Sign in to use this feature.

Years

Between: -

Subjects

remove_circle_outline
remove_circle_outline
remove_circle_outline
remove_circle_outline
remove_circle_outline
remove_circle_outline
remove_circle_outline
remove_circle_outline
remove_circle_outline

Journals

Article Types

Countries / Regions

Search Results (18)

Search Parameters:
Keywords = over-optimism

Order results
Result details
Results per page
Select all
Export citation of selected articles as:
15 pages, 1607 KB  
Article
A Hierarchical Inverse Lithography Method Considering the Optimization and Manufacturability Limit by Gradient Descent
by Haifeng Sun, Qingyan Zhang, Jie Zhou, Jianwen Gong, Chuan Jin, Ji Zhou and Junbo Liu
Micromachines 2025, 16(7), 798; https://doi.org/10.3390/mi16070798 - 8 Jul 2025
Viewed by 1040
Abstract
Inverse lithography technology (ILT) based on the gradient descent (GD) algorithm, which is a classical local optimal method, can effectively improve the lithographic imaging fidelity. However, due to the low-pass filtering effect of the lithography imaging system, GD, although able to converge quickly, [...] Read more.
Inverse lithography technology (ILT) based on the gradient descent (GD) algorithm, which is a classical local optimal method, can effectively improve the lithographic imaging fidelity. However, due to the low-pass filtering effect of the lithography imaging system, GD, although able to converge quickly, is prone to fall into the local optimum for the information in the corner region of complex patterns. Considering the high-frequency information of the corner region during the optimization process, this paper proposes a resolution layering method to improve the efficiency of GD-based ILT algorithms. A corner-rounding-inspired target retargeting strategy is used to compensate for the over-optimization defect of GD for inversely optimizing the complex pattern layout. Furthermore, for ensuring the manufacturability of masks, differentiable top-hat and bottom-hat operations are employed to improve the optimization efficiency of the proposed method. To confirm the superiority of the proposed method, multiple optimization methods of ILT were compared. Numerical experiments show that the proposed method has higher optimization efficiency and effectively avoids the over-optimization. Full article
(This article belongs to the Section E:Engineering and Technology)
Show Figures

Figure 1

21 pages, 2047 KB  
Article
A Non-Parametric Approach-Based Trade-Off between Food System Efficiency and Robustness
by Muna A. Al-Ansari, Hamad Nabeel, Galal M. Abdella, Tarek El Mekkawy and Adeeb A. Kutty
Sustainability 2024, 16(15), 6480; https://doi.org/10.3390/su16156480 - 29 Jul 2024
Cited by 3 | Viewed by 1797
Abstract
Balancing the efficiency and robustness of food systems is a well-known trade-off process. Over-optimization of efficiency may lead to excessive use of resources. On the other hand, the under-optimization of efficiency may lead to excessive waste of resources. This paper presents a novelly [...] Read more.
Balancing the efficiency and robustness of food systems is a well-known trade-off process. Over-optimization of efficiency may lead to excessive use of resources. On the other hand, the under-optimization of efficiency may lead to excessive waste of resources. This paper presents a novelly structured approach that integrates two well-suited non-parametric methods for analyzing and balancing the interconnection between the efficiency and robustness of food systems. This approach, which consists of three main steps, provides a theoretical framework and offers practical solutions. First, slacks-based data envelopment analysis (SBM-DEA) is utilized to analyze the efficiency of five food robustness dimensions. Second, the weighted efficiency of these dimensions is computed and analyzed to provide insight into their influence on food system efficiency. Finally, two search methods were developed to identify improving efficiency and robustness opportunities. The outcomes of these methods were analyzed and validated using data from 37 countries, with robustness dimension weights determined via the Analytic Hierarchy Process (AHP). While the first improvement method provided valuable insights, the second method proved more effective in identifying the sources of inefficiency of robustness dimensions. Full article
(This article belongs to the Section Sustainable Food)
Show Figures

