Sign in to use this feature.

Years

Between: -

Subjects

remove_circle_outline
remove_circle_outline
remove_circle_outline
remove_circle_outline
remove_circle_outline
remove_circle_outline
remove_circle_outline

Journals

Article Types

Countries / Regions

Search Results (22)

Search Parameters:
Keywords = palladium nanosheets

Order results
Result details
Results per page
Select all
Export citation of selected articles as:
10 pages, 2097 KB  
Article
Recycling Waste Plastics from Urban Landscapes to Porous Carbon for Clean Energy Storage
by Lin Ma and Xuecheng Chen
Polymers 2026, 18(1), 105; https://doi.org/10.3390/polym18010105 - 30 Dec 2025
Viewed by 222
Abstract
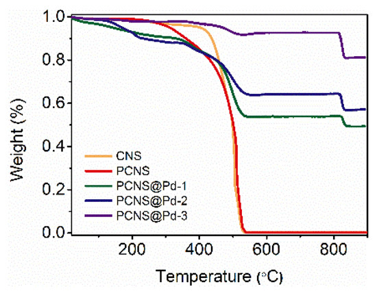
With the rapid increase in plastic consumption worldwide, the resulting plastic waste has had a significant negative impact on the environment. Converting waste plastics into carbon nanosheets (CNSs) has emerged as one of the most promising methods for both waste management and the [...] Read more.
With the rapid increase in plastic consumption worldwide, the resulting plastic waste has had a significant negative impact on the environment. Converting waste plastics into carbon nanosheets (CNSs) has emerged as one of the most promising methods for both waste management and the synthesis of high-performance carbon materials. The incorporation of palladium (Pd) nanoparticles onto CNSs can notably enhance their hydrogen storage capacity. To address the environmental pressures posed by waste plastic, we propose a strategy for synthesizing CNSs from waste polypropylene (PP). Hydrogen uptake Meas. at room temperature show that Pd-supported CNSs exhibit the highest hydrogen adsorption capacity of 0.43 wt% at 298 K and 41 bar. These findings confirm the critical influence of Pd content, particle size, and carbon structure on hydrogen storage performance under varying pressures. This study provides a new pathway for the valuable reutilization of waste plastics through functional energy conversion. This strategy not only aims to reduce plastic pollution but also creates a sustainable method for green energy storage. Full article
(This article belongs to the Collection Polymer Applications in Environmental Science)
Show Figures

Figure 1

15 pages, 1602 KB  
Article
Molecularly Imprinted Electrochemical Sensor Based on Palladium@Yttrium Oxide@Boronnitride Nanocomposite for Determination of Glyphosate Herbicide in Drinking Water Samples
by Bahar Bankoğlu Yola, Sena Bekerecioğlu, İlknur Polat, Ülkü Melike Alptekin, Necip Atar and Mehmet Lütfi Yola
Foods 2026, 15(1), 7; https://doi.org/10.3390/foods15010007 - 19 Dec 2025
Viewed by 379
Abstract
Glyphosate (GLY) is a systemic herbicide used in agriculture and has a carcinogenic effect after long-term usage. Herein, a molecularly imprinted electrochemical sensor based on palladium@yttrium oxide@boron nitride nanosheets (Pd/Y2O3@BN) nanocomposite was developed for the detection of GLY in [...] Read more.
Glyphosate (GLY) is a systemic herbicide used in agriculture and has a carcinogenic effect after long-term usage. Herein, a molecularly imprinted electrochemical sensor based on palladium@yttrium oxide@boron nitride nanosheets (Pd/Y2O3@BN) nanocomposite was developed for the detection of GLY in drinking water. After the preparation of Pd/Y2O3@BN nanocomposite by using sonication and NaBH4 reduction methods, Pd/Y2O3@BN nanocomposite as electrode material was applied on glassy carbon electrode by infrared lamp. Then, a molecularly imprinted glassy carbon electrode based on Pd/Y2O3@BN (MIP) was designed with cyclic voltammetry (CV) in presence of pyrrole monomer and GLY molecule. After the spectroscopic and microscopic characterizations, the linearity in the range of 1.0 × 10−9–1.0 × 10−8 M with a detection limit (LOD) of 3.3 × 10−10 M was obtained for GLY molecule. After MIP electrode was applied to drinking water samples with high recovery, the selectivity, stability, repeatability, and reproducibility features were studied. These promising results suggested that the as-fabricated MIP electrode presented a novel and highly effective approach for GLY assay. Full article
Show Figures

