Key Factors Controlling Cadmium and Lead Contents in Rice Grains of Plants Grown in Soil with Different Cadmium Levels from an Area with Typical Karst Geology
Abstract
1. Introduction
2. Materials and Methods
2.1. Experimental Soil
2.2. Experimental Rice Variety
2.3. Experimental Design
2.4. Sample Preprocessing
2.5. Sample Detection and Analysis
2.6. Quality Control of Sample Detection
2.7. Data Processing Methods
3. Results
3.1. Pot Experiment Results
3.2. Rice Growth Status
3.3. Soil Physicochemical Properties during the Rice Growth Phase
3.4. Metabolic Characteristics of Heavy Metals and Nutrient Elements in Rice Plants across Different Growth Phases
3.5. Interactions in Rice’s Heavy Metal Metabolism
3.5.1. Interaction between Cd and Pb Metabolism in Rice Plants
3.5.2. Interaction of Cd and Pb Metabolism with Nutritional Elements in Rice Plants
3.6. Key Factors Controlling Heavy Metal Content in Rice Grain
- In the WP soil, soil Cd bioactivity was enhanced and accumulated in rice roots due to pH regulation and chelation with SOM. In contrast, the interaction between soil Cd and soil Mg reduced Cd accumulation in rice roots. In the XQ soil, soil Ca enhanced Cd accumulation in rice roots by chelating with SOM, but the interaction between soil Zn and soil Mg inhibited Cd accumulation in rice roots. The influence of SOM [6] and soil Mg on Cd accumulation in rice roots was similar in both soil types;
- In the WP soil, Cd transport from rice roots to aboveground organs causes continuous Cd accumulation in plants, resulting in a certain level of Cd stress. During this stage, the rice plant employs metabolic regulation to minimize the transfer of Cd to the grains. The physiological stress in the plant escalates with the accumulation of Cd. Furthermore, the interaction between Ca and Fe in rice roots inhibits Cd translocation from the roots to the grains. In the XQ soil, Fe in rice roots inhibits the transfer of Cd from roots to grains through metabolic pathways. The findings showed that the mechanism of Fe in rice roots for Cd translocation from roots to grains was similar in both soil types [6,74].
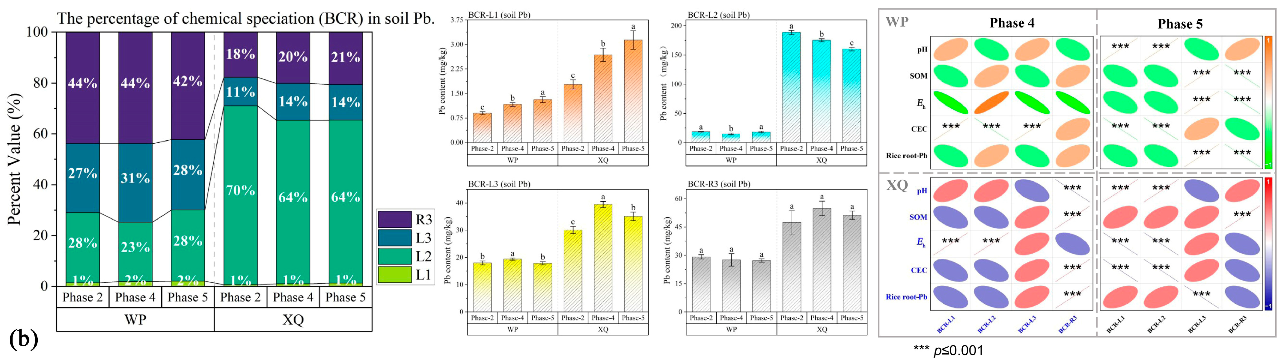
- In the WP soil, soil Pb bioactivity is enhanced and accumulated in rice roots due to pH regulation and chelation with SOM in the soil Eh. In the XQ soil, soil Pb bioactivity and accumulation in rice roots were enhanced due to pH regulation, the Eh influence on CEC, and interaction with soil Cd. In contrast, soil Zn inhibited the accumulation of soil Pb in rice roots. The findings show that the mechanisms of Eh and pH control effects on soil Pb accumulation in rice roots were similar in both soil types. Furthermore, the interaction effect of soil Eh on SOM (or CEC) suggests the proliferation and increase in soluble organic matter in soils under reducibility conditions, indirectly enhancing the biological activity of soil Pb;
- In the WP soil, Ca in rice roots was found to inhibit Pb translocation from roots to grains through metabolic pathways. In the XQ soil, Mn in rice roots may inhibit Pb translocation from roots to grains through metabolic pathways, with a nonlinear relationship observed. The findings show that the indicators filtered from rice roots had a considerably limited ability (, TF < BCF) to explain the Pb translocation from roots to grains in both soil types. This suggests that the indicators linked with rice roots can only partially explain the transfer of Pb from roots to grains. As a result, it is necessary to expand the scope of relevant indicators.
