Sign in to use this feature.

Years

Between: -

Subjects

remove_circle_outline
remove_circle_outline
remove_circle_outline
remove_circle_outline
remove_circle_outline
remove_circle_outline
remove_circle_outline
remove_circle_outline
remove_circle_outline

Journals

remove_circle_outline
remove_circle_outline
remove_circle_outline
remove_circle_outline
remove_circle_outline
remove_circle_outline
remove_circle_outline

Article Types

Countries / Regions

remove_circle_outline
remove_circle_outline
remove_circle_outline
remove_circle_outline

Search Results (339)

Search Parameters:
Keywords = open-cell foam

Order results
Result details
Results per page
Select all
Export citation of selected articles as:
18 pages, 15797 KB  
Article
A Novel Nickel-Foam/Tungsten-Powder/Epoxy-Resin Backing Material for Medical Ultrasound Transducers
by Hao Wang, Yilei Li, Ke Zhu, Chenyang Zheng, Jinpeng Ma, Enwei Sun, Xudong Qi and Rui Zhang
Sensors 2026, 26(9), 2630; https://doi.org/10.3390/s26092630 - 24 Apr 2026
Abstract
The miniaturization of medical ultrasound imaging transducers is currently limited by the thick backing layers required to dissipate backward acoustic energy. To address this, a novel hybrid composite backing material was developed by interpenetrating a three-dimensional open-cell nickel foam skeleton with a traditional [...] Read more.
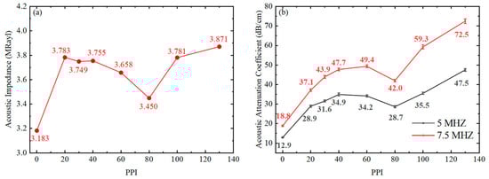
The miniaturization of medical ultrasound imaging transducers is currently limited by the thick backing layers required to dissipate backward acoustic energy. To address this, a novel hybrid composite backing material was developed by interpenetrating a three-dimensional open-cell nickel foam skeleton with a traditional tungsten-powder/epoxy-resin matrix. Two groups of composite samples with varying pores per inch (PPI) were fabricated, and their acoustic properties were systematically characterized. Experimental results indicated that the 100 PPI composite achieved macroscopic acoustic attenuation coefficients of 62.6 dB/cm at 5 MHz and 84.2 dB/cm at 7.5 MHz. These values are roughly three times higher than conventional backing materials, while maintaining a suitable acoustic impedance of 10.81 MRayl. A 5 MHz transducer utilizing a 5.0 mm layer of this proposed backing achieved a −60 dB two-way pulse-echo insertion loss, effectively eliminating backside interference with performance comparable to a 16.5 mm conventional backing. This structural strategy successfully reduces the required backing axial dimension by over 60% without compromising transducer bandwidth, offering a viable material solution for miniaturized ultrasonic transducers. Full article
(This article belongs to the Special Issue Ultrasound Sensors and MEMS Devices for Biomedical Applications)
Show Figures

