Sign in to use this feature.

Years

Between: -

Subjects

remove_circle_outline
remove_circle_outline
remove_circle_outline
remove_circle_outline
remove_circle_outline
remove_circle_outline
remove_circle_outline
remove_circle_outline
remove_circle_outline

Journals

Article Types

Countries / Regions

Search Results (29)

Search Parameters:
Keywords = paddy grain testing

Order results
Result details
Results per page
Select all
Export citation of selected articles as:
31 pages, 36163 KB  
Article
A Robust Lightweight Vision Transformer for Classification of Crop Diseases
by Karthick Mookkandi, Malaya Kumar Nath, Sanghamitra Subhadarsini Dash, Madhusudhan Mishra and Radak Blange
AgriEngineering 2025, 7(8), 268; https://doi.org/10.3390/agriengineering7080268 - 21 Aug 2025
Cited by 7 | Viewed by 2256
Abstract
Rice, wheat, and maize are important food grains consumed by most of the population in Asian countries (like India, Japan, Singapore, Malaysia, China, and Thailand). These crops’ production is affected by biotic and abiotic factors that cause diseases in several parts of the [...] Read more.
Rice, wheat, and maize are important food grains consumed by most of the population in Asian countries (like India, Japan, Singapore, Malaysia, China, and Thailand). These crops’ production is affected by biotic and abiotic factors that cause diseases in several parts of the crops (including leaves, stems, roots, nodes, and panicles). A severe infection affects the growth of the plant, thereby undermining the economy of a country, if not detected at an early stage. This may cause extensive damage to crops, resulting in decreased yield and productivity. Early safeguarding methods are overlooked because of farmers’ lack of awareness and the variety of crop diseases. This causes significant crop damage and can consequently lower productivity. In this manuscript, a lightweight vision transformer (MaxViT) with 814.7 K learnable parameters and 85 layers is designed for classifying crop diseases in paddy and wheat. The MaxViT DNN architecture consists of a convolutional block attention module (CBAM), squeeze and excitation (SE), and depth-wise (DW) convolution, followed by a ConvNeXt module. This network architecture enhances feature representation by eliminating redundant information (using CBAM) and aggregating spatial information (using SE), and spatial filtering by the DW layer cumulatively enhances the overall classification performance. The proposed model was tested using a paddy dataset (with 7857 images and eight classes, obtained from local paddy farms in Lalgudi district, Tiruchirappalli) and a wheat dataset (with 5000 images and five classes, downloaded from the Kaggle platform). The model’s classification performance for various diseases has been evaluated based on accuracy, sensitivity, specificity, mean accuracy, precision, F1-score, and MCC. During training and testing, the model’s overall accuracy on the paddy dataset was 99.43% and 98.47%, respectively. Training and testing accuracies were 94% and 92.8%, respectively, for the wheat dataset. Ablation analysis was carried out to study the significant contribution of each module to improving the performance. It was found that the model’s performance was immune to the presence of noise. Additionally, there are a minimal number of parameters involved in the proposed model as compared to pre-trained networks, which ensures that the model trains faster. Full article
Show Figures

Figure 1

14 pages, 1796 KB  
Article
Effect of Stubble Height on Cadmium Removal Potential of Removed Straw
by Yanjiao Dai, Min Song, Yuling Liu, Ying Zhang, Jian Zhu and Hua Peng
Sustainability 2025, 17(15), 7123; https://doi.org/10.3390/su17157123 - 6 Aug 2025
Cited by 1 | Viewed by 710
Abstract
Straw removal is a method used to reduce cadmium (Cd) concentration in contaminated farmland. Experiments in Hunan Province tested different stubble heights (0, 15, 30, 45 cm) in three Cd-polluted paddy fields with different contamination levels. The results showed that lower stubble heights [...] Read more.
Straw removal is a method used to reduce cadmium (Cd) concentration in contaminated farmland. Experiments in Hunan Province tested different stubble heights (0, 15, 30, 45 cm) in three Cd-polluted paddy fields with different contamination levels. The results showed that lower stubble heights resulted in larger straw biomass and more Cd removed from the field, while the residual biomass and Cd returned to the field decreased accordingly. At stubble heights of 0, 15, 30, and 45 cm, the removed straw biomass accounted for 100%, 69.19%, 48.84%, and 28.17% of the total straw biomass, respectively. The corresponding Cd removal amounts were 12.89, 7.18, 4.18, and 1.83 g ha−1, which constituted 100%, 54.06%, 29.85%, and 12.54% of the total Cd accumulation in straw for the season, respectively. According to the fitted curve, the biomass of returned and removed straw was equal at a stubble height of 31 cm, while at 23 cm, the Cd return and removal amounts were balanced. Rice varieties Huanghuazhan and Nongxiang 42 had better Cd removal but risked grain Cd exceeding limits. Since Cd concentration in straw determines removal efficiency, varieties with high straw Cd accumulation and low grain Cd are more suitable for remediation, rather than high-Cd-accumulating types. Full article
Show Figures

