Sign in to use this feature.

Years

Between: -

Subjects

remove_circle_outline
remove_circle_outline
remove_circle_outline
remove_circle_outline
remove_circle_outline
remove_circle_outline
remove_circle_outline
remove_circle_outline
remove_circle_outline

Journals

Article Types

Countries / Regions

remove_circle_outline
remove_circle_outline
remove_circle_outline

Search Results (116)

Search Parameters:
Keywords = partially decentralized

Order results
Result details
Results per page
Select all
Export citation of selected articles as:
26 pages, 1672 KB  
Article
Relaxed Monotonic QMIX (R-QMIX): A Regularized Value Factorization Approach to Decentralized Multi-Agent Reinforcement Learning
by Liam O’Brien and Hao Xu
Robotics 2026, 15(1), 28; https://doi.org/10.3390/robotics15010028 - 21 Jan 2026
Abstract
Value factorization methods have become a standard tool for cooperative multi-agent reinforcement learning (MARL) in the centralized-training, decentralized-execution (CTDE) setting. QMIX (a monotonic mixing network for value factorization), in particular, constrains the joint action–value function to be a monotonic mixing of per-agent utilities, [...] Read more.
Value factorization methods have become a standard tool for cooperative multi-agent reinforcement learning (MARL) in the centralized-training, decentralized-execution (CTDE) setting. QMIX (a monotonic mixing network for value factorization), in particular, constrains the joint action–value function to be a monotonic mixing of per-agent utilities, which guarantees consistency with individual greedy policies but can severely limit expressiveness on tasks with non-monotonic agent interactions. This work revisits this design choice and proposes Relaxed Monotonic QMIX (R-QMIX), a simple regularized variant of QMIX that encourages but does not strictly enforce the monotonicity constraint. R-QMIX removes the sign constraints on the mixing network weights and introduces a differentiable penalty on negative partial derivatives of the joint value with respect to each agent’s utility. This preserves the computational benefits of value factorization while allowing the joint value to deviate from strict monotonicity when beneficial. R-QMIX is implemented in a standard PyMARL (an open-source MARL codebase) and evaluated on the StarCraft Multi-Agent Challenge (SMAC). On a simple map (3m), R-QMIX matches the asymptotic performance of QMIX while learning substantially faster. On more challenging maps (MMM2, 6h vs. 8z, and 27m vs. 30m), R-QMIX significantly improves both sample efficiency and final win rate (WR), for example increasing the final-quarter mean win rate from 42.3% to 97.1% on MMM2, from 0.0% to 57.5% on 6h vs. 8z, and from 58.0% to 96.6% on 27m vs. 30m. These results suggest that soft monotonicity regularization is a practical way to bridge the gap between strictly monotonic value factorization and fully unconstrained joint value functions. A further comparison against QTRAN (Q-value transformation), a more expressive value factorization method, shows that R-QMIX achieves higher and more reliably convergent win rates on the challenging SMAC maps considered. Full article
(This article belongs to the Special Issue AI-Powered Robotic Systems: Learning, Perception and Decision-Making)
28 pages, 2028 KB  
Article
Dynamic Resource Games in the Wood Flooring Industry: A Bayesian Learning and Lyapunov Control Framework
by Yuli Wang and Athanasios V. Vasilakos
Algorithms 2026, 19(1), 78; https://doi.org/10.3390/a19010078 - 16 Jan 2026
Viewed by 107
Abstract
Wood flooring manufacturers face complex challenges in dynamically allocating resources across multi-channel markets, characterized by channel conflicts, demand uncertainty, and long-term cumulative effects of decisions. Traditional static optimization or myopic approaches struggle to address these intertwined factors, particularly when critical market states like [...] Read more.
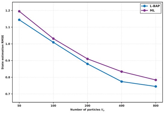
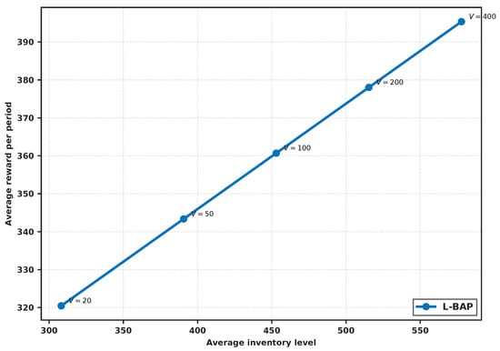
Wood flooring manufacturers face complex challenges in dynamically allocating resources across multi-channel markets, characterized by channel conflicts, demand uncertainty, and long-term cumulative effects of decisions. Traditional static optimization or myopic approaches struggle to address these intertwined factors, particularly when critical market states like brand reputation and customer base cannot be precisely observed. This paper establishes a systematic and theoretically grounded online decision framework to tackle this problem. We first model the problem as a Partially Observable Stochastic Dynamic Game. The core innovation lies in introducing an unobservable market position vector as the central system state, whose evolution is jointly influenced by firm investments, inter-channel competition, and macroeconomic randomness. The model further captures production lead times, physical inventory dynamics, and saturation/cross-channel effects of marketing investments, constructing a high-fidelity dynamic system. To solve this complex model, we propose a hierarchical online learning and control algorithm named L-BAP (Lyapunov-based Bayesian Approximate Planning), which innovatively integrates three core modules. It employs particle filters for Bayesian inference to nonparametrically estimate latent market states online. Simultaneously, the algorithm constructs a Lyapunov optimization framework that transforms long-term discounted reward objectives into tractable single-period optimization problems through virtual debt queues, while ensuring stability of physical systems like inventory. Finally, the algorithm embeds a game-theoretic module to predict and respond to rational strategic reactions from each channel. We provide theoretical performance analysis, rigorously proving the mean-square boundedness of system queues and deriving the performance gap between long-term rewards and optimal policies under complete information. This bound clearly quantifies the trade-off between estimation accuracy (determined by particle count) and optimization parameters. Extensive simulations demonstrate that our L-BAP algorithm significantly outperforms several strong baselines—including myopic learning and decentralized reinforcement learning methods—across multiple dimensions: long-term profitability, inventory risk control, and customer service levels. Full article
(This article belongs to the Section Analysis of Algorithms and Complexity Theory)
Show Figures

