Sign in to use this feature.

Years

Between: -

Subjects

remove_circle_outline
remove_circle_outline
remove_circle_outline
remove_circle_outline
remove_circle_outline
remove_circle_outline
remove_circle_outline
remove_circle_outline

Journals

Article Types

Countries / Regions

Search Results (13)

Search Parameters:
Keywords = paste and thickened tailings

Order results
Result details
Results per page
Select all
Export citation of selected articles as:
16 pages, 9275 KB  
Article
Competitive Adsorption of Thickeners and Superplasticizers in Cemented Paste Backfill and Synergistic Regulation of Rheology and Strength
by Liuhua Yang, Yongbin Wang, Yunpeng Kou, Zengjia Wang, Teng Li, Quanming Li, Hong Zhang and Shuisheng Chen
Minerals 2026, 16(1), 43; https://doi.org/10.3390/min16010043 - 30 Dec 2025
Viewed by 294
Abstract
Balancing high fluidity and stability is a critical challenge in deep-shaft cemented paste backfill (CPB) with high-concentration tailings. This study investigates the synergistic regulation mechanism of a combined admixture system comprising hydroxypropyl methylcellulose (HPMC) thickener and polycarboxylate (PCE) or Melamine-Formaldehyde Resin (MFR) superplasticizers [...] Read more.
Balancing high fluidity and stability is a critical challenge in deep-shaft cemented paste backfill (CPB) with high-concentration tailings. This study investigates the synergistic regulation mechanism of a combined admixture system comprising hydroxypropyl methylcellulose (HPMC) thickener and polycarboxylate (PCE) or Melamine-Formaldehyde Resin (MFR) superplasticizers on CPB rheology, mechanical strength, and microstructure. Results indicate that HPMC significantly enhanced anti-segregation performance via intermolecular bridging, substantially increasing yield stress and plastic viscosity. Upon PCE introduction, the steric hindrance provided by its side chains effectively disrupted HPMC-induced flocs and released entrapped water. Consequently, yield stress and plastic viscosity were reduced by up to 22.1% and 64.3%, respectively, with PCE exhibiting markedly superior viscosity-reducing efficiency compared to MFR. Mechanical testing revealed that PCE co-addition did not compromise early-age strength but enhanced 3, 7, and 28-day unconfined compressive strength (UCS) by refining pore structures and promoting the uniform distribution of hydration products. Microstructural analysis unveiled a competitive adsorption mechanism: preferential PCE adsorption dispersed particle agglomerates, while non-adsorbed HPMC formed a viscoelastic network within the pore solution, constructing a stable “dispersion-suspension” microstructure. This work provides a theoretical basis for optimizing high-performance backfill formulations. Full article
Show Figures

Figure 1

24 pages, 625 KB  
Article
The Regress of Uncertainty and the Forecasting Paradox
by Nassim Nicholas Taleb and Pasquale Cirillo
Risks 2025, 13(12), 247; https://doi.org/10.3390/risks13120247 - 10 Dec 2025
Viewed by 3170
Abstract
We show that epistemic uncertainty–our iterated ignorance about our own ignorance–inevitably thickens statistical tails, even under perceived thin-tailed environments from past realizations. Any claim of precise risk carries a margin of error, and that margin itself is uncertain, in an infinite regress of [...] Read more.
We show that epistemic uncertainty–our iterated ignorance about our own ignorance–inevitably thickens statistical tails, even under perceived thin-tailed environments from past realizations. Any claim of precise risk carries a margin of error, and that margin itself is uncertain, in an infinite regress of doubt. This “errors-on-errors” mechanism rules out thin-tailed certainty: predictive laws must be heavier-tailed than their in-sample counterparts. The result is the Forecasting Paradox: the future is structurally more extreme than the past. This insight collapses branching scenarios into a single heavy-tailed forecast, with direct implications for risk management, scientific modeling, and AI safety. Full article
(This article belongs to the Special Issue Innovative Quantitative Methods for Financial Risk Management)
Show Figures

