised ML: Algorithms such as Apriori, Gaussian mixture models (GMMs), and principal component analysis (PCA), which make inferences from unlabeled datasets, enabling pattern identification and predictive modeling. Here are the most used methods [99,100]:
- ⮚
- K-means clustering assigns data points close to a given centroid into K groups, and K represents the cluster-based size and level of granularity.
- ⮚
- Hierarchical clustering, including agglomerative and divisive clustering.
- ⮚
- Probabilistic clustering solves density estimation by grouping data points based on their likelihood of belonging to a particular distribution.
- Self-supervised ML: Self-supervised learning (SSL) [101] enables models to train themselves on unlabeled data, instead of requiring massive annotated and/or labeled datasets.
- Semi-supervised learning (SeSL): It offers a combination of supervised and unsupervised learning and is trained on a tiny, labeled dataset and a large unlabeled dataset. The SeSL model [100] can use unsupervised learning to recognize data clusters, so it uses supervised learning to label the clusters. The following subsections narrate the techniques used in this paper for ML, such as RF, ET, AdaBoost, GB, DT, and cat boosting.
3.2.1. Random Forest (RF)
3.2.2. Extra Trees (ETs)
3.2.3. AdaBoost
3.2.4. Gradient Boosting (GB)
3.2.5. Decision Tree (DT)
3.2.6. CatBoost
3.3. Model Validation
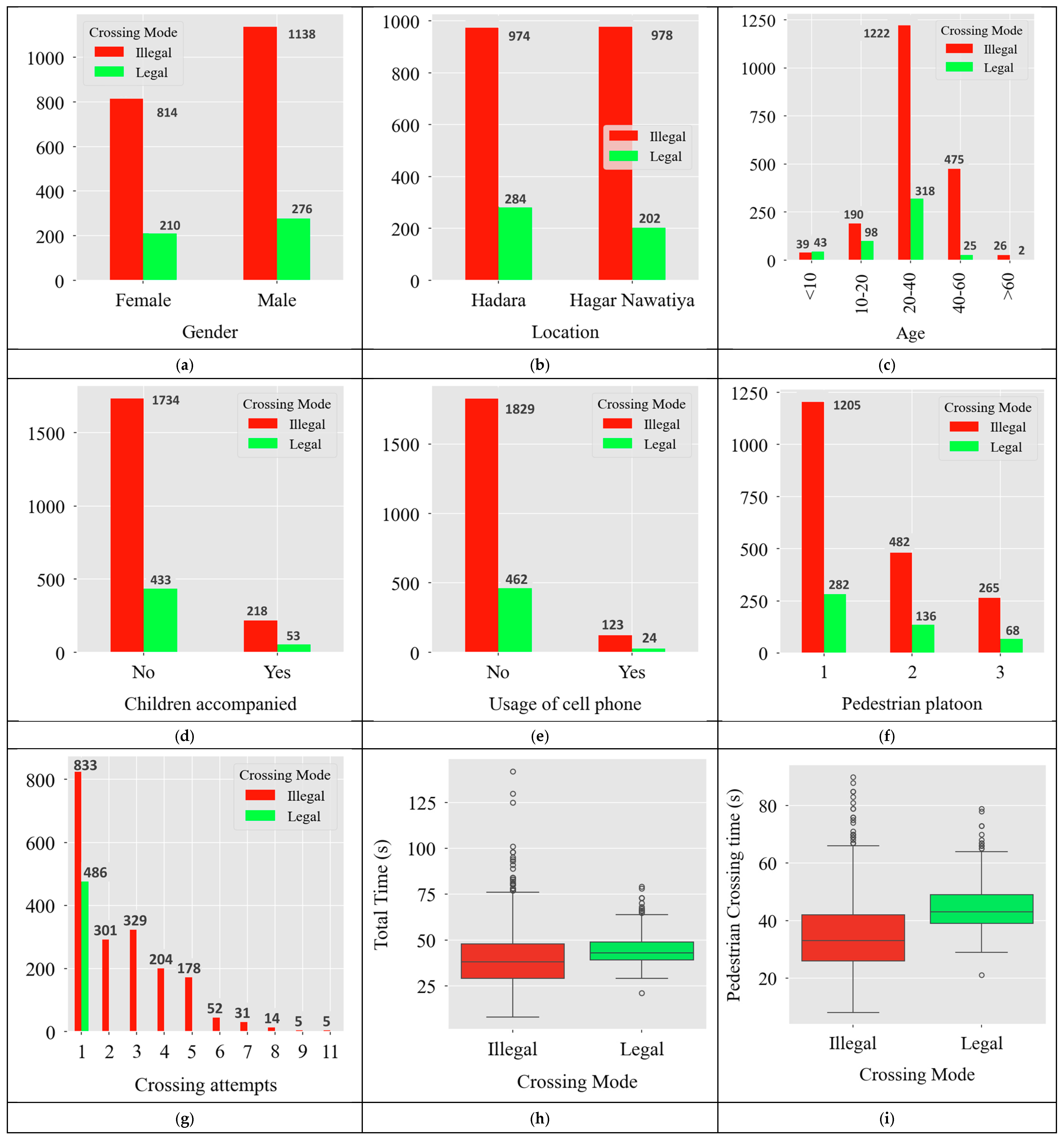
3.4. Case Study and Data Collection
- A total of 80% of the pedestrians showed illegal crossing behavior.
- A total of 77% of pedestrians at the Hadra midblock crossing crossed illegally, while 83% of pedestrians at Hagar Nawatiya crossed illegally, showing the worse FOB accessibility of the second crossing.
- A total of 58% of the pedestrians were male, while 42% were female.
- A total of 80% of males crossed illegally, and so did females.
- The largest age group was 20 to 40 years old, representing 63% of the sample, 80% of whom engaged in illegal crossing behavior, showing the risky choice tendency of this age group. The same manners were found in the age group 40–60 Y, with 95% of them crossing illegally.
- A total of 6% of pedestrians were using a cell phone while crossing. Moreover, 84% of them crossed illegally. Furthermore, about 80% of pedestrian crossing without using a cell phone crossed illegally, indicating that cell phones are not the main reason for risky behavior.