Figure 1

50 pages, 3579 KB  
Article
Safety-Aware Multi-Agent Deep Reinforcement Learning for Adaptive Fault-Tolerant Control in Sensor-Lean Industrial Systems: Validation in Beverage CIP
by Apolinar González-Potes, Ramón A. Félix-Cuadras, Luis J. Mena, Vanessa G. Félix, Rafael Martínez-Peláez, Rodolfo Ostos, Pablo Velarde-Alvarado and Alberto Ochoa-Brust
Technologies 2026, 14(1), 44; https://doi.org/10.3390/technologies14010044 - 7 Jan 2026
Viewed by 308
Abstract
Fault-tolerant control in safety-critical industrial systems demands adaptive responses to equipment degradation, parameter drift, and sensor failures while maintaining strict operational constraints. Traditional model-based controllers struggle under these conditions, requiring extensive retuning and dense instrumentation. Recent safe multi-agent reinforcement learning (MARL) frameworks with [...] Read more.
Fault-tolerant control in safety-critical industrial systems demands adaptive responses to equipment degradation, parameter drift, and sensor failures while maintaining strict operational constraints. Traditional model-based controllers struggle under these conditions, requiring extensive retuning and dense instrumentation. Recent safe multi-agent reinforcement learning (MARL) frameworks with control barrier functions (CBFs) achieve real-time constraint satisfaction in robotics and power systems, yet assume comprehensive state observability—incompatible with sensor-hostile industrial environments where instrumentation degradation and contamination risks dominate design constraints. This work presents a safety-aware multi-agent deep reinforcement learning framework for adaptive fault-tolerant control in sensor-lean industrial environments, achieving formal safety through learned implicit barriers under partial observability. The framework integrates four synergistic mechanisms: (1) multi-layer safety architecture combining constrained action projection, prioritized experience replay, conservative training margins, and curriculum-embedded verification achieving zero constraint violations; (2) multi-agent coordination via decentralized execution with learned complementary policies. Additional components include (3) curriculum-driven sim-to-real transfer through progressive four-stage learning achieving 85–92% performance retention without fine-tuning; (4) offline extended Kalman filter validation enabling 70% instrumentation reduction (91–96% reconstruction accuracy) for regulatory auditing without real-time estimation dependencies. Validated through sustained deployment in commercial beverage manufacturing clean-in-place (CIP) systems—a representative safety-critical testbed with hard flow constraints (≥1.5 L/s), harsh chemical environments, and zero-tolerance contamination requirements—the framework demonstrates superior control precision (coefficient of variation: 2.9–5.3% versus 10% industrial standard) across three hydraulic configurations spanning complexity range 2.1–8.2/10. Comprehensive validation comprising 37+ controlled stress-test campaigns and hundreds of production cycles (accumulated over 6 months) confirms zero safety violations, high reproducibility (CV variation < 0.3% across replicates), predictable complexity–performance scaling (R2=0.89), and zero-retuning cross-topology transferability. The system has operated autonomously in active production for over 6 months, establishing reproducible methodology for safe MARL deployment in partially-observable, sensor-hostile manufacturing environments where analytical CBF approaches are structurally infeasible. Full article
Show Figures

