Enhanced Compression Properties of Open-Cell Foams Reinforced with Shear-Thickening Fluids and Shear-Stiffening Polymers
Abstract
1. Introduction
2. Materials and Methods
2.1. Materials
2.2. Specimen Preparation and Structural Characterization
2.3. Compression Testing
3. Results and Discussion
3.1. Rheological Properties of STF and SSP
3.2. Microstructural Properties of Smart Foams
3.3. Anti-Compression Performance of Smart Foams
3.3.1. Quasi-Static Compressive Behavior at Different Compression Speeds
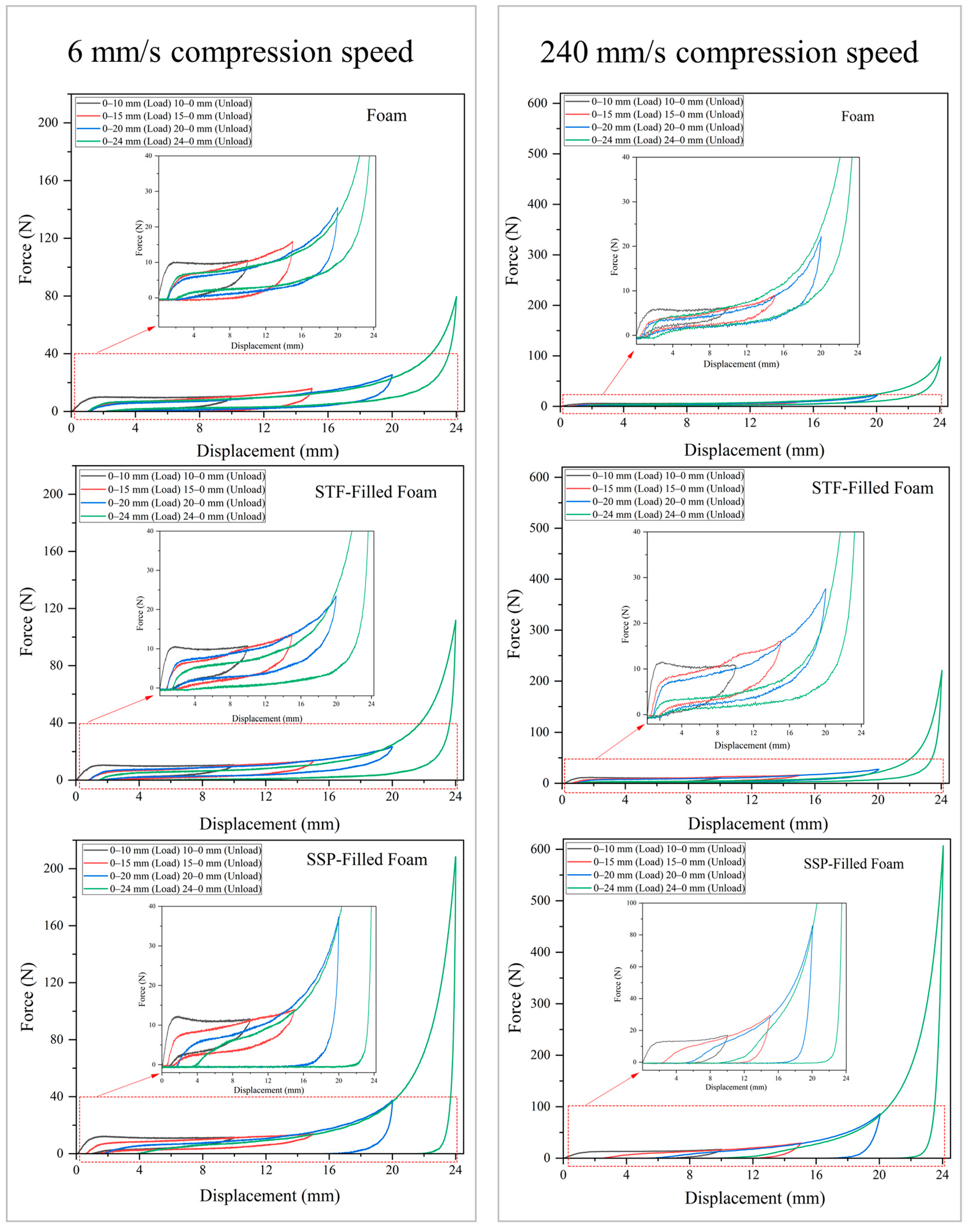
3.3.2. Load-Unloading Behavior of Smart Foams
3.4. Reversibility Performance of Designed Smart Foams
4. Conclusions
Author Contributions
Funding
Data Availability Statement
Acknowledgments
Conflicts of Interest
References
- Ramon, O.; Mizrahi, S.; Miltz, J. Mechanical Properties and Behavior of Open Cell Foams Used as Cushioning Materials. Polym. Eng. Sci. 1990, 30, 197–201. [Google Scholar] [CrossRef]
- Gayathri, R.; Vasanthakumari, R. Nanomaterials in PU Foam for Enhanced Sound Absorption at Low Frequency Region. Adv. Mater. Res. 2014, 938, 170–175. [Google Scholar] [CrossRef]
- Ates, M.; Karadag, S.; Eker, A.A.; Eker, B. Polyurethane Foam Materials and Their Industrial Applications. Polym. Int. 2022, 71, 1157–1163. [Google Scholar] [CrossRef]
- Ramirez, B.J.; Gupta, V. Energy Absorption and Low Velocity Impact Response of Open-Cell Polyurea Foams. J. Dyn. Behav. Mater. 2019, 5, 132–142. [Google Scholar] [CrossRef]
- Sheikhi, M.R.; Hasanzadeh, M.; Gürgen, S.; Li, J. Enhanced Anti-Impact Resistance of Polyurethane Foam Composites with Multi-Phase Shear Thickening Fluids Containing Various Carbon Nanofillers. Mater. Today Commun. 2024, 38, 107991. [Google Scholar] [CrossRef]
- Wei, M.; Lin, K.; Sun, L. Shear Thickening Fluids and Their Applications. Mater. Des. 2022, 216, 110570. [Google Scholar] [CrossRef]
- Serra, G.F.; Oliveira, L.; Gürgen, S.; de Sousa, R.A.; Fernandes, F.A. Shear Thickening Fluid (STF) in Engineering Applications and the Potential of Cork in STF-Based Composites. Adv. Colloid Interface Sci. 2024, 327, 103157. [Google Scholar] [CrossRef]
- Sheikhi, M.R.; Gürgen, S. Intelligent Polymers for Multi-Functional Applications: Mechanical and Electrical Aspects. Polymers 2023, 15, 2620. [Google Scholar] [CrossRef]