Figure 1

45 pages, 7981 KB  
Review
Emerging Trends in Palladium Nanoparticles: Sustainable Approaches for Enhanced Cross-Coupling Catalysis
by Jude I. Ayogu, Numair Elahi and Constantinos D. Zeinalipour-Yazdi
Catalysts 2025, 15(2), 181; https://doi.org/10.3390/catal15020181 - 14 Feb 2025
Cited by 9 | Viewed by 4224
Abstract
Palladium nanoparticles (PdNPs) are transforming the landscape of modern catalysis and offer sustainable and efficient alternatives to traditional catalysts for cross-coupling reactions. Owing to their exceptional surface area-to-volume ratio, PdNPs exhibit superior catalytic activity, selectivity, and recyclability, making them ideal for greener chemical [...] Read more.
Palladium nanoparticles (PdNPs) are transforming the landscape of modern catalysis and offer sustainable and efficient alternatives to traditional catalysts for cross-coupling reactions. Owing to their exceptional surface area-to-volume ratio, PdNPs exhibit superior catalytic activity, selectivity, and recyclability, making them ideal for greener chemical processes. Recent innovations have focused on improving the stability and reusability of PdNPs through environmentally benign approaches, such as water-based reactions, renewable stabilizers, and magnetic nanoparticle supports. Advances in catalyst design, including PdNP immobilization on magnetic nanosilica for enhanced recyclability in Suzuki–Miyaura reactions, nitrogen-doped carbon nanosheets achieving up to ninefold improvements in turnover frequencies, and biodegradable biopolymer matrices that reduce environmental impact, have effectively addressed key challenges such as catalyst leaching, support degradation, and agglomeration. The shift from conventional catalysis to these cutting-edge nanocatalytic techniques signifies a critical movement toward sustainable chemistry, positioning PdNPs at the forefront of industrial applications and the future of eco-friendly chemical synthesis. Full article
(This article belongs to the Special Issue Palladium Catalysis)
Show Figures

Figure 1

13 pages, 3074 KB  
Article
Pd Nanoparticles Immobilized on Pyridinic N-Rich Carbon Nanosheets for Promoting Suzuki Cross-Coupling Reactions
by Shihao Cui, Dejian Xu, Zhiyuan Wang, Libo Wang, Yikun Zhao, Wei Deng, Qingshan Zhao and Mingbo Wu
Nanomaterials 2024, 14(21), 1690; https://doi.org/10.3390/nano14211690 - 22 Oct 2024
Cited by 5 | Viewed by 1390
Abstract
Palladium (Pd) catalysts play a crucial role in facilitating Suzuki cross-coupling reactions for the synthesis of valuable organic compounds. However, conventional heterogeneous Pd catalysts often encounter challenges such as leaching and deactivation during reactions, leading to reduced catalytic efficiency. In this study, we [...] Read more.
Palladium (Pd) catalysts play a crucial role in facilitating Suzuki cross-coupling reactions for the synthesis of valuable organic compounds. However, conventional heterogeneous Pd catalysts often encounter challenges such as leaching and deactivation during reactions, leading to reduced catalytic efficiency. In this study, we employed an innovative intercalation templating strategy to prepare two-dimensional carbon nanosheets with high nitrogen doping derived from petroleum asphalt, which were utilized as a versatile support for immobilizing Pd nanoparticles (Pd/N-CNS) in efficient Suzuki cross-coupling reactions. The results indicate that the anchoring effect of high-pyridinic N species on the two-dimensional carbon nanosheets enhances interactions between Pd and the support, effectively improving both the dispersibility and stability of the Pd nanoparticles. Notably, the Pd/N-CNS catalyst achieved an overall turnover frequency (TOF) of 2390 h−1 for the Suzuki cross-coupling reaction under mild conditions, representing approximately a nine-fold increase in activity compared to commercial Pd/C catalysts. Furthermore, this catalyst maintained an overall TOF of 2294 h−1 even after five reaction cycles, demonstrating excellent stability. Theoretical calculations corroborate these observed enhancements in catalytic performance by attributing them to improved electron transfer from Pd to the support facilitated by abundant pyridinic N species. This work provides valuable insights into feasible strategies for developing efficient catalysts aimed at sustainable production of biaromatic compounds. Full article
(This article belongs to the Special Issue Novel Carbon-Based Nanomaterials as Green Catalysts)
Show Figures