Figure 1

28 pages, 1916 KB  
Article
Spatial Planning in Paraguay: Between Political Fragmentation and Institutional Challenges
by Ever Lezcano González, Velislava Simeonova Simeonova and Nathalia Beatriz Ibarrola Florentin
Land 2026, 15(1), 7; https://doi.org/10.3390/land15010007 - 20 Dec 2025
Viewed by 483
Abstract
The Paraguayan spatial planning system is analyzed through its legal framework, institutional structure, and implementation mechanisms, placing it within the Latin American context marked by fragmented governance and institutional inequality. Based on a review of laws and planning instruments at the national, departmental, [...] Read more.
The Paraguayan spatial planning system is analyzed through its legal framework, institutional structure, and implementation mechanisms, placing it within the Latin American context marked by fragmented governance and institutional inequality. Based on a review of laws and planning instruments at the national, departmental, and municipal levels, this study examines the system’s evolution, with particular focus on the period from the consolidation of the constitutional framework to the formulation of recent policies promoting sustainable development, decentralization, and democratic decision-making. The findings show a process of partial institutionalization, where norms and methodologies advance more rapidly than operational and financial capacities, resulting in uneven implementation across regions. Ongoing challenges include regulatory fragmentation, overlapping responsibilities, and weak multilevel coordination. Enhancing institutional coherence, prioritizing planning instruments, and strengthening subnational technical capacities are key to achieving a coherent and equitable spatial planning system that integrates international cooperation and translates sustainability and equity principles into practical dimensions of territorial governance. Full article
Show Figures

Figure 1

34 pages, 4388 KB  
Article
The Methodology for Data Collection from a Holonic Manufacturing System
by Branislav Micieta, Vladimira Binasova, Martin Gaso and Adam Kabat
Electronics 2025, 14(24), 4865; https://doi.org/10.3390/electronics14244865 - 10 Dec 2025
Viewed by 282
Abstract
The main objective of the paper is to design a data collection and processing system for a holonic system as part of an intelligent manufacturing system. The purpose was to design and experimentally verify a communication interface capable of collecting and evaluating data [...] Read more.
The main objective of the paper is to design a data collection and processing system for a holonic system as part of an intelligent manufacturing system. The purpose was to design and experimentally verify a communication interface capable of collecting and evaluating data and communicating it with other holons. These holons represented information systems and process-level control systems. The defined methodology for the design of data collection from a holonic manufacturing system was verified on selected parts of the manufacturing holonic system. The design of a manufacturing data collection system contains a comprehensive sequence of steps and a list of necessary supporting equipment. Partial objectives include an analysis of the methods of obtaining production data from centralized and distributed control systems, and identification of differences in the methods of collection and control of centralized and distributed control systems. The core of the paper is devoted to the identification of key functional parts of the systems, the design of requirements for information manufacturing systems, and the design of holons and their information protocols in intelligent distributed manufacturing systems and in decentralized control systems. The main output is the design of an algorithm for collecting and evaluating data from holons, which also includes a unified communication protocol for a holonic production system and the technical and software equipment for solving the task. Full article
(This article belongs to the Section Industrial Electronics)
Show Figures