- Zhao, C.; Gong, X.; Wang, S.; Jiang, W.; Xuan, S. Shear Stiffening Gels for Intelligent Anti-Impact Applications. Cell Rep. Phys. Sci. 2020, 1, 100266. [Google Scholar] [CrossRef]
- Fernandes, T.R.; Alves de Sousa, R.J.; Fernandes, F.A. Multilayered Cork-STF Composite Structures Enhanced with Laser Texturing for Impact Mitigation. Int. J. Adv. Manuf. Technol. 2025, 136, 97–107. [Google Scholar] [CrossRef]
- Oliveira, L.; Serra, G.F.; Gürgen, S.; Novais, R.M.; de Sousa, R.J.A.; Fernandes, F.A.O. Shear Thickening Fluids in Cork Composites for Impact Mitigation: The Role of Fumed Silica Concentration. Arch. Civ. Mech. Eng. 2024, 24, 92. [Google Scholar] [CrossRef]
- Sousa, G.J.A.; Fernandes, F.A.; Rocha, A.R.S.; Serra, G.F.; de Sousa, R.J.A. Manufacturing of Novel Cork-STF Composites Designed for Impact Energy Absorption. Key Eng. Mater. 2023, 957, 29–34. [Google Scholar] [CrossRef]
- Bajya, M.; Majumdar, A.; Butola, B.S.; Verma, S.K.; Bhattacharjee, D. Design Strategy for Optimising Weight and Ballistic Performance of Soft Body Armour Reinforced with Shear Thickening Fluid. Compos. Part B Eng. 2020, 183, 107721. [Google Scholar] [CrossRef]
- Liu, H.; Fu, K.; Cui, X.; Zhu, H.; Yang, B. Shear thickening fluid and its application in impact protection: A review. Polymers 2023, 15, 2238. [Google Scholar] [CrossRef] [PubMed]
- Sheikhi, M.R.; Bayrak, K.; Ozdemir, E.; Gürgen, S. Force Attenuation Performance in Sandwich Structures with STF and M-STF Encapsulation. Heliyon 2024, 10, e27186. [Google Scholar] [CrossRef]
- Sheikhi, M.R.; Gürgen, S.; Li, J. Vibration Suppression and Surface Quality Enhancement in Milling Thin-Walled Structures Using Shear Thickening Fluids. J. Manuf. Process. 2024, 131, 2219–2229. [Google Scholar] [CrossRef]
- Sheikhi, M.R.; Gürgen, S.; Kuşhan, M.C. Vibration Damping Systems with Shear Thickening Fluid. In Shear Thickening Fluid: Theory and Applications; Springer International Publishing: Cham, Switzerland, 2023; pp. 77–97. [Google Scholar]
- Sheikhi, M.R.; Sofuoğlu, M.A.; Chen, Z. Shear Thickening Fluid Integrated Sandwich Structures for Vibration Isolation. In Shear Thickening Fluid: Case Studies in Engineering; Springer International Publishing: Cham, Switzerland, 2023; pp. 27–40. [Google Scholar]
- Gürgen, S.; Sert, A. Polishing Operation of a Steel Bar in a Shear Thickening Fluid Medium. Compos. Part B Eng. 2019, 175, 107127. [Google Scholar] [CrossRef]