Figure 1

19 pages, 3216 KB  
Article
The Mechanism of an Fe-Based MOF Material as a Foliar Inhibitor and Its Co-Mitigation Effects on Arsenic and Cadmium Accumulation in Rice Grains
by Tianyu Wang, Hao Cui, Weijie Li, Zhenmao Jiang, Lei Li, Lidan Lei and Shiqiang Wei
Agronomy 2025, 15(7), 1710; https://doi.org/10.3390/agronomy15071710 - 16 Jul 2025
Viewed by 1011
Abstract
Arsenic (As) and cadmium (Cd) in rice grains are major global food safety concerns. Iron (Fe) can help reduce both, but current Fe treatments suffer from poor stability, low leaf absorption, and fast soil immobilization, with unclear underlying mechanisms. To address these issues, [...] Read more.
Arsenic (As) and cadmium (Cd) in rice grains are major global food safety concerns. Iron (Fe) can help reduce both, but current Fe treatments suffer from poor stability, low leaf absorption, and fast soil immobilization, with unclear underlying mechanisms. To address these issues, an Fe-based metal–organic framework (MIL-88) was modified with sodium alginate (SA) to form MIL-88@SA. Its stability as a foliar inhibitor and its leaf absorption were tested, and its effects on As and Cd accumulation in rice were compared with those of soluble Fe (FeCl3) and chelating Fe (HA + FeCl3) in a field study on As–Cd co-contaminated rice paddies. Compared with the control, MIL-88@SA outperformed or matched the other Fe treatments. A single foliar spray during the tillering stage increased the rice yield by 19% and reduced the inorganic As and Cd content in the grains by 22.8% and 67.8%, respectively, while the other Fe treatments required two sprays. Its superior performance was attributed to better leaf affinity and thermal stability. Laser ablation inductively coupled plasma–mass spectrometry (LA–ICP–MS) and confocal laser scanning microscopy (CLSM) analyses revealed that Fe improved photosynthesis and alleviated As–Cd stress in leaves, MIL-88@SA promoted As and Cd redistribution, and Fe–Cd co-accumulation in leaf veins enhanced Cd retention in leaves. Full article
(This article belongs to the Topic Effect of Heavy Metals on Plants, 2nd Volume)
Show Figures

Figure 1

19 pages, 1485 KB  
Article
Polydextrose Reduces the Hardness of Cooked Chinese Sea Rice Through Intermolecular Interactions
by Chang Liu, Bing Dai, Xiaohong Luo, Hongdong Song and Xingjun Li
Gels 2025, 11(5), 353; https://doi.org/10.3390/gels11050353 - 11 May 2025
Cited by 2 | Viewed by 844
Abstract
Supposing that polydextrose molecules could improve the hard texture of cooked rice based on intermolecular interactions and forming a hydrogel-like network structure, this study added polydextrose (moisture content 1%) at 0%, 3%, 5%, 7%, and 10% concentrations to rice (cv. Super Qianhao, SQ) [...] Read more.
Supposing that polydextrose molecules could improve the hard texture of cooked rice based on intermolecular interactions and forming a hydrogel-like network structure, this study added polydextrose (moisture content 1%) at 0%, 3%, 5%, 7%, and 10% concentrations to rice (cv. Super Qianhao, SQ) milled from a 3-year-stored paddy and compared their cooking properties, their cooked rice texture, the pasting and thermal properties of their flours, the thermo-mechanical characteristics of their flour dough, and the microstructure of their cooked rice grains with a newly harvested japonica rice cv. Nanjing 5 (NJ5). With an increase in polydextrose addition, a General Linear Model (GLM) analysis showed that the cooking times of two japonica rice varieties was significantly (p < 0.05) reduced, and their gruel solid loss increased. Adding polydextrose significantly reduced the hardness, springiness, gumminess, and chewiness of cooked rice and increased the cohesiveness and resilience. By increasing polydextrose addition in rice flours, the peak, breakdown, and setback viscosities of pasting were significantly decreased, but the pasting temperature and peak time increased. Adding polydextrose reduced the gelatinization enthalpy and increased gelatinization peak temperature of the rice flour and significantly decreased the ageing of the retrograded rice flour paste stored at 4 °C when measured at 21 days. A Mixolab test showed that the stability time of the rice flour dough increased, and the protein weakening, gelatinization peak torque, and starch breakdown, as well as the starch setback and the speeds of heating, gelatinization, and enzymatic degradation all decreased. The addition of 5–10% polydextrose significantly reduced the amorphous and crystalline regions of starch and relative percent of β-sheet in cooked rice grains, with an increase in the relative percent of α-helix, random coil, and β-turn. Observing the microstructure, we confirmed that polydextrose addition facilitated the formation of a soft and evenly swollen honeycomb structure of the cooked rice. These results suggest that polydextrose might decrease the cooked rice hardness and improve the eating quality of sea rice through intermolecular interactions. Full article
(This article belongs to the Special Issue Recent Advances in Food Gels (2nd Edition))
Show Figures