Figure 1

29 pages, 4559 KB  
Article
A Novel Data-Driven Multi-Agent Reinforcement Learning Approach for Voltage Control Under Weak Grid Support
by Jiaxin Wu, Ziqi Wang, Ji Han, Qionglin Li, Ran Sun, Chenhao Li, Yuehan Cheng, Bokai Zhou, Jiaming Guo and Bocheng Long
Sensors 2025, 25(23), 7399; https://doi.org/10.3390/s25237399 - 4 Dec 2025
Viewed by 754
Abstract
To address active voltage control in photovoltaic (PV)-integrated distribution networks characterized by weak voltage support conditions, this paper proposes a multi-agent deep reinforcement learning (MADRL)-based coordinated control method for PV clusters. First, the voltage control problem is formulated as a decentralized partially observable [...] Read more.
To address active voltage control in photovoltaic (PV)-integrated distribution networks characterized by weak voltage support conditions, this paper proposes a multi-agent deep reinforcement learning (MADRL)-based coordinated control method for PV clusters. First, the voltage control problem is formulated as a decentralized partially observable Markov decision process (Dec-POMDP), and a centralized training with decentralized execution (CTDE) framework is adopted, enabling each inverter to make independent decisions based solely on local measurements during the execution phase. To balance voltage compliance with energy efficiency, two barrier functions are designed to reshape the reward function, introducing an adaptive penalization mechanism: a steeper gradient in violation region to accelerate voltage recovery to the nominal range, and a gentler gradient in the safe region to minimize excessive reactive regulation and power losses. Furthermore, six representative MADRL algorithms—COMA, IDDPG, MADDPG, MAPPO, SQDDPG, and MATD3—are employed to solve the active voltage control problem of the distribution network. Case studies based on a modified IEEE 33-bus system demonstrate that the proposed framework ensures voltage compliance while effectively reducing network losses. The MADDPG algorithm achieves a Controllability Ratio (CR) of 91.9% while maintaining power loss at approximately 0.0695 p.u., demonstrating superior convergence and robustness. Comparisons with optimal power flow (OPF) and droop control methods confirm that the proposed approach significantly improves voltage stability and energy efficiency under model-free and communication-constrained weak grid conditions. Full article
Show Figures

Figure 1

28 pages, 2922 KB  
Review
The Future of Vertical-Axis Wind Turbines: Opportunities, Challenges, and Sustainability Perspectives
by Mladen Bošnjaković, Robert Santa, Jelena Topić Božič and Simon Muhič
Energies 2025, 18(23), 6369; https://doi.org/10.3390/en18236369 - 4 Dec 2025
Cited by 1 | Viewed by 1131
Abstract
This Vertical-axis wind turbines (VAWTs) are emerging as promising alternatives to conventional horizontal-axis wind turbines (HAWTs) for renewable energy generation, particularly in urban and offshore environments. Despite increasing interest, a comprehensive evaluation of their technical, economic, and environmental performance remains limited. This review, [...] Read more.
This Vertical-axis wind turbines (VAWTs) are emerging as promising alternatives to conventional horizontal-axis wind turbines (HAWTs) for renewable energy generation, particularly in urban and offshore environments. Despite increasing interest, a comprehensive evaluation of their technical, economic, and environmental performance remains limited. This review, based on a targeted literature search, critically evaluates and compares the performance, economic viability, environmental impact, technological advancements, and adoption barriers of VAWTs and HAWTs. VAWTs demonstrate lower aerodynamic efficiency (20–35%) and capacity factors (20–35%) compared to HAWTs (efficiency 40–50%, capacity factors 30–45%), yet offer advantages such as omnidirectional wind capture, simpler ground-level maintenance, lower noise emissions, reduced avian impact, and greater feasibility for space-constrained urban settings. Economic analyses indicate that VAWTs typically have higher levelized costs of energy (60–80 EUR/MWh) than HAWTs (40–60 EUR/MWh), although these are partially offset by reduced operational costs. Environmental assessments favor VAWTs in terms of land use, biodiversity impact, and water consumption. Technological progress, including AI-based aerodynamic optimization, hybrid rotor designs, advanced composite materials, and Maglev bearings, has enhanced the competitiveness of VAWTs. The main adoption challenges are lower power output, scalability constraints, and lack of support from policymakers. While HAWTs remain dominant in large-scale wind energy production due to superior aerodynamic performance and economies of scale, VAWTs offer significant benefits for decentralized, urban, and offshore applications where installation flexibility, noise, and environmental considerations are critical. Continued innovation and more policy support could increase VAWT market penetration and contribute to more diversified, sustainable energy portfolios. Full article
Show Figures

