Sign in to use this feature.

Years

Between: -

Subjects

remove_circle_outline
remove_circle_outline
remove_circle_outline
remove_circle_outline
remove_circle_outline

Journals

Article Types

Countries / Regions

Search Results (142)

Search Parameters:
Keywords = oligodeoxynucleotides

Order results
Result details
Results per page
Select all
Export citation of selected articles as:
15 pages, 2648 KB  
Article
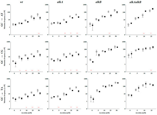
Mutagenicity and Repair of Acrolein Adduct to Cytosine
by Małgorzata Dylewska, Sławomir Kasperowicz, Beata Sokołowska and Agnieszka M. Maciejewska
Int. J. Mol. Sci. 2026, 27(1), 71; https://doi.org/10.3390/ijms27010071 (registering DOI) - 21 Dec 2025
Abstract
Acrolein, a ubiquitous environmental pollutant, is also formed endogenously as a metabolite under oxidative stress conditions. Its adduct to cytosine, 3,N4-α-hydroxypropanocytosine (HPC), has recently been shown to be an in vitro substrate for the AlkB dioxygenase. Using a set of indicator [...] Read more.
Acrolein, a ubiquitous environmental pollutant, is also formed endogenously as a metabolite under oxidative stress conditions. Its adduct to cytosine, 3,N4-α-hydroxypropanocytosine (HPC), has recently been shown to be an in vitro substrate for the AlkB dioxygenase. Using a set of indicator plasmids modified with acrolein, we provide evidence that HPC is a mutagenic non-instructional lesion that predominantly induces C→A transversion, and to a lesser extent C→T and C→G base substitutions. HPC is efficiently repaired in vivo by AlkB, even without induction of the adaptive response. However, the mutation frequency did not differ between the wild-type and AlkA-deficient strains, and AlkA glycosylase fails to excise in vitro the acrolein-modified cytosine from the T22(HPC)3 oligodeoxynucleotide, both indicating that HPC is not a substrate for AlkA. Based on molecular modeling, we further examined the potential differences in the hydrolytic suspensibility of a known AlkA substrate, the acrolein adduct to adenine (HPA), and the cytosine adduct (HPC) at the glycosylase active site. Analysis of both structural and electrochemical properties indicates that, despite an identical type of modification within an equivalent chemical context, including comparable geometry and topology, the glycosidic bond in HPC is considerably less susceptible to hydrolysis than that in HPA. Full article
(This article belongs to the Section Molecular Biology)
Show Figures

Figure 1

12 pages, 1412 KB  
Article
Bridge Nucleic Acid/DNA Gapmers as Potential Inhibitors of Bacterial Gene Expression by Multiple Antisense Mechanisms: An In Vitro Study
by Angel J. Magaña, Kimberly Phan, Jesse A. Lopez, Maria S. Ramirez and Marcelo E. Tolmasky
Molecules 2025, 30(24), 4721; https://doi.org/10.3390/molecules30244721 - 10 Dec 2025
Viewed by 209
Abstract
Antisense inhibition of gene expression is usually achieved using nuclease-resistant oligonucleotide analogs that promote mRNA degradation through RNase H or RNase P, or by steric hindrance of translation. Bridge nucleic acids (BNAs) are nucleotide analogs available in a few chemical variants. We evaluated [...] Read more.
Antisense inhibition of gene expression is usually achieved using nuclease-resistant oligonucleotide analogs that promote mRNA degradation through RNase H or RNase P, or by steric hindrance of translation. Bridge nucleic acids (BNAs) are nucleotide analogs available in a few chemical variants. We evaluated gapmers composed of an oligodeoxynucleotide flanked by BNA residues in a BNA5-DNA8-BNA4 configuration, using the available variants: the original locked nucleic acid (LNA; 2′-O,4′-methylene bridge), cET (2′-O,4′-ethyl bridge), cMOE (2′-O,4′-methoxyethyl bridge), and BNANC (2′-O,4′-aminomethylene bridge). These gapmers were tested in vitro for their ability to induce cleavage of the model aac(6′)-Ib mRNA. All gapmers complementary to a previously identified region suitable for interaction with antisense oligomers induced RNase H-mediated degradation. Instead, only the LNA-containing gapmer also elicited RNase P-dependent cleavage, demonstrating dual RNA- and DNA-mimicking capability. In vitro coupled transcription–translation assays using cell lysates or reconstituted systems confirmed inhibition of expression and ruled out steric hindrance as the mechanism. In contrast, gapmers targeting the ribosome-binding site strongly inhibited expression by steric hindrance. These findings demonstrate that LNA-containing gapmers can exert their effects through multiple mechanisms, depending on the targeted mRNA region, thereby supporting their potential for synergistic inhibition of gene expression. Full article
(This article belongs to the Section Medicinal Chemistry)
Show Figures