- A total of 61% of pedestrians crossed the road individually, while 25% crossed in pairs, and 14% crossed in groups of three or more. About 81%, 78%, and 80% of individual pedestrian groups consisting of one person, two persons, and three or more persons crossed illegally, respectively. This pattern shows that the pedestrian has the intention to cross illegally for various reasons.
- A total of 11% of pedestrians had a child with them while crossing. Almost 80% of them engaged in illegal crossing behavior.
- The average waiting time before crossing illegally was approximately 4.88 s.
- The average crossing time was 34.5 s for crossing illegally, compared with 44.6 s for crossing legally via pedestrian bridges.
3.5. Representativeness and Generalizability of the Case Study
4. Modeling Results
Sensitivity Analysis and Feature Importance
5. Discussion and Policy Implications
- Time efficiency supersedes pedestrian decision making: Crossing time was consistently demonstrated to be the strongest predictor; pedestrians prioritize exposure time to crossing rules over their formally defined behaviors.
- Crossing illegally is a planned act, not reactive: Pedestrian decision making factored in the speed of traffic, gaps, and distance, representing a consideration of tradeoffs that reflect a decision-making process that responds to a context.
- Short waiting times indicate higher risk aversion: Individuals who wait a brief time before beginning to cross are more likely to indicate a willingness to take risks when crossing fast-moving traffic streams.
- Multiple crossing attempts reinforce risk-taking behavior, rather than just one attempt: All subsequent crossing attempts indicate pedestrian behavior is learning-adaptable, becoming more confident with less sensitivity to danger.
- Larger groups indicate a higher likelihood of taking risks: Individuals crossing in pairs or small groups increase collective confidence and reduce hesitation while engaging in illegal middle-of-the-street crossing behavior.
- Age of pedestrians gives complexity to decision making: Individuals aged 40–60 have mixed behavior, being more cautious but more deterred by the physical demand to use pedestrian bridges, increasing the likelihood of violation.
- Vehicle conflicts are desensitized in dense environments: The frequency of near conflicts is small and has limited relevance as a predictor, indicating pedestrians are desensitized to near conflict hazards.
- Illegal crossing behavior results from friction within the built environment, not ignorance about crossing laws: Pedestrians’ awareness, for example, did not dictate pedestrian crossing to be legal; instead, pedestrians’ understanding led them to cross towards medians according to distance and placement.
- Predictable flow of traffic properties leads to violations: Pedestrians are more likely to ignore the law and traverse through gaps in a predictable flow of traffic movement.
- Time on the roadway provides greater influence than the volume of traffic: It was not the number of cars in the proportional distance that was observed to have an influence but the assigned time in the roadway, whether the crossing behavior was legal or illegal, which was strongly associated with crossing influence.
- Risky crossing develops in response to dysfunction of infrastructure: Illegal midblock crossing behaviors develop through systemic shortcomings rather than deviant disposition.
- Behaviors share patterns across similar midblock conditions: The relative stability of variable importance across models indicates that these findings are transferable across similar road conditions within other developing countries.
Policy Implications
6. Conclusions
Author Contributions
Funding
Data Availability Statement
Conflicts of Interest
Abbreviations
| AI | artificial intelligence |
| AUC | area under the curve |
| ANN | artificial neural network |
| BCNNs | Bayesian combined neural networks |
| BGLM | Bayesian generalized linear model |
| CMF | crash modification factor |
| CNN | convolution neural network |
| DT | decision tree |
| DL | deep learning |
| ditARF | distributional auto-replicative random forest |
| ETs | extra trees |
| EFA | exploratory factor analysis |
| ERTs | extremely randomized trees |
| ELM | extreme learning machine |
| FHWA | Federal Highway Administration |
| FP | false positive |
| FN | false negative |
| FFNN | feedforward neural network |
| GB | gradient boosting |
| GMMs | Gaussian mixture models |
| GD | gradient descent |
| GCN | graph convolutional network |
| HDI | Human Development Index |
| IPCB | illegal pedestrian crossing behavior |
| IOT | Internet of Things |
| IRL | inverse reinforcement learning |
| KNN | k-nearest neighbor |
| KSONN | Kohonen self-organizing neural network |
| LMICs | low- and middle-income countries |
| LSTM | long short-term memory |
| MAAIRL | multiagent adversarial inverse reinforcement learning |
| ML | machine learning |
| MNN | modular neural network |
| MSE | mean square error |
| MARS | multivariate adaptive regression spline |
| MPS | midblock pedestrian signals |
| NN | neural network |
| NCPCB | non-compliant pedestrian crossing behavior |
| NB | naïve Bayes |
| piSVM | permutation-invariant support vector machines |
| PET | post-encroachment time |
| PHBs | pedestrian hybrid beacons |
| PCA | principal component analysis |
| RRFBs | rectangular rapid flashing beacons |
| RL | reinforcement learning |
| RNN | recurrent neural network |
| RBNN | radial basis function neural network |
| RF | random forest |
| RBM | restricted Boltzmann machine |
| SVM | support vector machine |
| SeSL | semi-supervised learning |
| SHAP | Shapley additive explanation |
| SSA | safety system approach |
| SEM | structural equation modeling |
| TxDOT | Texas Department of Transportation |
| TTC | time to collision |
| TP | true positive |
| TN | true negative |
| VSRI | vehicle-scaled risk indicator |
| XAI | explainable artificial intelligence |
References
- Dhoke, A.; Choudhary, P. Is there a relationship between time pressure and pedestrian non-compliance? A systematic review. Transp. Res. Part F Traffic Psychol. Behav. 2023, 93, 68–89. [Google Scholar] [CrossRef]
- Shokry, S.; Alrashidi, A.; El-Bany, M.E.-S.; Darwish, A.M. Impact of road geometry on school-area traffic congestion using regression and machine learning analysis: Lessons from six Saudi cities. Transp. Res. Interdiscip. Perspect. 2025, 34, 101686. [Google Scholar] [CrossRef]
- Sharif, H.O.; Joseph, J.; Dessouky, S.; Eid, E.; Weissmann, J. Select High Risk Pedestrian Midblock Crossings and Perform Safety Evaluations for Developing Pedestrian Crossings; University of Texas at San Antonio: San Antonio, TX, USA, 2025. [Google Scholar]
- Zagow, M.; Elbany, M.; Darwish, A.M. Identifying urban, transportation, and socioeconomic characteristics across US zip codes affecting CO2 emissions: A decision tree analysis. Energy Built Environ. 2025, 6, 484–494. [Google Scholar] [CrossRef]
- Darwish, A.M.; Zagow, M.; Elkafoury, A. Impact of land use, travel behavior, and socio-economic characteristics on carbon emissions in cool-climate cities, USA. Environ. Sci. Pollut. Res. 2023, 30, 91108–91124. [Google Scholar] [CrossRef] [PubMed]
- Zagow, M.; Darwish, A.M.; Shokry, S. Modeling Health-Supportive Urban Environments: The Role of Mixed Land Use, Socioeconomic Factors, and Walkability in U.S. ZIP Codes. Sustainability 2025, 17, 10873. [Google Scholar] [CrossRef]
- WHO. Road Traffic Injuries. Available online: https://www.who.int/news-room/fact-sheets/detail/road-traffic-injuries (accessed on 22 November 2025).