Figure 1

16 pages, 2034 KB  
Article
Impact of Eco-Friendly Flame-Retardant Water-Blown Rigid Polyurethane Foams Containing Recycled Polyols for Insulation Applications
by Mercedes Santiago-Calvo, Izotz Amundarain, José Luis Gómez-Alonso, Jesús Ballestero, Sixto Arnaiz, Esteban Cañibano and María-Teresa Fernández
Polymers 2026, 18(7), 856; https://doi.org/10.3390/polym18070856 - 31 Mar 2026
Viewed by 440
Abstract
The need to reduce polyurethane (PU) foam waste has encouraged the development of sustainable foam formulations based on recycled raw materials and environmentally friendly additives, addressing both waste management and comparable foam properties to those based on fossil resources. In the present investigation, [...] Read more.
The need to reduce polyurethane (PU) foam waste has encouraged the development of sustainable foam formulations based on recycled raw materials and environmentally friendly additives, addressing both waste management and comparable foam properties to those based on fossil resources. In the present investigation, more sustainable water-blown rigid PU foams were investigated using recycled polyol and halogen-free flame retardants (FRs) for fire-resistant insulation applications. Two series of foam formulations were prepared: a first series with virgin polyol and the inclusion of a halogen-free FR additive (6 wt%) and a second series with recycled polyol (10% added respect to the total polyol) and halogen-free FR additives (6 wt%). Two types of FR were used: FR900, specifically identified as 3,9-Dimethyl-2,4,8,10-tetraoxa-3,9-diphosphaspiro[5.5]undecane-3,9-dioxide, in powder form with 24% phosphorus content and reactive polyol based FR140, an oligomeric ethyl ethylene phosphate, in liquid form with 19% phosphorus content. The density, cellular structure, aged thermal conductivity, dimensional and hydrolytic stability, fire properties, and mechanical properties were characterized for novel foamed systems. Rigid foamed materials with very low densities around 50 kg/m3 were obtained. On the one hand, the inclusion of FR900 into the PU formulation containing virgin polyol generated foam with the lowest thermal conductivity (36.10 mW/mK) due to the smaller open cell content (11.7%) and cell size reduction (433 microns). On the other hand, the inclusion of recycled polyol reduced the foam density by 6 kg/m3 (44.1 kg/m3), increased the cell size average (848 microns) and open cell content (15.1%), maintained thermal conductivity (38.73 mW/mK), slightly improved the fire properties, and worsened the mechanical properties in comparison with the PU reference containing only virgin polyol. The results obtained by the foam containing recycled polyol and 6% FR900 are remarkable, presenting an increase in density (50.3 kg/m3) and in open cell content (73%), but a very high reduction in cell size (465 microns) and thus a low value of thermal conductivity of 37.04 mW/mK with respect to the reference material containing recycled polyol. Moreover, this PU foam containing recycled polyol and FR900 offered improved fire resistance (148.2 kW/m2 of Maximum Average Rate of Heat Emission (MARHE), 179.1 kW/m2 of Maximum Heat Release Rate (HRRmax), and 24.6 MJ/m2 of Total Heat Release (THR)) and mechanical properties (6.97 MPa of Young’s modulus and 0.24 MPa of collapsed stress) for the construction sector. The inclusion of FR140 does not improve the properties of the foam system containing recycled polyol, mainly due to the deterioration of the cellular structure (in the open cell content and cell size). Full article
(This article belongs to the Special Issue Biobased Polymers and Its Composites)
Show Figures

Graphical abstract

20 pages, 4486 KB  
Article
Battery Module Thermal Management of CubeSats and Small Satellites Using Micro-/Nano-Enhanced Phase-Change Material Heat Sinks
by Mehdi Kabir, Andrew Cisco, Dominic McKinney, Izaiah Smith and Billy Moore
Energies 2026, 19(6), 1475; https://doi.org/10.3390/en19061475 - 15 Mar 2026
Viewed by 473
Abstract
Phase-change materials (PCMs) are capable of storing or releasing a substantial amount of thermal energy within a small volume through the latent heat of fusion during phase transitions of melting and solidification, i.e., from solid to liquid or vice versa, in a near [...] Read more.
Phase-change materials (PCMs) are capable of storing or releasing a substantial amount of thermal energy within a small volume through the latent heat of fusion during phase transitions of melting and solidification, i.e., from solid to liquid or vice versa, in a near isothermal process. However, commonly used organic PCMs, such as paraffin wax, exhibit very low thermal conductivity, contributing to an adverse increase in overall thermal resistance and, thus, a slow thermal response. This limitation often becomes a bottleneck for the system from a thermal performance standpoint. To mitigate this issue, the present work explores the fabrication of heat sinks incorporating nano-structured graphitic foams, including carbon foam (CF) and expanded graphite (EG), as well as micro-structured metal foams such as open-cell copper foam (OCCF), all impregnated with a paraffin-based PCM with a melting temperature near 37 °C. This study focuses on applying passive thermal management strategies to design efficient heat sinks capable of maintaining the temperatures of battery modules and electronic circuits within an acceptable thermal safety threshold for small satellites and spacecrafts, exemplified by the OPTIMUS and Pumpkin battery modules designed for CubeSats with a nominal cross-sectional area of almost 4″ × 4″. Temperature responses and average overall thermal resistances for fabricated heat sinks are accordingly assessed and compared in a vacuum chamber to simulate space conditions. Furthermore, the impact of operating pressure on the thermal performances of various heat sinks will be investigated by executing the same tests in both atmospheric and vacuum conditions. The findings demonstrate a superior thermal performance of composite heat sinks integrating carbon foam and copper foam into the paraffin PCM compared to the baseline PCM heat sink under both vacuum and atmospheric operating pressure conditions. Full article
(This article belongs to the Section J: Thermal Management)
Show Figures