Figure 1

18 pages, 2499 KB  
Article
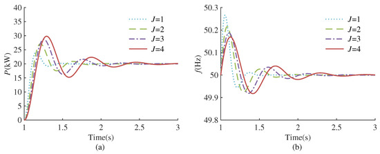
Adaptive Control for Virtual Synchronous Generator Parameters Based on Soft Actor Critic
by Chuang Lu and Xiangtao Zhuan
Sensors 2024, 24(7), 2035; https://doi.org/10.3390/s24072035 - 22 Mar 2024
Cited by 7 | Viewed by 2236
Abstract
This paper introduces a model-free optimization method based on reinforcement learning (RL) aimed at resolving the issues of active power and frequency oscillations present in a traditional virtual synchronous generator (VSG). The RL agent utilizes the active power and frequency response of the [...] Read more.
This paper introduces a model-free optimization method based on reinforcement learning (RL) aimed at resolving the issues of active power and frequency oscillations present in a traditional virtual synchronous generator (VSG). The RL agent utilizes the active power and frequency response of the VSG as state information inputs and generates actions to adjust the virtual inertia and damping coefficients for an optimal response. Distinctively, this study incorporates a setting-time term into the reward function design, alongside power and frequency deviations, to avoid prolonged system transients due to over-optimization. The soft actor critic (SAC) algorithm is utilized to determine the optimal strategy. SAC, being model-free with fast convergence, avoids policy overestimation bias, thus achieving superior convergence results. Finally, the proposed method is validated through MATLAB/Simulink simulation. Compared to other approaches, this method more effectively suppresses oscillations in active power and frequency and significantly reduces the setting time. Full article
(This article belongs to the Section Industrial Sensors)
Show Figures

Figure 1

27 pages, 7429 KB  
Article
International Comparison of Weather and Emission Predictive Building Control
by Christian Hepf, Ben Gottkehaskamp, Clayton Miller and Thomas Auer
Buildings 2024, 14(1), 288; https://doi.org/10.3390/buildings14010288 - 20 Jan 2024
Cited by 4 | Viewed by 2357
Abstract
Building operational energy alone accounts for 28% of global carbon emissions. A sustainable building operation promises enormous savings, especially under the increasing concern of climate change and the rising trends of the digitalization and electrification of buildings. Intelligent control strategies play a crucial [...] Read more.
Building operational energy alone accounts for 28% of global carbon emissions. A sustainable building operation promises enormous savings, especially under the increasing concern of climate change and the rising trends of the digitalization and electrification of buildings. Intelligent control strategies play a crucial role in building systems and electrical energy grids to reach the EU goal of carbon neutrality in 2050 and to manage the rising availability of regenerative energy. This study aims to prove that one can create energy and emission savings with simple weather and emission predictive control (WEPC). Furthermore, this should prove that the simplicity of this approach is key for the applicability of this concept in the built world. A thermodynamic simulation (TRNSYS) evaluates the performance of different variants. The parametrical study varies building construction, location, weather, and emission data and gives an outlook for 2050. The study showcases five different climate locations and reveals heating and cooling energy savings of up to 50 kWh/(m2a) and emission savings between 5 and 25% for various building types without harming thermal comfort. This endorses the initial statement to simplify building energy concepts. Furthermore, it proposes preventing energy designers from overoptimizing buildings with technology as the solution to a climate-responsible energy concept. Full article
(This article belongs to the Collection Renewable Energy in Buildings)
Show Figures