3.7. Chemical Speciation Analysis (BCR) of Soil Heavy Metals
3.7.1. Chemical Speciation Analysis of Soil Cd
3.7.2. Chemical Speciation Analysis of Soil Pb
4. Discussion
4.1. Rice Yield Reduction under High-Cd Soil Stress
4.2. SOM Increases the Risk of Exceeding Pb Levels in Rice Grain
4.3. Water Management Measures Directly Affect the Bioavailability of Soil Heavy Metals
4.4. The Limited Efficacy of Reducing Heavy Metal Contents in Rice Grain through Rice Variety
4.5. The Interactive Effects of Metabolism between Different Heavy Metals in Rice Plants
4.6. Theoretical Models of Cd and Pb Contents in Rice Grains Based on Metabolic Mechanisms
4.7. Theoretical Modeling of Rice Cd and Pb Content Corresponding to Their Soil Chemical Specification
4.8. Focus on the Metabolism between Mg and Cd (or Pb) in Rice Plants
5. Conclusions
Supplementary Materials
Author Contributions
Funding
Data Availability Statement
Acknowledgments
Conflicts of Interest
References
- Yang, Q.; Yang, Z.F.; Zhang, Q.Z.; Xu, L.; Zhuo, X.X.; Wu, T.S.; Wang, L.; Wei, X.J.; Ji, J.F. Ecological risk assessment of Cd and other heavy metals in soil-rice system in the karst areas with high geochemical background of Guangxi, China. Sci. China Earth Sci. 2021, 64, 1126–1139. [Google Scholar] [CrossRef]
- Luo, H.; Liu, X.M.; Wang, S.J.; Liu, F.; Li, Y. Pollution characteristics and sources of cadmium in soils of the karst area in South China. Chin. J. Ecol. 2018, 37, 1538–1544. (In Chinese) [Google Scholar] [CrossRef]
- Xie, X.J.; Zhang, L.S.; Ye, J.Y. Geochemical Atlas of 76 Elements in Southwest China; Geology Press: Beijing, China, 2008; p. 104. (In Chinese) [Google Scholar]
- Chen, H.; Teng, Y.; Lu, S.; Wang, Y.; Wang, J. Contamination features and health risk of soil heavy metals in China. Sci. Total Environ. 2015, 512, 143–153. [Google Scholar] [CrossRef] [PubMed]
- Quezada-Hinojosa, R.P.; Follmi, K.B.; Verrecchia, E.; Adatte, T.; Matera, V. Speciation and multivariable analyses of geogenic cadmium in soils at Le Gurnigel, Swiss Jura Mountains. Catena 2015, 125, 10–32. [Google Scholar] [CrossRef]
- Hou, D.Y.; O’Connor, D.; Igalavithana, A.D.; Alessi, D.S.; Luo, J.; Tsang, D.C.W.; Sparks, D.L.; Yamauchi, Y.; Rinklebe, J.; Ok, Y.S. Metal contamination and bioremediation of agricultural soils for food safety and sustainability. Nature 2020, 1, 366–381. [Google Scholar] [CrossRef]
- Atafar, Z.; Mesdaghinia, A.; Nouri, J.; Homaee, M.; Yunesian, M.; Ahmadimoghaddam, M.; Mahvi, A.H. Effect of fertilizer application on soil heavy metal concentration. Environ. Monit. Assess. 2010, 160, 83–89. [Google Scholar] [CrossRef]
- Srivastava, S.K.; Tyagi, R.; Pant, N. Adsorption of heavy metal ions on carbonaceous material developed from the waste slurry generated in local fertilizer plants. Water Res. 1989, 23, 1161–1165. [Google Scholar] [CrossRef]
- Boussen, S.; Soubrand, M.; Bril, H.; Ouerfelli, K.; Abdeljaouad, S. Transfer of lead, zinc and cadmium from mine tailings to wheat (Triticum aestivum) in carbonated Mediterranean (Northern Tunisia) soils. Geoderma 2013, 192, 227–236. [Google Scholar] [CrossRef]
- Navarro, M.C.; Pérez-Sirvent, C.; Martínez-Sánchez, M.J.; Vidal, J.; Tovar, P.J.; Bech, J. Abandoned mine sites as a source of contamination by heavy metals: A case study in a semi-arid zone. J. Geochem. Explor. 2008, 96, 183–193. [Google Scholar] [CrossRef]
- Wang, X.; Liang, R.L.; Zhou, Q.X. Ecological effect of Cd-Pb combined pollution on soil-rice system. J. Ecol. Rural Environ. 2001, 17, 41–44. (In Chinese) [Google Scholar] [CrossRef]