Figure 1

27 pages, 28696 KB  
Article
Numerical Simulation of Dry and Wet Rice Seeds in an Air-Suction Seed Metering Device
by Cheng Qian, Zhuorong Fan, Daoqing Yan, Wei Qin, Youcong Jiang, Zishun Huang, He Xing, Zaiman Wang and Ying Zang
Agronomy 2025, 15(5), 1145; https://doi.org/10.3390/agronomy15051145 - 7 May 2025
Cited by 4 | Viewed by 1277
Abstract
Rice direct seeding for bunch planting is a sustainable agricultural production method that reduces production costs, improves rice lodging resistance, and conserves irrigation water in the field. However, there are notable differences in seed treatment between direct seeding on dry land and in [...] Read more.
Rice direct seeding for bunch planting is a sustainable agricultural production method that reduces production costs, improves rice lodging resistance, and conserves irrigation water in the field. However, there are notable differences in seed treatment between direct seeding on dry land and in paddy fields, which can impact the seeding process’s accuracy. This study employs the numerical simulation methods of computational fluid dynamics (CFDs) and discrete element method (DEM) to examine the motion characteristics of dry and wet rice seeds in a fluid–solid coupled domain and their impact on seeding accuracy. The aim is to guide the optimization of the rice air-suction seed metering device. Rice seeds were divided into dry and wet groups, and their physical properties were measured. Discrete element models of rice seeds were constructed and calibrated using a polyhedral method. The results show that the static friction coefficient between the seed meter and the seed ranged from 0.902 to 0.950, and the thousand-grain weights ranged from 25.89 to 32.42 g, which were higher than those of the dry rice seed, which ranged from 0.774 to 0.839, and from 25.89 to 32.42 g. After calibration, the errors between the simulated dynamic stacking angles of HHZD, HYD, YLYD, HHZW, HYW, and YLYW and the physical–dynamic stacking angles were 0.12%, 0.13%, 0.75%, 0.62%, 0.08%, 0.75%, 0.59%, and 1.24%, respectively, which indicated that the discrete element model for rice was reliable. Additionally, a seeding accuracy test revealed that wet seeds of the same variety had higher missing and single indices, while dry seeds had higher triple and multiple indices. Furthermore, CFD-DEM simulations demonstrated that wet seeds’ normal and tangential forces were more significant than those on dry seeds during the seed-filling process. At 40 rpm, the normal and tangential forces during the seed-filling process of HYW are 37.69 × 10−3 N and 12.47 × 10−3 N, respectively, which are higher than those of HYD (25.18 × 10−3 N and 9.19 × 10−3 N). The action force of suctioned rice seeds was directly proportional to the missing and single indices. The primary factors contributing to the discrepancy in seeding accuracy between dry and wet rice are the thousand-grain weight, the static friction coefficient between the seed meter and the seed, and the action force exerted between the rice seeds. In addition, using a shaped hole structure and optimizing the seed chamber structure can reduce normal and tangential forces and improve seeding accuracy. This study provides a reference for the simulation of rice seed flow-solid coupling and optimization of air-suction seed metering devices. Full article
Show Figures

Figure 1

26 pages, 25701 KB  
Article
Key Factors Controlling Cadmium and Lead Contents in Rice Grains of Plants Grown in Soil with Different Cadmium Levels from an Area with Typical Karst Geology
by Long Li, Lijun Ma, Lebin Tang, Fengyan Huang, Naichuan Xiao, Long Zhang and Bo Song
Agronomy 2024, 14(9), 2076; https://doi.org/10.3390/agronomy14092076 - 11 Sep 2024
Cited by 4 | Viewed by 2214
Abstract
Cadmium (Cd) is a naturally occurring element often associated with lead (Pb) in the Earth’s crust, particularly in karst regions, posing significant safety hazards for locally grown rice. Identifying the key factors controlling Cd and Pb content in local rice is essential under [...] Read more.
Cadmium (Cd) is a naturally occurring element often associated with lead (Pb) in the Earth’s crust, particularly in karst regions, posing significant safety hazards for locally grown rice. Identifying the key factors controlling Cd and Pb content in local rice is essential under the natural soil condition, as this will provide a crucial theoretical foundation for implementing security intervention measures within the local rice-growing industry. This study collected three types of paddy field soils with varying Cd concentrations from karst areas for pot experiments. The rice varieties tested included a low-Cd-accumulating variety, a high-Cd-accumulating variety, and a locally cultivated variety. Soil physicochemical properties and plant physiological indices were monitored throughout the rice growth stages. These data were used to construct a segmented regression model of Cd and Pb levels in rice grains based on the plant’s metabolic pathways and the structure of polynomial regression equations. Stepwise regression identified the key factors controlling Cd and Pb accumulation in rice grains. In conclusion, the key factors controlling Cd and Pb levels in rice grains should be classified into two categories: (i) factors influencing accumulation in roots and (ii) factors regulating transport from roots to grains. The aboveground translocation abilities for Cd, Pb, zinc (Zn), iron (Fe), manganese (Mn), calcium (Ca), and magnesium (Mg) in soil among the three rice varieties showed no significant interspecific differences under identical soil conditions. Soil Mg uptake by rice roots may represent a key mechanism for inhibiting soil Cd uptake by rice roots. In karst areas with high background soil Cd, increased soil organic matter (SOM) levels enhance Pb bioavailability. Additionally, the rice YXY may possess a potential for low Cd accumulation. Full article
(This article belongs to the Section Soil and Plant Nutrition)
Show Figures