Figure 1

15 pages, 3468 KB  
Article
Extracellular Vesicles-Mediated Bio-Orthogonal Catalysis in Growing Tumors
by Maria Sancho-Albero, Victor Sebastian, Ana M. Perez-Lopez, Pilar Martin-Duque, Asier Unciti-Broceta and Jesus Santamaria
Cells 2024, 13(8), 691; https://doi.org/10.3390/cells13080691 - 16 Apr 2024
Cited by 4 | Viewed by 2827
Abstract
Several studies have reported the successful use of bio-orthogonal catalyst nanoparticles (NPs) for cancer therapy. However, the delivery of the catalysts to the target tissues in vivo remains an unsolved challenge. The combination of catalytic NPs with extracellular vesicles (EVs) has been proposed [...] Read more.
Several studies have reported the successful use of bio-orthogonal catalyst nanoparticles (NPs) for cancer therapy. However, the delivery of the catalysts to the target tissues in vivo remains an unsolved challenge. The combination of catalytic NPs with extracellular vesicles (EVs) has been proposed as a promising approach to improve the delivery of therapeutic nanomaterials to the desired organs. In this study, we have developed a nanoscale bio-hybrid vector using a CO-mediated reduction at low temperature to generate ultrathin catalytic Pd nanosheets (PdNSs) as catalysts directly inside cancer-derived EVs. We have also compared their biodistribution with that of PEGylated PdNSs delivered by the EPR effect. Our results indicate that the accumulation of PdNSs in the tumour tissue was significantly higher when they were administered within the EVs compared to the PEGylated PdNSs. Conversely, the amount of Pd found in non-target organs (i.e., liver) was lowered. Once the Pd-based catalytic EVs were accumulated in the tumours, they enabled the activation of a paclitaxel prodrug demonstrating their ability to carry out bio-orthogonal uncaging chemistries in vivo for cancer therapy. Full article
Show Figures

Figure 1

11 pages, 3173 KB  
Article
In Situ Polymerization Synthesis of Graphdiyne Nanosheets as Electrode Material and Its Application in NMR Spectroelectrochemistry
by Siyue Zhang, Lin Yang, Xiaoping Zhang, Yuxue Chen, Yutong Zhang and Wei Sun
Polymers 2023, 15(12), 2726; https://doi.org/10.3390/polym15122726 - 18 Jun 2023
Cited by 1 | Viewed by 2234
Abstract
In situ NMR spectroelectrochemistry is extremely powerful in studying redox reactions in real time and identifying unstable reaction intermediates. In this paper, in situ polymerization synthesis of ultrathin graphdiyne (GDY) nanosheets was realized on the surface of copper nanoflower/copper foam (nano−Cu/Cuf)-based electrode with [...] Read more.
In situ NMR spectroelectrochemistry is extremely powerful in studying redox reactions in real time and identifying unstable reaction intermediates. In this paper, in situ polymerization synthesis of ultrathin graphdiyne (GDY) nanosheets was realized on the surface of copper nanoflower/copper foam (nano−Cu/Cuf)-based electrode with hexakisbenzene monomers and pyridine. Palladium (Pd) nanoparticles were further deposited onto the GDY nanosheets by the constant potential method. By using this GDY composite as electrode material, a new NMR-electrochemical cell was designed for in situ NMR spectroelectrochemistry measurement. The three-electrode electrochemical system consists of a Pd/GDY/nano−Cu/Cuf electrode as the working electrode, a platinum wire as the counter electrode, and a silver/silver chloride (Ag/AgCl) wire as a quasi-reference electrode, which can be dipped into a specially constructed sample tube and adapted for convenient operation in any commercial high-field, variable-temperature FT NMR spectrometer. The application of this NMR-electrochemical cell is illustrated by monitoring the progressive oxidation of hydroquinone to benzoquinone by controlled-potential electrolysis in aqueous solution. Full article
(This article belongs to the Special Issue Spectroscopy Applied to Polymers)
Show Figures