- Macnicol, R.D.; Beckett, P.H.T. Critical tissue concentrations of potentially toxic elements. Plant Soil 1985, 85, 107–129. [Google Scholar] [CrossRef]
- Covelo, E.F.; Vega, F.A.; Andrade, M.L. Competitive sorption and desorption of heavy metals by individual soil components. J. Hazard. Mater. 2007, 140, 308–315. [Google Scholar] [CrossRef] [PubMed]
- Usman, A.R.A. The relative adsorption selectivities of Pb, Cu, Zn, Cd and Ni by soils developed on shale in New Valley, Egypt. Geoderma 2008, 144, 334–343. [Google Scholar] [CrossRef]
- Arao, T.; Ishikawa, S.; Murakami, M.; Abe, K.; Maejima, Y.; Makino, T. Heavy metal contamination of agricultural soil and countermeasures in Japan. Paddy Water Env. 2010, 8, 247–257. [Google Scholar] [CrossRef]
- Hou, D.Y.; Li, F.S. Complexities surrouunding China’s soil action plan. Land Degrad. Dev. 2017, 28, 2315–2320. [Google Scholar] [CrossRef]
- Hussain, B.; Lin, Q.; Hamid, Y.; Sanaullah, M.; Di, L.; Hashmi, M.; Khan, M.; He, Z.; Yang, X. Foliage application of selenium and silicon nanoparticles alleviates Cd and Pb toxicity in rice (Oryza sativa L.). Sci. Total Environ. 2020, 712, 136497. [Google Scholar] [CrossRef]
- Wang, Y.H.; Yang, L.; Kang, Y.C.; Chen, X.H.; Peng, J.; Li, J.X.; Chen, W.Q. Characteristics and influencing factors of cadmium accumulation in different rice varieties under cadmium contaminated field conditions. Environ. Sci. 2021, 42, 5545–5553. (In Chinese) [Google Scholar] [CrossRef]
- Liu, J.; Qian, M.; Cai, G.; Yang, J.; Zhu, Q. Uptake and translocation of Cd in different rice cultivars and the relation with Cd accumulation in rice grain. J. Hazard. Mater. 2007, 143, 443–447. [Google Scholar] [CrossRef]
- Song, W.; Chen, S.; Liu, J.; Chen, L.; Song, N.; Li, N.; Liu, B. Variation of Cd concentration in various rice cultivars and derivation of cadmium toxicity thresholds for paddy soil by species-sensitivity distribution. J. Integr. Agric. 2015, 14, 1845–1854. [Google Scholar] [CrossRef]
- United Nations Environment Programme (UNEP). Report: Final Review of Scientific Information on Cadmium. Available online: https://www.unep.org/resources/report/final-review-scientific-information-cadmium (accessed on 10 August 2024).
- Song, Y.; Wang, Y.; Mao, W.F.; Sui, H.X.; Yong, L.; Yang, D.J.; Jiang, D.G.; Zhang, L.; Gong, Y.Y. Dietary cadmium exposure assessment among the Chinese population. PLoS ONE 2017, 12, e0177978. [Google Scholar] [CrossRef]
- Wang, P.; Wang, J.; Chen, H.P.; Zhou, D.M.; Zhao, F.J. Cadmium risk and mitigation in paddy systems in China. J. Agro Env. Sci. 2018, 37, 1409–1417. (In Chinese) [Google Scholar] [CrossRef]
- WHO Technical Report Series. Evaluation of Certain Food Additives and Contaminants: Seventy-Third Report of the Joint FAO/WHO Expert Committee on Food Additives; World Health Organization: Geneva, Switzerland, 2010; Available online: https://www.who.int/publications/i/item/9789241209601 (accessed on 10 August 2024).
- Zhao, F.J. Strategies to manage the risk of heavy metal(loid) contamination in agricultural soils. Front. Agr. Sci. Eng. 2020, 7, 333–338. [Google Scholar] [CrossRef]
- Xia, J.Q. Methods for derivation of site-specific standard for management of contaminated agricultural soil. J. Ecol. Rural Environ. 2019, 35, 405–408. Available online: http://www.ere.ac.cn/CN/abstract/abstract11580.shtml (accessed on 10 August 2024). (In Chinese).
