Sign in to use this feature.

Years

Between: -

Subjects

remove_circle_outline
remove_circle_outline
remove_circle_outline
remove_circle_outline
remove_circle_outline
remove_circle_outline
remove_circle_outline
remove_circle_outline
remove_circle_outline

Journals

remove_circle_outline
remove_circle_outline
remove_circle_outline
remove_circle_outline
remove_circle_outline
remove_circle_outline
remove_circle_outline
remove_circle_outline
remove_circle_outline
remove_circle_outline
remove_circle_outline
remove_circle_outline
remove_circle_outline
remove_circle_outline
remove_circle_outline
remove_circle_outline
remove_circle_outline

Article Types

Countries / Regions

remove_circle_outline
remove_circle_outline
remove_circle_outline
remove_circle_outline
remove_circle_outline
remove_circle_outline
remove_circle_outline

Search Results (10,168)

Search Parameters:
Keywords = operating voltage

Order results
Result details
Results per page
Select all
Export citation of selected articles as:
16 pages, 8247 KB  
Article
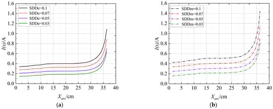
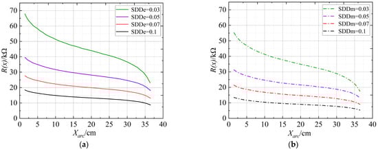
Study on the DC Discharge Model of Insulators Polluted by Typical Components Based on Effective Salt Deposit Density
by Wei Zhang, Shaoming Pan, Laisheng Zhong, Liangyuan Chen and Yuan Ma
Energies 2026, 19(6), 1531; https://doi.org/10.3390/en19061531 - 19 Mar 2026
Abstract
Pollution flashover accidents of transmission line insulators have a wide impact and low reclosing success rates, posing a serious threat to the safe and stable operation of the power grid. The existing pollution discharge and flashover models of insulator based on equivalent salt [...] Read more.
Pollution flashover accidents of transmission line insulators have a wide impact and low reclosing success rates, posing a serious threat to the safe and stable operation of the power grid. The existing pollution discharge and flashover models of insulator based on equivalent salt deposit density (ESDD) present significant differences from the actual situation. To address this issue, the conductivity of electrolyte solutions experiments is carried out in this paper, and the quantitative functional relationship between conductivity and concentration of typical components is obtained. On this basis, the concept of effective salt deposit density (SDDe) is introduced to characterize the actual mass of pollution participating in surface conduction per unit area. A DC discharge dynamic model for polluted insulators is established and verified based on SDDe combined with the discharge development process. Research results indicate that the average difference between the calculated flashover voltage and experimental value is less than 7%. The deviation of flashover voltage between the SDDe basis model and measured salt deposit density (SDDm) basis value increases with the increasing proportion of slightly soluble components. With the increase of insulator surface water adhesion, the flashover voltage obtained by the proposed model decreases while the corresponding SDDm basis value remains constant. The effects of factors such as slightly soluble pollution and surface water adhesion are considered in the proposed model sufficiently. The application of the model based on SDDe can improve the accuracy of the insulator discharge process and flashover voltage prediction, especially for the complex pollution area. During the generation and propagation of the arc, the leakage current under SDDm is relatively higher and the pollution layer resistance is lower compared to that under SDDe; the variations in the pollution layer resistance and leakage current with arc development under SDDm do not adequately reflect the actual conditions. Full article
Show Figures