Figure 1

13 pages, 3715 KB  
Article
Eco-Fabrication of Rigid Lignofoams with Porous Cellular Channels Coated by Polypropylene Films for Thermal Insulation Materials
by Qiangu Yan, Neda Arabzadeh Nosratabad, Timothy Ketelboeter, Craig Clemons, Liu Liu, Caixia Wan, Peter Kitin and Zhiyong Cai
Polymers 2026, 18(5), 548; https://doi.org/10.3390/polym18050548 - 25 Feb 2026
Viewed by 379
Abstract
This paper introduced a simple, efficient method to prepare mechanically strong lignin-based foams (lignofoams) with open-cell structures using a facile baking technique. The self-expansion of lignin occurred without any additional chemical blowing agents, foaming agents, plasticizers, or lubricants. During heating, kraft lignin softened, [...] Read more.
This paper introduced a simple, efficient method to prepare mechanically strong lignin-based foams (lignofoams) with open-cell structures using a facile baking technique. The self-expansion of lignin occurred without any additional chemical blowing agents, foaming agents, plasticizers, or lubricants. During heating, kraft lignin softened, and the internal water, either initially adsorbed or generated in situ through the dehydration of hydroxyl groups, acted as a natural blowing agent for foaming a porous foam structure. Incorporating a small amount of polypropylene (PP) enhanced mechanical properties by coating the inner walls of open cells. The porous, softened composite was then cooled to room temperature and solidified into the self-expanded lignofoam. The resulting lignofoams exhibited tunable densities ranging from 0.21 to 0.49 g/cm3 and a maximum compressive strength of 3.6 MPa. The lignofoam also showed excellent thermal insulation properties with low thermal conductive coefficients (0.057–0.098 W/mK). These features highlight the great potential of lignofoam for a bio-based thermal insulation material for construction applications. Full article
(This article belongs to the Special Issue Valorization of Biopolymer from Renewable Biomass, 2nd Edition)
Show Figures

Graphical abstract

25 pages, 5387 KB  
Article
Three-Dimensional Infinite Cluster Function as a Descriptor of Through-Plane Effective Conductivity in Porous Electrodes of Membrane Electrode Assemblies
by Abimael Rodriguez, Jaime Ortegón, Abraham Rios, Carlos Couder and Romeli Barbosa
Materials 2026, 19(5), 835; https://doi.org/10.3390/ma19050835 - 24 Feb 2026
Viewed by 378
Abstract
Through-plane electronic transport in porous membrane electrode assembly (MEA) electrodes is governed by the three-dimensional (3D) connectivity of the conducting phase. Here, we quantify the role of the spanning-cluster fraction P, defined as the fraction of conducting-phase voxels that belong to [...] Read more.
Through-plane electronic transport in porous membrane electrode assembly (MEA) electrodes is governed by the three-dimensional (3D) connectivity of the conducting phase. Here, we quantify the role of the spanning-cluster fraction P, defined as the fraction of conducting-phase voxels that belong to the z-spanning connected component in a finite reconstructed volume, on effective conductivity using scanning electron microscopy (SEM)-informed 3D reconstructions of four archetypal morphologies: a granular catalyst layer (CL), labeled CL1; a fibrous gas diffusion layer (GDL), labeled GDL1; an open-cell foam (OCF); and a micro-fibrous non-woven (MFM), labeled MFM1. Each morphology is reconstructed on a 150×150×150 voxel grid, and z-spanning connectivity is identified with a 26-neighbor flood-fill algorithm. Steady-state conduction is solved by a finite-volume method (FVM) with an imposed potential difference between the z-faces and no-flux lateral boundaries. Although all samples exhibit through-thickness connectivity, the normalized conductivity σeff/σbulk varies widely, from 0.134 (MFM1) to 0.706 (OCF). The corresponding (P,σeff/σbulk) pairs are 0.996,0.306 for CL1, 0.999,0.303 for GDL1, 0.997,0.706 for OCF, and 0.901,0.134 for MFM1. OCF exhibits the highest response due to vertically coherent channels, whereas MFM1 underperforms due to laminated constrictions; CL1 and GDL1 lie in an intermediate regime with nearly isotropic skeletons. Overall, the results show that while a z-spanning connected component is required for measurable conduction, the magnitude of σeff is dictated by percolating-skeleton quality (bottlenecks, cross-sectional constrictions, and pathway alignment) rather than phase amount alone. The proposed descriptors therefore enable percolation-aware screening metrics for designing and comparing MEA-relevant GDL and CL microstructures. Full article
(This article belongs to the Section Materials Simulation and Design)
Show Figures