- GB 15618-2018; Soil Environmental Quality-Risk Control Standard for Soil Contamination of Agricultural Land. Ministry of Ecology and Environment of the People’s Republic of China: Beijing, China, 2018. Available online: https://www.mee.gov.cn/ywgz/fgbz/bz/bzwb/trhj/201807/t20180703_446029.shtml (accessed on 10 August 2024). (In Chinese)
- GB 2762-2022; National Food Safety Standards Limits of Contaminants in Food. National Health Commission of the People’s Republic of China: Beijing, China, 2022. Available online: http://www.fzmq.gov.cn/xjwz/zwgk/zfxxgkzdgz/spypaq/spaqbz/202301/t20230103_4515355.htm (accessed on 10 August 2024). (In Chinese)
- Wang, Z.G.; Zhou, Q.W.; Zhao, Y.J.; Liu, X.W.; Zhang, T.L.; Wang, X.H.; LI, Z.T. Applicability of risk screening values for soil contamination of agricultural land in evaluation and classification of cadmium-contaminated rice producing areas. J. Agro-Env. Sci. 2019, 38, 2328–2337. (In Chinese) [Google Scholar] [CrossRef]
- Hseu, Z.Y.; Su, S.W.; Lai, H.Y.; Guo, H.Y.; Chen, T.C.; Chen, Z.S. Remediation techniques and heavy metal uptake by different rice varieties in metal-contaminated soils of Taiwan: New aspects for food safety regulation and sustainable agriculture. Soil Sci. Plant Nutr. 2010, 56, 31–52. [Google Scholar] [CrossRef]
- Chen, H.P.; Yang, X.P.; Wang, P.; Wang, Z.X.; Li, M.; Zhao, F.J. Dietary cadmium intake from rice and vegetables and potential health risk: A case study in Xiangtan, southern China. Sci. Total Environ. 2018, 639, 271–277. [Google Scholar] [CrossRef]
- Symeonides, C.; McRae, S.G. The assessment of plant-available cadmium in soils. J. Environ. Qual. 1977, 6, 120–123. [Google Scholar] [CrossRef]
- Li, Y.R.; Wang, K.; Dötterl, S.; Xu, J.M.; Garland, G.; Liu, X.M. The critical role of organic matter for cadmium-lead interactions in soil: Mechanisms and risks. J. Hazard. Mater. 2024, 476, 135124. [Google Scholar] [CrossRef]
- Yang, Z.L.; Wang, M.X.; Hou, J.T.; Xiong, J.; Chen, C.; Liu, Z.Y.; Tan, W.F. Prediction of cadmium bioavailability in the rice-soil system on a county scale based on the multi-surface speciation model. J. Hazard. Mater. 2023, 449, 130963. [Google Scholar] [CrossRef]
- Liu, B.; Chen, L.; Chen, S.B.; Li, N.; Zheng, H.; Jin, K.; Pang, H.C.; Ma, Y.B. Subcellular Cd accumulation characteristic in root cell wall of rice cultivars with different sensitivities to Cd stress in soil. J. Integr. Agric. 2016, 15, 2114–2122. [Google Scholar] [CrossRef]
- Bernal, M.; Testillano, P.S.; Alfonso, M.; Risueno, M.D.; Picorel, R.; Yruela, I. Identification and subcellular localization of the soybean copper P1B-ATPase GmHMA8 transporter. J. Struct. Biol. 2007, 158, 46–58. [Google Scholar] [CrossRef] [PubMed]
- Zhang, Q.; Chen, H.F.; Xu, C.; Zhu, H.H.; Zhu, Q.H. Heavy metal uptake in rice is regulated by pH-dependent iron plaque formation and the expression of the metal transporter genes. Environ. Exp. Bot. 2019, 162, 392–398. [Google Scholar] [CrossRef]
- Rodda, M.S.; Li, G.; Reid, R.J. The timing of grain Cd accumulation in rice plants: The relative importance of remobilisation within the plant and root Cd uptake post-flowering. Plant Soil 2011, 347, 105–114. [Google Scholar] [CrossRef]
- Kashiwagi, T.; Shindoh, K.; Hirotsu, N.; Ishimaru, K. Evidence for separate translocation pathways in determining cadmium accumulation in grain and aerial plant parts in rice. BMC Plant Biol. 2009, 9, 8. [Google Scholar] [CrossRef] [PubMed]
- Uraguchi, S.; Fujiwara, T. Cadmium transport and tolerance in rice: Perspectives for reducing grain cadmium accumulation. Rice 2012, 5, 5. [Google Scholar] [CrossRef]
- Liu, Y.; Zhang, C.B.; Zhao, Y.L.; Sun, S.J.; Liu, Z.Q. Effects of growing seasons and genotypes on the accumulation of cadmium and mineral nutrients in rice grown in cadmium contaminated soil. Sci. Total Environ. 2017, 579, 1282–1288. [Google Scholar] [CrossRef]
- Ni, Z.Y.; Zhang, M.K.; Wang, J.W.; Li, D.; Shi, Y.J. Cadmium uptake and accumulation in rice at different growth stages. J. Agric. 2020, 10, 49–54. Available online: http://nxxb.caass.org.cn/CN/10.11923/j.issn.2095-4050.cjas19010012 (accessed on 10 August 2024). (In Chinese).