- Khuzam, E.A.; Lanzaro, G.; Sayed, T. Impact of jaywalking on pedestrian interaction behavior: A multiagent Markov Game-based analysis. Accid. Anal. Prev. 2025, 220, 108141. [Google Scholar] [CrossRef]
- Sharma, S.N.; Dehalwar, K. A systematic literature review of pedestrian safety in urban transport systems. J. Road Saf. 2025, 36, 55–78. [Google Scholar] [CrossRef]
- Eloğlu, B. Developing a Decision-Support Tool for Footbridge Planning and Design Phases. Master’s Thesis, Middle East Technical University, Ankara, Turkey, 2025. [Google Scholar]
- CAPMAS. Central Agency for Public Mobilization and Statistics. Egypt. 2017. Available online: https://www.capmas.gov.eg/ (accessed on 20 August 2025).
- El-Din, E.-S.G. 24.5% Decrease in Road Fatalities in 2023 in Egypt: CAPMAS. Ahramonline. Available online: https://english.ahram.org.eg/News/523833.aspx (accessed on 19 December 2024).
- Shaaban, K.; Muley, D.; Mohammed, A. Analysis of illegal pedestrian crossing behavior on a major divided arterial road. Transp. Res. Part. F Traffic Psychol. Behav. 2018, 54, 124–137. [Google Scholar] [CrossRef]
- Zhang, W.; Guo, H.; Wang, C.; Wang, K.; Huang, W.; Xu, Q.; Tang, H.; Yang, B.; Yan, R. Analysis of pedestrian illegal crossing at unmarked segments: Environmental factors, pedestrian characteristics and crossing behaviours. Transp. Res. Part. F Traffic Psychol. Behav. 2023, 99, 339–355. [Google Scholar] [CrossRef]
- Okail, M. Investigating Self-Report Pedestrian Safety-related Behavior in Developing Countries: Egypt as a Case Study. Traffic Saf. Res. 2022, 3, 000016. [Google Scholar] [CrossRef]
- Sayed, I.; Abdelgawad, H.; Said, D. Studying driving behavior and risk perception: A road safety perspective in Egypt. J. Eng. Appl. Sci. 2022, 69, 22. [Google Scholar] [CrossRef]
- Bayomi, A.; Shawky, M.; Osama, A. Investigating mid-block pedestrian crossing behaviour and safety at urban streets in Cairo. Int. J. Inj. Contr Saf. Promot. 2024, 31, 72–85. [Google Scholar] [CrossRef]
- Tom, A.; Granié, M.A. Gender differences in pedestrian rule compliance and visual search at signalized and unsignalized crossroads. Accid. Anal. Prev. 2011, 43, 1794–1801. [Google Scholar] [CrossRef] [PubMed]
- Araya-Porras, E.; Mora-Calderón, A.; Aguero-Valverde, J. Pedestrian crossing light violation in Costa Rica: Exploring factors affecting mid-block crossing behavior. Ingeniería 2022, 32, 111–128. [Google Scholar] [CrossRef]
- Abdullah, M.; Dias, C.; Oguchi, T. Road Crossing at Unmarked Mid-Block Locations: Exploring Pedestrians’ Perception and Behavior. Iran. J. Sci. Technol. Trans. Civ. Eng. 2021, 46, 1681–1698. [Google Scholar] [CrossRef]
- Soathong, A.; Chowdhury, S.; Wilson, D.; Ranjitkar, P. Investigating the motivation for pedestrians’ risky crossing behaviour at urban mid-block road sections. Travel Behav. Soc. 2021, 22, 155–165. [Google Scholar] [CrossRef]
- Ravishankar, K.; Nair, P. Pedestrian risk analysis at uncontrolled midblock and unsignalised intersections. J. Traffic Transp. Eng. 2018, 5, 137–147. [Google Scholar] [CrossRef]
- Xiao, Y.; Liu, Y.; Liang, Z. Study on road-crossing violations among young pedestrians based on the theory of planned behavior. J. Adv. Transp. 2021, 2021, 6893816. [Google Scholar] [CrossRef]
- Elsayyad, M.; Muley, D.; Alhajyaseen, W. Determinants of road user behavior at marked midblock crosswalks. Can. J. Civ. Eng. 2025, 52, 1506–1522. [Google Scholar] [CrossRef]
- Pechteep, P.; Luathep, P.; Jaensirisak, S. Factors Influencing the Violation Intentions of Pedestrians, Motorcycle Riders, and Car Drivers at Midblock Crosswalks. J. Inf. Syst. Eng. Manag. 2025, 10, 310–332. [Google Scholar] [CrossRef]
- Tiwari, R.R.; Patel, S.; Soju, A.; Trivedi, P. Road use pattern and street crossing habits of schoolchildren in India. Front. Public Health 2021, 9, 628147. [Google Scholar] [CrossRef] [PubMed]
- Osei, K.K.; Obiri-Yeboah, A.A.; Adu-Gyamfi, L.; Ackaah, W. Road crossing behavior and preferences among pedestrians: From the lens of the theory of interpersonal behavior. Traffic Inj. Prev. 2024, 25, 91–100. [Google Scholar] [CrossRef]
- Szagała, P.; Brzeziński, A.; Kieć, M.; Budzynski, M.; Wachnicka, J.; Pazdan, S. Pedestrian Safety at Midblock Crossings on Dual Carriageway Roads in Polish Cities. Sustainability 2022, 14, 5703. [Google Scholar] [CrossRef]
- Pawar, D.; Yadav, A. Modelling the pedestrian dilemma zone at uncontrolled midblock sections. J. Saf. Res. 2021, 80, 87–96. [Google Scholar] [CrossRef]
- Pechteep, P.; Luathep, P.; Jaensirisak, S.; Kronprasert, N. Analysis of Factors Influencing Driver Yielding Behavior at Midblock Crosswalks on Urban Arterial Roads in Thailand. Sustainability 2024, 16, 4118. [Google Scholar] [CrossRef]
- Zou, F.; Ogle, J.; Jin, W.; Gérard, P.; Petty, D.; Robb, A. Pedestrian Behavior Interacting with Autonomous Vehicles during Unmarked Midblock Multilane Crossings: Role of Infrastructure Design, AV Operations and Signaling. arXiv 2023. [Google Scholar] [CrossRef]
- Theofilatos, A.; Ziakopoulos, A.; Oviedo-Trespalacios, O.; Timmis, A. To cross or not to cross? Review and meta-analysis of pedestrian gap acceptance decisions at midblock street crossings. J. Transp. Health 2021, 22, 101108. [Google Scholar] [CrossRef]