Graphical abstract

26 pages, 6282 KB  
Article
Biomechanical Evaluation of Head Acceleration and Kinematics in Boxing: The Role of Gloves and Helmets—A Pilot Study
by Monika Ratajczak, Dariusz Leśnik, Rafał Kubacki, Claudia Sbriglio and Mariusz Ptak
Appl. Sci. 2026, 16(4), 1999; https://doi.org/10.3390/app16041999 - 17 Feb 2026
Viewed by 812
Abstract
Head injuries remain one of the major health concerns in contact sports such as boxing. Despite the widespread use of protective gloves and helmets, their biomechanical effectiveness in mitigating head acceleration and reducing brain injury risk remains uncertain. This study aims to biomechanically [...] Read more.
Head injuries remain one of the major health concerns in contact sports such as boxing. Despite the widespread use of protective gloves and helmets, their biomechanical effectiveness in mitigating head acceleration and reducing brain injury risk remains uncertain. This study aims to biomechanically assess available boxing equipment solutions and identify the brain–skull system’s response to physical forces from a boxing punch. A dedicated experimental setup was developed using mini triaxial accelerometers and a high-speed camera to measure head accelerations in a Primus unbreakable dummy. Tests were performed using gloves of different masses (0 oz, 10 oz, and 16 oz) and three head protection configurations: no helmet, rugby helmet, and boxing helmet. The resultant accelerations were analyzed and compared across test conditions. Peak wrist accelerations ranged from 195.00 to 271.77 m/s2, while head accelerations did not exceed biomechanical injury thresholds. The boxing helmet, composed of multilayer polyurethane foam, did not consistently decrease acceleration; in some cases, it produced higher overloads due to increased head mass and moment of inertia. A rugby helmet made of open-cell EVA (ethylene vinyl acetate) foam with lower density exhibited more favorable energy-dissipation characteristics under low-impact conditions. Glove mass also influenced acceleration differently between male and female participants, likely due to variations in punch velocity and force generation. This work is a pilot study using two trained adult volunteers to validate the combined IMU–video measurement framework. The results serve as hypothesis-generating mechanistic observations rather than population-level effect estimates. Protective effectiveness in boxing depends on a complex interaction between material properties, geometry, and user biomechanics. Optimal equipment design should balance energy absorption and mass to minimize both linear and rotational accelerations. Future studies should integrate advanced material modeling and finite element simulations to support the development of adaptive, lightweight protective systems. Full article
(This article belongs to the Special Issue Physiology and Biomechanical Monitoring in Sport)
Show Figures

Figure 1

25 pages, 4548 KB  
Article
Bio-Inspired Microstructural Engineering of Polyurethane Foams with Luffa Fibers for Synergistic Optimization of Ergonomic Support and Hygrothermal Comfort
by Mengsi Zhang, Juan Zhou, Nuofan Tang, Yijun Hu, Fuchao Yan, Yuxia Chen, Yong Guo and Daowu Tu
Polymers 2026, 18(3), 320; https://doi.org/10.3390/polym18030320 - 25 Jan 2026
Viewed by 675
Abstract
Traditional flexible polyurethane (PU) foams frequently exhibit limited mechanical support and suboptimal moisture–heat regulation, which can compromise the microenvironmental comfort required for high-quality sleep. In this study, natural luffa fibers (LF) were incorporated as a microstructural modifier to simultaneously enhance the mechanical and [...] Read more.
Traditional flexible polyurethane (PU) foams frequently exhibit limited mechanical support and suboptimal moisture–heat regulation, which can compromise the microenvironmental comfort required for high-quality sleep. In this study, natural luffa fibers (LF) were incorporated as a microstructural modifier to simultaneously enhance the mechanical and moisture–heat regulation performance of PU foams. PU/LF composite foams with varying LF loadings were prepared via in situ polymerization, and their foaming kinetics, cellular morphology evolution, and physicochemical characteristics were systematically investigated. The results indicate that LF functions both as a reinforcing skeleton and as a heterogeneous nucleation site, thereby promoting more uniform bubble formation and controlled open-cell development. At an optimal loading of 4 wt%, the composite foam developed a highly interconnected porous architecture, leading to a 7.9% increase in tensile strength and improvements of 19.4% and 22.6% in moisture absorption and moisture dissipation rates, respectively, effectively alleviating the heat–moisture accumulation typically observed in unmodified PU foams. Ergonomic pillow prototypes fabricated from the optimized composite further exhibited enhanced pressure-relief performance, as evidenced by reduced peak cervical pressure and improved uniformity of contact-area distribution in human–pillow pressure mapping, together with an increased SAG factor, indicating improved load-bearing adaptability under physiological sleep postures. Collectively, these findings elucidate the microstructural regulatory role of biomass-derived luffa fibers within porous polymer matrices and provide a robust material basis for developing high-performance, sustainable, and ergonomically optimized sleep products. Full article
(This article belongs to the Section Polymer Applications)
Show Figures