Figure 1

18 pages, 4424 KB  
Article
Industrial-Scale Application of Polymer Dewatering for Fine Tailings Disposal
by Rubén H. Olcay, Sayra Ordóñez, George E. Valadão, Francisco Patiño, Andréia B. Henriques, Iván A. Reyes, Julio C. Juárez and Mizraim U. Flores
Materials 2025, 18(16), 3872; https://doi.org/10.3390/ma18163872 - 18 Aug 2025
Viewed by 1296
Abstract
The treatment and safe disposal of mining tailings represent one of the main technical and environmental challenges in the contemporary mining industry. The present study aims to evaluate, at laboratory scale, three dewatering techniques applied to phosphate tailings: column thickener, hyperbaric filtration (horizontal [...] Read more.
The treatment and safe disposal of mining tailings represent one of the main technical and environmental challenges in the contemporary mining industry. The present study aims to evaluate, at laboratory scale, three dewatering techniques applied to phosphate tailings: column thickener, hyperbaric filtration (horizontal filter press), and the direct application of a dewatering polymer. Based on the results obtained and the comparative analysis of Opex and Capex, the application of the dewatering polymer was selected for industrial-scale validation. The tailings sample presented an initial solids concentration of approximately 8.6% with very fine particle size, less than 70 microns. Under the best operating conditions for the aforementioned dewatering techniques, solids percentages by mass were obtained around ≈52% (thickening), ≈75% (filtration), and ≈40% (dewatering polymer). In all techniques, it was possible to obtain turbidity levels in the recovered water below 100 NTU, and a slight increase in the hardness of the overflows and filtrates was observed. According to the yield stress results, it was evident that the tailings were beginning to present characteristics of high-density slurry, paste, and cake with values of 40%, 48%, and 58% solids by mass, respectively. Full article
(This article belongs to the Section Construction and Building Materials)
Show Figures

Figure 1

15 pages, 2061 KB  
Article
Experimental Study on Dense Settlement of Full-Tail Mortar under Mechanical Vibration
by Wei Lai, Keping Zhou, Feng Gao, Zheng Pan and Xiu Gao
Minerals 2023, 13(8), 1077; https://doi.org/10.3390/min13081077 - 13 Aug 2023
Viewed by 1765
Abstract
There are some problems in the application of slurry preparation technology, such as wide fluctuation range of underflow concentration, long settling time and low efficiency of solid–liquid separation. This is an important basis for researching the thick settling law of tailings slurry under [...] Read more.
There are some problems in the application of slurry preparation technology, such as wide fluctuation range of underflow concentration, long settling time and low efficiency of solid–liquid separation. This is an important basis for researching the thick settling law of tailings slurry under the action of mechanical vibration and its influencing factors to solve these problems. To this end, a small vibration thickening testing machine and vibrating rod were designed and developed. Physical simulation experiments were conducted to analyze the settling characteristics of tailings slurry under different vibration duration, start time, vibration frequency, and vibration inertia single factors. The results show that: (1) Mechanical vibration can effectively accelerate the settling speed of tailings particles, but the relationship between them is a non-positive correlation, and mechanical vibration time control with in 5 mins is the best. With the delay of starting the vibration time, the final mass concentration first increases and then decreases. (2) As the vibration frequency increases, the final mass concentration of tailings settlement first increases and then decreases. When the eccentric vibrator speed is 6000 r/min, the best slurry settlement effect is achieved. (3) When the vibration inertia of the eccentric oscillator is 0.158 g·cm2 and the final mass concentration reaches 70.1%, the settling time only takes 210 min. (4) The lower the slurry concentration, the faster the settling speed. As the initial concentration increases, the final thickening time is also gradually prolonged. The research results provide some insights for the rapid thickening technology of rake-free paste thickeners. Full article
(This article belongs to the Special Issue Cemented Mine Waste Backfill: Experiment and Modelling)
Show Figures

Figure 1

41 pages, 16569 KB  
Review
Past, Present, and Future of Copper Mine Tailings Governance in Chile (1905–2022): A Review in One of the Leading Mining Countries in the World
by Carlos Cacciuttolo and Edison Atencio
Int. J. Environ. Res. Public Health 2022, 19(20), 13060; https://doi.org/10.3390/ijerph192013060 - 11 Oct 2022
Cited by 63 | Viewed by 15107
Abstract
How mine tailings storage facilities (TSF) are managed reflects the history, regulatory framework, and environment of a country and locale of the mine. Despite many attempts to find an environmentally friendly strategy for tailings management and governance that balances the needs of society [...] Read more.
How mine tailings storage facilities (TSF) are managed reflects the history, regulatory framework, and environment of a country and locale of the mine. Despite many attempts to find an environmentally friendly strategy for tailings management and governance that balances the needs of society and the ecosystem, there is no worldwide agreement regarding the best practices for tailings management and governance. This article reviews the evolution of copper tailings management and governance in Chile, current practices, and changes that could be or may need to be made to improve practices in response to local environmental conditions and local tolerance for risk. The progress to date in developing a holistic tailings management strategy is summarized. This article also describes recent proposals for the best available technologies (BATs), case histories of Chilean TSF using conventional technology, thickened tailings, paste tailings, filtered tailings, water use reduction, tailings reprocessing to obtain rare earth elements (REEs), circular economy, submarine deep-sea tailings disposal, and ways to avoid failure in a seismic region. Finally, the Chilean tailings industry’s pending issues and future challenges in reducing the socioenvironmental impacts of tailings are presented, including advances made and lessons learned in developing more environmentally friendly solutions. Full article
Show Figures