Figure 1

16 pages, 2380 KB  
Article
Self-Regulating Wind Speed Adaptive Mode Switching for Efficient Wind Energy Harvesting Towards Self-Powered Wireless Sensing
by Ruifeng Li, Chenming Wang, Yiao Pan, Jianhua Zeng, Youchao Qi and Ping Zhang
Micromachines 2026, 17(3), 373; https://doi.org/10.3390/mi17030373 - 19 Mar 2026
Abstract
Wind energy harvesting based on triboelectric nanogenerators (TENGs) is a promising solution for powering distributed Internet of Things (IoT) nodes, yet its practical efficiency and stability are often hindered by the fluctuating and unpredictable nature of wind. Here, we propose a self-regulating TENG [...] Read more.
Wind energy harvesting based on triboelectric nanogenerators (TENGs) is a promising solution for powering distributed Internet of Things (IoT) nodes, yet its practical efficiency and stability are often hindered by the fluctuating and unpredictable nature of wind. Here, we propose a self-regulating TENG (SR-TENG) that leverages the synergistic effects of centrifugal, elastic, and frictional forces to automatically switch between non-contact and contact modes based on wind speed. This configuration achieves an ultra-low start-up wind speed of 0.86 m/s, ensures sustainable high-performance output across a broad wind speed range, and exhibits excellent durability with no observable performance degradation during 23,000 s of continuous operation at 375 rpm. Systematic structural optimization enables the SR-TENG to reach a peak open-circuit voltage of 140 V, a short-circuit current of 12.5 μA, and a transferred charge of 300 nC at 375 rpm. When integrated with a customized power management circuit, the system delivers a 30.39-fold increase in effective output power at a 1 MΩ load and a 4-fold faster charging rate for a 10 μF capacitor. For practical validation, the harvested ambient wind energy successfully powers a wireless temperature-humidity sensor for real-time cloud data transmission. These results highlight that the SR-TENG holds great potential for advanced wind energy harvesting and self-powered sensing applications in distributed IoT systems. Full article
Show Figures

Graphical abstract

17 pages, 2360 KB  
Article
Smart Meter Low Battery Voltage Status Assessment Driven by Knowledge and Data
by Wenao Liu, Xia Xiao, Zhengbo Zhang and Yihong Li
Mathematics 2026, 14(6), 1038; https://doi.org/10.3390/math14061038 - 19 Mar 2026
Abstract
As a key metering device in the smart grid, the clock battery status of smart meters directly affects the operational efficiency and economy of the grid. In response to the limitations of current evaluation methods in feature correlation analysis and model interpretability, this [...] Read more.
As a key metering device in the smart grid, the clock battery status of smart meters directly affects the operational efficiency and economy of the grid. In response to the limitations of current evaluation methods in feature correlation analysis and model interpretability, this study proposes a knowledge-and-data-driven low battery voltage status prediction method. We systematically dissected the physical mechanisms underlying battery undervoltage faults and constructed a status features knowledge graph comprising 17 state features across four dimensions. By employing Pearson correlation analysis and association rule mining techniques, we achieved a quantitative correlation analysis between multi-source heterogeneous features and battery status. Building on this foundation, we developed an interpretable model framework based on XGBoost-SHAP. Empirical studies utilized a dataset of 939,000 faulty meters recalled by a provincial power company in 2023, with 9.87% of outlier samples eliminated using the Isolation Forest algorithm during preprocessing. Results demonstrate that the proposed model achieved an R2 of 0.851 and a Mean Squared Error (MSE) of 0.0088 on the test set. The prediction performance significantly surpassed that of Random Forest (R2 = 0.692) and MLP+BP neural networks (R2 = 0.583), thereby validating the effectiveness of the approach in combining predictive accuracy with decision transparency. Full article
(This article belongs to the Special Issue Machine Learning and Statistical Learning with Applications)
Show Figures

Figure 1

17 pages, 2066 KB  
Article
Experimental Study on an Inclined Cylindrical Piezoelectric Energy Harvester
by Hao Li, Chongqiu Yang, Wenhui Li, Rujun Song and Xiaohui Yang
Micromachines 2026, 17(3), 372; https://doi.org/10.3390/mi17030372 - 19 Mar 2026
Abstract
Energy harvesting plays a pivotal role in enabling sustainable power supply for the Internet of Things and distributed sensor networks, particularly for low-power devices. Piezoelectric energy harvesters based on vortex-induced vibrations offer a promising solution for low-wind-speed applications, yet their performance is constrained [...] Read more.
Energy harvesting plays a pivotal role in enabling sustainable power supply for the Internet of Things and distributed sensor networks, particularly for low-power devices. Piezoelectric energy harvesters based on vortex-induced vibrations offer a promising solution for low-wind-speed applications, yet their performance is constrained by limited bandwidth and sensitivity to wind speed variations. This study addresses these limitations by proposing a novel multi-parameter adjustable piezoelectric energy harvester featuring an inclined cylindrical bluff body. By systematically tuning the inclination angle and installation position, the device achieves substantial performance improvements. Experimental results indicate that the optimized configuration yields a wider operational frequency band and enhanced energy conversion efficiency. Through the experimental results, we discovered the existence of the double-peak phenomenon and the plateau phenomenon. The voltage value of the second peak can reach up to 122.4% of the maximum voltage of the first peak. The duration of the maximum plateau phase can maintain between the wind speed of 2.3 m/s and 5.7 m/s. Full article
Show Figures