Graphical abstract

15 pages, 3939 KB  
Article
Super-Hydrophobic Polyurethane/Activated Biochar Composites with Polydimethylsiloxane Coating for High-Efficiency Organic Liquid Uptake
by Rafik Elarslene Dra, Badra Mahida, Malika Medjahdi, Belaid Mechab, Nadia Ramdani and Dominique Baillis
Materials 2026, 19(2), 415; https://doi.org/10.3390/ma19020415 - 21 Jan 2026
Viewed by 491
Abstract
The aim of this work is to develop structurally enhanced and highly hydrophobic polyurethane (PU) foams for the efficient remediation of liquid organic pollutants. For this purpose, PU foams were modified with renewable activated biochar derived from marine algae (AC) and a hydrophobic [...] Read more.
The aim of this work is to develop structurally enhanced and highly hydrophobic polyurethane (PU) foams for the efficient remediation of liquid organic pollutants. For this purpose, PU foams were modified with renewable activated biochar derived from marine algae (AC) and a hydrophobic polydimethylsiloxane (PDMS) coating, producing four systems: pristine PU, PU-AC, PU/PDMS, and the hybrid PU-AC/PDMS composite. The study evaluates how AC incorporation and PDMS surface functionalization influence the microstructure, chemical composition, wettability, thermal stability, and sorption behavior of the foams. SEM images revealed progressive reductions in pore size from 420 ± 80 μm (PU) to 360 ± 85 μm (PU-AC/PDMS), with AC introducing heterogeneity while PDMS preserved open-cell morphology. FTIR confirmed the presence of urethane linkages, carbonaceous structures, and PDMS siloxane groups. Surface hydrophobicity increased markedly from 88.53° (PU) to 148.25° (PU-AC/PDMS). TGA results showed that PDMS improved thermal stability through silica-rich char formation, whereas AC slightly lowered degradation onset. Sorption tests using petroleum-derived oils and hydrophobic organic liquids demonstrated a consistent performance hierarchy (PU < PU/PDMS < PU-AC < PU-AC/PDMS). The ternary composite achieved the highest uptake capacities, reaching 44–56 g/g for oils and up to 35 g/g for hydrophobic solvents, while maintaining reusability. These findings demonstrate that combining activated biochar with PDMS significantly enhances the functional properties of PU foams, offering an efficient and sustainable material for oil–water separation and organic pollutant remediation. Full article
Show Figures

Graphical abstract

14 pages, 1493 KB  
Article
Toward Fully Bio-Based Polyurethane Foams: Effects of Radish Seed and Tall Oil Polyols on Biofoam Properties
by Mikelis Kirpluks, Maria Kurańska, Elżbieta Malewska, Łukasz Bonder, Nanija Dambe, Dominika Grucela and Stanisław Kuciel
Materials 2025, 18(24), 5692; https://doi.org/10.3390/ma18245692 - 18 Dec 2025
Viewed by 503
Abstract
The development of bio-based polyurethane foams has become a key direction in polymer materials research, driven by the need to replace petrochemical raw materials with renewable alternatives. This study investigates the synthesis and characterization of open-cell polyurethane foams produced using mixed bio-polyols derived [...] Read more.
The development of bio-based polyurethane foams has become a key direction in polymer materials research, driven by the need to replace petrochemical raw materials with renewable alternatives. This study investigates the synthesis and characterization of open-cell polyurethane foams produced using mixed bio-polyols derived from radish seed oil and tall oil in various mass ratios. For comparison, reference foams based on a radish seed oil polyol, tall oil-based polyol and a petrochemical polyol were also prepared. The influence of the polyol composition on the foaming behavior, cell structure, apparent density, mechanical properties, and thermal conductivity of the resulting foams was analyzed. Full article
Show Figures