Figure 1

34 pages, 23756 KB  
Article
Fuzzy-Partitioned Multi-Agent TD3 for Photovoltaic Maximum Power Point Tracking Under Partial Shading
by Diana Ortiz-Muñoz, David Luviano-Cruz, Luis Asunción Pérez-Domínguez, Alma Guadalupe Rodríguez-Ramírez and Francesco García-Luna
Appl. Sci. 2025, 15(23), 12776; https://doi.org/10.3390/app152312776 - 2 Dec 2025
Viewed by 359
Abstract
Maximum power point tracking (MPPT) under partial shading is a nonconvex, rapidly varying control problem that challenges multi-agent policies deployed on photovoltaic modules. We present Fuzzy–MAT3D, a fuzzy-augmented multi-agent TD3 (Twin-Delayed Deep Deterministic Policy Gradient) controller trained under centralized training/decentralized execution (CTDE). On [...] Read more.
Maximum power point tracking (MPPT) under partial shading is a nonconvex, rapidly varying control problem that challenges multi-agent policies deployed on photovoltaic modules. We present Fuzzy–MAT3D, a fuzzy-augmented multi-agent TD3 (Twin-Delayed Deep Deterministic Policy Gradient) controller trained under centralized training/decentralized execution (CTDE). On the theory side, we prove that differentiable fuzzy partitions of unity endow the actor–critic maps with global Lipschitz regularity, reduce temporal-difference target variance, enlarge the input-to-state stability (ISS) margin, and yield a global Lγ-contraction of fixed-policy evaluation (hence, non-expansive with κ=γ<1). We further state a two-time-scale convergence theorem for CTDE-TD3 with fuzzy features; a PL/last-layer-linear corollary implies point convergence and uniqueness of critics. We bound the projected Bellman residual with the correct contraction factor (for L and L2(ρ) under measure invariance) and quantified the negative bias induced by min{Q1,Q2}; an N-agent extension is provided. Empirically, a balanced common-random-numbers design across seven scenarios and 20 seeds, analyzed by ANOVA and CRN-paired tests, shows that Fuzzy–MAT3D attains the highest mean MPPT efficiency (92.0% ± 4.0%), outperforming MAT3D and Multi-Agent Deep Deterministic Policy Gradient controller (MADDPG). Overall, fuzzy regularization yields higher efficiency, suppresses steady-state oscillations, and stabilizes learning dynamics, supporting the use of structured, physics-compatible features in multi-agent MPPT controllers. At the level of PV plants, such gains under partial shading translate into higher effective capacity factors and smoother renewable generation without additional hardware. Full article
Show Figures

Figure 1

18 pages, 5230 KB  
Article
Assessing the Readiness for 15-Minute Cities: Spatial Analysis of Accessibility and Urban Sprawl in Limassol, Cyprus
by Paraskevas Nikolaou, Socrates Basbas and Byron Ioannou
Urban Sci. 2025, 9(12), 509; https://doi.org/10.3390/urbansci9120509 - 1 Dec 2025
Viewed by 649
Abstract
This study evaluates Limassol’s readiness to adopt the 15-minute city model through a spatial accessibility and urban-form analysis. Using openly available geo-referenced Points of Interest (POIs), road network data, land-use records, and census information, we generated 15-minute walking and cycling isochrones for eight [...] Read more.
This study evaluates Limassol’s readiness to adopt the 15-minute city model through a spatial accessibility and urban-form analysis. Using openly available geo-referenced Points of Interest (POIs), road network data, land-use records, and census information, we generated 15-minute walking and cycling isochrones for eight essential urban functions: Education, Food, Green Areas, Health, Services, Shopping, Tourism, and Transport. Residential coverage within each isochrone was calculated to assess accessibility equity across the city. Urban sprawl was quantified using size, density, and fragmentation metrics derived from historical planning zones. Results show that while cycling accessibility is high for most categories (85–95% of residential areas), walking accessibility is considerably lower and unevenly distributed, with several critical functions, particularly Green Areas, Education, and Transport, serving less than half of the residential zones. The analysis also reveals increasing spatial fragmentation and outward population shifts consistent with low-density sprawl, driven by planning policies and development pressures. These findings indicate that Limassol is only partially aligned with the principles of the 15-minute city, with significant gaps in walkable access and decentralized service provision. The study concludes that targeted planning reforms, improved active-mobility infrastructure, and polycentric redistribution of amenities are necessary for enhancing accessibility equity and advancing the city’s transition toward a more sustainable and human-scaled urban model. Full article
Show Figures