Figure 1

22 pages, 317 KB  
Article
Executive Overconfidence and Corporate Environmental, Social, and Governance Performance
by Yao Wang, Yinyin Han, Qiuxuan Du and Deshuai Hou
Sustainability 2023, 15(21), 15570; https://doi.org/10.3390/su152115570 - 2 Nov 2023
Cited by 12 | Viewed by 5885
Abstract
ESG (environmental, social, and governance) has gained widespread recognition as a fundamental investment approach on a global scale. Demonstrating strong ESG performance has evolved into a vital strategic imperative for fostering sustainable corporate growth and bolstering competitiveness. Given their critical roles within companies, [...] Read more.
ESG (environmental, social, and governance) has gained widespread recognition as a fundamental investment approach on a global scale. Demonstrating strong ESG performance has evolved into a vital strategic imperative for fostering sustainable corporate growth and bolstering competitiveness. Given their critical roles within companies, it is crucial for decision-makers to investigate the impact of executive overconfidence on ESG performance. Through an examination of Chinese A-share listed companies spanning the years 2009 to 2020, this research reveals a significant correlation between executive overconfidence and improved corporate ESG performance. Mechanism tests uncover that overconfident executives exhibit robust risk-taking abilities and a heightened drive to garner attention, both of which contribute to the enhancement of ESG performance. Heterogeneity analysis demonstrates that, in companies characterized by lower-quality accounting information, lower institutional shareholding ratios, ample cash flow, and increased government subsidies, the positive influence of executive overconfidence on ESG performance is even more pronounced. Furthermore, our investigation unveils that overconfident executives exert a positive impact on corporate ESG performance through three primary pathways: assuming responsibility for environmental protection (E), embracing social responsibility (S), and fortifying corporate governance (G). It is worth noting that this boost in ESG performance, in turn, translates into an enhancement of corporate value. Ultimately, this research contributes to a deeper understanding of the economic ramifications of executive overconfidence and enriches the body of knowledge pertaining to the mechanisms for enhancing ESG performance. Full article
18 pages, 17634 KB  
Article
Spatial or Random Cross-Validation? The Effect of Resampling Methods in Predicting Groundwater Salinity with Machine Learning in Mediterranean Region
by Panagiotis Tziachris, Melpomeni Nikou, Vassilis Aschonitis, Andreas Kallioras, Katerina Sachsamanoglou, Maria Dolores Fidelibus and Evangelos Tziritis
Water 2023, 15(12), 2278; https://doi.org/10.3390/w15122278 - 18 Jun 2023
Cited by 12 | Viewed by 6299
Abstract
Machine learning (ML) algorithms are extensively used with outstanding prediction accuracy. However, in some cases, their overfitting capabilities, along with inadvertent biases, might produce overly optimistic results. Spatial data are a special kind of data that could introduce biases to ML due to [...] Read more.
Machine learning (ML) algorithms are extensively used with outstanding prediction accuracy. However, in some cases, their overfitting capabilities, along with inadvertent biases, might produce overly optimistic results. Spatial data are a special kind of data that could introduce biases to ML due to their intrinsic spatial autocorrelation. To address this issue, a special resampling method has emerged called spatial cross-validation (SCV). The purpose of this study was to evaluate the performance of SCV compared with conventional random cross-validation (CCV) used in most ML studies. Multiple ML models were created with CCV and SCV to predict groundwater electrical conductivity (EC) with data (A) from Rhodope, Greece, in the summer of 2020; (B) from the same area but at a different time (summer 2019); and (C) from a new area (the Salento peninsula, Italy). The results showed that the SCV provides ML models with superior generalization capabilities and, hence, better prediction results in new unknown data. The SCV seems to be able to capture the spatial patterns in the data while also reducing the over-optimism bias that is often associated with CCV methods. Based on the results, SCV could be applied with ML in studies that use spatial data. Full article
(This article belongs to the Special Issue Advances on the Dynamics of Groundwater Salinization)
Show Figures

Figure 1

25 pages, 3315 KB  
Article
Estimating Future Costs of Emerging Wave Energy Technologies
by Pablo Ruiz-Minguela, Donald R. Noble, Vincenzo Nava, Shona Pennock, Jesus M. Blanco and Henry Jeffrey
Sustainability 2023, 15(1), 215; https://doi.org/10.3390/su15010215 - 23 Dec 2022
Cited by 13 | Viewed by 4510
Abstract
The development of new renewable energy technologies is generally perceived as a critical factor in the fight against climate change. However, significant difficulties arise when estimating the future performance and costs of nascent technologies such as wave energy. Robust methods to estimate the [...] Read more.
The development of new renewable energy technologies is generally perceived as a critical factor in the fight against climate change. However, significant difficulties arise when estimating the future performance and costs of nascent technologies such as wave energy. Robust methods to estimate the commercial costs that emerging technologies may reach in the future are needed to inform decision-making. The aim of this paper is to increase the clarity, consistency, and utility of future cost estimates for emerging wave energy technologies. It proposes a novel three-step method: (1) using a combination of existing bottom-up and top-down approaches to derive the current cost breakdown; (2) assigning uncertainty ranges, depending on the estimation reliability then used, to derive the first-of-a-kind cost of the commercial technology; and (3) applying component-based learning rates to produce the LCOE of a mature technology using the upper bound from (2) to account for optimism bias. This novel method counters the human propensity toward over-optimism. Compared with state-of-the-art direct estimation approaches, it provides a tool that can be used to explore uncertainties and focus attention on the accuracy of cost estimates and potential learning from the early stage of technology development. Moreover, this approach delivers useful information to identify remaining technology challenges, concentrate innovation efforts, and collect evidence through testing activities. Full article
(This article belongs to the Special Issue Ocean and Hydropower)
Show Figures