Figure 1

65 pages, 29983 KB  
Review
Sustainable Management of Thickened Tailings in Chile and Peru: A Review of Practical Experience and Socio-Environmental Acceptance
by Carlos Cacciuttolo Vargas and Alex Marinovic Pulido
Sustainability 2022, 14(17), 10901; https://doi.org/10.3390/su141710901 - 31 Aug 2022
Cited by 29 | Viewed by 14834
Abstract
The “Thickened Tailings Disposal” (TTD) technology produces a high density mine waste that allows for the storage of this material without the need to manage large slurry tailings storage facilities (TSFs) and large dams. TTD has been applied considering site specific conditions of [...] Read more.
The “Thickened Tailings Disposal” (TTD) technology produces a high density mine waste that allows for the storage of this material without the need to manage large slurry tailings storage facilities (TSFs) and large dams. TTD has been applied considering site specific conditions of Chile and Peru, such as extreme climatic conditions, seismic risks, water scarcity, community demands, and environmental constraints. This review highlights the contribution of several experiences in Chile and Peru, which have chosen TTD technology for reduction of negative environmental impacts, mainly focusing on the following issues: (i) increase of tailings water recovery, (ii) reduction of TSFs footprint (impacted areas), (iii) decrease the risk of physical instability, avoiding the construction of high dams, and (iv) decrease of TSFs seepages. Finally, the article describes the advantages (benefits) and disadvantages (aspects to improve) of TTD, where nowadays a high degree of dewatering of tailings is seen as a safe option, considering the occurrence of some TSF dam failures recently worldwide, which has resulted in severe environmental pollution. A better environmental perception about TTD of authorities and communities, considering that this technology allows to satisfy the needs of stable and safe TSFs, make the TTD be more acceptable, popular and one of the best available technologies (BATs) for operations with mine tailings. Full article
(This article belongs to the Special Issue Sustainability in Mining)
Show Figures

Figure 1

12 pages, 5874 KB  
Article
Pore Structure Evolution and Seepage Characteristics in Unclassified Tailing Thickening Process
by Huazhe Jiao, Wenxiang Zhang, Yixuan Yang, Liuhua Yang, Kaijian Hu and Jianxin Yu
Minerals 2022, 12(2), 164; https://doi.org/10.3390/min12020164 - 28 Jan 2022
Cited by 8 | Viewed by 3020
Abstract
The tailing paste thickening technology was investigated to achieve goaf reduction treatment and tailing resource utilization of metal mines and reach the effect of controlling two hazards with one waste. However, superfine tailing particles could easily form suspended water-locking flocs in the thickening [...] Read more.
The tailing paste thickening technology was investigated to achieve goaf reduction treatment and tailing resource utilization of metal mines and reach the effect of controlling two hazards with one waste. However, superfine tailing particles could easily form suspended water-locking flocs in the thickening process, which seriously affected the increase in the underflow concentration in the thickener. Undisturbed compression-stage bed samples were extracted using an in situ sampling method through a continuous dynamic thickening experiment. Then, the morphologies and geometrical structures of micropores were analyzed through high-precision computed tomography scanning. Subsequently, the influences of the shear evolution of pore structure and seepage channel on the dewaterability of underflow slurry were explored by combining Avizo software and 3D reconstruction technology. The thickening and dewatering mechanism of underflow slurry was also revealed. Results showed that under the shear action, the flocs were deformed and compacted, forming a high-concentration underflow. On this basis, the original micropores were extruded, deformed and segmented. Moreover, many loose micropores were formed, the connectivity became poor and the total porosity declined. The diameter of the water-conducting channel in the sample was enlarged because of the shear force and the seepage effect improved. The maximum flow velocity inside the pores was 1.537 μm/s, which was 5.49% higher than that under the non-shear state. Full article
Show Figures