Figure 1

22 pages, 4762 KB  
Article
A State-Space Model for Stability Boundary Analysis of Grid-Following Voltage Source Converters Considering Grid Conditions
by Guodong Liu and Michael Starke
Energies 2026, 19(6), 1521; https://doi.org/10.3390/en19061521 - 19 Mar 2026
Abstract
With the growing significance of renewable energy resources and energy storage systems, the number of grid-connected inverters has been rising at an increasingly rapid pace. Generally, these inverters are directly integrated with the distribution network by synchronizing with the grid voltage at the [...] Read more.
With the growing significance of renewable energy resources and energy storage systems, the number of grid-connected inverters has been rising at an increasingly rapid pace. Generally, these inverters are directly integrated with the distribution network by synchronizing with the grid voltage at the point of common coupling. However, the low grid strength and varying R/X ratios, as the common characteristics of most distribution networks or weak grids, can lead to dynamic interactions that comprise stability and limit the power transfer capacity of grid-connected inverters. To ensure stable operation of the inverters, researchers must determine the stability boundary, described as the maximum power transfer capacity of grid-connected inverters under the premise of maintaining system small-signal stability. For this purpose, we propose to formulate a state-space model of the system in the synchronously rotating dq-frame of reference and perform eigenvalue analysis to determine the stability boundary. With a detailed model of the control structure and parameters of the grid-connected inverters, the stability boundary is identified as a surface with respect to different grid strengths and R/X ratios. Case study results of proposed eigenvalue analysis are compared with those of admittance model-based stability analysis as well as time-domain simulation using a switching model in Matlab/Simulink, validating the effectiveness and accuracy of the proposed eigenvalue analysis for stability boundary identification. Full article
Show Figures

Figure 1

25 pages, 3467 KB  
Article
Large-Signal Stability Enhancement for FIS: Criterion-Based Parameter Optimization and Power Differentiation Feedforward Control
by Chunzhi Ge, Huajun Zheng, Xufeng Yuan, Wei Xiong, Chao Zhang and Zhiyang Lu
Electronics 2026, 15(6), 1283; https://doi.org/10.3390/electronics15061283 - 19 Mar 2026
Abstract
Flexible interconnection systems (FISs) improve distribution flexibility, yet they remain vulnerable to pronounced nonlinear instability and potentially severe DC-link voltage collapse during large disturbances such as constant power load (CPL) surges. Conventional linear control methods are often unable to prevent deep transient voltage [...] Read more.
Flexible interconnection systems (FISs) improve distribution flexibility, yet they remain vulnerable to pronounced nonlinear instability and potentially severe DC-link voltage collapse during large disturbances such as constant power load (CPL) surges. Conventional linear control methods are often unable to prevent deep transient voltage dips under these conditions. To address this issue, this paper proposes a novel large-signal stability criterion based on mixed potential function (MPF) theory. Unlike conventional Lyapunov-based approaches, the proposed formulation explicitly incorporates the dynamics of the DC capacitor, thereby enabling the derivation of a closed-form stability boundary. On this basis, the proportional gains of the outer voltage loop are first optimized to guarantee an adequate static stability margin. Subsequently, a power differentiation feedforward control strategy is developed. Rather than passively counteracting transients, the proposed method dynamically adjusts the DC voltage reference according to the rate of change in power, thereby actively reshaping the transient trajectory. In this way, the simple PI control framework is preserved while avoiding the heavy computational burden associated with advanced methods such as model predictive control. Simulation results show that the proposed strategy increases the permissible CPL step power by 8.7%, from 92 kW to 100 kW. Moreover, under severe load surges and weak grid conditions, the method prevents voltage collapse and maintains the transient trajectory above the practical 600 V safe-operation threshold. This computationally efficient strategy significantly improves the robustness and continuity of operation of practical FISs. Full article
(This article belongs to the Section Power Electronics)
Show Figures