- Crawford, N.C.; Williams, S.K.R.; Boldridge, D.; Liberatore, M.W. Shear Thickening of Chemical Mechanical Polishing Slurries under High Shear. Rheol. Acta 2012, 51, 637–647. [Google Scholar] [CrossRef]
- Yang, H.; Tu, H.; Yang, Z.; Tang, F.; Cao, W.; Huang, C.; Guo, Y.; Wei, Y. Micromechanical Properties of Shear Stiffening Gel Reinforced Ethylene–Vinyl Acetate Foam. Mater. Lett. 2023, 351, 134993. [Google Scholar] [CrossRef]
- Wang, S.; Xuan, S.; Wang, Y.; Xu, C.; Mao, Y.; Liu, M.; Bai, L.; Jiang, W.; Gong, X. Stretchable Polyurethane Sponge Scaffold Strengthened Shear Stiffening Polymer and Its Enhanced Safeguarding Performance. ACS Appl. Mater. Interfaces 2016, 8, 4946–4954. [Google Scholar] [CrossRef]
- Livermore, S.M.; Pelosse, A.; van der Naald, M.; Kim, H.; Atis, S.; Jaeger, H.M. Shear Thickening inside Elastic Open-Cell Foams under Dynamic Compression. Soft Matter 2025, 21, 1192–1202. [Google Scholar] [CrossRef] [PubMed]
- Liu, X.; Huo, J.; Li, T.-T.; Wang, H.; Wu, L.; Lin, J.-H.; Lou, C.-W. Mechanical Properties of a STF Capsule Filled Flexible Polyurethane Composite Foam. Mater. Lett. 2020, 269, 127580. [Google Scholar] [CrossRef]
- Warren, J.; Kota, K.R.; Westberg, S.M.; Lacy, T.; Kundu, S.; Toghiani, H.; Pittman, C.U., Jr. Hypervelocity Impacts of Shear Thickening Fluid Imbibed Metallic Foam Core Sandwich Panels. In Proceedings of the 30th Technical Conference of American Society of Composites, East Lansing, MI, USA, 28–30 September 2015; Volume 1492, pp. 28–30. [Google Scholar]
- Wu, L.; Wang, J.; Jiang, Q.; Lu, Z.; Wang, W.; Lin, J.-H. Low-Velocity Impact Behavior of Flexible Sandwich Composite with Polyurethane Grid Sealing Shear Thickening Fluid Core. J. Sandw. Struct. Mater. 2020, 22, 1274–1291. [Google Scholar] [CrossRef]
- Tu, H.; Xu, P.; Yang, Z.; Tang, F.; Dong, C.; Chen, Y.; Cao, W.; Huang, C.; Guo, Y.; Wei, Y. Effect of Shear Thickening Gel on Microstructure and Impact Resistance of Ethylene–Vinyl Acetate Foam. Compos. Struct. 2023, 311, 116811. [Google Scholar] [CrossRef]
- Tu, H.; Yang, H.; Xu, P.; Yang, Z.; Tang, F.; Dong, C.; Chen, Y.; Ren, L.; Cao, W.; Huang, C.; et al. Protective Performance of Shear Stiffening Gel-Modified Foam against Ballistic Impact: Experimental and Numerical Study. Def. Technol. 2024, 32, 510–520. [Google Scholar] [CrossRef]
- Liu, X.; Yu, K.; Sun, J.; Guo, W.; Qian, K. Effect of Shear Thickening Gel on Structure and Properties of Flexible Polyurethane Foam. Smart Mater. Struct. 2021, 30, 125008. [Google Scholar] [CrossRef]