Figure 1

15 pages, 7399 KB  
Article
A Population Balance Model for Shear-Induced Polymer-Bridging Flocculation of Total Tailings
by Zhuen Ruan, Aixiang Wu, Raimund Bürger, Fernando Betancourt, Rafael Ordoñez, Jiandong Wang, Shaoyong Wang and Yong Wang
Minerals 2022, 12(1), 40; https://doi.org/10.3390/min12010040 - 28 Dec 2021
Cited by 10 | Viewed by 3411
Abstract
Shear-induced polymer-bridging flocculation is widely used in the solid–liquid separation process in cemented paste backfill, beneficial to water recycling and tailings management in metal mines. A flocculation kinetics model based on Population Balance Model (PBM) is proposed to model the polymer-bridging flocculation process [...] Read more.
Shear-induced polymer-bridging flocculation is widely used in the solid–liquid separation process in cemented paste backfill, beneficial to water recycling and tailings management in metal mines. A flocculation kinetics model based on Population Balance Model (PBM) is proposed to model the polymer-bridging flocculation process of total tailings. The PBM leads to a system of ordinary differential equations describing the evolution of the size distribution, and incorporates an aggregation kernel and a breakage kernel. In the aggregation kernel, a collision frequency model describes the particle collision under the combined effects of Brownian motions, shear flow, and differential sedimentation. A semi-empirical collision efficiency model with three fitting parameters is applied. In the breakage kernel, a new breakage rate coefficient model with another three fitting parameters is introduced. Values of the six fitting parameters are determined by minimizing the difference between experimental data obtained from FBRM and modeling result through particle swarm global optimization. All of the six fitting parameters vary with flocculation conditions. The six fitting parameters are regressed with the flocculation factors with six regression models obtained. The validation modeling demonstrates that the proposed PBM quantifies well the dynamic evolution of the floc size during flocculation under the given experimental setup. The investigation will provide significant new insights into the flocculation kinetics of total tailings and lay a foundation for studying the performance of the feedwell of a gravity thickener. Full article
(This article belongs to the Special Issue Backfilling Materials for Underground Mining, Volume II)
Show Figures

Figure 1

22 pages, 4485 KB  
Article
Real-Time Electrical Conductivity Monitoring and Correlation with Sulfate Release and Acid Mine Drainage Potential from a Gold/Silver Paste Tailing Storage
by Eduardo Leiva, María Cayazzo and Mario Torres
Minerals 2021, 11(12), 1436; https://doi.org/10.3390/min11121436 - 18 Dec 2021
Cited by 2 | Viewed by 3829
Abstract
Safe disposal of tailings as high-density thickened tailings or paste tailings can reduce the environmental risks of conventional tailings deposits, reduce water use, minimize tailings storage facility footprints, reduce the potential for acid mine drainage (AMD), and minimize risks of failure, among other [...] Read more.
Safe disposal of tailings as high-density thickened tailings or paste tailings can reduce the environmental risks of conventional tailings deposits, reduce water use, minimize tailings storage facility footprints, reduce the potential for acid mine drainage (AMD), and minimize risks of failure, among other advantages. In the dewatering process, the addition of flocculants is key to improving the sedimentation of the tailings and the formation of a compact paste. Despite the environmental and operational advantages of using paste tailings, it is not clear how the chemical nature of coagulants and flocculants could influence the discharge of toxic elements (salts and metals) from tailings after storage. In this study, we show the results of the real-time evaluation of the release of polluting runoffs from a paste tailings deposit. To do this, we analyzed paste tailing samples for AMD potential through static and kinetic tests and monitored the electrical conductivity and real-time pH, evaluating the correlation with the sulfate in the thickener and downstream from the tailings deposit. Tailing samples have low sulfur content (<2%) and low acid-generating potential. Moreover, there is no evidence of a significant positive correlation (Pearson’s coefficient r < 0.8) between the sulfate concentrations with the pH or EC. Thus, the chemical nature of the paste tailings prior to discharge has no direct impact on the release of sulfate-rich runoffs from the tailings after its storage. This indicates that the tailings paste at the evaluated site is chemically stable in the short term. Full article
(This article belongs to the Section Environmental Mineralogy and Biogeochemistry)
Show Figures