- Nocito, F.F.; Lancilli, C.; Dendena, B.; Lucchini, G.; Sacchi, G.A. Cadmium retention in rice roots is influenced by cadmium availability, chelation and translocation. Plan Cell Environ. 2011, 34, 994–1008. [Google Scholar] [CrossRef]
- Uraguchi, S.; Mori, S.; Kuramata, M.; Kawasaki, A.; Arao, T.; Ishikawa, S. Root to shoot Cd translocation via the xylem is the major process determining shoot and grain cadmium accumulation in rice. J. Exp. Bot. 2009, 60, 2677–2688. [Google Scholar] [CrossRef]
- Sun, C.J.; Yang, M.; Li, Y.; Tian, J.J.; Zhang, Y.Y.; Liang, L.M.; Liu, Z.H.; Chen, K.; Li, Y.T.; Lv, K.; et al. Comprehensive analysis of variation of cadmium accumulation in rice and detection of a new weak allele of OsHMA3. J. Exp. Bot. 2019, 70, 6389–6400. [Google Scholar] [CrossRef]
- Zhong, S.X.; Li, X.M.; Li, F.B.; Liu, T.X.; Huang, F.; Yin, H.M.; Chen, G.J.; Cui, J.H. Water management alters cadmium isotope fractionation between shoots and nodes/leaves in a soil-rice system. Environ. Sci. Technol. 2021, 55, 12902–12913. [Google Scholar] [CrossRef] [PubMed]
- Khalid, S.; Shahid, M.; Niazi, N.K.; Murtaza, B.; Bibi, I.; Dumat, C. A comparison of technologies for remediation of heavy metal contaminated soils. J. Geochem. Explor. 2017, 182, 247–268. [Google Scholar] [CrossRef]
- Rizwan, M.; Ali, S.; Hussain, A.; Ali, Q.; Shakoor, M.B.; Zia-ur-Rehman, M.; Farid, M.; Asma, M. Effect of zinc-lysine on growth, yield and cadmium uptake in wheat (Triticum aestivum L.) and health risk assessment. Chemosphere 2017, 187, 35–42. [Google Scholar] [CrossRef] [PubMed]
- Seleiman, M.F.; Kheir, A.M.S. Maize productivity, heavy metals uptake and their availability in contaminated clay and sandy alkaline soils as affected by inorganic and organic amendments. Chemosphere 2018, 204, 514–522. [Google Scholar] [CrossRef] [PubMed]
- Liu, C.P.; Li, F.B.; Luo, C.L.; Liu, X.M.; Wang, S.H.; Liu, T.X.; Li, X.D. Foliar application of two silica sols reduced cadmium accumulation in rice grains. J. Hazard. Mater. 2009, 161, 1466–1472. [Google Scholar] [CrossRef]
- Asgharipour, M.R.; Azizmoghaddam, H.R. Effects of raw and diluted municipal sewage effluent with micronutrient foliar sprays on the growth and nutrient concentration of foxtail millet in southeast Iran. Saudi J. Biol. Sci. 2012, 19, 441–449. [Google Scholar] [CrossRef]
- HJ/T 166-2004; Technical Specification for Soil Environmental Monitoring. Ministry of Ecology and Environment of the People’s Republic of China: Beijing, China, 2004. Available online: https://www.mee.gov.cn/ywgz/fgbz/bz/bzwb/jcffbz/200412/t20041209_63367.shtml (accessed on 10 August 2024). (In Chinese)
- Li, H.S.; Sun, Q.; Zhao, S.J. Principles and Techniques of Plant Physiology and Biochemistry Experiments; Higher Education Press: Beijing, China, 2000; pp. 1–4. (In Chinese) [Google Scholar]
- HJ 746-2015; Soil-Determination of redox potential-Potential method. Ministry of Ecology and Environment of the People’s Republic of China: Beijing, China, 2015. Available online: https://www.mee.gov.cn/ywgz/fgbz/bz/bzwb/jcffbz/201506/t20150616_303749.shtml (accessed on 10 August 2024). (In Chinese)
- HJ 962-2018; Soil-Determination of pH-Potentiometry. Ministry of Ecology and Environment of the People’s Republic of China: Beijing, China, 2018. Available online: https://www.mee.gov.cn/ywgz/fgbz/bz/bzwb/jcffbz/201808/t20180815_451430.shtml (accessed on 10 August 2024). (In Chinese)
- Bao, S.D. Soil Agrochemical Analysis, 3rd ed.; China Agriculture Press: Beijing, China, 2019; pp. 34–35. (In Chinese) [Google Scholar]
- HJ 889-2017; Soil Quality–Determination of Cation Exchange Capacity (CEC)-Hexamminecobalt Trichloride Solution-Spectrophotometric Method. Ministry of Ecology and Environment of the People’s Republic of China: Beijing, China, 2017. Available online: https://www.mee.gov.cn/ywgz/fgbz/bz/bzwb/jcffbz/201712/t20171220_428288.shtml (accessed on 10 August 2024). (In Chinese)