- Liu, X.; Yu, K.; Chen, P. From Polymer Matrix to Cell Structure: STG/TEMs/PU Energy-Absorbing Foamed Composites with Strain Rate-Dependent and Bimodal Cellular Structure. Mater. Des. 2025, 250, 113638. [Google Scholar] [CrossRef]
- ASTM D 1621-16; Standard Test Method for Compressive Properties of Rigid Cellular Plastics. ASTM International: West Conshohocken, PA, USA, 2017. Available online: https://store.accuristech.com/standards/astm-volume-08-01-2017?product_id=1974391#product (accessed on 24 February 2025).










| Specimen | Details |
|---|---|
| Foam | Neat foam |
| STF-filled foam | STF-impregnated composite sponge |
| SSP-filled foam | SSP-impregnated composite sponge |
Disclaimer/Publisher’s Note: The statements, opinions and data contained in all publications are solely those of the individual author(s) and contributor(s) and not of MDPI and/or the editor(s). MDPI and/or the editor(s) disclaim responsibility for any injury to people or property resulting from any ideas, methods, instructions or products referred to in the content. |
© 2025 by the authors. Licensee MDPI, Basel, Switzerland. This article is an open access article distributed under the terms and conditions of the Creative Commons Attribution (CC BY) license (https://creativecommons.org/licenses/by/4.0/).
Share and Cite
Li, J.; Zhou, Y.; Sheikhi, M.R.; Gürgen, S. Enhanced Compression Properties of Open-Cell Foams Reinforced with Shear-Thickening Fluids and Shear-Stiffening Polymers. Polymers 2025, 17, 1218. https://doi.org/10.3390/polym17091218
Li J, Zhou Y, Sheikhi MR, Gürgen S. Enhanced Compression Properties of Open-Cell Foams Reinforced with Shear-Thickening Fluids and Shear-Stiffening Polymers. Polymers. 2025; 17(9):1218. https://doi.org/10.3390/polym17091218
Chicago/Turabian StyleLi, Jian, Yaoguang Zhou, Mohammad Rauf Sheikhi, and Selim Gürgen. 2025. "Enhanced Compression Properties of Open-Cell Foams Reinforced with Shear-Thickening Fluids and Shear-Stiffening Polymers" Polymers 17, no. 9: 1218. https://doi.org/10.3390/polym17091218
APA StyleLi, J., Zhou, Y., Sheikhi, M. R., & Gürgen, S. (2025). Enhanced Compression Properties of Open-Cell Foams Reinforced with Shear-Thickening Fluids and Shear-Stiffening Polymers. Polymers, 17(9), 1218. https://doi.org/10.3390/polym17091218