Graphical abstract

20 pages, 6027 KB  
Article
Production and Characterization of Ti-6Al-4V Foams Produced by the Replica Impregnation Method
by Aynur İnan Üstün and Hasan Okuyucu
Metals 2025, 15(12), 1354; https://doi.org/10.3390/met15121354 - 9 Dec 2025
Viewed by 592
Abstract
Porous Ti-6Al-4V foams are excellent materials due to their low density, high specific strength, and excellent biocompatibility. This study investigates the fabrication of open-cell Ti-6Al-4V foams using the replica impregnation method with polyurethane templates of varying pore sizes (20, 25, and 30 ppi) [...] Read more.
Porous Ti-6Al-4V foams are excellent materials due to their low density, high specific strength, and excellent biocompatibility. This study investigates the fabrication of open-cell Ti-6Al-4V foams using the replica impregnation method with polyurethane templates of varying pore sizes (20, 25, and 30 ppi) and sintering temperatures (1170 °C, 1200 °C, 1250 °C, and 1280 °C). The effects of these parameters on microstructural evolution, phase composition, and mechanical properties were examined. Microstructural analysis showed that optimum densification occurred at 1250 °C. However, at 1280 °C, excessive grain growth and pore coarsening were observed. XRD, SEM, and EDS analyses confirmed that α-Ti was the matrix phase, while titanium carbide formed in situ as a result of the carbon residues released from the decomposed polyurethane template. With the development of the TiC phase and enhanced interparticle bonding due to sintering, the compressive strength progressively increased up to 1250 °C. At 1280 °C, strength decreased due to excessive TiC growth, causing brittleness and pore coarsening, reducing structural integrity. Maximum compressive strength of 40.2 MPa and elastic modulus of 858.9 MPa were achieved at 1250 °C with balanced TiC dispersion and pore structure. Max density of 1.234 g/cm3 was obtained at 1250 °C. Gibson-Ashby analysis and the fracture surfaces confirmed the brittle behavior of the foams, which is attributed to the presence of TiC particles and microcracks in the structure. The study concludes that 1250 °C provides an ideal balance between densification and structural integrity, offering valuable insights for biomedical and structural applications. Full article
Show Figures

Graphical abstract

22 pages, 8864 KB  
Article
Enhanced Sound Absorption of Aluminum Foam Composites by Introducing Pore-Penetrating Fibers
by Bei Huang, Shuang Xiong, Xin Wang, Longyue Qin, Xiaoqing Zuo and Hui Wang
Materials 2025, 18(24), 5515; https://doi.org/10.3390/ma18245515 - 8 Dec 2025
Viewed by 607
Abstract
To address the issue of sound absorption valleys in open-cell aluminum foam and enhance mid-to-high frequency (800–6300 Hz) performance, we developed a novel pore-penetrating 316L stainless steel fiber–aluminum foam (PPFCAF) composite using an infiltration method. The formation mechanism of the pore-penetrating fibers, the [...] Read more.
To address the issue of sound absorption valleys in open-cell aluminum foam and enhance mid-to-high frequency (800–6300 Hz) performance, we developed a novel pore-penetrating 316L stainless steel fiber–aluminum foam (PPFCAF) composite using an infiltration method. The formation mechanism of the pore-penetrating fibers, the resultant pore-structure, and the accompanying sound absorption properties were investigated systematically. The PPFCAF was fabricated using 316L stainless steel fiber–NaCl composites created by an evaporation crystallization process, which ensured the full embedding of fibers within the pore-forming agent, resulting in a three-dimensional fiber-pore interpenetrating network after infiltration and desalination. Experimental results demonstrate that the PPFCAF with a porosity of 82.8% and a main pore size of 0.5 mm achieves a sound absorption valley value of 0.861. An average sound absorption coefficient is 0.880 in the target frequency range, representing significant improvements of 9.8% and 9.9%, respectively, higher than that of the conventional infiltration aluminum foam (CIAF). Acoustic impedance reveal that the incorporated fibers improve the impedance matching between the composite material and air, thereby reducing sound reflection. Finite element simulations further elucidate the underlying mechanisms: the pore-penetrating fibers influence the paths followed by air particles and the internal surface area, thereby increasing the interaction between sound waves and the solid framework. A reduction in the main pore size intensifies the interaction between sound waves and pore walls, resulting in a lower overall reflection coefficient and a decreased reflected sound pressure amplitude (0.502 Pa). In terms of energy dissipation, the combined effects of the fibers and refinement increase the specific surface area, thereby strengthening viscous effects (instantaneous sound velocity up to 46.1 m/s) and thermal effects (temperature field increases to 0.735 K). This synergy leads to a notable rise in the total plane wave power dissipation density, reaching 0.0609 W/m3. Our work provides an effective strategy for designing high-performance composite metal foams for noise control applications. Full article
Show Figures