Figure 1

13 pages, 3673 KB  
Article
Fabrication of Stochastic Ni@PVP Nanowire Networks for Memristive Platforms
by Catarina Lemos, Catarina Dias, Rui S. Costa and João Ventura
Polymers 2026, 18(6), 746; https://doi.org/10.3390/polym18060746 - 19 Mar 2026
Abstract
Single memristive nanowire networks have emerged as a promising pathway for energy-efficient neuromorphic computing, owing to their intrinsic nonlinearity, high dimensionality, fading memory and volatile switching dynamics relevant to physical reservoir computing. While prior works focused on oxide- or silver-based network systems, these [...] Read more.
Single memristive nanowire networks have emerged as a promising pathway for energy-efficient neuromorphic computing, owing to their intrinsic nonlinearity, high dimensionality, fading memory and volatile switching dynamics relevant to physical reservoir computing. While prior works focused on oxide- or silver-based network systems, these approaches face trade-offs between operating voltage, cost, stability, and scalability. This work presents a proof-of-concept demonstration of stochastic polyvinylpyrrolidone (PVP)-coated nickel nanowire networks as low-cost and scalable memristive platforms, exhibiting low-voltage resistive switching (1–2 V). The electrical characterization reveals predominantly volatile resistive switching combined with nonvolatile behavior, consistent with a filamentary conduction mechanism at nanowire junctions. The switching dynamics are governed by the polymer coating thickness, with an intermediate PVP concentration (Ni@PVP = 1:25) showing optimal performance, with a resistance ratio of ~200, stable retention over 1 h, and a reproducible endurance of over 45 cycles. These results establish Ni@PVP nanowire networks as promising memristive platforms for neuromorphic hardware applications and physical reservoir computing, with relevant properties such as fading memory and nonlinear dynamics. Full article
(This article belongs to the Section Polymer Applications)
Show Figures

Graphical abstract

15 pages, 2181 KB  
Article
A Flexible and Thermally Uniform TiO2/Ag/SiO2 Transparent Heater for Skin-Integrated Applications
by Jaejeong Jo, Geonwoo Kang, Chankyoung Lee, Tran Thi Bao Vo and Dooho Choi
J. Funct. Biomater. 2026, 17(3), 151; https://doi.org/10.3390/jfb17030151 - 18 Mar 2026
Abstract
Transparent heaters intended for skin-contacting applications must simultaneously satisfy optical transparency, mechanical compliance, thermal uniformity, and operational safety under biologically relevant temperature ranges. Here, we evaluate the applicability of a TiO2/Ag/SiO2 (TAS) dielectric–metal–dielectric transparent heater as a functional biomaterial platform [...] Read more.
Transparent heaters intended for skin-contacting applications must simultaneously satisfy optical transparency, mechanical compliance, thermal uniformity, and operational safety under biologically relevant temperature ranges. Here, we evaluate the applicability of a TiO2/Ag/SiO2 (TAS) dielectric–metal–dielectric transparent heater as a functional biomaterial platform for wearable and skin-integrated thermal systems. By systematically optimizing each layer thickness of the TAS structure, the heater achieves high visible-light transmittance (average of 86.6%) together with low sheet resistance on the order of 7.7 Ω/sq for low-voltage operation. The TAS heater demonstrates rapid and reproducible Joule-heating behavior, showing fast thermal response with short thermal time constants and spatially homogeneous temperature distributions without localized hot spots. Stable electrothermal performance is maintained under repeated on/off cycling and during cyclic mechanical bending down to small radii, confirming excellent mechanical stability under repeated bending relevant to wearable applications. Importantly, direct on-skin evaluations conducted by attaching the device to a human elbow reveal conformal contact, uniform heating at therapeutically relevant temperatures (50–70 °C), and stable operation under dynamic bending and extension. The absence of thermal inhomogeneity during motion highlights the intrinsic stability of the TAS architecture for skin-interfaced use. Given the high optical visibility, mechanical compliance, thermal uniformity, and electrothermal stability, the proposed TAS architecture represents a promising functional biomaterial platform for wearable thermotherapy, skin-mounted healthcare devices, and human-interactive thermal systems operating under continuous mechanical deformation and direct skin contact. Full article
(This article belongs to the Special Issue Advanced Materials and Devices for Medical Interventions)
Show Figures