- Tian, K.; Markkula, G.; Wei, C.; Lee, Y.M.; Madigan, R.; Merat, N.; Romano, R. Explaining unsafe pedestrian road crossing behaviours using a Psychophysics-based gap acceptance model. Saf. Sci. 2022, 154, 105837. [Google Scholar] [CrossRef]
- Forrest, M.; Heydari, S.; Cherrett, T. Examining the impact of exposure, built environment and socio-demographics on pedestrian safety: A case study of Greater London. Saf. Sci. 2023, 159, 106015. [Google Scholar] [CrossRef]
- Hasanat-E-Rabbi, S.; Hamim, O.F.; Debnath, M.; Hoque, S.; McIlroy, R.C.; Plant, K.L.; Stanton, N.A. Exploring the relationships between demographics, road safety attitudes, and self-reported pedestrian behaviours in Bangladesh. Sustainability 2021, 13, 10640. [Google Scholar] [CrossRef]
- Mamun, S.; Caraballo, F.J.; Ivan, J.N.; Ravishanker, N.; Townsend, R.M.; Zhang, Y. Identifying association between pedestrian safety interventions and street-crossing behavior considering demographics and traffic context. J. Transp. Saf. Secur. 2020, 12, 441–462. [Google Scholar] [CrossRef]
- Molyneaux, N.; Scarinci, R.; Bierlaire, M. Design and analysis of control strategies for pedestrian flows. Transportation 2021, 48, 1767–1807. [Google Scholar] [CrossRef]
- Hossain, A.; Das, S.; Jafari, M.; Starewich, M.; Chakraborty, R.; Kutela, B. Behavioral and psychological determinants of pedestrian collisions on arterial roads with evidence from random parameter models. Sci. Rep. 2025, 15, 31684. [Google Scholar] [CrossRef] [PubMed]
- Verma, R.; Agarwal, M.M. A systematic review on road accident prediction: A special attention towards machine learning and deep learning approaches. J. Circuits Syst. Comput. 2025, 35, 2530009. [Google Scholar] [CrossRef]
- Sun, Y.; Ortiz, J. Machine learning-driven pedestrian recognition and behavior prediction for enhancing public safety in smart cities. J. Artif. Intell. Inf. 2024, 1, 51–57. [Google Scholar]
- Haque, F.; Kidwai, F.A.; Thapa, I.; Ghani, S.; Mtapure, L.M. Modeling and Evaluating the Impact of Mobile Usage on Pedestrian Behavior at Signalized Intersections: A Machine Learning Perspective. Future Transp. 2025, 5, 11. [Google Scholar] [CrossRef]
- Niture, N.; Abdellatif, I. A systematic review of factors, data sources, and prediction techniques for earlier prediction of traffic collision using AI and machine learning. Multimed. Tools Appl. 2025, 84, 19009–19037. [Google Scholar] [CrossRef]
- Kaggle. “Kaggle”. Available online: https://www.kaggle.com/ (accessed on 20 November 2025).
- Singh, A.; Thakur, N.; Sharma, A. A review of supervised machine learning algorithms. In Proceedings of the 2016 3rd International Conference on Computing for Sustainable Global Development (INDIACom); IEEE: Piscataway, NJ, USA, 2016; pp. 1310–1315. [Google Scholar]
- Shrestha, A.; Mahmood, A. Review of deep learning algorithms and architectures. IEEE Access 2019, 7, 53040–53065. [Google Scholar] [CrossRef]
- Cai, J.; Wang, M.; Wu, Y. Research on pedestrian crossing decision models and predictions based on machine learning. Sensors 2024, 24, 258. [Google Scholar] [CrossRef]
- Singh, D.; Das, P.; Ghosh, I. Prediction of pedestrian crossing behaviour at unsignalized intersections using machine learning algorithms: Analysis and comparison. J. Multimodal User Interfaces 2024, 18, 239–256. [Google Scholar] [CrossRef]
- Taamneh, M.M.; Alomari, A.H.; Taamneh, S.M. Using machine learning to predict pedestrian compliance at crosswalks in Jordan. Appl. Sci. 2024, 14, 4945. [Google Scholar] [CrossRef]
- Ishaque, M.M.; Noland, R.B. Behavioural issues in pedestrian speed choice and street crossing behaviour: A review. Transp. Rev. 2008, 28, 61–85. [Google Scholar] [CrossRef]
- Banstola, A. Modelling Pedestrian-Vehicle Conflict and Severity at Uncontrolled Midblock Crossings Inside Kathmandu Valley. Ph.D. Thesis, Tribhuvan University, Lalitpur, Nepal, 2025. [Google Scholar]
- Sulle, M.; Mwakalonge, J.; Comert, G.; Siuhi, S.; Gyimah, N.K. Unraveling Pedestrian Fatality Patterns: A Comparative Study with Explainable AI. arXiv 2025, arXiv:2503.17623. [Google Scholar] [CrossRef]
- Piyalungka, S.; Kanitpong, K.; Karoonsoontawong, A. Pedestrian gap acceptance behavior at unsignalized mid-block crossing under mixed traffic conditions. IATSS Res. 2025, 49, 105–113. [Google Scholar] [CrossRef]
- Wang, Y.; Niu, Y.; Zhu, W.; Chen, W.; Li, Q.; Wang, T. Predicting pedestrian crossing behavior at unsignalized mid-block crosswalks using maximum entropy deep inverse reinforcement learning. IEEE Trans. Intell. Transp. Syst. 2023, 25, 3685–3698. [Google Scholar] [CrossRef]
- Nasernejad, P.; Sayed, T.; Alsaleh, R. Multiagent modeling of pedestrian-vehicle conflicts using Adversarial Inverse Reinforcement Learning. Transp. A Transp. Sci. 2023, 19, 2061081. [Google Scholar] [CrossRef]
- Kim, Y.; Abdel-Aty, M.; Choi, K.; Islam, Z.; Wang, D.; Zhai, S. Pedestrian Crossing Direction Prediction at Intersections for Pedestrian Safety. IEEE Open J. Intell. Transp. Syst. 2025, 6, 692–707. [Google Scholar] [CrossRef]
- Liu, S.; Evdorides, H. Data Mining Applications for Pedestrian Behaviour Patterns at Unsignalized Crossings. Sustainability 2025, 17, 776. [Google Scholar] [CrossRef]