Figure 1

16 pages, 1944 KB  
Article
Phytochemicals Prime RIG-I Signaling and Th1-Leaning Responses in Human Monocyte-Derived Dendritic Cells
by Kaho Ohki, Takumi Iwasawa and Kazunori Kato
Nutrients 2025, 17(22), 3539; https://doi.org/10.3390/nu17223539 - 12 Nov 2025
Viewed by 392
Abstract
Background/Objective: Dendritic cells (DCs) act as sentinels bridging innate and adaptive immunity, and their functions are strongly influenced by dietary and environmental factors. Phytochemicals such as α-Mangostin (A phytochemical, a xanthone derivative from Garcinia mangostina, known for its anti-inflammatory and antioxidant properties) [...] Read more.
Background/Objective: Dendritic cells (DCs) act as sentinels bridging innate and adaptive immunity, and their functions are strongly influenced by dietary and environmental factors. Phytochemicals such as α-Mangostin (A phytochemical, a xanthone derivative from Garcinia mangostina, known for its anti-inflammatory and antioxidant properties) are widely recognized for their antioxidant and anti-inflammatory effects, but their potential to modulate antiviral pattern recognition pathways remains unclear. This study investigated whether phytochemicals activate retinoic acid–inducible gene I (RIG-I: DDX58, a cytosolic receptor recognizing viral RNA and inducing antiviral responses)–dependent signaling in human monocyte-derived dendritic cells (MoDCs) and affect downstream T cell responses. Methods: MoDCs were generated from peripheral blood and stimulated with selected phytochemicals. RIG-I pathway–related transcripts were quantified by qPCR, and protein expression was assessed by Western blotting, intracellular flow cytometry, and immunofluorescence staining. Functional outcomes were evaluated by co-culturing MoDCs with T cells, followed by phenotypic analysis via flow cytometry and measurement of IFN-γ production by ELISA. Results: α-Mangostin stimulation increased RIG-I (DDX58) mRNA levels in MoDCs and induced time-dependent changes in intracellular protein expression. In co-culture, α-Mangostin–treated MoDCs tended to increase the proportion of OX40+ 4-1BB+ CD4+ T cells, accompanied by a significant elevation of IFN-γ levels in supernatants. Experiments with CpG-ODN (synthetic oligodeoxynucleotides mimicking bacterial DNA that activate TLR9) suggested context-dependent crosstalk between the TLR9 and RIG-I signaling axes. Conclusions: Phytochemicals, exemplified by α-Mangostin, prime antiviral responses in human DCs through upregulation of RIG-I and promote Th1-dependent immune responses. These findings suggest that phytochemicals may represent promising nutritional strategies to enhance antiviral immunity while mitigating excessive inflammation under infectious conditions. Full article
Show Figures