Figure 1

11 pages, 2505 KB  
Article
Rheological Properties of Ultra-Fine Tailings Cemented Paste Backfill under Ultrasonic Wave Action
by Weicheng Ren, Rugao Gao, Youzhi Zhang and Maoxin Hou
Minerals 2021, 11(7), 718; https://doi.org/10.3390/min11070718 - 3 Jul 2021
Cited by 11 | Viewed by 3033
Abstract
Ultra-fine tailings cemented paste backfill (UCPB) exhibits special rheological characteristics with the effect of an ultrasonic sound field. In this study, in order to explore the thickening effect of slurry under ultrasonic wave action, we examined the rheological properties with ultrasonic wave tests [...] Read more.
Ultra-fine tailings cemented paste backfill (UCPB) exhibits special rheological characteristics with the effect of an ultrasonic sound field. In this study, in order to explore the thickening effect of slurry under ultrasonic wave action, we examined the rheological properties with ultrasonic wave tests of UCPB and the rheological properties after ultrasonic wave tests of UCPB. We found that the rheological curve of the slurry changed; the Herschel–Bulkley (HB) model in the initial state transformed into the Bingham model under the action of ultrasound. Ultrasonic waves have a positive effect on reducing slurry viscosity and yield stress. The rheological test of the slurry with ultrasonic wave action had a positive effect on significantly reducing the apparent viscosity and initial yield stress of slurry with a 62% mass concentration. The rheological test of slurry with ultrasonic wave action and the rheological test after ultrasonic wave action both have positive effects on reducing the viscosity and yield stress of the slurry with a 64% to 68% mass concentration; the overall effect of reducing the viscosity and yield stress of UCPB is greater after ultrasonic wave action of UCPB. Full article
(This article belongs to the Special Issue Backfilling Materials for Underground Mining, Volume II)
Show Figures

Figure 1

18 pages, 4896 KB  
Article
Strength and Ultrasonic Characteristics of Cemented Paste Backfill Incorporating Foaming Agent
by Xiaochuan Xu, Xiaogang Sun, Wei Yao, Pinqi Wu, Jingping Qiu, Zhenbang Guo and Na Liu
Minerals 2021, 11(7), 681; https://doi.org/10.3390/min11070681 - 25 Jun 2021
Cited by 15 | Viewed by 2454
Abstract
This work is a systematic study of the strength and ultrasonic properties of cemented paste backfill incorporating a foaming agent, known as foam-cemented paste backfill (FCPB). Based on determining the optimal admixture contents (foaming stabilizer, thickening agent, and foaming agent), a series of [...] Read more.
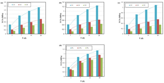
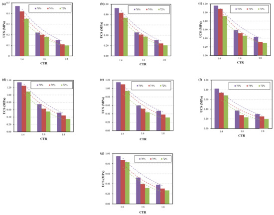
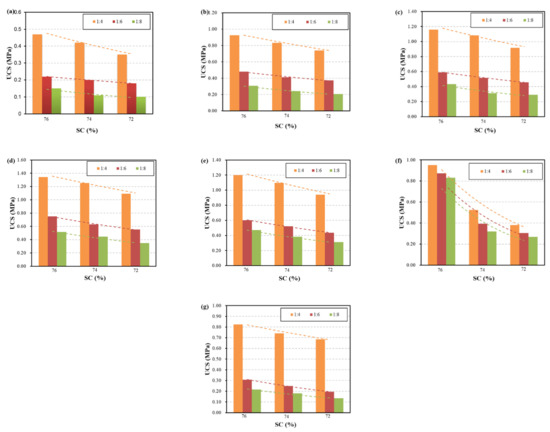
This work is a systematic study of the strength and ultrasonic properties of cemented paste backfill incorporating a foaming agent, known as foam-cemented paste backfill (FCPB). Based on determining the optimal admixture contents (foaming stabilizer, thickening agent, and foaming agent), a series of uniaxial compressive strength (UCS) tests were conducted to determine the relationship between the UCS of FCPB and four influencing factors, i.e., cement–tailings ratio (CTR), solid content (SC), curing time (T), and foaming agent content (FC). To analyze the sensitivity of UCS to these four factors, grey relational analysis (GRA) was introduced. Moreover, UCS results were correlated with the corresponding ultrasonic pulse velocity (UPV) parameters. The results indicate that the optimal contents of foaming stabilizer, thickening agent and foaming agent are 0.5%, 0.6%, and 1–3%, respectively. The UCS of FCPB exponentially increases with CTR and SC, while it logarithmically and linearly increases with T and FC, respectively. CTR has the most significant influence, followed by T, SC, and FC. There exists an evidently linear relationship between UPV and UCS of FCPB regardless of CTR, SC, T and FC. These results contribute to understanding the properties of hardened FCPB and to sound designs in practice. Full article
(This article belongs to the Section Environmental Mineralogy and Biogeochemistry)
Show Figures