- HJ 803-2016; Soil and Sediment-Determination of Aqua Regia Extracts of 12 Metal Elements-Inductively Coupled Plasma Mass Spectrometry. Ministry of Ecology and Environment of the People’s Republic of China: Beijing, China, 2016. Available online: https://www.mee.gov.cn/ywgz/fgbz/bz/bzwb/jcffbz/201606/t20160630_356525.shtml (accessed on 10 August 2024). (In Chinese)
- GB 5009.268-2016; National Food Safety Standard Determination of Multi-Elements in Foods. National Health Commission of the People’s Republic of China. China Food and Drug Administration: Beijing, China, 2016. Available online: http://labchem.fujifilm-wako.com.cn/upfiles/files/201904/2615562408994185.pdf (accessed on 9 September 2024). (In Chinese)
- Chinese Pharmacopoeia Commission. Pharmacopoeia of the People’s Republic of China. China Med. Sci. Press 2015, 1, 291–293. (In Chinese) [Google Scholar]
- Jia, J.P.; He, X.Q.; Jin, Y.J. Statistics, 7th ed.; China Renmin University Press: Beijing, China, 2018; pp. 234–240. (In Chinese) [Google Scholar]
- Wang, Q.Y.; Zhou, D.M.; Cang, L.; Li, L.Z.; Wang, P. Solid/solution Cu fractionation of a Cu contaminated soil after pilot-scale electrokinetic remediation and their relationships with soil microbial and enzyme activities. Env. Pollut. 2009, 157, 2203–2208. [Google Scholar] [CrossRef]
- Sun, Y.B.; Zhou, Q.X.; Wang, L.; Liu, W. Cadmium tolerance and accumulation characteristics of Bidens Pilosa L.as a potential Cd-hyperaccumulator. J Hazard Mater. 2009, 161, 808–814. [Google Scholar] [CrossRef]
- He, X.Q.; Li, W.Q. Applied Regression Analysis, 5th ed.; China Renmin University Press: Beijing, China, 2019; pp. 207–213. (In Chinese) [Google Scholar]
- Li, K.; Yu, H.Y.; Li, T.X.; Chen, G.D.; Huang, F. Cadmium accumulation characteristics of low-cadmium rice (Oryza sativa L.) line and F1 hybrids grown in cadmium-contaminated soils. Environ. Sci. Pollut. Res. 2017, 24, 17566–17576. [Google Scholar] [CrossRef]
- Calabrese, E.J.; Baldwin, L.A. Defining hormesis. Hum. Exp. Toxicol. 2002, 21, 91–97. [Google Scholar] [CrossRef] [PubMed]
- Wright, D.A.; Welbourn, P. Environmental Toxicology; Cambridge University Press: Cambridge, UK, 2002. [Google Scholar] [CrossRef]
- Zhuo, S. Effects of Lead and Cadmium Interaction and Its Bioavailability on Rice Growth. Master’s Thesis, Huazhong Agricultural University, Wuhan, China, 2020. (In Chinese). [Google Scholar] [CrossRef]
- Fu, Y.Q.; Yu, Z.W.; Cai, K.Z.; Shen, H. Mechanisms of iron plaque formation on root surface of rice plants and their ecological and environmental effects: A review. J. Plant Nutr. Fertil. 2010, 16, 1527–1534. (In Chinese) [Google Scholar] [CrossRef]
- Jiang, F.Y.; Chen, X.; Luo, A.C. Iron plaque formation on wetland plants and its influence on phosphorus, calcium and metal uptake. Aquat. Ecol. 2009, 43, 879–890. [Google Scholar] [CrossRef]
- Sasaki, A.; Yamaji, N.; Yokosho, K.; Ma, J.F. Nramp5 is a major transporter responsible for manganese and cadmium uptake in rice. Plant. Cell. 2012, 24, 2155–2167. [Google Scholar] [CrossRef] [PubMed]
- Li, Z.M.; Liang, Y.; Hu, H.W.; Sabry, M.S.; Zhong, H.; Filip, M.G.T.; Wu, M.J.; Li, Y.F.; Gao, Y.X.; Rinklebe, J.; et al. Speciation, transportation, and pathways of cadmium in soil-rice systems: A review on the environmental implications and remediation approaches for food safety. Environ. Int. 2021, 156, 106749. [Google Scholar] [CrossRef] [PubMed]
- Shengzhe, E.; Jichao, Y.; Zhiyong, D.; Fengjuan, Y.; Xiaoping, Y.; Fuxiang, L. Study on the dynamic of accumulation of Fe, Zn, Cu, Mn, Mg, and Ca in rice grains during filling stage. Chin. Agric. Sci. Bull. 2009, 25, 154–159. Available online: https://www.casb.org.cn/CN/Y2009/V25/I20/154 (accessed on 10 August 2024). (In Chinese).