Figure 1

16 pages, 2240 KB  
Article
A Comparative Study on Immune Protection Efficacy: An HSV-1 Trivalent Antigen Subunit Vaccine Formulated with a Cellular Immunity-Inducing Adjuvant Versus an mRNA Vaccine
by Han Cao, Jingping Hu, Fengyuan Zeng, Ning Luan, Dandan Gao, Zhentao Lei, Jishuai Cheng and Cunbao Liu
Vaccines 2025, 13(9), 958; https://doi.org/10.3390/vaccines13090958 - 10 Sep 2025
Viewed by 1572
Abstract
Background: Herpes simplex virus (HSV) is a neurotropic virus that can be categorized into two serotypes: HSV-1 and HSV-2. HSV-1 causes symptoms such as herpes labialis, herpetic keratitis, genital ulcers, and encephalitis, and primarily establishes latent infection in the trigeminal ganglion. The [...] Read more.
Background: Herpes simplex virus (HSV) is a neurotropic virus that can be categorized into two serotypes: HSV-1 and HSV-2. HSV-1 causes symptoms such as herpes labialis, herpetic keratitis, genital ulcers, and encephalitis, and primarily establishes latent infection in the trigeminal ganglion. The complexity of membrane fusion mechanisms and potential infection in nerves allow HSV to easily evade recognition and clearance by host immune cells. Therefore, developing a vaccine that can prevent both primary and reactivated HSV-1 infection is critical. Currently, no preventive or therapeutic HSV-1 vaccines have been approved for marketing. Methods: In this study, we utilized the gC, gD, and gE proteins of HSV-1, which are associated with viral fusion and immune escape, to design a trivalent antigen vaccine that is capable of inducing a cellular immune response. Two formulations of the vaccine are available: a subunit vaccine incorporating oligodeoxynucleotides with CpG motifs (CpG ODNs) and QS-21 as adjuvants, as well as an mRNA vaccine. Mice were immunized via intramuscular injection to evaluate and compare the immunological responses and protective efficacy of the two vaccines. Results: After the challenge, the viral load in the tissues of both vaccine groups was significantly lower than that in the positive control group, indicating that both vaccines were able to control viral proliferation in the tissues. Conclusions: The findings indicated that both mRNA and subunit vaccines were capable of eliciting comparable humoral and cellular immune responses. Full article
(This article belongs to the Section Vaccine Design, Development, and Delivery)
Show Figures

Figure 1

16 pages, 2784 KB  
Article
Methylated CpG ODNs from Bifidobacterium longum subsp. infantis Modulate Treg Induction and Suppress Allergic Response in a Murine Model
by Dongmei Li, Idalia Cruz, Samantha N. Peltak, Patricia L. Foley and Joseph A. Bellanti
Int. J. Mol. Sci. 2025, 26(14), 6755; https://doi.org/10.3390/ijms26146755 - 14 Jul 2025
Cited by 3 | Viewed by 838
Abstract
In our previous studies, methylated CpG oligodeoxynucleotides (ODN) derived from Bifidobacterium longum subsp. infantis have demonstrated immunomodulatory effects through the induction of regulatory T cells (Tregs). To define the structural determinants underlying this effect, we synthesized four CpG ODNs varying in methylation degree, [...] Read more.
In our previous studies, methylated CpG oligodeoxynucleotides (ODN) derived from Bifidobacterium longum subsp. infantis have demonstrated immunomodulatory effects through the induction of regulatory T cells (Tregs). To define the structural determinants underlying this effect, we synthesized four CpG ODNs varying in methylation degree, CpG motif placement, and backbone length. These include (1) ODN-A (2m-V1), a 20-nucleotide CpG oligodeoxynucleotide incorporating two 5-methylcytosines at positions 4 and 12 within centrally placed CpG motifs; (2) ODN-B (um-V2), a 20-nucleotide CpG oligodeoxynucleotide with a backbone structure identical to ODN-A but unmethylated; (3) ODN-C (2m’-V3), a 20-nucleotide CpG oligodeoxynucleotide with a backbone structure identical to ODN-A, but with two 5-methylcytosines shifted to positions 7 and 15; (4) ODN-D (3m-V4), a 27-nucleotide CpG oligodeoxynucleotide with an extended backbone structure, this time with three 5-methylcytosines at positions 3, 11, and 19. Using a murine model of an OVA-induced allergy, we show that methylated ODN-A (2m-V1) and ODN-D (3m-V4) markedly reduce serum anti-OVA IgE, clinical symptoms, eosinophilic infiltration, and Th2/Th17 responses, while promoting splenic Treg expansion and IL-10 production. In contrast, unmethylated ODN-B (um-V2) and a positionally altered methylated ODN-C (2m’-V3) both failed to suppress allergic inflammation, and, in contrast, enhanced the Th2/Th17 response and induced robust in vitro Toll-like receptors TLR7/8/9 expression in native splenocytes. These findings suggest that both methylation and motif architecture critically influence the immunologic profile of CpG ODNs. Our results provide mechanistic insights into CpG ODN structure/function relationships and support the therapeutic potential of select methylated sequences for restoring immune tolerance in allergic diseases. Full article
Show Figures