Figure 1

15 pages, 4410 KB  
Article
Closed Loop of Polyurethanes: Effect of Isocyanate Index on the Properties of Repolyols and Rebiopolyols Obtained by Glycolysis
by Maria Kurańska, Elżbieta Malewska, Julia Sędzimir, Hubert Ożóg, Aleksandra Put, Natalia Kowalik and Michał Kucała
Materials 2025, 18(24), 5503; https://doi.org/10.3390/ma18245503 - 7 Dec 2025
Cited by 1 | Viewed by 2447
Abstract
This paper presents the effect of the isocyanate index of polyurethane foams on the properties of repolyols and rebiopolyols obtained through glycolysis and on the foaming process of the new polyurethane systems. An FTIR spectral analysis confirmed that as the isocyanate index decreased, [...] Read more.
This paper presents the effect of the isocyanate index of polyurethane foams on the properties of repolyols and rebiopolyols obtained through glycolysis and on the foaming process of the new polyurethane systems. An FTIR spectral analysis confirmed that as the isocyanate index decreased, the intensity of the bands’ characteristic of urethane and urea bonds also decreased, indicating a lower proportion of carbonyl groups and hard segments in the polymer structure. Simultaneously, an increase in the hydroxyl number of the repolyols and the rebiopolyols was observed, along with a decrease in their viscosity and average molar masses. Both effects are consequences of a lower degree of cross-linking in the parent foams. An analysis of the foaming process using a Foamat apparatus revealed that the viscosity and the molar mass of the repolyols and the rebiopolyols significantly affected the system’s reactivity, maximum reaction temperature, and the time required to reach it. Differences in foaming dynamics resulted in different cellular structures of the foams, their apparent density, and mechanical properties. The foams obtained from the repolyols derived from foams with a lower isocyanate index exhibited a lower degree of cross-linking and a lower strength, while the foams with the rebiopolyols tended to shrink. The intensity of the shrinkage was limited by a higher degree of cell openness. These results confirm the crucial role of the properties of repolyol and rebiopolyol in shaping the reactivity, morphology, and properties of final polyurethane foams, providing a basis for designing new, sustainable polyurethane systems. Full article
(This article belongs to the Section Polymeric Materials)
Show Figures

Figure 1

17 pages, 1939 KB  
Article
Turning Fruit Seed Oils into High-Performance Open-Cell Polyurethane Foams: A Green Route to Petrochemical Polyol-Free Insulation
by Maria Kurańska, Elżbieta Malewska, Mateusz Barczewski, Joanna Banaś, Aleksandra Put, Julia Sędzimir, Hubert Ożóg, Natalia Kowalik, Marcin Zemła and Michał Kucała
Materials 2025, 18(23), 5387; https://doi.org/10.3390/ma18235387 - 29 Nov 2025
Cited by 1 | Viewed by 2292
Abstract
Five types of fruit seed oils have been described from the perspective of their potential use in the synthesis of biopolyols. The overall goal is to increase the participation of biopolyurethanes in polymer production, aligning with the European Green Deal. Blackcurrant, cherry, grape, [...] Read more.
Five types of fruit seed oils have been described from the perspective of their potential use in the synthesis of biopolyols. The overall goal is to increase the participation of biopolyurethanes in polymer production, aligning with the European Green Deal. Blackcurrant, cherry, grape, pomegranate, and watermelon seed oils were characterized by iodine value, acid value, density, average molecular weight, viscosity, and fatty acid profile. The thermal properties of the oils were also determined using thermogravimetry (TGA) and differential scanning calorimetry (DSC). In order to obtain reactive compounds for the synthesis of biopolyols, the vegetable oils were modified using the transesterification reaction with triethanolamine. The resulting biopolyols were characterized by their hydroxyl number, acid number, density, average molar mass, and viscosity. The biopolyols were then used to produce thermal-insulating polyurethane foams by completely replacing petrochemical polyols with counterparts derived from fruit seeds. The obtained foams were described by their closed cell content, apparent density, thermal conductivity coefficient, dimensional stability, maximum stress at 10% deformation, thermal stability, oxygen index, and water absorption. In addition, an analysis of the foaming process revealed that the properties of fruit seed oil after chemical modification had an impact on the properties of the open-cell polyurethane foams and the foaming process itself. Full article
(This article belongs to the Section Porous Materials)
Show Figures