Figure 1

12 pages, 4459 KB  
Article
Pore Connectivity and Dewatering Mechanism of Tailings Bed in Raking Deep-Cone Thickener Process
by Xinming Chen, Xiangfei Jin, Huazhe Jiao, Yixuan Yang and Juanhong Liu
Minerals 2020, 10(4), 375; https://doi.org/10.3390/min10040375 - 21 Apr 2020
Cited by 29 | Viewed by 3671
Abstract
Paste and thickened tailings (PTT) technology can improve the utilization and management of tailings from processing plants. The pore size distribution (PSD) and microstructure evolution affected by the rake shear in thickening tailings beds are essential to produce a high-density tailings underflow. Continuous [...] Read more.
Paste and thickened tailings (PTT) technology can improve the utilization and management of tailings from processing plants. The pore size distribution (PSD) and microstructure evolution affected by the rake shear in thickening tailings beds are essential to produce a high-density tailings underflow. Continuous thickening and computed tomography (CT) scanning tests were conducted to study the PSD with and without shear. The pore morphology was studied to reveal the shearing-dewatering performance of the tailings bed. The results show that at a flocculant solution concentration of 0.01 wt % and a feed slurry concentration of 10 wt%, the underflow concentration with and without shear can reach 58.5 wt %and 55.8 wt %, respectively. The CT image reconstruction models demonstrated that the porosity of the sheared tailings bed increased with the bed height. When the bed height increased from 2.5 to 10 cm, the porosity increased from 35.1% to 41.9%, the pore fractal dimension increased from the range 1.8–1.95 to the range 2.1–2.15, and the pore quantity decreased by 21.39%. The average pore volume increased with increasing height by 13.93%, 16.57% and 12.07%. The pore structure became more complex with the bed height, and the connectivity between pores increased to form water-flow channels, which were beneficial to the drainage of sealed water. Full article
(This article belongs to the Special Issue Surface Chemistry in Mineral Processing and Extractive Metallurgy)
Show Figures

Figure 1

18 pages, 9255 KB  
Article
Dewatering of Mine Tailings Slurries Using Superabsorbent Polymers (SAPs) Reclaimed from Industrial Reject of Baby Diapers: A Preliminary Study
by Amal Sahi, Khadija El Mahboub, Tikou Belem, Abdelkabir Maqsoud and Mamert Mbonimpa
Minerals 2019, 9(12), 785; https://doi.org/10.3390/min9120785 - 13 Dec 2019
Cited by 13 | Viewed by 7081
Abstract
Traditional deposition of tailings slurry in a tailings storage facility (TSF) can create risks of dike failure. In order to minimize these risks and slurry spillage, the surface deposition technique of densified tailings (DT) through dewatering of the slurry has emerged. The DT [...] Read more.
Traditional deposition of tailings slurry in a tailings storage facility (TSF) can create risks of dike failure. In order to minimize these risks and slurry spillage, the surface deposition technique of densified tailings (DT) through dewatering of the slurry has emerged. The DT technique has the potential to maximize water reuse, improve the shear strength of surface tailings, and reduce the ecological footprint of TSF. The consistency of DT covers a continuum ranging from thickened state, to paste state, to dry state. Despite its efficiency and economic feasibility, DT densification using thickeners sometimes proves unable to achieve the design target solids mass concentration (Cw%). Hence, the use of superabsorbent polymers (SAPs) seems to represent a promising alternative, owing to their higher water absorbent capacity. In this paper, superabsorbent polymers (SAPs) reclaimed from industrial reject of baby diapers (Na-polyacrylates) are explored as a promising alternative to mine tailings slurries dewatering. To this end, laboratory-scale dewatering tests have been performed using two grades of Na-polyacrylate SAPs (grade 1 SAP = SAG-A06P coarse-grained, and grade 2 = SAG-M01P-100 medium-grained) for the tailings slurries densification. A higher water absorbency (or swelling capacity) was observed using the coarser SAPs (SAG-A06P) compared to the finer SAPs (SAG-M01P-100). The preliminary results showed that a SAP volume dosage in the range 10–13 kg of SAP/m3 of slurry allowed achieving a final solids mass concentration (Cw%_final) ≥ 70%, despite the occurrence of gel-blocking phenomenon. Full article
(This article belongs to the Section Environmental Mineralogy and Biogeochemistry)
Show Figures

Figure 1

Back to TopTop