Figure 1

9 pages, 1518 KB  
Article
Synthesis of Sensitive Oligodeoxynucleotides Containing Acylated Cytosine, Adenine, and Guanine Nucleobases
by Komal Chillar, Rohith Awasthy, Marina Tanasova and Shiyue Fang
DNA 2025, 5(2), 25; https://doi.org/10.3390/dna5020025 - 9 May 2025
Viewed by 1246
Abstract
Background/Objective: Oligodeoxynucleotides (ODNs) containing base-labile modifications such as N4-acetyldeoxycytidine (4acC), N6-acetyladenosine (6acA), N2-acetylguanosine (2acG), and N4-methyoxycarbonyldeoxycytidine (4mcC) are highly challenging to synthesize because standard ODN synthesis methods require deprotection and cleavage under strongly basic and nucleophilic conditions, and there is a lack of [...] Read more.
Background/Objective: Oligodeoxynucleotides (ODNs) containing base-labile modifications such as N4-acetyldeoxycytidine (4acC), N6-acetyladenosine (6acA), N2-acetylguanosine (2acG), and N4-methyoxycarbonyldeoxycytidine (4mcC) are highly challenging to synthesize because standard ODN synthesis methods require deprotection and cleavage under strongly basic and nucleophilic conditions, and there is a lack of ideal alternative methods to solve the problem. The objective of this work is to explore the capability of the recently developed 1,3-dithian-2-yl-methoxycarbonyl (Dmoc) method for the incorporation of multiple 4acC modifications into a single ODN molecule and the feasibility of using the method for the incorporation of the 6acA, 2acG and 4mcC modifications into ODNs. Methods: The sensitive ODNs were synthesized on an automated solid phase synthesizer using the Dmoc group as the linker and the methyl Dmoc (meDmoc) group for the protection of the exo-amino groups of nucleobases. Deprotection and cleavage were achieved under non-nucleophilic and weakly basic conditions. Results: The 4acC, 6acA, 2acG, and 4mcC were all found to be stable under the mild ODN deprotection and cleavage conditions. Up to four 4acC modifications were able to be incorporated into a single 19-mer ODN molecule. ODNs containing the 6acA, 2acG, and 4mcC modifications were also successfully synthesized. The ODNs were characterized using RP HPLC, capillary electrophoresis, gel electrophoresis and MALDI MS. Conclusions: Among the modified nucleotides, 4acC has been found in nature and proven beneficial to DNA duplex stability. A method for the synthesis of ODNs containing multiple 4acC modifications is expected to find applications in biological studies involving 4acC. Although 6acA, 2acG, and 4mcC have not been found in nature, a synthetic route to ODNs containing them is expected to facilitate projects aimed at studying their biophysical properties as well as their potential for antisense, RNAi, CRISPR, and mRNA therapeutic applications. Full article
Show Figures