Figure 1

14 pages, 3374 KB  
Article
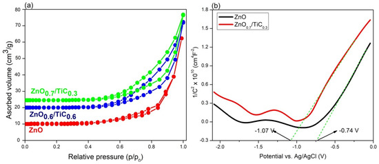
Construction of 0D/2D Schottky Heterojunctions of ZnO and Ti3C2 Nanosheets with the Enriched Transfer of Interfacial Charges for Photocatalytic Hydrogen Evolution
by Muhammad Irfan, Irshad Ahmad, Shazia Shukrullah, Humaira Hussain, Muhammad Atif, Stanislaw Legutko, Jana Petru, Michal Hatala, Muhammad Yasin Naz and Saifur Rahman
Materials 2022, 15(13), 4557; https://doi.org/10.3390/ma15134557 - 28 Jun 2022
Cited by 19 | Viewed by 2795
Abstract
The development of cost-effective co-catalysts of high photocatalytic activity and recyclability is still a challenge in the energy transformation domain. In this study, 0D/2D Schottky heterojunctions, consisting of 0D ZnO and 2D Ti3C2, were successfully synthesized by the electrostatic [...] Read more.
The development of cost-effective co-catalysts of high photocatalytic activity and recyclability is still a challenge in the energy transformation domain. In this study, 0D/2D Schottky heterojunctions, consisting of 0D ZnO and 2D Ti3C2, were successfully synthesized by the electrostatic self-assembling of ZnO nanoparticles on Ti3C2 nanosheets. In constructing these heterojunctions, Ti3C2 nanosheets acted as a co-catalyst for enhancing the transfer of excitons and their separation to support the photocatalytic response of ZnO. The as-prepared ZnO/Ti3C2 composites demonstrate an abbreviated charge transit channel, a huge interfacial contact area and the interfacial electrons’ transport potential. The extended optical response and large reactive area of the ZnO/Ti3C2 composite promoted the formation of excitons and reactive sites on the photocatalyst’s surface. The ZnO/Ti3C2 Schottky heterojunction showed significantly high photocatalytic activity for hydrogen production from a water–ethanol solution under the light illumination in the visible region. The hydrogen evolution overoptimized the ZnO/Ti3C2 composition with 30 wt.% of Ti3C2, which was eight times higher than the pristine ZnO. These findings can be helpful in developing 0D/2D heterojunction systems for photocatalytic applications by utilizing Ti3C2 as a low-cost co-catalyst. Full article
Show Figures

Figure 1

18 pages, 724 KB  
Article
Hybrid Heuristic for Vehicle Routing Problem with Time Windows and Compatibility Constraints in Home Healthcare System
by Payakorn Saksuriya and Chulin Likasiri
Appl. Sci. 2022, 12(13), 6486; https://doi.org/10.3390/app12136486 - 26 Jun 2022
Cited by 9 | Viewed by 4082
Abstract
This work involves a heuristic for solving vehicle routing problems with time windows (VRPTW) with general compatibility-matching between customer/patient and server/caretaker constraints to capture the nature of systems such as caretakers’ home visiting systems or home healthcare (HHC) systems. Since any variation of [...] Read more.
This work involves a heuristic for solving vehicle routing problems with time windows (VRPTW) with general compatibility-matching between customer/patient and server/caretaker constraints to capture the nature of systems such as caretakers’ home visiting systems or home healthcare (HHC) systems. Since any variation of VRPTW is more complicated than regular VRP, a specific, custom-made heuristic is needed to solve the problem. The heuristic proposed in this work is an efficient hybrid of a novice Local Search (LS), Ruin and Recreate procedure (R&R) and Particle Swarm Optimization (PSO). The proposed LS acts as the initial solution finder as well as the engine for finding a feasible/local optimum. While PSO helps in moving from current best solution to the next best solution, the R&R part allows the solution to be over-optimized and LS moves the solution back on the feasible side. To test our heuristic, we solved 56 benchmark instances of 25, 50, and 100 customers and found that our heuristics can find 52, 21, and 18 optimal cases, respectively. To further investigate the proficiency of our heuristic, we modified the benchmark instances to include compatibility constraints. The results show that our heuristic can reach the optimal solutions in 5 out of 56 instances. Full article
Show Figures