- Huang, Q.; Wu, Y.; Shao, G. Root aeration promotes cadmium accumulation in rice by regulating iron uptake-associated system. Rice Sci. 2021, 28, 511–520. [Google Scholar] [CrossRef]
- Li, J.H.; Lu, Y.; Shim, H.; Deng, X.L.; Lian, J.; Jia, Z.L.; Li, J.H. Use of the BCR sequential extraction procedure for the study of metal availability to plants. J. Environ. Monit. 2010, 2, 466–471. [Google Scholar] [CrossRef]
- Assche, F.V.; Clijsters, H. Effects of metals on enzyme activity in plants. Plant Cell Environ. 1990, 13, 195–206. [Google Scholar] [CrossRef]
- Huang, F.S.; Sun, Z.X.; Hu, P.S.; Tang, S.Q. Present situations and prospects for the research on rice grain quality forming. Chin. J. Rice Sci. 1998, 3, 172–176. (In Chinese) [Google Scholar] [CrossRef]
- Sauve, S.; McBride, M.; Hendershot, W. Soil solution speciation of lead (II): Effects of organic matter and pH. Soil Sci. Soc. Am. J. 1998, 62, 618–621. [Google Scholar] [CrossRef]
- Vidal, M.; Santos, M.J.; Abrão, T.; Rodríguez, J.; Rigol, A. Modeling competitive metal sorption in a mineral soil. Geoderma 2009, 149, 189–198. [Google Scholar] [CrossRef]
- Wan, Y.; Liu, J.; Zhuang, Z.; Wang, Q.; Li, H. Heavy Metals in Agricultural Soils: Sources, Influencing Factors, and Remediation Strategies. Toxics 2024, 12, 63. [Google Scholar] [CrossRef] [PubMed]
- Pourrut, B.; Shahid, M.; Dumat, C.; Winterton, P.; Pinelli, E. Lead Uptake, Toxicity, and Detoxification in Plants. Rev. Environ. Contam. Toxicol. 2011, 213, 113–136. [Google Scholar] [CrossRef]
- Chen, L.; Li, B.; Wu, Z.; Zhao, Q.; Wang, Q.; Wang, H.; Singh, P.B.; Wu, W.; Fu, C. Interactions between lead (II) ions and dissolved organic matter derived from organic fertilizers incubated in the field. J. Environ. Sci. 2022, 121, 77–89. [Google Scholar] [CrossRef]
- Salati, S.; Quadri, G.; Tambone, F.; Adani, F. Fresh organic matter of municipal solid waste enhances phytoextraction of heavy metals from contaminated soil. Environ. Pollut. 2010, 158, 1899–1906. [Google Scholar] [CrossRef]
- Ubeynarayana, N.; Jeyakumar, P.; Bishop, P.; Pereira, R.C.; Anderson, C.W.N. Effect of soil cadmium on root organic acid secretion by forage crops. Environ. Pollut. 2021, 268, 115839. [Google Scholar] [CrossRef]
- Zia-ur-Rehman, M.; Bani Mfarrej, M.F.; Usman, M.; Azhar, M.; Rizwan, M.; Alharby, H.F.; Bamagoos, A.A.; Alshamrani, R.; Ahmad, Z. Exogenous application of low and high molecular weight organic acids differentially affected the uptake of cadmium in wheat-rice cropping system in alkaline calcareous soil. Environ. Pollut. 2023, 329, 121682. [Google Scholar] [CrossRef]
- Yang, X.F.; Wu, X.; Wang, Z.Q.; Wu, Y.J.; Zhang, Y.S.; Wang, X.H.; AO, H.J. Effects of water management on the absorption and accumulation of cadmium and arsenic in rice. Ecol. Environ. Sci. 2020, 29, 2091–2101. Available online: https://www.jeesci.com/CN/Y2020/V29/I10/2091 (accessed on 10 August 2024). (In Chinese).
- Huang, B.Y.; Zhao, F.J.; Wang, P. The relative contributions of root uptake and remobilization to the loading of Cd and As into rice grains: Implications in simultaneously controlling grain Cd and As accumulation using a segmented water management strategy. Environ. Pollut. 2022, 293, 118497. [Google Scholar] [CrossRef]
- Mulligan, C.N.; Yong, R.N.; Gibbs, B.F. Remediation technologies for metal-contaminated soils and groundwater: An evaluation. Eng. Geol. 2001, 60, 193–207. [Google Scholar] [CrossRef]
- Ashraf, U.; Hussain, S.; Akbar, N.; Anjum, S.A.; Hassan, W.; Tang, X. Water management regimes alter Pb uptake and translocation in fragrant rice. Ecotox. Environ. Saf. 2018, 149, 128–134. [Google Scholar] [CrossRef] [PubMed]
- Wan, Y.; Camara, A.Y.; Yu, Y.; Wang, Q.; Guo, T.; Li, H. Cadmium dynamics in soil pore water and uptake by rice: Influences of soil-applied selenite with different water managements. Environ. Pollut. 2018, 240, 523–533. [Google Scholar] [CrossRef] [PubMed]
- Grant, C.; Clarke, J.; Duguid, S.; Chaney, R. Selection and breeding of plant cultivars to minimize cadmium accumulation. Sci. Total Environ. 2008, 390, 301–310. [Google Scholar] [CrossRef]