Figure 1

9 pages, 2442 KB  
Article
Spontaneous Phase Segregation Enabling Clogging Aversion in Continuous Flow Microfluidic Synthesis of Nanocrystals Supported on Reduced Graphene Oxide
by Dumei Wang, Dongtang Zhang, Yanan Wang, Guangsheng Guo, Xiayan Wang and Yugang Sun
Nanomaterials 2022, 12(23), 4315; https://doi.org/10.3390/nano12234315 - 5 Dec 2022
Cited by 1 | Viewed by 2407
Abstract
Eliminating clogging in capillary tube reactors is critical but challenging for enabling continuous-flow microfluidic synthesis of nanoparticles. Creating immiscible segments in a microfluidic flow is a promising approach to maintaining a continuous flow in the microfluidic channel because the segments with low surface [...] Read more.
Eliminating clogging in capillary tube reactors is critical but challenging for enabling continuous-flow microfluidic synthesis of nanoparticles. Creating immiscible segments in a microfluidic flow is a promising approach to maintaining a continuous flow in the microfluidic channel because the segments with low surface energy do not adsorb onto the internal wall of the microchannel. Herein we report the spontaneous self-agglomeration of reduced graphene oxide (rGO) nanosheets in polyol flow, which arises because the reduction of graphene oxide (GO) nanosheets by hot polyol changes the nanosheets from hydrophilic to hydrophobic. The agglomerated rGO nanosheets form immiscible solid segments in the polyol flow, realizing the liquid–solid segmented flow to enable clogging aversion in continuous-flow microfluidic synthesis. Simultaneous reduction of precursor species in hot polyol deposits nanocrystals uniformly dispersed on the rGO nanosheets even without surfactant. Cuprous oxide (Cu2O) nanocubes of varying edge lengths and ultrafine metal nanoparticles of platinum (Pt) and palladium (Pd) dispersed on rGO nanosheets have been continuously synthesized using the liquid–solid segmented flow microfluidic method, shedding light on the promise of microfluidic reactors in synthesizing functional nanomaterials. Full article
Show Figures

Graphical abstract

12 pages, 2399 KB  
Article
Pd-Decorated 2D MXene (2D Ti3C2Tix) as a High-Performance Electrocatalyst for Reduction of Carbon Dioxide into Fuels toward Climate Change Mitigation
by Bharath Govindan, Rajesh Madhu, Mohammad Abu Haija, Fedor V. Kusmartsev and Fawzi Banat
Catalysts 2022, 12(10), 1180; https://doi.org/10.3390/catal12101180 - 6 Oct 2022
Cited by 37 | Viewed by 4791
Abstract
Palladium nanoparticles (Pd NPs) have attracted considerable attention recently for their excellent catalytic properties in various catalysis reactions. However, Pd NPs have some drawbacks, including their high cost, susceptibility to deactivation, and the possibility of poisoning by intermediate products. Herein, Pd nanoparticles with [...] Read more.
Palladium nanoparticles (Pd NPs) have attracted considerable attention recently for their excellent catalytic properties in various catalysis reactions. However, Pd NPs have some drawbacks, including their high cost, susceptibility to deactivation, and the possibility of poisoning by intermediate products. Herein, Pd nanoparticles with an average diameter of 6.5 nm were successfully incorporated on electronically transparent 2D MXene (Ti3C2Tix) nanosheets (Pd-MXene) by microwave irradiation. Considering the synergetic effects of ultra-fine Pd NPs, together with the intrinsic properties of 2D MXene, the obtained Pd-MXene showed a specific surface area of 97.5 m2g−1 and multiple pore channels that enabled excellent electrocatalytic activity for the reduction of CO2. Further, the 2D Pd-MXene hybrid nanocatalyst enables selective electroreduction of CO2 into selective production of CH3OH in ambient conditions by multiple electron transfer. A detailed explanation of the CO2RR mechanism is presented, and the faradic efficiency (FE) of CH3OH is tuned by varying the cell potential. Recyclability studies were conducted to demonstrate the practical application of CO2 reduction into selective production of CH3OH. In this study, metal and MXene interfaces were created to achieve a highly selective electroreduction of CO2 into fuels and other value-added chemical products. Full article
Show Figures