Graphical abstract

16 pages, 1540 KB  
Article
Preliminary Evidence of Enhanced Immunogenicity of Hepatitis B Virus Vaccines When Co-Administered with Calcium Phosphate, Aluminum Hydroxide, and Cytosine Phospho-Guanine Oligodeoxynucleotides Combined Adjuvant in BALB/c Mice
by Oumou Ouattara, Josephine W. Kimani and James H. Kimotho
Immuno 2025, 5(1), 12; https://doi.org/10.3390/immuno5010012 - 14 Mar 2025
Viewed by 1760
Abstract
Hepatitis B virus (HBV) infection is a major public health risk. Despite the introduction of successful vaccines, which are normally single adjuvanted, there are still some drawbacks, including non-responsiveness in certain groups, short durability of immunity, inadequate protection, and the need for additional [...] Read more.
Hepatitis B virus (HBV) infection is a major public health risk. Despite the introduction of successful vaccines, which are normally single adjuvanted, there are still some drawbacks, including non-responsiveness in certain groups, short durability of immunity, inadequate protection, and the need for additional doses to be addressed. This study aimed to develop an optimized combination of Cytosine-phosphate-Guanine Oligonucleotides (CPG-ODN2395, CPG-ODN-18281-2 23 mer) and calcium phosphate, and to assess its immunogenicity and toxicity when co-administrated with the commercial HBV vaccine (BEVAC, containing aluminum hydroxide) and an in-house aluminum hydroxide-adjuvanted HBs purified antigen in Balb/c mice. Tail blood was collected from vaccinated Balb/c mice on days 14 and 28 post-immunization to determine the antibody secretion level using an enzyme-linked immunosorbent assay (ELISA). The Tumor Necrosis Factor (TNF-a) and interleukin-6 (IL-6) cytokine expression levels were assessed through real-time PCR, and the safety profile was checked through biochemical and hematological analysis. Our results showed that the combination of CPG-ODN2395, CPG-ODN 18281-2 23 mer, and CAP significantly enhanced the IgG antibody secretion level (p < 0.0001), which also showed a significant increase in IL-6 expression (p < 0.0001). The safety evaluations revealed no adverse impact on liver and kidney function, with normal ALT, AST, urea, and creatinine levels (p < 0.55). Hematological assessments revealed stable parameters across all groups. This study concludes that combining CpG ODNs and calcium phosphate adjuvants with hepatitis B vaccinations has the potential to enhance a stronger immunological response to hepatitis B infection than single adjuvants. These results highlight the promise of this innovative adjuvant system, necessitating more research in clinical environments to increase vaccine effectiveness and sustained protection against HBV. Full article
Show Figures

Figure 1

16 pages, 4158 KB  
Article
Immunostimulatory Effects of Guanine-Quadruplex Topologies as Scaffolds for CpG Oligodeoxynucleotides
by Soumitra Pathak, Nguyen Bui Thao Le, Taiji Oyama, Yusuke Odahara, Atsuya Momotake, Kazunori Ikebukuro, Chiho Kataoka-Hamai, Chiaki Yoshikawa, Kohsaku Kawakami, Yoshihisa Kaizuka and Tomohiko Yamazaki
Biomolecules 2025, 15(1), 95; https://doi.org/10.3390/biom15010095 - 10 Jan 2025
Viewed by 1868
Abstract
Synthetic cytosine-phosphate-guanine oligodeoxynucleotides (CpG ODNs) are promising candidates for vaccine adjuvants, because they activate immune responses through the Toll-like receptor 9 (TLR9) pathway. However, unmodified CpG ODNs are quickly degraded by serum nucleases, and their negative charge hinders cellular uptake, limiting their clinical [...] Read more.
Synthetic cytosine-phosphate-guanine oligodeoxynucleotides (CpG ODNs) are promising candidates for vaccine adjuvants, because they activate immune responses through the Toll-like receptor 9 (TLR9) pathway. However, unmodified CpG ODNs are quickly degraded by serum nucleases, and their negative charge hinders cellular uptake, limiting their clinical application. Our group previously reported that guanine-quadruplex (G4)-forming CpG ODNs exhibit enhanced stability and cellular uptake. G4 structures can form in parallel, anti-parallel, or hybrid topologies, depending on strand orientation, but the effects of these topologies on CpG ODNs have not yet been explored. In this study, we designed three distinct G4 topologies as scaffolds for CpG ODNs. Among the three topology, the parallel G4 CpG ODN demonstrated the highest serum stability and cellular uptake, resulting in the strongest immune response from macrophage cells. Additionally, we investigated the binding affinities of the different G4 topologies to macrophage scavenger receptor-1 and TLR9, both of which are key to immune activation. These findings provide valuable insights into the development of CpG ODN-based vaccine adjuvants. Full article
(This article belongs to the Section Molecular Medicine)
Show Figures