- Prakash, S.; Karuppanagounder, K. Pedestrian path changing behaviour prediction models for urban mid blocks. Transp. Res. Interdiscip. Perspect. 2023, 22, 100973. [Google Scholar] [CrossRef]
- Kim, S.-K.; Chan, I.C. Novel Machine Learning-Based Smart City Pedestrian Road Crossing Alerts. Smart Cities 2025, 8, 114. [Google Scholar] [CrossRef]
- Bhagat, S.; Shihab, I.F.; Wood, J. Identification of Potentially Misclassified Crash Narratives using Machine Learning (ML) and Deep Learning (DL). arXiv 2025, arXiv:2507.03066. [Google Scholar] [CrossRef]
- Zokirjonovich, O.O. Pedestrian Safety in Developed Countries: Best Practices, Technologies, and Implementation Opportunities. Mod. Am. J. Eng. Technol. Innov. 2025, 1, 32–40. [Google Scholar]
- UNDP. A Matter of Choice: People and Possibilities in the Age of AI; Human Development report 2025; United Nations Development Programme: New York, NY, USA, 2025. [Google Scholar]
- Kwayu, K.M.; Kwigizile, V.; Oh, J.S. Evaluation of pedestrian crossing-related crashes at undesignated midblock locations using structured crash data and report narratives. J. Transp. Saf. Secur. 2022, 14, 1–23. [Google Scholar] [CrossRef]
- Mukherjee, D. Analyzing Key Factors Influencing Pedestrian Non-utilization of Designated Crossings and Sidewalks in Urban Areas of Developing Countries. Transp. Dev. Econ. 2025, 11, 31. [Google Scholar] [CrossRef]
- Mohammed, H. Assessment of distracted pedestrian crossing behavior at midblock crosswalks. IATSS Res. 2021, 45, 584–593. [Google Scholar] [CrossRef]
- Sadeek, S.N.; Rahman, M.H.; Rifaat, S.M. Understanding pedestrian bridge usage considering perception and socio-demographic characteristics of the road users in Dhaka city. Transp. Res. Interdiscip. Perspect. 2025, 31, 101384. [Google Scholar] [CrossRef]
- Pratiwi, P.C.; Suhardi, B.; Laksono, P.W. Analyzing safety factors of pedestrian bridge users in Asia: A systematic literature review. Asian J. Soc. Sci. Manag. Technol. 2025, 7, 1. [Google Scholar]
- Green, O.; Ivan, J.N.; Auguste, M.E.; Wang, K.; Chacon-Hurtado, D. Using Pedestrian Crossing Experiences, Physical Intersection Characteristics, and Socioeconomic Variables to Predict Pedestrian-Vehicle Conflicts and Signal Compliance; Elsevier: Amsterdam, The Netherlands, 2025. [Google Scholar]
- Raoniar, R.; Singh, S.; Pathak, A.; Maurya, A.K. Analysis of Pedestrian–Vehicle Interaction Dynamics at Signalized Urban Intersections: A Surrogate Safety Measure Approach. Transp. Res. Rec. 2025, 2679, 1042–1063. [Google Scholar] [CrossRef]
- Hou, M.; Wang, C.; Easa, S.M.; Cheng, J. Eye Movement Evaluation of Pedestrians’ Mobile Phone Usage at Street Crossings. Transp. Res. Rec. 2025, 2679, 1495–1512. [Google Scholar] [CrossRef]
- Sulle, M.; Mwakalonge, J.; Comert, G.; Siuhi, S.; Gyimah, N.K.; Roberts, J.; Ruganuza, D. Analysis of Distracted Pedestrians Crossing Behavior: An Immersive Virtual Reality Application. arXiv 2025, arXiv:2503.16443. [Google Scholar]
- Frej, D. Observational Study of Pedestrian Behavior at Signalized Crosswalks. Komunikácie-Ved. Listy Žilinskej Univerzity V Žiline 2025, 27, 54–66. [Google Scholar] [CrossRef]
- Demiroz, Y.I.; Onelcin, P.; Alver, Y. Illegal road crossing behavior of pedestrians at overpass locations: Factors affecting gap acceptance, crossing times and overpass use. Accid. Anal. Prev. 2015, 80, 220–228. [Google Scholar] [CrossRef]
- Fahami, F.A.; Daniel, B.D. Influence of Traffic Conditions on Pedestrian Crossing Decision at Urban Street Crosswalk. Recent. Trends Civ. Eng. Built Environ. 2025, 6, 256–268. [Google Scholar]
- Bandara, D.; Hewawasam, C. A comparative study on effectiveness of underpass and overpass among pedestrians in different urban contexts in Sri Lanka. J. Serv. Sci. Manag. 2020, 13, 729–744. [Google Scholar] [CrossRef]
- Räsänen, M.; Lajunen, T.; Alticafarbay, F.; Aydin, C. Pedestrian self-reports of factors influencing the use of pedestrian bridges. Accid. Anal. Prev. 2007, 39, 969–973. [Google Scholar] [CrossRef] [PubMed]
- Landa-Blanco, M.; Ávila, J. Factors related to the use of pedestrian bridges in university students of Honduras. Transp. Res. Part F: Traffic Psychol. Behav. 2020, 71, 220–228. [Google Scholar] [CrossRef]
- Shaaban, K.; Abdel-Warith, K. Agent-based modeling of pedestrian behavior at an unmarked midblock crossing. Procedia Comput. Sci. 2017, 109, 26–33. [Google Scholar] [CrossRef]
- Bayezid, M.; Abir, K.; Al Milhan, A.; Sakib, S. Influence of Various Factors on Jaywalking Behavior: A Behavioral Analysis. In Proceedings of the 1st International Conference on Core Engineering & Technology (IUT-ICCET 2024), Virtual, 22–24 February 2024. [Google Scholar]
- Manoguid, A.; Tomas, J.P. Nighttime Detection of Illegal Crossing by Pedestrians and Pedestrian Lane Obstruction by Vehicles through Effective Deep Learning Model. In Proceedings of the 11th World Congress on Electrical Engineering and Computer Systems and Science, Paris, France, 17–19 August 2025. [Google Scholar]
- Trafikverket. This is Vision Zero. Available online: https://bransch.trafikverket.se/en/startpage/operations/Operations-road/vision-zero-academy/This-is-Vision-Zero/?utm_source=smartcitysweden.com&utm_medium=link&utm_campaign=promotion&utm_source=smartcitysweden.com&utm_medium=link&utm_campaign=promotion (accessed on 19 November 2025).