Figure 1

26 pages, 934 KB  
Article
Impact of Fertilization with Cattle Slurry in a Poplar Short Rotation Coppice on Mass Balance of Nutrients and Biomass Productivity
by Abel Rodrigues, Sofia Pereira, Alberto Azevedo Gomes, José Louzada, Alexandre B. Gonçalves, Teresa Fonseca, Amélia Castelo-Branco, Paula Castro, Helena Moreira and Regina Menino
Appl. Sci. 2025, 15(23), 12403; https://doi.org/10.3390/app152312403 - 22 Nov 2025
Viewed by 524
Abstract
The incorporation of cattle slurry in soil in short-rotation-cycle poplar cultivations can be a win–win strategy, insofar as a main feedstock derived from local intensive dairy cattle breeding can be used as a natural fertilizer and in bioenergy produced in the same region. [...] Read more.
The incorporation of cattle slurry in soil in short-rotation-cycle poplar cultivations can be a win–win strategy, insofar as a main feedstock derived from local intensive dairy cattle breeding can be used as a natural fertilizer and in bioenergy produced in the same region. The circularity of this process can contribute to boosting local socio-economic value. In this context, this work involved the installation of a poplar SRC plantation with a density of 5330 trees ha−1 in a 4000 m2 moderately fertile flat site, which was formerly used as a vineyard. Mechanical dosages of slurry of 0, 26.6, 53.2, and 106.5 Mg ha−1, designated as treatments T0, T1, T2, and T3, were applied three times per year during 2019, 2020, and 2021. The variables quantified were related to plant growth, biomass productivity and mass balances of K, P, Cu, Zn, Mg, and N, and organic matter in the whole soil, plant, and slurry system during the first rotation cycle. For treatments T0 and T1, all these seven chemical components showed positive balances in the system, with cumulative demand by soil and biomass being higher than cumulative supply by slurry. Negative balances occurred for P with T2 and T3 and for Zn with T3, so that an overall condition of nutrient saturation of the whole system was not achieved. A no-slurry application, or at most a moderate application equivalent to T1, in the second rotation cycle should therefore be prescribed to allow a nutrient equilibrium status to be achieved through internal seasonal recycling mechanisms. The biomass average productivities ranged from 6.1 to 11.8 Mg ha−1 y−1, peaking under treatment T2, and are within the typical values for a first rotation cycle for poplar SRCs. The biomass fuel quality was not affected by the slurry treatments. A good performance of plant total height and growth in diameter at breast height suggested that poplar trees were not stressed by the applied slurry. Only treatment T1 could assure that cattle CO2-eq methane emissions were overall equilibrated by the carbon sequestration from poplar cultivation, with an absence of climatic-warming impacts. Treatments T2 and T3 could only partially minimize that impact, which would always exist. Globally, this site-specific analysis showed that, under moderately fertile conditions, controlled cattle slurry fertilization of poplar SRC cultivations, which would assure a long-term steady-state equilibrium, can be a viable option to contribute to decentralized production of bioenergy in rural communities. Full article
(This article belongs to the Section Agricultural Science and Technology)
Show Figures

Figure 1

39 pages, 1423 KB  
Article
A Transformer-Based Self-Organizing UAV Swarm for Assisting an Emergency Communications System
by Isaac López-Villegas, Kevin Javier Medina-Gómez, Javier Izquierdo-Reyes, Daniel Colin-García, Hugo Gustavo González-Hernández and Rogelio Bustamante-Bello
Drones 2025, 9(11), 769; https://doi.org/10.3390/drones9110769 - 7 Nov 2025
Viewed by 1638
Abstract
Natural disasters often compromise telecommunications infrastructure, leading to unstable services or complete communication blackouts that hinder rescue operations and exacerbate victims’ distress. Rapidly deployable alternatives are, therefore, critical to sustaining reliable connectivity in affected regions. This work proposes a self-organizing multi-Unmanned Aerial Vehicle [...] Read more.
Natural disasters often compromise telecommunications infrastructure, leading to unstable services or complete communication blackouts that hinder rescue operations and exacerbate victims’ distress. Rapidly deployable alternatives are, therefore, critical to sustaining reliable connectivity in affected regions. This work proposes a self-organizing multi-Unmanned Aerial Vehicle (UAV) swarm network capable of providing stand-alone and temporary coverage to both victims and emergency personnel in areas with compromised infrastructure through access points installed onboard UAVs. To address the challenges of partial observability in decentralized coordination, we introduce the Soft Transformer Recurrent Graph Network (STRGN), a novel encoder–decoder architecture inspired by the transformer model and extending the Soft Deep Recurrent Graph Network (SDRGN). By leveraging multi-head and cross-attention mechanisms, the STRGN captures higher-order spatiotemporal relationships, enabling UAVs to integrate information about neighbor proximity and ground user density when selecting actions. This facilitates adaptive positioning strategies that enhance coverage, fairness, and connectivity under dynamic conditions. Simulation results show that transformer-based approaches, including STRGN, the Soft Transformer Graph Network, and the Transformer Graph Network, consistently outperform SDRGN, and the Soft Deep Graph Network, and Deep Graph Network baselines by approximately 16% across core metrics, while also demonstrating improved scalability across diverse terrains and swarm sizes. These findings highlight STRGN’s potential as a resilient framework for UAV-assisted communications in disaster response. Full article
Show Figures