Figure 1

15 pages, 624 KB  
Perspective
Transcriptional Systems Vaccinology Approaches for Vaccine Adjuvant Profiling
by Diogo Pellegrina, Heather L. Wilson, George K. Mutwiri and Mohamed Helmy
Vaccines 2025, 13(1), 33; https://doi.org/10.3390/vaccines13010033 - 1 Jan 2025
Viewed by 2387
Abstract
Adjuvants are a diverse group of substances that can be added to vaccines to enhance antigen-specific immune responses and improve vaccine efficacy. The first adjuvants, discovered almost a century ago, were soluble crystals of aluminium salts. Over the following decades, oil emulsions, vesicles, [...] Read more.
Adjuvants are a diverse group of substances that can be added to vaccines to enhance antigen-specific immune responses and improve vaccine efficacy. The first adjuvants, discovered almost a century ago, were soluble crystals of aluminium salts. Over the following decades, oil emulsions, vesicles, oligodeoxynucleotides, viral capsids, and other complex organic structures have been shown to have adjuvant potential. However, the detailed mechanisms of how adjuvants enhance immune responses remain poorly understood and may be a barrier that reduces the rational selection of vaccine components. Previous studies on mechanisms of action of adjuvants have focused on how they activate innate immune responses, including the regulation of cell recruitment and activation, cytokine/chemokine production, and the regulation of some “immune” genes. This approach provides a narrow perspective on the complex events involved in how adjuvants modulate antigen-specific immune responses. A comprehensive and efficient way to investigate the molecular mechanism of action for adjuvants is to utilize systems biology approaches such as transcriptomics in so-called “systems vaccinology” analysis. While other molecular biology methods can verify if one or few genes are differentially regulated in response to vaccination, systems vaccinology provides a more comprehensive picture by simultaneously identifying the hundreds or thousands of genes that interact with complex networks in response to a vaccine. Transcriptomics tools such as RNA sequencing (RNA-Seq) allow us to simultaneously quantify the expression of practically all expressed genes, making it possible to make inferences that are only possible when considering the system as a whole. Here, we review some of the challenges in adjuvant studies, such as predicting adjuvant activity and toxicity when administered alone or in combination with antigens, or classifying adjuvants in groups with similar properties, while underscoring the significance of transcriptomics in systems vaccinology approaches to propel vaccine development forward. Full article
(This article belongs to the Section Vaccine Design, Development, and Delivery)
Show Figures

Figure 1

20 pages, 6424 KB  
Article
Osteogenic CpG Oligodeoxynucleotide, iSN40, Inhibits Osteoclastogenesis in a TLR9-Dependent Manner
by Rena Ikeda, Chihaya Kimura, Yuma Nihashi, Koji Umezawa, Takeshi Shimosato and Tomohide Takaya
Life 2024, 14(12), 1572; https://doi.org/10.3390/life14121572 - 30 Nov 2024
Cited by 1 | Viewed by 2085
Abstract
A CpG oligodeoxynucleotide (CpG-ODN), iSN40, was originally identified as promoting the mineralization and differentiation of osteoblasts, independent of Toll-like receptor 9 (TLR9). Since CpG ODNs are often recognized by TLR9 and inhibit osteoclastogenesis, this study investigated the TLR9 dependence and anti-osteoclastogenic effect of [...] Read more.
A CpG oligodeoxynucleotide (CpG-ODN), iSN40, was originally identified as promoting the mineralization and differentiation of osteoblasts, independent of Toll-like receptor 9 (TLR9). Since CpG ODNs are often recognized by TLR9 and inhibit osteoclastogenesis, this study investigated the TLR9 dependence and anti-osteoclastogenic effect of iSN40 to validate its potential as an osteoporosis drug. The murine monocyte/macrophage cell line RAW264.7 was treated with the receptor activator of nuclear factor-κB ligand (RANKL) to induce osteoclast differentiation, then the effect of iSN40 on was quantified by tartrate-resistant acid phosphatase (TRAP) staining and real-time RT-PCR. iSN40 completely inhibited RANKL-induced differentiation into TRAP+ multinucleated osteoclasts by suppressing osteoclastogenic genes and inducing anti-/non-osteoclastogenic genes. Treatment with a TLR9 inhibitor, E6446, or a mutation in the CpG motif of iSN40 abolished the intracellular uptake and anti-osteoclastogenic effect of iSN40. These results demonstrate that iSN40 is subcellularly internalized and is recognized by TLR9 via its CpG motif, modulates RANKL-dependent osteoclastogenic gene expression, and ultimately inhibits osteoclastogenesis. Finally, iSN40 was confirmed to inhibit the osteoclastogenesis of RAW264.7 cells cocultured with the murine osteoblast cell line MC3T3-E1, presenting a model of bone remodeling. This study demonstrates that iSN40, which exerts both pro-osteogenic and anti-osteoclastogenic effects, may be a promising nucleic acid drug for osteoporosis. Full article
(This article belongs to the Special Issue Bone Remodeling)
Show Figures