Figure 1

22 pages, 2432 KB  
Article
Open-Circuit Fault Location Method of Lightweight Modular Multilevel Converter for Deloading Operation of Offshore Wind Power
by Zhehao Fang and Haoyang Cui
Electronics 2026, 15(6), 1277; https://doi.org/10.3390/electronics15061277 - 18 Mar 2026
Abstract
In offshore wind farms, modular multilevel converters (MMCs) may operate under a deloading condition to accommodate wind-speed volatility and dispatch constraints. Here, deloading is defined as transmitted power < 0.2 pu (scenario S2, low-power non-reversal). Under this condition, submodule capacitor-voltage fault signatures are [...] Read more.
In offshore wind farms, modular multilevel converters (MMCs) may operate under a deloading condition to accommodate wind-speed volatility and dispatch constraints. Here, deloading is defined as transmitted power < 0.2 pu (scenario S2, low-power non-reversal). Under this condition, submodule capacitor-voltage fault signatures are weak and exhibit strong operating-point-dependent drift, which degrades conventional threshold-based or offline-trained methods. We propose a lightweight switch-level IGBT open-circuit fault localization framework for deloaded MMCs. Wavelet packet decomposition is used to extract time–frequency energy features, and principal component analysis reduces feature dimensionality for lightweight deployment. An enhanced XGBoost model further integrates severity-index weighting to alleviate class imbalance and incremental learning to adapt to condition drift induced by wind-power fluctuations. MATLAB2024b/Simulink results show 99.6% accuracy in S2 with less than 2 ms inference latency, and robust performance in extended scenarios including partial-power operation and power reversal. Full article
Show Figures

Figure 1

29 pages, 11319 KB  
Article
Confidence-Aware Topology Identification in Low-Voltage Distribution Networks: A Multi-Source Fusion Method Based on Weakly Supervised Learning
by Siliang Liu, Can Deng, Zenan Zheng, Ying Zhu, Hongxin Lu and Wenze Liu
Energies 2026, 19(6), 1503; https://doi.org/10.3390/en19061503 - 18 Mar 2026
Abstract
The topology identification (TI) of low-voltage distribution networks (LVDNs) is the foundation for their intelligent operation and lean management. However, the existing identification methods may produce inconsistent results under measurement noise, missing data, and heterogeneous load behaviors. Without principled multiple method fusion and [...] Read more.
The topology identification (TI) of low-voltage distribution networks (LVDNs) is the foundation for their intelligent operation and lean management. However, the existing identification methods may produce inconsistent results under measurement noise, missing data, and heterogeneous load behaviors. Without principled multiple method fusion and meter-level confidence quantification, the reliability of the identification results is questionable in the absence of ground-truth topology. To address these challenges, a confidence-aware TI (Ca-TI) method for the LVDN based on weakly supervised learning (WSL) and Dempster–Shafer (D-S) evidence theory is proposed, aiming to infer each meter’s latent topology connectivity label and quantify the meter-level confidence without ground truth by fusing different identification methods. Specifically, within the framework of data programming (DP) in WSL, different TI methods were modeled as labeling functions (LFs), and a weakly supervised label model (WSLM) was adopted to learn each method’s error pattern and each meter’s posterior responsibility; within the framework of D-S evidence theory, an uncertainty-aware basic probability assignment (BPA) was constructed from each meter’s posterior responsibility, with posterior uncertainty allocated to ignorance, and was further discounted according to the missing data rate; subsequently, a consensus-calibrated conflict-gated (CCCG)-enhanced D-S fusion rule was proposed to aggregate the TI results of multiple methods, producing the final TI decisions with meter-level confidence. Finally, the test was carried out in both simulated and actual low-voltage distribution transformer areas (LVDTAs), and the robustness of the proposed method under various measurement noise and missing data was tested. The results indicate that the proposed method can effectively integrate the performances of various TI methods, is not adversely affected by extreme bias from any single method, and provides the meter-level confidence for targeted on-site verification. Further, an engineering deployment scheme with cloud–edge collaboration is further discussed to support scalable implementation in utility environments. Full article
(This article belongs to the Special Issue Application of Artificial Intelligence in Electrical Power Systems)
Show Figures