Figure 1

17 pages, 2456 KB  
Article
Balancing Yield and Environmental Impact: Nitrogen Management and Planting Density for Rice in Southwest China
by Song Guo, Hua Yu, Xiangzhong Zeng, Yuxian Shangguan, Zijun Zhou, Xuyi Li, Zhigang Liu, Mingjiang He, Xing Luo, Yiting Ouyang, Su Liu, Liguo Wei, Yusheng Qin and Kun Chen
Agronomy 2024, 14(8), 1843; https://doi.org/10.3390/agronomy14081843 - 20 Aug 2024
Cited by 5 | Viewed by 2076
Abstract
With growing concerns about global warming, it is crucial to adopt agronomic practices that enhance rice yields from paddy fields while reducing greenhouse gas (GHG) emissions for sustainable agriculture. An optimal nitrogen (N) fertilization rate and planting density are vital to ensure high [...] Read more.
With growing concerns about global warming, it is crucial to adopt agronomic practices that enhance rice yields from paddy fields while reducing greenhouse gas (GHG) emissions for sustainable agriculture. An optimal nitrogen (N) fertilization rate and planting density are vital to ensure high rice yields, minimize GHG emissions, and understand emission behavior for better field management. We hypothesized that optimizing N application rates and planting density to improve nitrogen use efficiency (NUE) in rice cultivation would reduce resource losses and GHG emissions. To test this hypothesis, we implemented five treatments with a rice straw return cultural system: two planting densities (16 hills m−2 (traditional density, D1) and 20 hills m−2 (25% higher density, D2)) and three N application rates (no N fertilizer (N0), 180 kg N ha−1 (N1), and 144 kg N ha−1 (N2)). The control treatment (CK) was traditional planting density with no N fertilizer. The four new cropping modes were N1D1, N1D2, N2D1, and N2D2. We investigated the effects of N application rates and planting density on rice grain yield, NUE, and GHG emissions in multiple rice-growing seasons. The N1D2 treatment exhibited the highest grain yield over the three years, with a value of 10,452 kg ha−1, representing an increase of 12.2% compared to CK. Moreover, N uptake in N1D2 was the highest, averaging 39.2% (p < 0.05) higher than CK, and 8.5%, 3.5%, and 2.8% (p < 0.05) higher than N1D1, N2D1 and N2D2, respectively. N2D2 exhibited the highest NUE, with a value of 58.99 kg kg−1, surpassing all other treatments over the three years. GHG emissions, global warming potential (GWP), and greenhouse gas intensity (GHGI) in N2D2 were lower than in N1D1, N1D2, and N2D1. Additionally, reducing N application (comparing N1D1 to N2D1) and increasing plant density (comparing N1D1 to N1D2) improved N agronomic efficiency (NAE) and N partial productivity (PFPN). The negative correlation between the NAE and PFPN with GWP and GHG emissions further supports the potential for optimized N management and denser planting density to reduce environmental impact. These findings have important implications for sustainable rice cultivation practices in Southwest China and similar agroecosystems, emphasizing the need for integrated nutrient management strategies to achieve food security and climate change mitigation goals. Full article
(This article belongs to the Section Innovative Cropping Systems)
Show Figures