Figure 1

19 pages, 2546 KB  
Article
HDPP: High-Dimensional Dynamic Path Planning Based on Multi-Scale Positioning and Waypoint Refinement
by Jingyao Wang, Xiaogang Ruan and Jing Huang
Appl. Sci. 2022, 12(9), 4695; https://doi.org/10.3390/app12094695 - 6 May 2022
Cited by 4 | Viewed by 2776
Abstract
Algorithms such as RRT (Rapidly exploring random tree), A* and their variants have been widely used in the field of robot path planning. A lot of work has shown that these detectors are unable to carry out effective and stable results for moving [...] Read more.
Algorithms such as RRT (Rapidly exploring random tree), A* and their variants have been widely used in the field of robot path planning. A lot of work has shown that these detectors are unable to carry out effective and stable results for moving objects in high-dimensional space, which generate a large number of multi-dimensional corner points. Although some filtering mechanisms (such as splines and valuation functions) reduce the calculation scale, the chance of collision is increased, which is fatal to robots. In order to generate fewer but more effective and stable feature points, we propose a novel multi-scale positioning method to plan the motion of the high-dimensional target. First, a multi-scale feature extraction and refinement scheme for waypoint navigation and positioning is proposed to find the corner points that are more important to the planning, and gradually eliminate the unnecessary redundant points. Then, in order to obtain a stable planning effect, we balance the gradient of corner point classification detection to avoid over-optimizing some of them during the training phase. In addition, considering the maintenance cost of the robot in actual operation, we pay attention to the mechanism of anti-collision in the model design. Our approach can achieve a complete obstacle avoidance rate for high-dimensional space simulation and physical manipulators, and also work well in low-dimensional space for path planning. The experimental results demonstrate the superiority of our approach through a comparison with state-of-the-art models. Full article
(This article belongs to the Topic Motion Planning and Control for Robotics)
Show Figures

Figure 1

12 pages, 427 KB  
Article
Potential of Inflammatory Protein Signatures for Enhanced Selection of People for Lung Cancer Screening
by Megha Bhardwaj, Ben Schöttker, Bernd Holleczek, Axel Benner, Petra Schrotz-King and Hermann Brenner
Cancers 2022, 14(9), 2146; https://doi.org/10.3390/cancers14092146 - 26 Apr 2022
Cited by 4 | Viewed by 3379
Abstract
Randomized trials have demonstrated a substantial reduction in lung cancer (LC) mortality by screening heavy smokers with low-dose computed tomography (LDCT). The aim of this study was to assess if and to what extent blood-based inflammatory protein biomarkers might enhance selection of those [...] Read more.
Randomized trials have demonstrated a substantial reduction in lung cancer (LC) mortality by screening heavy smokers with low-dose computed tomography (LDCT). The aim of this study was to assess if and to what extent blood-based inflammatory protein biomarkers might enhance selection of those at highest risk for LC screening. Ever smoking participants were chosen from 9940 participants, aged 50–75 years, who were followed up with respect to LC incidence for 17 years in a prospective population-based cohort study conducted in Saarland, Germany. Using proximity extension assay, 92 inflammation protein biomarkers were measured in baseline plasma samples of ever smoking participants, including 172 incident LC cases and 285 randomly selected participants free of LC. Smoothly clipped absolute deviation (SCAD) penalized regression with 0.632+ bootstrap for correction of overoptimism was applied to derive an inflammation protein biomarker score (INS) and a combined INS-pack-years score in a training set, and algorithms were further evaluated in an independent validation set. Furthermore, the performances of nine LC risk prediction models individually and in combination with inflammatory plasma protein biomarkers for predicting LC incidence were comparatively evaluated. The combined INS-pack-years score predicted LC incidence with area under the curves (AUCs) of 0.811 and 0.782 in the training and the validation sets, respectively. The addition of inflammatory plasma protein biomarkers to established nine LC risk models increased the AUCs up to 0.121 and 0.070 among ever smoking participants from training and validation sets, respectively. Our results suggest that inflammatory protein biomarkers may have potential to improve the selection of people for LC screening and thereby enhance screening efficiency. Full article
(This article belongs to the Section Cancer Epidemiology and Prevention)
Show Figures