Figure 1

28 pages, 2666 KB  
Review
Wide Bandgap Semiconductors for Power Electronics: Comparative Properties, Applications, and Reliability of GaN and SiC Devices
by Nathaniel Viewegh, Harrison Holloway, Rainey Biggerstaff, Joseph Bruce Herzog and Christopher Martin Stanley
Hardware 2026, 4(1), 6; https://doi.org/10.3390/hardware4010006 - 18 Mar 2026
Abstract
Wide bandgap (WBG) semiconductors such as gallium nitride (GaN) and silicon carbide (SiC) have revolutionized modern power electronics by enabling devices that operate at higher voltages, temperatures, and switching frequencies than their silicon counterparts. This paper reviews the material properties, device architectures, fabrication [...] Read more.
Wide bandgap (WBG) semiconductors such as gallium nitride (GaN) and silicon carbide (SiC) have revolutionized modern power electronics by enabling devices that operate at higher voltages, temperatures, and switching frequencies than their silicon counterparts. This paper reviews the material properties, device architectures, fabrication techniques, and thermal management strategies that underpin the performance of GaN and SiC technologies. We highlight key trade-offs between GaN and SiC in terms of voltage blocking capability, switching efficiency, and thermal robustness and discussed their application in electric vehicles, renewable energy systems, and power converters. Market adoption trends and manufacturing challenges are also analyzed, with attention to cost-performance dynamics and packaging innovations. Finally, we address the critical role of thermal boundary resistance and emerging reliability solutions, providing a perspective on the future trajectory of WBG device research and commercialization. Full article
Show Figures

Figure 1

35 pages, 1839 KB  
Article
Adversarially Robust Reinforcement Learning for Energy Management in Microgrids with Voltage Regulation Under Partial Observability
by Elida Domínguez, Xiaotian Zhou and Hao Liang
Energies 2026, 19(6), 1497; https://doi.org/10.3390/en19061497 - 17 Mar 2026
Abstract
Modern microgrids increasingly rely on learning-based energy management systems (EMSs) for real-time decision-making, yet remain vulnerable to cyber–physical disturbances, sensor tampering, and model uncertainty. Existing resilient control and robust reinforcement learning methods provide useful foundations, but rarely address adversarial measurement perturbations that distort [...] Read more.
Modern microgrids increasingly rely on learning-based energy management systems (EMSs) for real-time decision-making, yet remain vulnerable to cyber–physical disturbances, sensor tampering, and model uncertainty. Existing resilient control and robust reinforcement learning methods provide useful foundations, but rarely address adversarial measurement perturbations that distort belief evolution under partial observability. This gap is critical, as structured perturbations in sensing channels can destabilize learning-based policies and propagate into voltage-regulation violations. This paper proposes an adversarially robust reinforcement learning framework for energy management with voltage regulation under partial observability in microgrids. The EMS decision-making problem is formulated as a partially observable Markov decision process (POMDP) that accounts for adversarial measurement perturbations, belief evolution, and system-level economic and voltage constraints. To avoid excessive conservatism under worst-case uncertainty, an adversary-aware belief construction based on adversarial belief balancing (A3B) is employed to focus on policy-relevant perturbations. Building on this belief representation, an adversarially robust learning framework is developed by incorporating adversarial counterfactual error (ACoE) as a learning regularization mechanism, enabling a balance between nominal operating efficiency and robustness under adversarial measurement distortion. The case study is conducted on a medium-voltage radial distribution feeder (IEEE 123-Node Test Feeder). Case study results demonstrate that the proposed ACoE-regularized policies substantially reduce voltage-deficit events, improve policy stability, and maintain operational constraints under adversarial perturbations, consistently outperforming standard proximal policy optimization (PPO)-based controllers. These results indicate that counterfactual-aware, belief-based learning substantially enhances voltage quality and operational resilience in microgrids with high penetration of distributed energy resources. Full article
(This article belongs to the Special Issue Transforming Power Systems and Smart Grids with Deep Learning)
Show Figures

Figure 1

27 pages, 3514 KB  
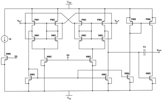
Article
A 0.3 V Ultra-Low-Power Bulk-Driven Current-Reuse OTA for Batteryless Applications
by Zhengda Li, Md Anas Abdullah, Mohamed B. Elamien and M. Jamal Deen
Electronics 2026, 15(6), 1256; https://doi.org/10.3390/electronics15061256 - 17 Mar 2026
Abstract
In this study, an ultra-low-voltage operational transconductance amplifier (OTA) operating from a 0.3 V supply, designed in a 45 nm CMOS process, is presented. To overcome the severe headroom constraints, the design employs a bulk-driven differential input stage combined with a current-reuse strategy, [...] Read more.
In this study, an ultra-low-voltage operational transconductance amplifier (OTA) operating from a 0.3 V supply, designed in a 45 nm CMOS process, is presented. To overcome the severe headroom constraints, the design employs a bulk-driven differential input stage combined with a current-reuse strategy, effectively enhancing transconductance while operating all transistors in the subthreshold region. This approach enables a rail-to-rail input common-mode range. A multipath Miller zero cancellation compensation technique ensures stability. The resulting OTA achieves an open-loop gain of 44.2 dB and a remarkable common-mode rejection ratio (CMRR) of 87.5 dB, all while consuming 23.3 nW of power. With a gain–bandwidth product of 9.9 kHz, a power supply rejection ratio (PSRR) of 41.1 dB, and an input noise of 1.0 μV/√Hz, this design is highly suitable for energy-constrained, low-frequency applications such as biomedical sensor interfaces and IoT nodes. Full article
(This article belongs to the Section Microelectronics)
Show Figures