Figure 1

17 pages, 1654 KB  
Article
Effects of Straw Return Rate on Soil Physicochemical Properties and Yield in Paddy Fields
by Yuxuan Che, Boyuan Zhang, Boyu Liu, Jiacheng Wang and Hailin Zhang
Agronomy 2024, 14(8), 1668; https://doi.org/10.3390/agronomy14081668 - 29 Jul 2024
Cited by 13 | Viewed by 3471
Abstract
Crop straw returning to the field is an effective practice for straw utilization to improve soil fertility and sustain crop productivity. However, little information is available about the long-term effects of paddy straw return on soil properties and rice yield under a double-rice [...] Read more.
Crop straw returning to the field is an effective practice for straw utilization to improve soil fertility and sustain crop productivity. However, little information is available about the long-term effects of paddy straw return on soil properties and rice yield under a double-rice system. The objectives of this study were to test the hypothesis of the effects of different amounts of paddy straw returned to the field on soil physicochemical properties and rice yield, and to clarify the correlation between crop yield and soil physicochemical properties as well as quick-acting nutrients under different straw-returning modes. The experiment, initiated in the 2005 rice season, utilized “Xiang 45” and “Xiang 13” long-grained rice cultivars within a double-season rice cropping system. Three straw-returning treatments were implemented: rotary tillage with full rice straw incorporation (RTS), incorporation of one-third of the rice straw (1/3RTS), and incorporation of two-thirds of the rice straw (2/3RTS). This study found that among the three straw return rates, 2/3RTS had the most significant impact on soil physicochemical properties. Soil nitrogen content was identified as a crucial factor influencing soil organic carbon (SOC) accumulation, while pH levels significantly affected rice yield. Straw incorporation effectively increased the content and stocks of SOC. Full article
(This article belongs to the Section Soil and Plant Nutrition)
Show Figures

Figure 1

18 pages, 1201 KB  
Article
Efficient Paddy Grain Quality Assessment Approach Utilizing Affordable Sensors
by Aditya Singh, Kislay Raj, Teerath Meghwar and Arunabha M. Roy
AI 2024, 5(2), 686-703; https://doi.org/10.3390/ai5020036 - 14 May 2024
Cited by 9 | Viewed by 3890
Abstract
Paddy (Oryza sativa) is one of the most consumed food grains in the world. The process from its sowing to consumption via harvesting, processing, storage and management require much effort and expertise. The grain quality of the product is heavily affected [...] Read more.
Paddy (Oryza sativa) is one of the most consumed food grains in the world. The process from its sowing to consumption via harvesting, processing, storage and management require much effort and expertise. The grain quality of the product is heavily affected by the weather conditions, irrigation frequency, and many other factors. However, quality control is of immense importance, and thus, the evaluation of grain quality is necessary. Since it is necessary and arduous, we try to overcome the limitations and shortcomings of grain quality evaluation using image processing and machine learning (ML) techniques. Most existing methods are designed for rice grain quality assessment, noting that the key characteristics of paddy and rice are different. In addition, they have complex and expensive setups and utilize black-box ML models. To handle these issues, in this paper, we propose a reliable ML-based IoT paddy grain quality assessment system utilizing affordable sensors. It involves a specific data collection procedure followed by image processing with an ML-based model to predict the quality. Different explainable features are used for classifying the grain quality of paddy grain, like the shape, size, moisture, and maturity of the grain. The precision of the system was tested in real-world scenarios. To our knowledge, it is the first automated system to precisely provide an overall quality metric. The main feature of our system is its explainability in terms of utilized features and fuzzy rules, which increases the confidence and trustworthiness of the public toward its use. The grain variety used for experiments majorly belonged to the Indian Subcontinent, but it covered a significant variation in the shape and size of the grain. Full article
(This article belongs to the Special Issue Artificial Intelligence-Based Image Processing and Computer Vision)
Show Figures

Figure 1

12 pages, 2154 KB  
Article
Host Volatiles Potentially Drive Two Evolutionarily Related Weevils to Select Different Grains
by Shaohua Lu, Lingfang Zhang, Yujie Lu, Mingshun Chen and Zhengyan Wang
Insects 2024, 15(5), 300; https://doi.org/10.3390/insects15050300 - 23 Apr 2024
Cited by 5 | Viewed by 2655 | Correction
Abstract
The Sitophilus zeamais (maize weevil) and Sitophilus oryzae (rice weevil) are two insect pests that have caused huge economic losses to stored grains worldwide. It is urgent to develop an environmentally friendly strategy for the control of these destructive pests. Here, the olfactory-mediated [...] Read more.
The Sitophilus zeamais (maize weevil) and Sitophilus oryzae (rice weevil) are two insect pests that have caused huge economic losses to stored grains worldwide. It is urgent to develop an environmentally friendly strategy for the control of these destructive pests. Here, the olfactory-mediated selection preference of the two weevil species to three stored grains was analyzed, which should help establish a pull–push system in managing them. Bioassays showed that maize weevil adults prefer to select maize, followed by paddy and wheat, while rice weevil adults mainly migrate towards wheat. Volatile analyses revealed that 2-ethylhexanol, piperitone, and (+)-Δ-cadiene are the major components in volatiles from both maize and wheat, but the abundance of these chemicals is much lower in maize than that in wheat. The volatile limonene was only detected in paddy. Y-tube bioassays suggest that 2-ethylhexanol, piperitone, and (+)-Δ-cadiene were all attractive to both weevils, whereas limonene was attractive only to rice weevils. Overall, maize weevil appeared more sensitive to the tested volatiles based on having much lower effective concentrations of these volatiles needed to attract them. The differences in volatile profiles among the grains and the sensitivity of the two species towards these volatiles may explain the behavioral differences between maize and rice weevils in selecting host grains. The differences in sensitivity of maize and rice weevils towards host volatile components with abundance differences are likely determinants driving the two insect species to migrate towards different host grains. Full article
(This article belongs to the Special Issue Advances in Chemical Ecology of Plant–Insect Interactions)
Show Figures