- Mostafa, A.M.; Aldughayfiq, B.; Tarek, M.; Alaerjan, A.S.; Allahem, H.; Elbashir, M.K.; Ezz, M.; Hamouda, E. AI-based prediction of traffic crash severity for improving road safety and transportation efficiency. Sci. Rep. 2025, 15, 27468. [Google Scholar] [CrossRef]
- Duong, H.N.; Chu, M.C.; Huynh, N. Understanding psychological factors behind motorcyclists crossing behavior on undivided roads in mixed traffic conditions: A case study of Hau Giang, Vietnam. IATSS Res. 2025, 49, 114–126. [Google Scholar] [CrossRef]
- Peng, T.; Liu, J. Analysis of conflict between right-turning vehicles and pedestrians at urban intersections using random parameter Logit model. Traffic Inj. Prev. 2025, 1–9. [Google Scholar] [CrossRef]
- Zhang, C.; Zhou, B.; Qiu, T.Z.; Liu, S. Pedestrian crossing behaviors at uncontrolled multi-lane mid-block crosswalks in developing world. J. Saf. Res. 2018, 64, 145–154. [Google Scholar] [CrossRef]
- Abushattal, M.; Alhomaidat, F.; El-Yabroudi, M. Effects of intersection control types on driver yielding behavior to cyclists using mixed logit modeling. Sci. Rep. 2025, 15, 33928. [Google Scholar] [CrossRef]
- Sutantaviboon, T.; Kanitpong, K. Modeling Factors Influencing Motorcycle Riders’decision When Facing Pedestrians at Unsignalized Mid-Block Crosswalks: A Case Study from Bangkok. Civ. Environ. Eng. 2026. [Google Scholar] [CrossRef]
- Qing, J.K.T.; Daniel, B.D.; Mudjanarko, S.W.; Azmi, A.E.M.N. Modelling Driver-Pedestrian Interaction at Raised Crosswalks. Int. J. Integr. Eng. 2025, 17, 20–28. [Google Scholar] [CrossRef]
- Datta, S.; Kadali, B.R. Analyzing Yielding Drivers’ Dilemma Behavior toward Pedestrians at Semiurban Uncontrolled Intersections on Arterial Roads. J. Transp. Eng. A Syst. 2025, 151, 04025072. [Google Scholar] [CrossRef]
- Ahsan, M.J.; Abdel-Aty, M.; Abdelrahman, A. Can mid-block pedestrian signals (MPS) provide greater safety benefits than other mid-block pedestrian crossings? Accid. Anal. Prev. 2025, 218, 108105. [Google Scholar] [CrossRef]
- Foster, N.; Monsere, C.; Carlos, K. Evaluating Driver and Pedestrian Behaviors at Enhanced, Multilane, Midblock Pedestrian Crossings. Transp. Res. Rec. 2014, 2464, 59–66. [Google Scholar] [CrossRef]
- Anwari, N.; Abdel-Aty, M.; Goswamy, A.; Zheng, O. Investigating surrogate safety measures at midblock pedestrian crossings using multivariate models with roadside camera data. Accid. Anal. Prev. 2023, 192, 107233. [Google Scholar] [CrossRef] [PubMed]
- Hussain, Q.; Alhajyaseen, W.; Pirdavani, A.; Brijs, K.; Shaaban, K.; Brijs, T. Do detection-based warning strategies improve vehicle yielding behavior at uncontrolled midblock crosswalks? Accid. Anal. Prev. 2021, 157, 106166. [Google Scholar] [CrossRef]
- Khabiri, R.; Jahangiry, L.; Birgani, H.R.; Sadeghi-Bazargani, H. Interventions for Increasing Pedestrian Visibility to Prevent Injury and Death: A Systematic Review. Health Soc. Care Community 2025, 2025, 2958743. [Google Scholar] [CrossRef]
- Malenje, J.; Li, P.; Han, Y. Vehicle yielding probability estimation model at unsignalized midblock crosswalks in Shanghai, China. PLoS ONE 2019, 14, e0213876. [Google Scholar] [CrossRef]
- Li, C.-Y.; Liu, S.; Cen, X.-K. Safety and efficiency impact of pedestrian–vehicle conflicts at non signalized midblock crosswalks based on fuzzy cellular automata. Phys. A-Stat. Mech. Its Appl. 2021, 572, 125871. [Google Scholar] [CrossRef]
- IBM. Available online: https://www.ibm.com/think/topics/machine-learning-types (accessed on 20 September 2025).