Figure 1

13 pages, 1912 KB  
Article
Optimized Rectifier Topologies for Low-Voltage Electromagnetic Energy Harvesters
by Niklas Krug, Felix Heer and Gerhard Fischerauer
Sensors 2026, 26(6), 1887; https://doi.org/10.3390/s26061887 - 17 Mar 2026
Abstract
Vibrational energy harvesters typically generate only low voltages and low powers, making high-efficiency power conversion essential to extract usable energy from such sources. To address this challenge, suitable rectifier circuits must be designed to operate efficiently under low-voltage conditions. In this study, three [...] Read more.
Vibrational energy harvesters typically generate only low voltages and low powers, making high-efficiency power conversion essential to extract usable energy from such sources. To address this challenge, suitable rectifier circuits must be designed to operate efficiently under low-voltage conditions. In this study, three rectifier topologies—a standard bridge rectifier and two alternative designs from the literature—were investigated in a two-step methodology: first, measurements were performed in the laboratory using a function generator to simulate controlled excitation conditions, followed by experiments with a real electromagnetic energy harvester. Component-level testing allowed the identification of the most suitable components for each topology, highlighting the influence of parameters such as MOSFET gate-source threshold voltage on overall performance. Using the selected optimal components, the circuits were then compared under varying excitation amplitudes and load conditions. Small modifications were introduced to the literature designs to improve switching behavior and reduce conduction losses. Across all tested conditions, the active-diode rectifier consistently achieved the highest harvested power, demonstrating both the effectiveness of component selection and the practical benefit of the adapted topology. These results provide a systematic basis for designing high-efficiency rectifiers for low-voltage vibrational energy harvesting applications. Full article
(This article belongs to the Topic Advanced Energy Harvesting Technology, 2nd Edition)
Show Figures

Figure 1

23 pages, 5331 KB  
Article
A Temperature Compensation Method for the Bit Parameter Recorder in High-Temperature Deep Wells Based on Thermo-Mechanical Coupling
by Hengshuo Zhang, Zhenhuan Yi, Zhenbao Li, Yongyong Li and Yong Zhu
Sensors 2026, 26(6), 1884; https://doi.org/10.3390/s26061884 - 17 Mar 2026
Abstract
Measurement While Drilling (MWD) tools are widely employed in deep and ultra-deep well drilling. In the high-temperature and high-pressure (HTHP) environments characteristic of these wells, structural deformation induced by thermal expansion interferes with the bit parameter recorder’s sensor readings, thereby degrading the measurement [...] Read more.
Measurement While Drilling (MWD) tools are widely employed in deep and ultra-deep well drilling. In the high-temperature and high-pressure (HTHP) environments characteristic of these wells, structural deformation induced by thermal expansion interferes with the bit parameter recorder’s sensor readings, thereby degrading the measurement accuracy of weight on bit (WOB) and working torque (WT). To address this issue, this paper proposes a temperature compensation method based on thermo-mechanical coupling simulation. This method systematically establishes the quantitative relationships between multiple loads—including WT, WOB, temperature, and make-up torque—and the strain at critical locations of the bit parameter recorder through finite element analysis (FEA). Furthermore, surface calibration experiments have verified a strong linear correlation between the strain gauge voltage signals and the simulated strain. Building upon this foundation, an inversion-based compensation algorithm is developed. This algorithm effectively isolates the interference caused by thermally induced deformation and inversely deduces the true WOB and torque values by utilizing downhole-measured sensor voltage and temperature data. The research results demonstrate that the proposed temperature compensation method significantly improves the measurement accuracy of the bit parameter recorder under harsh, high-temperature operating conditions. The relative errors for both WOB and torque measurements are controlled to within 5%, providing a reliable solution for precise parameter measurement in high-temperature deep wells. Full article
Show Figures

Figure 1

Back to TopTop