Figure 1

18 pages, 6495 KB  
Article
FmRbohH Mediates ROS Generation and Enhances Pollen Tube Growth in Fraxinus mandshurica
by Bello Hassan Jakada, Shuqi Wang, Shun Yang, Ying Wu, Zerui Huang, Yunping Liu and Xingguo Lan
Forests 2024, 15(10), 1735; https://doi.org/10.3390/f15101735 - 30 Sep 2024
Cited by 2 | Viewed by 1630
Abstract
Flowering plants require normal pollen germination and growth to be fertilized, but studies on the mechanism regulating pollen tube growth in Fraxinus mandshurica are limited. Here, we used transcriptomic data to study the oxidative phosphorylation pathway during pollen tube growth in Fraxinus mandshurica [...] Read more.
Flowering plants require normal pollen germination and growth to be fertilized, but studies on the mechanism regulating pollen tube growth in Fraxinus mandshurica are limited. Here, we used transcriptomic data to study the oxidative phosphorylation pathway during pollen tube growth in Fraxinus mandshurica. Our study identified 8,734 differentially expressed genes during the stages S1 to S3 of pollen tube growth. Significant enrichment of the oxidative phosphorylation pathway, amino acid synthesis, protein processing in the ER, carbon metabolism, pyruvate metabolism, citrate cycle (TCA cycle), and glycolysis/gluconeogenesis were examined using the Kyoto Encyclopedia of Genes and Genomes, and 58 genes linked to ROS synthesis and scavenging during the S1–S3 stages were identified. Also, H2DCFDA staining confirmed ROS formation in the pollen and the pollen tubes, and treatment with copper (II) chloride (CuCl2) and diphenyleneiodonium (DPI) was shown to reduce ROS in the pollen tube. Reduction in ROS content caused decreased pollen germination and pollen tube length. Furthermore, FmRbohH (respiratory burst oxidase homolog H) expression was detected in the pollen and pollen tube, and an antisense oligodeoxynucleotide assay demonstrated reduced ROS and pollen tube growth in Fraxinus mandshurica. This study shed more light on the RbohH gene functions during pollen tube growth. Full article
(This article belongs to the Section Genetics and Molecular Biology)
Show Figures