- Darwish, A.M.; Almansour, M.; Salah, A.; Zagow, M.; Saeed, K.; Elkafoury, A. Sensitivity evaluation of machine learning-based calibrated transportation mode choice models: A case study of Alexandria City, Egypt. Transp. Res. Interdiscip. Perspect. 2024, 24, 101052. [Google Scholar] [CrossRef]
- Nasteski, V. An overview of the supervised machine learning methods. Horiz. Ser. B 2017, 4, 56. [Google Scholar] [CrossRef]
- Usama, M.; Qadir, J.; Raza, A.; Arif, H.; Yau, K.-L.A.; Elkhatib, Y.; Hussain, A.; Al-Fuqaha, A. Unsupervised machine learning for networking: Techniques, applications and research challenges. IEEE Access 2019, 7, 65579–65615. [Google Scholar] [CrossRef]
- Naeem, S.; Ali, A.; Anam, S.; Ahmed, M.M. An unsupervised machine learning algorithms: Comprehensive review. Int. J. Comput. Digit. Syst. 2023, 13, 911–921. [Google Scholar] [CrossRef]
- Rani, V.; Nabi, S.T.; Kumar, M.; Mittal, A.; Kumar, K. Self-supervised learning: A succinct review. Arch. Comput. Methods Eng. 2023, 30, 2761–2775. [Google Scholar] [CrossRef]
- Banerjee, A.; Raoniar, R.; Maurya, A.K. Pedestrian overpass utilization modeling based on mobility friction, safety and security, and connectivity using machine learning techniques. Soft Comput. 2020, 24, 17467–17493. [Google Scholar] [CrossRef]
- Das, S.; Le, M.; Dai, B. Application of machine learning tools in classifying pedestrian crash types: A case study. Transp. Saf. Environ. 2020, 2, 106–119. [Google Scholar] [CrossRef]
- Geurts, P.; Ernst, D.; Wehenkel, L. Extremely randomized trees. Mach. Learn. 2006, 63, 3–42. [Google Scholar] [CrossRef]
- Schapire, R.E. The boosting approach to machine learning: An overview. Nonlinear Estim. Classif. 2003, 171, 149–171. [Google Scholar]
- Xu, F.; Huang, Y.; Wang, H.; Fan, Z. A novel heterogeneous data classification approach combining gradient boosting decision trees and hybrid structure model. Pattern Recognit. 2025, 165, 111614. [Google Scholar] [CrossRef]
- Temlyakov, V. Brief introduction in greedy approximation. arXiv 2025, arXiv:2502.13432. [Google Scholar] [CrossRef]
- Friedman, J.H. Greedy function approximation: A gradient boosting machine. Ann. Stat. 2001, 29, 1189–1232. [Google Scholar] [CrossRef]
- Kong, X.; Das, S.; Zhang, Y.; Wei, Z.; Yuan, C.-H. In-Depth Understanding of Pedestrian- Vehicle Near-Crash Events at Signalized Intersections: An Interpretable Machine Learning Approach. Transp. Res. Rec. J. Transp. Res. Board 2022, 2677, 747–759. [Google Scholar] [CrossRef]
- Ibrahim, A.A.; Ridwan, R.L.; Muhammed, M.M.; Abdulaziz, R.O.; Saheed, G.A. Comparison of the CatBoost classifier with other machine learning methods. Int. J. Adv. Comput. Sci. Appl. 2020, 11, 738–748. [Google Scholar] [CrossRef]
- Elkafoury, A.; Elboshy, B.; Darwish, A.M. Development of response surface method prediction model for traffic-related roadside noise levels based on traffic characteristics. Environ. Sci. Pollut. Res. 2023, 30, 94229–94241. [Google Scholar] [CrossRef]
- CAPMAS. The Annual Bulletin Results of Cars and Train accidents 2024. Cairo. 2024. Available online: https://www.censusinfo.capmas.gov.eg/metadata-en-v4.2/index.php/catalog/749/overview (accessed on 10 September 2025).
- Mohamed, A.F.A. A Study of Strategic Plans of Sustainable Urban Development for Alexandria, Egypt to Mitigate the Climate Change Phenomena. Future Cities Environ. 2023, 9, 14. [Google Scholar] [CrossRef]
- Albert, S. Pedestrian Road Crossing Behavior and Optimal Selection of Pedestrian Facilities at Mid-Block Crossings. Eur. Transp./Trasp. Eur. 2022, 87, 1–16. [Google Scholar] [CrossRef]
- Cai, C.; Wong, S.-K.; Chen, T. Risk-Aware Pedestrian Behavior Using Reinforcement Learning in Mixed Traffic. Comput. Animat. Virtual Worlds 2025, 36, e70031. [Google Scholar] [CrossRef]
- Zhang, C.; Sprenger, J.; Ni, Z.; Berger, C. Predicting Pedestrian Crossing Behavior in Germany and Japan: Insights into Model Transferability. IEEE Trans. Intell. Veh. 2024, 10, 4887–4902. [Google Scholar] [CrossRef]
- Paul, D.; Moridpour, S.; Venkatesan, S.; Withanagamage, N. Evaluating the pedestrian level of service for varying trip purposes using machine learning algorithms. Sci. Rep. 2024, 14, 2813. [Google Scholar] [CrossRef] [PubMed]
- Sakib, N.; Paul, T.; Ahmed, M.T.; Al Momin, K.; Barua, S. Investigating factors influencing pedestrian crosswalk usage behavior in Dhaka city using supervised machine learning techniques. Multimodal Transp. 2024, 3, 100108. [Google Scholar] [CrossRef]
- Jin, C.J.; Luo, Y.; Wu, C.; Song, Y.; Li, D. Exploring the Pedestrian Route Choice Behaviors by Machine Learning Models. ISPRS Int. J. Geo-Inf. 2024, 13, 146. [Google Scholar] [CrossRef]