Figure 1

16 pages, 4492 KB  
Article
Compression Strength and Critical Impact Speed of Typical Fertilizer Grains
by Mingjin Xin, Zhiwen Jiang, Yuqiu Song, Hongguang Cui, Aiju Kong, Bowen Chi and Renbao Shan
Agriculture 2023, 13(12), 2285; https://doi.org/10.3390/agriculture13122285 - 16 Dec 2023
Cited by 8 | Viewed by 2895
Abstract
The application of fertilizer is necessary for the growth and yield of crops, especially for paddy rice. Precision application is important for the fertilizer utilization rate and sustainable development of agriculture. However, the crushing of fertilizer grains will reduce the quality of fertilization, [...] Read more.
The application of fertilizer is necessary for the growth and yield of crops, especially for paddy rice. Precision application is important for the fertilizer utilization rate and sustainable development of agriculture. However, the crushing of fertilizer grains will reduce the quality of fertilization, for the decrease in the size and mass of the fertilizer particles and the degree of crushing mainly depend on the physical and mechanical properties of the fertilizer grains. In this study, the compression strength and critical impact speed of four typical commonly used fertilizer grains, a compound fertilizer of nitrogen, phosphorus, and potassium (NPK compound fertilizer), organic fertilizer, large granular urea, and small granular urea, were measured and analyzed. The static compression test was carried out using a TMS-Pro texture analyzer and the results show that the four kinds of fertilizer grains are brittle materials, and their elastic moduli are 208 MPa, 233 MPa, 140 MPa, and 107 MPa, respectively; the theoretical impact model of fertilizer granules is established based on the compression test result and Hertz elastic contact theory, the theoretical formula for the critical impact speed of fertilizer grains is derived, and the theoretical critical impact strength and speed are worked out. An image capture system for the impact process of fertilizer grains was developed, and the impact test was conducted. The results show that the critical impact speed of the four kinds of fertilizer grains decreases with the increase in granule size, while the variance analysis shows that the effect is not significant. The comparison of the experimental results with the theoretical values shows that the theoretical formula could be used to predict the trends of the critical impact speed of fertilizer grains. The model was optimized with the MATLAB 2018 function fitting tool based on the test and analysis. The goodness of fit of the formula is 0.824, which is 13.43% greater than that of the original theoretical formula, indicating that the modified formula based on the compression test data might estimate the critical impact speed of the granular fertilizer with brittle material properties more accurately. The results may provide a reference for the parameter design of a precision fertilization machine. Full article
(This article belongs to the Section Agricultural Technology)
Show Figures

Figure 1

17 pages, 4322 KB  
Article
Near-Infrared Spectroscopy Coupled with a Neighborhood Rough Set Algorithm for Identifying the Storage Status of Paddy
by Dong Yang, Yuxing Zhou, Qianqian Li, Yu Jie and Tianyu Shi
Appl. Sci. 2023, 13(20), 11357; https://doi.org/10.3390/app132011357 - 16 Oct 2023
Cited by 1 | Viewed by 1921
Abstract
Rapid and non-destructive identification of the suitable storage status of paddy during storage is crucial for controlling the quality of stored grains, which can provide high-quality raw grains for rice processing. Near-infrared (NIR) spectroscopy combined with neighborhood rough set (NRS) and multiple classification [...] Read more.
Rapid and non-destructive identification of the suitable storage status of paddy during storage is crucial for controlling the quality of stored grains, which can provide high-quality raw grains for rice processing. Near-infrared (NIR) spectroscopy combined with neighborhood rough set (NRS) and multiple classification methods were used to identify the different storage statuses of paddy. The NIR data were collected in the range of 1000–1800 nm, and three storage statuses from suitable storage to severely unsuitable storage were divided using the measured fatty acid value of paddy. The spectral features were selected using NRS, successive projection algorithm and variable combination population analysis methods. Random forest (RF), extreme learning machine, and soft independent modeling of class analogy classifiers coupled with spectral features were used to establish classification models to distinguish the different storage statuses of paddy. The comparison results indicated that the optimal wavelengths selected by NRS combined with the RF classifier to construct the NRS-RF series models led to satisfactory identification results, with high correct classification rates of 96.31% and 93.68% in the calibration and test sets, respectively; the indicators of sensitivity and specificity ranged from 0.93 to 0.99. Therefore, the combination of NIR technology with NRS and RF algorithms for identifying the storage status of paddy was feasible, as this would be more helpful for rapidly evaluating the changes of stored paddy quality. The proposed method from this study is expected to provide support for the development of non-destructive equipment for the accurate detection of the quality of stored paddy. Full article
(This article belongs to the Special Issue Spectral Detection: Technologies and Applications)
Show Figures