Figure 1

43 pages, 3654 KB  
Article
A Block-Coupled Finite Volume Method for Incompressible Hyperelastic Solids
by Anja Horvat, Philipp Milović, Igor Karšaj and Željko Tuković
Appl. Sci. 2025, 15(23), 12660; https://doi.org/10.3390/app152312660 - 28 Nov 2025
Viewed by 772
Abstract
This work introduces a block-coupled finite volume method for simulating the large-strain deformation of incompressible hyperelastic solids. Conventional displacement-based finite-volume solvers for incompressible materials often exhibit stability and convergence issues, particularly on unstructured meshes and in finite-strain regimes typical of biological tissues. To [...] Read more.
This work introduces a block-coupled finite volume method for simulating the large-strain deformation of incompressible hyperelastic solids. Conventional displacement-based finite-volume solvers for incompressible materials often exhibit stability and convergence issues, particularly on unstructured meshes and in finite-strain regimes typical of biological tissues. To address these issues, a mixed displacement–pressure formulation is adopted and solved using a block-coupled strategy, enabling simultaneous solution of displacement and pressure increments. This eliminates the need for under-relaxation and improves robustness compared to segregated approaches. The method incorporates several enhancements, including temporally consistent Rhie–Chow interpolation, accurate treatment of traction boundary conditions, and compatibility with a wide range of constitutive models, from linear elasticity to advanced hyperelastic laws such as Holzapfel–Gasser–Ogden and Guccione. Implemented within the solids4Foam toolbox for OpenFOAM, the solver is validated against analytical and finite-element benchmarks across diverse test cases, including uniaxial extension, simple shear, pressurised cylinders, arterial wall, and idealised ventricle inflation. Results demonstrate second-order spatial and temporal accuracy, excellent agreement with reference solutions, and reliable performance in three-dimensional scenarios. The proposed approach establishes a robust foundation for fluid–structure interaction simulations in vascular and soft tissue biomechanics. Full article
(This article belongs to the Special Issue Applied Numerical Analysis and Computing in Mechanical Engineering)
Show Figures

Figure 1

23 pages, 4409 KB  
Article
Effect of Corn Starch as Stabilizer Particle in Combination with Egg White Proteins in Natural Rubber Latex Biofoams Produced by Microwave Foaming
by Clara Amezúa-Arranz, Leandra Oliveira Salmazo, Alberto López-Gil and Miguel-Ángel Rodríguez-Pérez
Polymers 2025, 17(22), 3057; https://doi.org/10.3390/polym17223057 - 18 Nov 2025
Cited by 1 | Viewed by 2700
Abstract
Current ecological and environmental concerns have led to a rapid increase in social interest in research and innovation in the field of sustainable plastics, which directly affects foamed plastic products. In this study, we present our contribution by investigating the effects of egg [...] Read more.
Current ecological and environmental concerns have led to a rapid increase in social interest in research and innovation in the field of sustainable plastics, which directly affects foamed plastic products. In this study, we present our contribution by investigating the effects of egg white protein and corn starch particles on open-cell biofoams produced from natural rubber latex in a two-step process based on an initial aeration that leads to a liquid foam precursor and its dehydration by microwave radiation. By incorporating corn starch and either replacing or maintaining the levels of egg white protein, two independent series of foams were examined. We observed how the reduction in egg white led to bigger and heterogeneous cells, although the density values were practically maintained around 100 kg/m3. In contrast, the formulations with corn starch at a fixed level of egg white protein created foams with homogeneous structures and smaller cells (≤120 µm). In addition, in terms of density, both series present values around 100 kg/m3 for the final solid foams, indicating that the addition of starch does not involve density increments. On the contrary, densities are still low, and the cellular structure homogeneity improves, confirming that starch is a very promising stabilizer bio-particle in the development of biofoams from liquids. Full article
(This article belongs to the Section Biobased and Biodegradable Polymers)
Show Figures

Figure 1

Back to TopTop