- Sun, Q.; Wang, C.; Pan, Y.; Zhang, H.; Fu, R.; Guo, Y.; Yuan, W. Analysis of Pedestrian Crossing Behavior Characteristics and a Pedestrian Crossing Intention Recognition Model. Automot. Innov. 2025, 8, 935–948. [Google Scholar] [CrossRef]










| Model | Accuracy | F1 Score |
|---|---|---|
| LGBM Classifier | 0.97 | 0.97 |
| SGD Classifier | 0.96 | 0.96 |
| Bagging Classifier | 0.97 | 0.97 |
| Linear SVC | 0.97 | 0.97 |
| Calibrated Classifier CV | 0.97 | 0.97 |
| Decision Tree Classifier | 0.97 | 0.97 |
| Quadratic Discriminant Analysis | 0.92 | 0.93 |
| SVC | 0.95 | 0.95 |
| Logistic Regression | 0.96 | 0.96 |
| Perceptron | 0.95 | 0.95 |
| Random Forest Classifier | 0.93 | 0.93 |
| Linear Discriminant Analysis | 0.93 | 0.93 |
| Extra Tree Classifier | 0.91 | 0.91 |
| K Neighbors Classifier | 0.9 | 0.9 |
| Label Propagation | 0.89 | 0.89 |
| Label Spreading | 0.89 | 0.88 |
| Ridge Classifier | 0.9 | 0.9 |
| Ridge Classifier CV | 0.9 | 0.9 |
| Nearest Centroid | 0.69 | 0.72 |
| Classifier | Training Acc | Test Acc | Training F1 Score | Test F1 Score | Training Precision | Test Precision | Training Recall | Test Recall | Training Acc | Test Acc | |
|---|---|---|---|---|---|---|---|---|---|---|---|
| 1 | RF | 0.99 | 0.94 | 0.98 | 0.91 | 0.97 | 0.92 | 0.99 | 0.9 | 0.99 | 0.9 |
| 2 | ETs | 0.99 | 0.92 | 0.98 | 0.88 | 0.98 | 0.9 | 0.99 | 0.86 | 0.99 | 0.86 |
| 3 | AdaBoost | 0.86 | 0.83 | 0.81 | 0.78 | 0.78 | 0.76 | 0.87 | 0.84 | 0.87 | 0.84 |
| 4 | GBoost | 0.97 | 0.97 | 0.96 | 0.95 | 0.94 | 0.93 | 0.98 | 0.97 | 0.98 | 0.97 |
| 5 | DT | 0.99 | 0.96 | 0.98 | 0.94 | 0.98 | 0.93 | 0.99 | 0.94 | 0.99 | 0.94 |
| 6 | CatBoost | 0.98 | 0.97 | 0.98 | 0.96 | 0.96 | 0.94 | 0.99 | 0.97 | 0.99 | 0.97 |
| STUDY | Model Used | Results |
|---|---|---|
| Albert S. [114] | Stepwise multiple linear regression (MLR) vs. artificial neural network (ANN) for gap-acceptance model | ANN, R2 = 0.79 (better than MLR’s R2 = 0.52) |
| Cai C. et al. [115] | Reinforcement learning with post-encroachment time | Success rate > 0.8 |
| Zhang C et al. [116] | Neural networks, random forests, and other ML + unsupervised clustering | Accuracy of over 90% was reported for many tasks |
| Refs. [41,46,48,117,118] | Random forest, XGBoost, binary logit, SVM, k-NN, Convolutional Neural Networks (CNN), the light GBM, and ANN were also tested | RF, ~81.7%; XGBoost, ~77.2%; logit, ~75.0%, CNN, 94.93%, the light GBM, 80%, |
| Jin C. et al. [119] | XGB and Light Gradient Boosting (LGB) | Success rate > 0.8 |
| Younggun Kim et al. [55] | GCN and Transformer | Accuracy ranged from 81% to 87% |
| Song-Kyoo Kim et al. [58] | Advanced ML-based Pedestrian Crossing Alert System | Accuracy (GB = 0.9, LogR = 94%, RFR = 89%, and SVM = 89%) |
| Sudesh Bhagat et al. [59] | Different ML models | Accuracy (XGBoost = 87%, sVM = 86%, BERT Word Embeddings = 82%, BERT Sentence Embeddings, and Albert Model = 88%) |
| Qinyu Sun et al. [120] | Different ML models | Accuracy (RF and SVM = 87% and LSTM = 91%) |
Disclaimer/Publisher’s Note: The statements, opinions and data contained in all publications are solely those of the individual author(s) and contributor(s) and not of MDPI and/or the editor(s). MDPI and/or the editor(s) disclaim responsibility for any injury to people or property resulting from any ideas, methods, instructions or products referred to in the content. |
© 2026 by the authors. Licensee MDPI, Basel, Switzerland. This article is an open access article distributed under the terms and conditions of the Creative Commons Attribution (CC BY) license.
Share and Cite
Darwish, A.M.; Shokry, S.; Zagow, M.; Elbany, M.; Qabur, A.; Alshammari, T.O.; Elkafoury, A.; Alfiqi, M.S. Investigating Unsafe Pedestrian Behavior at Urban Road Midblock Crossings Using Machine Learning: Lessons from Alexandria, Egypt. Buildings 2026, 16, 505. https://doi.org/10.3390/buildings16030505
Darwish AM, Shokry S, Zagow M, Elbany M, Qabur A, Alshammari TO, Elkafoury A, Alfiqi MS. Investigating Unsafe Pedestrian Behavior at Urban Road Midblock Crossings Using Machine Learning: Lessons from Alexandria, Egypt. Buildings. 2026; 16(3):505. https://doi.org/10.3390/buildings16030505
Chicago/Turabian StyleDarwish, Ahmed Mahmoud, Sherif Shokry, Maged Zagow, Marwa Elbany, Ali Qabur, Talal Obaid Alshammari, Ahmed Elkafoury, and Mohamed Shaaban Alfiqi. 2026. "Investigating Unsafe Pedestrian Behavior at Urban Road Midblock Crossings Using Machine Learning: Lessons from Alexandria, Egypt" Buildings 16, no. 3: 505. https://doi.org/10.3390/buildings16030505
APA StyleDarwish, A. M., Shokry, S., Zagow, M., Elbany, M., Qabur, A., Alshammari, T. O., Elkafoury, A., & Alfiqi, M. S. (2026). Investigating Unsafe Pedestrian Behavior at Urban Road Midblock Crossings Using Machine Learning: Lessons from Alexandria, Egypt. Buildings, 16(3), 505. https://doi.org/10.3390/buildings16030505