Figure 1

10 pages, 2545 KB  
Article
Design of Pd–Zn Bimetal MOF Nanosheets and MOF-Derived Pd3.9Zn6.1/CNS Catalyst for Selective Hydrogenation of Acetylene under Simulated Front-End Conditions
by Xinxiang Cao, Ruijian Tong, Siye Tang, Ben W. -L. Jang, Arash Mirjalili, Jiayi Li, Xining Guo, Jingyi Zhang, Jiaxue Hu and Xin Meng
Molecules 2022, 27(17), 5736; https://doi.org/10.3390/molecules27175736 - 5 Sep 2022
Cited by 13 | Viewed by 3436
Abstract
Novel zinc–palladium–porphyrin bimetal metal–organic framework (MOF) nanosheets were directly synthesized by coordination chelation between Zn(II) and Pd(II) tetra(4-carboxyphenyl)porphin (TCPP(Pd)) using a solvothermal method. Furthermore, a serial of carbon nanosheets supported Pd–Zn intermetallics (Pd–Zn-ins/CNS) with different Pd: Zn atomic ratios were obtained by one-step [...] Read more.
Novel zinc–palladium–porphyrin bimetal metal–organic framework (MOF) nanosheets were directly synthesized by coordination chelation between Zn(II) and Pd(II) tetra(4-carboxyphenyl)porphin (TCPP(Pd)) using a solvothermal method. Furthermore, a serial of carbon nanosheets supported Pd–Zn intermetallics (Pd–Zn-ins/CNS) with different Pd: Zn atomic ratios were obtained by one-step carbonization under different temperature using the prepared Zn-TCPP(Pd) MOF nanosheets as precursor. In the carbonization process, Pd–Zn-ins went through the transformation from PdZn (650 °C) to Pd3.9Zn6.1 (~950 °C) then to Pd3.9Zn6.1/Pd (1000 °C) with the temperature increasing. The synthesized Pd–Zn-ins/CNS were further employed as catalysts for selective hydrogenation of acetylene. Pd3.9Zn6.1 showed the best catalytic performance compared with other Pd–Zn intermetallic forms. Full article
(This article belongs to the Special Issue Emerging Catalytic, Energetic, and Inorganic Nonmetallic Materials)
Show Figures