Figure 1

25 pages, 1776 KB  
Article
Evaluation of Full-Duplex SWIPT Cooperative NOMA-Based IoT Relay Networks over Nakagami-m Fading Channels
by Tien-Tung Nguyen, Sang Quang Nguyen, Phu X. Nguyen and Yong-Hwa Kim
Sensors 2022, 22(5), 1974; https://doi.org/10.3390/s22051974 - 3 Mar 2022
Cited by 28 | Viewed by 3635
Abstract
In this paper, we investigate the performance of non-orthogonal multiple access (NOMA)-based full-duplex Internet-of-Things (IoT) relay systems with simultaneous wireless information and power transfer (SWIPT) over Nakagami-m fading channels to improve the performance of a cell-edge user under perfect and imperfect successive [...] Read more.
In this paper, we investigate the performance of non-orthogonal multiple access (NOMA)-based full-duplex Internet-of-Things (IoT) relay systems with simultaneous wireless information and power transfer (SWIPT) over Nakagami-m fading channels to improve the performance of a cell-edge user under perfect and imperfect successive interference cancellation (SIC). Two scenarios, i.e., direct and non-direct links, between the source node and cell-edge user are examined. The exact closed-form analytical and approximate expressions for the outage probability, system throughput, energy efficiency, and ergodic capacities are derived and validated via Monte Carlo simulations to characterize the proposed system performance. To further improve the system performance, we also provide a low-complexity algorithm to maximize the system throughput over-optimizing the time-switching factor. The results show that our proposed NOMA system can achieve superior performance compared to its orthogonal multiple access (OMA) counterpart under perfect SIC and with a low-to-medium signal-to-noise ratio under imperfect SIC, according to the level of residual self-interference and the quality of links. Full article
(This article belongs to the Special Issue Sustainable IoT Solutions for Industrial Applications)
Show Figures

Figure 1

22 pages, 33527 KB  
Review
Selenium-Catalyzed Reduction of Hydroperoxides in Chemistry and Biology
by Laura Orian and Leopold Flohé
Antioxidants 2021, 10(10), 1560; https://doi.org/10.3390/antiox10101560 - 30 Sep 2021
Cited by 37 | Viewed by 4463
Abstract
Among the chalcogens, selenium is the key element for catalyzed H2O2 reduction. In organic synthesis, catalytic amounts of organo mono- and di-selenides are largely used in different classes of oxidations, in which H2O2 alone is poorly efficient. [...] Read more.
Among the chalcogens, selenium is the key element for catalyzed H2O2 reduction. In organic synthesis, catalytic amounts of organo mono- and di-selenides are largely used in different classes of oxidations, in which H2O2 alone is poorly efficient. Biological hydroperoxide metabolism is dominated by peroxidases and thioredoxin reductases, which balance hydroperoxide challenge and contribute to redox regulation. When their selenocysteine is replaced by cysteine, the cellular antioxidant defense system is impaired. Finally, classes of organoselenides have been synthesized with the aim of mimicking the biological strategy of glutathione peroxidases, but their therapeutic application has so far been limited. Moreover, their therapeutic use may be doubted, because H2O2 is not only toxic but also serves as an important messenger. Therefore, over-optimization of H2O2 reduction may lead to unexpected disturbances of metabolic regulation. Common to all these systems is the nucleophilic attack of selenium to one oxygen of the peroxide bond promoting its disruption. In this contribution, we revisit selected examples from chemistry and biology, and, by using results from accurate quantum mechanical modelling, we provide an accurate unified picture of selenium’s capacity of reducing hydroperoxides. There is clear evidence that the selenoenzymes remain superior in terms of catalytic efficiency. Full article
(This article belongs to the Special Issue Catalytic Antioxidants)
Show Figures