Figure 1

19 pages, 2198 KB  
Article
Evaluating Rice Varieties for Suitability in a Rice–Fish Co-Culture System Based on Lodging Resistance and Grain Yield
by Meijuan Li, Xiangyu Hu, Rui Hu, Kaiming Liang, Xuhua Zhong, Junfeng Pan, Youqiang Fu, Yanzhuo Liu, Xinyu Wang, Qunhuan Ye and Yuanhong Yin
Agronomy 2023, 13(9), 2392; https://doi.org/10.3390/agronomy13092392 - 15 Sep 2023
Cited by 8 | Viewed by 2646
Abstract
Rice–fish co-cultures have been practiced for over 2000 years, and they have tremendous potential in terms of increasing food security and economic benefits. However, little research has been conducted into achieving stable yields and high lodging resistance with regard to rice while simultaneously [...] Read more.
Rice–fish co-cultures have been practiced for over 2000 years, and they have tremendous potential in terms of increasing food security and economic benefits. However, little research has been conducted into achieving stable yields and high lodging resistance with regard to rice while simultaneously promoting the harmonious and healthy growth of fish in rice–fish co-culture paddy fields. We conducted a field study aimed at selecting suitable rice varieties for rice–fish co-culture systems (encompassing both ratoon and main crop). This selection process was grounded in an evaluation of lodging resistance and grain yield among 33 rice varieties used throughout the studied region. The results revealed a range of lodging indices of the main crop for the second internode, spanning from 62.43 to 138.75, and the annual grain yield (main crop and ratoon crop) ranged from 7.17 to 13.10 t ha−1 within rice–fish co-culture systems. We found that the use of rice–fish co-culture farming could improve the milling quality, nutrient quality, and appearance quality of rice, though the improvement gained through co-culturing varied across rice varieties. Moreover, the lodging index of the three basal internodes of rice plants was significantly and positively correlated with the plant height and the culm fresh weight, but it was negatively correlated with the bending strength of the rice basal internodes. Additionally, the 33 tested rice varieties were clustered in accordance with their lodging resistance (i.e., high resistance with lodging indices 62.43–75.42; medium resistance with lodging indices 80.57–104.62; and low resistance with lodging indices 113.02–138.75) according to the hierarchical cluster analysis. The 33 rice varieties were also clustered in accordance with the annual (main crop and ratoon crop) grain yield (i.e., high yield with 11.17–13.10 t ha−1; medium yield with 10.15–10.83 t ha−1; and low yield with 7.16–9.88 t ha−1). In all, 11 rice varieties were identified by a comprehensive evaluation as suitable varieties for grain production in the rice–fish co-culture system. These varieties displayed favorable traits, including a high annual rice yield, strong lodging resistance, and good grain quality. This is the first study to systematically evaluate rice varieties based on grain yield, lodging resistance, and grain quality in rice–fish co-culture systems. Full article
Show Figures