Figure 1

11 pages, 2134 KB  
Article
Preparation of Various Nanomaterials via Controlled Gelation of a Hydrophilic Polymer Bearing Metal-Coordination Units with Metal Ions
by Daisuke Nagai, Naoki Isobe, Tatsushi Inoue, Shusuke Okamoto, Yasuyuki Maki and Takeshi Yamanobe
Gels 2022, 8(7), 435; https://doi.org/10.3390/gels8070435 - 11 Jul 2022
Cited by 4 | Viewed by 4159
Abstract
We investigated the gelation of a hydrophilic polymer with metal-coordination units (HPMC) and metal ions (PdII or AuIII). Gelation proceeded by addition of an HPMC solution in N-methyl-2-pyrrolidone (NMP) to a metal ion aqueous solution. An increase in the [...] Read more.
We investigated the gelation of a hydrophilic polymer with metal-coordination units (HPMC) and metal ions (PdII or AuIII). Gelation proceeded by addition of an HPMC solution in N-methyl-2-pyrrolidone (NMP) to a metal ion aqueous solution. An increase in the composition ratio of the metal-coordination units from 10 mol% to 34 mol% (HPMC-34) increased the cross-linking rate with AuIII. Cross-linking immediately occurred after dropwise addition of an HPMC-34 solution to the AuIII solution, generating the separation between the phases of HPMC-34 and AuIII. The cross-linking of AuIII proceeded from the surface to the inside of the HPMC-34 droplets, affording spherical gels. In contrast, a decrease in the ratio of metal-coordination units from 10 mol% to 4 mol% (HPMC-4) decreased the PdII cross-linking rate. The cross-linking occurred gradually and the gels extended to the bottom of the vessel, forming fibrous gels. On the basis of the mechanism for the formation of gels with different morphologies, the gelation of HPMC-34 and AuIII provided nanosheets via gelation at the interface between the AuIII solution and the HPMC-34 solution. The gelation of HPMC-4 and PdII afforded nanofibers by a facile method, i.e., dropwise addition of the HPMC-4 solution to the PdII solution. These results demonstrated that changing the composition ratio of the metal-coordination units in HPMC can control the gelation behavior, resulting in different types of nanomaterials. Full article
(This article belongs to the Special Issue Advance in Composite Gels)
Show Figures

Figure 1

12 pages, 4322 KB  
Article
Palladium Nanoparticle-Modified Carbon Spheres @ Molybdenum Disulfide Core-Shell Composite for Electrochemically Detecting Quercetin
by Fubin Pei, Yi Wu, Shasha Feng, Hualai Wang, Guangyu He, Qingli Hao and Wu Lei
Chemosensors 2022, 10(2), 56; https://doi.org/10.3390/chemosensors10020056 - 30 Jan 2022
Cited by 10 | Viewed by 4221
Abstract
Quercetin (QR), abundant in plants, is used to treat colitis and gastric ulcer and is also a promising anticancer agent. To quantificationally detect QR, a sensitive electrochemical sensor was fabricated by palladium nanoparticles loaded on carbon sphere @ molybdenum disulfide nanosheet core-shell composites [...] Read more.
Quercetin (QR), abundant in plants, is used to treat colitis and gastric ulcer and is also a promising anticancer agent. To quantificationally detect QR, a sensitive electrochemical sensor was fabricated by palladium nanoparticles loaded on carbon sphere @ molybdenum disulfide nanosheet core-shell composites (Cs@MoS2-Pd NPs). The Cs@MoS2-Pd NPs worked to remedy the shortcomings of MoS2 and exhibited good catalytic activity to QR. The oxidation reaction of QR on Cs@MoS2-Pd NPs/GCE involved two electrons and two protons. Furthermore, the molecular surface for electrostatic potential, Laplacian bond order, and Gibbs free energy were computationally simulated to speculate the order and site of the oxidation of QR. The results showed that the 4′ O–H and 3′ O–H broke successively during the oxidation reaction. When the concentration of QR was within 0.5 to 12 μM, the fabricated sensor could achieve linear detection, and the detection limit was 0.02 μM (S/N = 3). In addition, the sensor possessed good selectivity, repeatability, and stability, which has a broad prospect in practical application. Full article
Show Figures