Graphical abstract

19 pages, 999 KB  
Article
Testing the Social Bubble Hypothesis on the Early Dynamics of a Scientific Project: The FET Flagship Candidate FuturICT (2010–2013)
by Monika Gisler and Didier Sornette
Entropy 2021, 23(10), 1279; https://doi.org/10.3390/e23101279 - 29 Sep 2021
Cited by 2 | Viewed by 3684
Abstract
We present an analysis of a large emerging scientific project in the light provided by the social bubbles hypothesis (SBH) that we have introduced in earlier papers. The SBH claims that, during an innovation boom or technological revolution, strong social interactions between enthusiastic [...] Read more.
We present an analysis of a large emerging scientific project in the light provided by the social bubbles hypothesis (SBH) that we have introduced in earlier papers. The SBH claims that, during an innovation boom or technological revolution, strong social interactions between enthusiastic supporters weave a network of reinforcing feedbacks that leads to widespread endorsement and extraordinary commitment, beyond what would be rationalized by a standard cost–benefit analysis. By probing the (Future and Emerging Technologies) FET Flagship candidate FuturICT project, as it developed in 2010–2013, we aimed at better understanding how a favorable climate was engineered, allowing the dynamics and risk-taking behaviors to evolve. We document that significant risk-taking was indeed clearly found—especially during workshops and meetings, for instance, in the form of the time allocation of participants, who seemed not to mind their precious time being given to the project and who exhibited many signs of enthusiasm. In this sense, the FuturICT project qualifies as a social bubble in the making when considered at the group level. In contrast, risk-perception at the individual level remained high and not everyone involved shared the exuberance cultivated by the promoters of FuturICT. As a consequence, those not unified under the umbrella of the core vision built niches for themselves that were stimulating enough to stay with the project, but not on a basis of blind over-optimism. Our detailed field study shows that, when considering individuals in isolation, the characteristics associated with a social bubble can vary significantly in the presence of other factors besides exaggerated risk-taking. Full article
(This article belongs to the Special Issue Structure and Dynamics of Complex Socioeconomic Networks)
Show Figures

Figure 1

9 pages, 832 KB  
Article
AI for Doctors—A Course to Educate Medical Professionals in Artificial Intelligence for Medical Imaging
by Dennis M. Hedderich, Matthias Keicher, Benedikt Wiestler, Martin J. Gruber, Hendrik Burwinkel, Florian Hinterwimmer, Tobias Czempiel, Judith E. Spiro, Daniel Pinto dos Santos, Dominik Heim, Claus Zimmer, Daniel Rückert, Jan S. Kirschke and Nassir Navab
Healthcare 2021, 9(10), 1278; https://doi.org/10.3390/healthcare9101278 - 28 Sep 2021
Cited by 29 | Viewed by 6494
Abstract
Successful adoption of artificial intelligence (AI) in medical imaging requires medical professionals to understand underlying principles and techniques. However, educational offerings tailored to the need of medical professionals are scarce. To fill this gap, we created the course “AI for Doctors: Medical Imaging”. [...] Read more.
Successful adoption of artificial intelligence (AI) in medical imaging requires medical professionals to understand underlying principles and techniques. However, educational offerings tailored to the need of medical professionals are scarce. To fill this gap, we created the course “AI for Doctors: Medical Imaging”. An analysis of participants’ opinions on AI and self-perceived skills rated on a five-point Likert scale was conducted before and after the course. The participants’ attitude towards AI in medical imaging was very optimistic before and after the course. However, deeper knowledge of AI and the process for validating and deploying it resulted in significantly less overoptimism with respect to perceivable patient benefits through AI (p = 0.020). Self-assessed skill ratings significantly improved after the course, and the appreciation of the course content was very positive. However, we observed a substantial drop-out rate, mostly attributed to the lack of time of medical professionals. There is a high demand for educational offerings regarding AI in medical imaging among medical professionals, and better education may lead to a more realistic appreciation of clinical adoption. However, time constraints imposed by a busy clinical schedule need to be taken into account for successful education of medical professionals. Full article
Show Figures

Figure 1

Back to TopTop