Figure 1

13 pages, 1521 KB  
Article
Co-Incorporating Chinese Milk Vetch and Rice Straw Increases Rice Yield by Improving Nutrient Uptake during Rice Growth
by Tingting Ma, Guopeng Zhou, Jia Liu, Xiaofen Chen, Guilong Li, Wenjing Qin, Danna Chang and Xingjia Xiang
Sustainability 2023, 15(16), 12183; https://doi.org/10.3390/su151612183 - 9 Aug 2023
Cited by 2 | Viewed by 1809
Abstract
In the past ten years, in paddy rice systems in southern China, the co-incorporation of Chinese milk vetch (MV) and rice straw (RS) has become a new and effective practice in which the advantages of the two species are combined to improve rice [...] Read more.
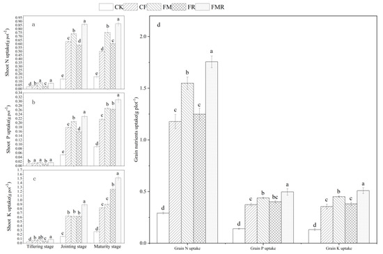
In the past ten years, in paddy rice systems in southern China, the co-incorporation of Chinese milk vetch (MV) and rice straw (RS) has become a new and effective practice in which the advantages of the two species are combined to improve rice yields. However, more studies are needed to better understand the mechanisms by which rice productivity is improved through this practice. In this study, a pot experiment was performed to investigate the effects of different residue management treatments on rice productivity and soil properties. Five treatments were tested: (i) CK (no residue and no chemical fertilizer); (ii) CF (chemical fertilizer); (iii) FM (CF with MV returning); (iv) FR (CF with RS returning); and (v) FMR (CF with a mixture of MV and RS returning). The results showed that the application of MV and/or RS returning improved grain yields by between 13.7% and 31.5%, compared with CF treatment alone. In addition, the application of MV significantly improved rice yield relative to RS returning. However, co-incorporation of MV and RS resulted in the highest yield productivity of all. FMR treatment significantly increased shoot biomass and shoot N, P, and K uptake, compared with FR treatment, at all three growth stages, and compared with FM treatment at the jointing and maturity stages. Moreover, FMR treatment significantly improved grain N, P, and K uptake, relative to FM and FR treatments. These results clearly demonstrated that co-incorporation management promotes nitrogen and phosphorus nutrient uptake at jointing and maturity stages of the rice growth process, compared to application of single residues alone, resulting in higher rice yields. Because incorporation of MV and/or RS increases the available nutrients in the soil and enhances nutrient uptake by the crop, wide-scale adoption of the co-incorporation of residues would significantly increase rice yields and improve soil fertility. Full article
Show Figures

Figure 1

14 pages, 1366 KB  
Article
Effects of Rotational Tillage on Soil Physicochemical Properties and Crop Yield in a Rice–Wheat Double Cropping Area
by Yin-Ping Zhang, Xin Li, Hao-Jie He, Hua Zhou, Duan-Yang Geng and Yu-Zi Zhang
Sustainability 2023, 15(1), 474; https://doi.org/10.3390/su15010474 - 27 Dec 2022
Cited by 4 | Viewed by 2395
Abstract
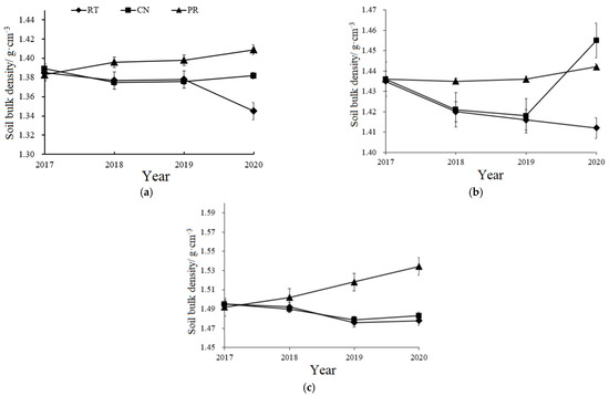
This paper aims to explore issues related to destruction of soil nutrients and structure in a rice-wheat double-cropping area caused by over-tillage prior to rice cultivation. A three-year cycle of rotation tillage pattern (RT), consisting of “no-tillage–no-tillage–plough”, with a straw-returning and direct rice-seeding [...] Read more.
This paper aims to explore issues related to destruction of soil nutrients and structure in a rice-wheat double-cropping area caused by over-tillage prior to rice cultivation. A three-year cycle of rotation tillage pattern (RT), consisting of “no-tillage–no-tillage–plough”, with a straw-returning and direct rice-seeding technology, was designed and tested, and was compared with continuous no-tillage pattern (CN) and conventional ploughing & rotary tillage (PR). The soil rotation experiment in the rice-wheat double-cropping region is located on the southeastern coast of Shandong Province, with a warm, temperate, humid monsoon climate and paddy soil type. Comparison experiments were conducted on the three farming patterns over a period of 3 years, continuously measuring soil physical and chemical properties and crop yields. The results showed that under the same straw-returning conditions, RT significantly increased soil macroaggregates content and enhanced their stability within 0~30 cm (p < 0.05). RT significantly reduced the bulk density of 0~30 cm soil to below 1.5 g/cm3, which was beneficial to crop root growth (p < 0.05). Meanwhile, RT significantly increased the contents of soil organic carbon, total nitrogen, and available phosphorus, and the nutrients are evenly distributed in 0~30 cm layer (p < 0.05). Another result was that the RT significantly increased the rice panicle length, grains number per panicle, and thousand-grain weigh. The crop yield was not significantly different from that of PR, but significantly higher than that of CN (p < 0.05). At the same time, cultivation measures prior to rice cultivation had some after-effects on wheat; the RT significantly increased the average tillers, effective panicle number, effective panicle grain number, and thousand-seed weight of wheat; and the wheat yields were 10.5% and 13.3% higher than that of CN and PR, respectively. This study provides a theoretical reference for improving tillage patterns in rice-wheat double-cropping areas. Full article
Show Figures

Figure 1

Back to TopTop