Figure 1

26 pages, 1085 KB  
Article
Advancing Sustainable Development Through Urban Tourism: A Reflective Analysis of SDG 8.9 and 17 in Nanyang City, China
by Shanshan Ku and Mohamad Shaharudin Samsurijan
Sustainability 2025, 17(21), 9533; https://doi.org/10.3390/su17219533 - 27 Oct 2025
Viewed by 897
Abstract
This study investigates how urban tourism contributes to sustainable development, with a focus on SDGs 8.9 and 17 in Nanyang City. Drawing on a reflective measurement model and employing Partial Least Squares Structural Equation Modeling (PLS-SEM), this study examines the impact of urban [...] Read more.
This study investigates how urban tourism contributes to sustainable development, with a focus on SDGs 8.9 and 17 in Nanyang City. Drawing on a reflective measurement model and employing Partial Least Squares Structural Equation Modeling (PLS-SEM), this study examines the impact of urban tourism on cultural promotion, employment creation, and multi-stakeholder collaboration. A total of 300 surveys were collected from locals and visitors across Nanyang City to analyze these relationships. The results suggest that urban tourism promotes economic development but is also a means to preserve cultural heritage, and in turn directly supports SDG 8.9 for sustainable tourism, leading to job creation and local culture preservation. The analysis also shows that collaboration among governments, private organizations, and local communities is needed to achieve effective urban tourism governance, as stated in SDG 17. This study contributes a novel theoretical development to the literature, relating SDG-based governance with local tourism dynamics whilst providing an emic perspective of how mid-sized Chinese cities like Nanyang City, through collaborative and inclusive governance of tourism, put SDGs 8.9 and 17 into practice. The results contribute to current tourism–SDG frameworks by showing how the presence of local cultural endowments and decentralized governance structures homogenizes a specific pathway toward sustainable urban tourism. Additionally, the results provided practical guidance for tourism practitioners and policymakers on how to increase urban tourism systems’ diversity, inclusiveness, and resilience. This study’s limitations, being restricted to a single city with a small sample and a lack of longitudinal follow-up, may make findings difficult to generalize. Full article
Show Figures

Figure 1

32 pages, 7599 KB  
Article
Support System Integrating Assistive Technologies for Fire Emergency Evacuation from Workplaces of Visually Impaired People
by Adrian Mocanu, Ioan Valentin Sita, Camelia Avram, Dan Radu and Adina Aștilean
Appl. Sci. 2025, 15(21), 11416; https://doi.org/10.3390/app152111416 - 24 Oct 2025
Viewed by 1022
Abstract
Due to a complex of factors, visually impaired people are facing difficulties and increased risks during fire emergencies and evacuations from different types of buildings. Even if a lot of studies have been conducted to improve the mobility and autonomy of people with [...] Read more.
Due to a complex of factors, visually impaired people are facing difficulties and increased risks during fire emergencies and evacuations from different types of buildings. Even if a lot of studies have been conducted to improve the mobility and autonomy of people with visual impairment during emergency evacuation processes, these offer only partial solutions, especially in the presence of uncertainties characteristic of fire evolution. Aiming for a more comprehensive approach to the safe evacuation of people with visual impairments, this paper proposes a support system that integrates innovative aspects related to the architecture of the application, modeling and simulation methods, and experimental realization. The system is decentralized, capable of anticipating possible fire extensions and determining, in real-time, new corresponding evacuation routes. The overall design complies with the standard norms in emergency situations. Two models, one developed in Stateflow and the other based on Delay Time Petri Nets (DTPN), were constructed to describe the dynamic behavior of the system in the presence of unexpected events that can change the initial recommended evacuation path. To test the functionality and efficiency of the proposed system, the conditions created by potential fire sources were simulated as a part of realistic scenarios. Tests were conducted with visually impaired people. Simulation and prototype testing showed that the presented system can improve evacuation times, achieving a measurable gain compared to scenarios where there is no information regarding fire evolution. Full article
Show Figures