- Li, H.; Luo, N.; Li, Y.; Cai, Q.; Li, H.; Mo, C.; Wong, M. Cadmium in rice: Transport mechanisms, influencing factors, and minimizing measures. Environ. Pollut. 2017, 224, 622–630. [Google Scholar] [CrossRef]
- Liu, D.; Zhang, C.; Chen, X.; Yang, Y.; Wang, S.; Li, Y.; Hu, H.; Ge, Y.; Cheng, W. Effects of pH, Fe, and Cd on the uptake of Fe2+ and Cd2+ by rice. Environ. Sci. Pollut. Res. 2013, 20, 8947–8954. [Google Scholar] [CrossRef]
- Tanaka, K.; Fujimaki, S.; Fujiwara, T.; Yoneyama, T.; Hayashi, H. Quantitative estimation of the contribution of the phloem in cadmium transport to grains in rice plant (Oryza sativa L.). Soil. Sci. Plant Nutr. 2007, 53, 72–77. [Google Scholar] [CrossRef]
- Klinkert, S.; Comans, R.N.J. Geochemical multisurface modeling of reactive zinc speciation in compost as influenced by extraction conditions. Env. Sci Technol 2020, 54, 2467–2475. [Google Scholar] [CrossRef]
- Logan, E.M.; Pulford, I.D.; Cook, G.T.; Mackenzie, A.B. Complexation of Cu2+ and Pb2+ by peat and humic acid. Eur. J. Soil Sci. 1997, 48, 685–696. [Google Scholar] [CrossRef]
- Högberg, P.; Jensén, P.; Näsholm, T.; Ohlsson, H. Uptake of 24 Mg by excised pine roots: A preliminary study. Plant Soil 1995, 172, 323–326. [Google Scholar] [CrossRef]
- Marschner, H. Mineral Nutrition of Higher Plants, 2nd ed.; Academic Press: London, UK, 1995; Available online: https://www.sciencedirect.com/book/9780124735422/mineral-nutrition-of-higher-plants (accessed on 10 August 2024).
- Munir, M.A.M.; Liu, G.J.; Yousaf, B.; Mian, M.M.; Ali, M.U.; Ahmed, R.; Cheema, A.I.; Naushad, M. Contrasting effects of biochar and hydrothermally treated coal gangue on leachability, bioavailability, speciation and accumulation of heavy metals by rapeseed in copper mine tailings. Ecotoxicol. Environ. Saf. 2020, 191, 110244. [Google Scholar] [CrossRef] [PubMed]












| Type | Variety Name | Acronyms | Genealogy | Characterization | Parental Origin a |
|---|---|---|---|---|---|
| High-accumulation with Cd | Zhongzheyou No.1 | ZZY | Indica three-line hybrid rice | Warm-season crop | Zhonghang A ( ),Hanghui 570 ( ) |
| Low-accumulation with Cd | Jingliangyou Huazhan | JLY | Indica two-line hybrid rice | Warm-season crop | Jing 4155S ( ),Huazhan ( ) |
| Local variety | Yexiangyou Simiao | YXY | Indica three-line hybrid rice | Warm-season crop | Yexiang A ( ),R Simiao ( ) |
It signifies the maternal origin of genes.
It signifies the paternal origin of genes.Disclaimer/Publisher’s Note: The statements, opinions and data contained in all publications are solely those of the individual author(s) and contributor(s) and not of MDPI and/or the editor(s). MDPI and/or the editor(s) disclaim responsibility for any injury to people or property resulting from any ideas, methods, instructions or products referred to in the content. |
© 2024 by the authors. Licensee MDPI, Basel, Switzerland. This article is an open access article distributed under the terms and conditions of the Creative Commons Attribution (CC BY) license (https://creativecommons.org/licenses/by/4.0/).
Share and Cite
Li, L.; Ma, L.; Tang, L.; Huang, F.; Xiao, N.; Zhang, L.; Song, B. Key Factors Controlling Cadmium and Lead Contents in Rice Grains of Plants Grown in Soil with Different Cadmium Levels from an Area with Typical Karst Geology. Agronomy 2024, 14, 2076. https://doi.org/10.3390/agronomy14092076
Li L, Ma L, Tang L, Huang F, Xiao N, Zhang L, Song B. Key Factors Controlling Cadmium and Lead Contents in Rice Grains of Plants Grown in Soil with Different Cadmium Levels from an Area with Typical Karst Geology. Agronomy. 2024; 14(9):2076. https://doi.org/10.3390/agronomy14092076
Chicago/Turabian StyleLi, Long, Lijun Ma, Lebin Tang, Fengyan Huang, Naichuan Xiao, Long Zhang, and Bo Song. 2024. "Key Factors Controlling Cadmium and Lead Contents in Rice Grains of Plants Grown in Soil with Different Cadmium Levels from an Area with Typical Karst Geology" Agronomy 14, no. 9: 2076. https://doi.org/10.3390/agronomy14092076
APA StyleLi, L., Ma, L., Tang, L., Huang, F., Xiao, N., Zhang, L., & Song, B. (2024). Key Factors Controlling Cadmium and Lead Contents in Rice Grains of Plants Grown in Soil with Different Cadmium Levels from an Area with Typical Karst Geology. Agronomy, 14(9), 2076. https://doi.org/10.3390/agronomy14092076