Figure 1

20 pages, 28447 KB  
Article
Palladium-Nickel Electrocatalysts on Nitrogen-Doped Reduced Graphene Oxide Nanosheets for Direct Hydrazine/Hydrogen Peroxide Fuel Cells
by Mir Ghasem Hosseini, Vahid Daneshvari-Esfahlan, Hossein Aghajani, Sigrid Wolf and Viktor Hacker
Catalysts 2021, 11(11), 1372; https://doi.org/10.3390/catal11111372 - 14 Nov 2021
Cited by 20 | Viewed by 3974
Abstract
In the present work, nitrogen-doped reduced graphene oxide-supported (NrGO) bimetallic Pd–Ni nanoparticles (NPs), fabricated by means of the electrochemical reduction method, are investigated as an anode electrocatalyst in direct hydrazine–hydrogen peroxide fuel cells (DHzHPFCs). The surface and structural characterization of the synthesized catalyst [...] Read more.
In the present work, nitrogen-doped reduced graphene oxide-supported (NrGO) bimetallic Pd–Ni nanoparticles (NPs), fabricated by means of the electrochemical reduction method, are investigated as an anode electrocatalyst in direct hydrazine–hydrogen peroxide fuel cells (DHzHPFCs). The surface and structural characterization of the synthesized catalyst affirm the uniform deposition of NPs on the distorted NrGO. The electrochemical studies indicate that the hydrazine oxidation current density on Pd–Ni/NrGO is 1.81 times higher than that of Pd/NrGO. The onset potential of hydrazine oxidation on the bimetallic catalyst is also slightly more negative, i.e., the catalyst activity and stability are improved by Ni incorporation into the Pd network. Moreover, the Pd–Ni/NrGO catalyst has a large electrochemical surface area, a low activation energy value and a low resistance of charge transfer. Finally, a systematic investigation of DHzHPFC with Pd–Ni/NrGO as an anode and Pt/C as a cathode is performed; the open circuit voltage of 1.80 V and a supreme power density of 216.71 mW cm−2 is obtained for the synthesized catalyst at 60 °C. These results show that the Pd–Ni/NrGO nanocatalyst has great potential to serve as an effective and stable catalyst with low Pd content for application in DHzHPFCs. Full article
(This article belongs to the Topic Electromaterials for Environment & Energy)
Show Figures

Graphical abstract

10 pages, 2332 KB  
Article
Fast and Selective Aqueous-Phase Oxidation of Styrene to Acetophenone Using a Mesoporous Janus-Type Palladium Catalyst
by Majid Vafaeezadeh, Ranja Saynisch, Andrea Lösch, Wolfgang Kleist and Werner R. Thiel
Molecules 2021, 26(21), 6450; https://doi.org/10.3390/molecules26216450 - 26 Oct 2021
Cited by 8 | Viewed by 3751
Abstract
A heterogeneous Janus-type palladium interphase catalyst was obtained by selective surface modification of a hollow mesoporous silica material. The catalyst comprises hydrophobic octyl groups on one side of the silica nanosheets and single-site bis-imidazoline dichlorido palladium(II) complexes on the other. The structure of [...] Read more.
A heterogeneous Janus-type palladium interphase catalyst was obtained by selective surface modification of a hollow mesoporous silica material. The catalyst comprises hydrophobic octyl groups on one side of the silica nanosheets and single-site bis-imidazoline dichlorido palladium(II) complexes on the other. The structure of this composite material has been analyzed by means of elemental analysis, atomic absorption spectroscopy, BET surface analysis, TGA, SEM and solid-state CP-MAS 13C and 29Si NMR spectroscopy. The catalyst showed extraordinary activity for the aqueous-phase oxidation of styrene to acetophenone using 30% hydrogen peroxide as the oxidant. An 88% yield of acetophenone could be achieved after 60 min. Full article
(This article belongs to the Special Issue Composite Porous Materials in Catalysis)
Show Figures