Figure 1

36 pages, 1495 KB  
Review
Decision-Making for Path Planning of Mobile Robots Under Uncertainty: A Review of Belief-Space Planning Simplifications
by Vineetha Malathi, Pramod Sreedharan, Rthuraj P R, Vyshnavi Anil Kumar, Anil Lal Sadasivan, Ganesha Udupa, Liam Pastorelli and Andrea Troppina
Robotics 2025, 14(9), 127; https://doi.org/10.3390/robotics14090127 - 15 Sep 2025
Viewed by 4829
Abstract
Uncertainty remains a central challenge in robotic navigation, exploration, and coordination. This paper examines how Partially Observable Markov Decision Processes (POMDPs) and their decentralized variants (Dec-POMDPs) provide a rigorous foundation for decision-making under partial observability across tasks such as Active Simultaneous Localization and [...] Read more.
Uncertainty remains a central challenge in robotic navigation, exploration, and coordination. This paper examines how Partially Observable Markov Decision Processes (POMDPs) and their decentralized variants (Dec-POMDPs) provide a rigorous foundation for decision-making under partial observability across tasks such as Active Simultaneous Localization and Mapping (A-SLAM), adaptive informative path planning, and multi-robot coordination. We review recent advances that integrate deep reinforcement learning (DRL) with POMDP formulations, highlighting improvements in scalability and adaptability as well as unresolved challenges of robustness, interpretability, and sim-to-real transfer. To complement learning-driven methods, we discuss emerging strategies that embed probabilistic reasoning directly into navigation, including belief-space planning, distributionally robust control formulations, and probabilistic graph models such as enhanced probabilistic roadmaps (PRMs) and Canadian Traveler Problem-based roadmaps. These approaches collectively demonstrate that uncertainty can be managed more effectively by coupling structured inference with data-driven adaptation. The survey concludes by outlining future research directions, emphasizing hybrid learning–planning architectures, neuro-symbolic reasoning, and socially aware navigation frameworks as critical steps toward resilient, transparent, and human-centered autonomy. Full article
(This article belongs to the Section Sensors and Control in Robotics)
Show Figures

Figure 1

30 pages, 3177 KB  
Article
A Concept for Bio-Agentic Visual Communication: Bridging Swarm Intelligence with Biological Analogues
by Bryan Starbuck, Hanlong Li, Bryan Cochran, Marc Weissburg and Bert Bras
Biomimetics 2025, 10(9), 605; https://doi.org/10.3390/biomimetics10090605 - 9 Sep 2025
Viewed by 1552
Abstract
Biological swarms communicate through decentralized, adaptive behaviors shaped by local interactions, selective attention, and symbolic signaling. These principles of animal communication enable robust coordination without centralized control or persistent connectivity. This work presents a proof of concept that identifies, evaluates, and translates biological [...] Read more.
Biological swarms communicate through decentralized, adaptive behaviors shaped by local interactions, selective attention, and symbolic signaling. These principles of animal communication enable robust coordination without centralized control or persistent connectivity. This work presents a proof of concept that identifies, evaluates, and translates biological communication strategies into a generative visual language for unmanned aerial vehicle (UAV) swarm agents operating in radio-frequency (RF)-denied environments. Drawing from natural exemplars such as bee waggle dancing, white-tailed deer flagging, and peacock feather displays, we construct a configuration space that encodes visual messages through trajectories and LED patterns. A large language model (LLM), preconditioned using retrieval-augmented generation (RAG), serves as a generative translation layer that interprets perception data and produces symbolic UAV responses. Five test cases evaluate the system’s ability to preserve and adapt signal meaning through within-modality fidelity (maintaining symbolic structure in the same modality) and cross-modal translation (transferring meaning across motion and light). Covariance and eigenvalue-decomposition analysis demonstrate that this bio-agentic approach supports clear, expressive, and decentralized communication, with motion-based signaling achieving near-perfect clarity and expressiveness (0.992, 1.000), while LED-only and multi-signal cases showed partial success, maintaining high expressiveness (~1.000) but with much lower clarity (≤0.298). Full article
(This article belongs to the Special Issue Recent Advances in Bioinspired Robot and Intelligent Systems)
Show Figures

Figure 1

Back to TopTop