Graphical abstract

17 pages, 4780 KB  
Article
Effects of Surface Oxygen-Containing Groups of the Flowerlike Carbon Nanosheets on Palladium Dispersion, Catalytic Activity and Stability in Hydrogenolytic Debenzylation of Tetraacetyldibenzylhexaazaisowurtzitane
by Yun Chen, Xinlei Ding, Wenge Qiu, Jianwei Song, Junping Nan, Guangmei Bai and Siping Pang
Catalysts 2021, 11(4), 441; https://doi.org/10.3390/catal11040441 - 30 Mar 2021
Cited by 8 | Viewed by 3116
Abstract
The influence of the surface chemical properties of the carbon support on the Pd dispersion, activity and stability of Pd(OH)2/C catalyst for the hydrogenolytic debenzylation of tetraacetyldibenzylhexaazaisowurtzitane (TADB) was studied in detail. The flowerlike nanosheet carbon material (NSC) was chosen as [...] Read more.
The influence of the surface chemical properties of the carbon support on the Pd dispersion, activity and stability of Pd(OH)2/C catalyst for the hydrogenolytic debenzylation of tetraacetyldibenzylhexaazaisowurtzitane (TADB) was studied in detail. The flowerlike nanosheet carbon material (NSC) was chosen as the pristine support, meanwhile chemical oxidation with nitric acid and physical calcination at 600 °C treatments were used to modify its surface properties, which were denoted as NSCox-2 (treated with 20 wt% HNO3) and NSC-600, respectively. The three carbon supports and the corresponding catalysts of Pd/NSC, Pd/NSC-600, and Pd/NSCox-2 were characterized by scanning electron microscope (SEM), transmission electron microscopy (TEM), nitrogen sorption isotherm measurement (BET), powder X-ray diffraction (XRD), Raman spectra, X-ray photoelectron spectra (XPS), temperature-programmed desorption (TPD), temperature-programmed reduction (H2-TPR), thermogravimetric analysis (TG), and element analysis. The debenzylation activities of Pd/NSC, Pd/NSC-600, and Pd/NSCox-2, as well as the three catalysts after pre-reduction treatment were also evaluated. It was found that the activity and stability of the Pd(OH)2/C catalysts in the debenzylation reaction highly depended on the content of surface oxygen-containing groups of the carbon support. Full article
(This article belongs to the Section Catalysis in Organic and Polymer Chemistry)
Show Figures

Graphical abstract

11 pages, 3178 KB  
Article
Green Synthesis of Reduced Graphene Oxide-Supported Palladium Nanoparticles by Coleus amboinicus and Its Enhanced Catalytic Efficiency and Antibacterial Activity
by Koduru Mallikarjuna, Lebaka Veeranjaneya Reddy, Sarah Al-Rasheed, Arifullah Mohammed, Sreedevi Gedi and Woo Kyoung Kim
Crystals 2021, 11(2), 134; https://doi.org/10.3390/cryst11020134 - 28 Jan 2021
Cited by 23 | Viewed by 3925
Abstract
Novel reduced graphene oxide-supported palladium nanoparticles (RGO-PN) were synthesized under ultrasonication, a method that utilizes Coleus amboinicus as a bio-reduction agent. Green synthesized RGO-PN nanoparticles with a crystallite size in the range of 40–50 nm were confirmed in X-ray diffraction (XRD) spectra. RGO-PN [...] Read more.
Novel reduced graphene oxide-supported palladium nanoparticles (RGO-PN) were synthesized under ultrasonication, a method that utilizes Coleus amboinicus as a bio-reduction agent. Green synthesized RGO-PN nanoparticles with a crystallite size in the range of 40–50 nm were confirmed in X-ray diffraction (XRD) spectra. RGO-PN show an absorption peak at 220 nm while reduced graphene oxide (RGO) shows its maximal absorbance at 210 nm. The scanning electron microscope image revealed that 40-nm-sized spherical-shaped palladium nanoparticles stick well to reduced graphene oxide sheets, which is consistent and correlated well with the XRD pattern. Moreover, a high-resolution morphological image of RGO-PN100 was obtained by TEM analysis, which shows the anchoring of palladium nanoparticles (PN) on RGO nanosheets. Green synthesized RGO-PN100 nanoparticles from Coleus amboinicus show better reduction kinetics for 4-nitrophenol at 40 min, suggesting that RGO-PN prepared from Coleus amboinicus serve as an excellent catalytic reducing agent. Furthermore, they show remarkable antibacterial activity against Escherichia coli (ATCC 25922). Thus, green synthesized RGO-supported palladium nanoparticles demonstrated that enhanced catalytic activity and antibacterial activity both play an important role in the environmental and medical disciplines. Full article
Show Figures

Figure 1

Back to TopTop