Figure 1

18 pages, 4011 KB  
Article
Electroporation Delivery of Cas9 sgRNA Ribonucleoprotein-Mediated Genome Editing in Sheep IVF Zygotes
by Wenhui Pi, Guangyu Feng, Minghui Liu, Cunxi Nie, Cheng Chen, Jingjing Wang, Limin Wang, Pengcheng Wan, Changbin Liu, Yi Liu and Ping Zhou
Int. J. Mol. Sci. 2024, 25(17), 9145; https://doi.org/10.3390/ijms25179145 - 23 Aug 2024
Cited by 13 | Viewed by 4236
Abstract
The utilization of electroporation for delivering CRISPR/Cas9 system components has enabled efficient gene editing in mammalian zygotes, facilitating the development of genome-edited animals. In this study, our research focused on targeting the ACTG1 and MSTN genes in sheep, revealing a threshold phenomenon in [...] Read more.
The utilization of electroporation for delivering CRISPR/Cas9 system components has enabled efficient gene editing in mammalian zygotes, facilitating the development of genome-edited animals. In this study, our research focused on targeting the ACTG1 and MSTN genes in sheep, revealing a threshold phenomenon in electroporation with a voltage tolerance in sheep in vitro fertilization (IVF) zygotes. Various poring voltages near 40 V and pulse durations were examined for electroporating sheep zygotes. The study concluded that stronger electric fields required shorter pulse durations to achieve the optimal conditions for high gene mutation rates and reasonable blastocyst development. This investigation also assessed the quality of Cas9/sgRNA ribonucleoprotein complexes (Cas9 RNPs) and their influence on genome editing efficiency in sheep early embryos. It was highlighted that pre-complexation of Cas9 proteins with single-guide RNA (sgRNA) before electroporation was essential for achieving a high mutation rate. The use of suitable electroporation parameters for sheep IVF zygotes led to significantly high mutation rates and heterozygote ratios. By delivering Cas9 RNPs and single-stranded oligodeoxynucleotides (ssODNs) to zygotes through electroporation, targeting the MSTN (Myostatin) gene, a knock-in efficiency of 26% was achieved. The successful generation of MSTN-modified lambs was demonstrated by delivering Cas9 RNPs into IVF zygotes via electroporation. Full article
(This article belongs to the Section Molecular Genetics and Genomics)
Show Figures

Figure 1

16 pages, 4147 KB  
Article
BP1003 Decreases STAT3 Expression and Its Pro-Tumorigenic Functions in Solid Tumors and the Tumor Microenvironment
by Maria Gagliardi, Rhonda Kean, Bingbing Dai, Jithesh Jose Augustine, Michael Roberts, Jason Fleming, D. Craig Hooper and Ana Tari Ashizawa
Biomedicines 2024, 12(8), 1901; https://doi.org/10.3390/biomedicines12081901 - 20 Aug 2024
Cited by 2 | Viewed by 2261
Abstract
Overexpression and aberrant activation of signal transducer and activator of transcription 3 (STAT3) contribute to tumorigenesis, drug resistance, and tumor-immune evasion, making it a potential cancer therapeutic target. BP1003 is a neutral liposome incorporated with a nuclease-resistant P-ethoxy antisense oligodeoxynucleotide (ASO) targeting the [...] Read more.
Overexpression and aberrant activation of signal transducer and activator of transcription 3 (STAT3) contribute to tumorigenesis, drug resistance, and tumor-immune evasion, making it a potential cancer therapeutic target. BP1003 is a neutral liposome incorporated with a nuclease-resistant P-ethoxy antisense oligodeoxynucleotide (ASO) targeting the STAT3 mRNA. Its unique design enhances BP1003 stability, cellular uptake, and target affinity. BP1003 efficiently reduces STAT3 expression and enhances the sensitivity of breast cancer cells (HER2+, triple negative) and ovarian cancer cells (late stage, invasive ovarian cancer) to paclitaxel and 5-fluorouracil (5-FU) in both 2D and 3D cell cultures. Similarly, ex vivo and in vivo patient-derived models of pancreatic ductal adenocarcinoma (PDAC) show reduced tissue viability and tumor volume with BP1003 and gemcitabine combination treatments. In addition to directly affecting tumor cells, BP1003 can modulate the tumor microenvironment. Unlike M1 differentiation, monocyte differentiation into anti-inflammatory M2 macrophages is suppressed by BP1003, indicating its potential contribution to immunotherapy. The broad anti-tumor effect of BP1003 in numerous preclinical solid tumor models, such as breast, ovarian, and pancreatic cancer models shown in this work, makes it a promising cancer therapeutic. Full article
(This article belongs to the Section Cancer Biology and Oncology)
Show Figures

Graphical abstract

16 pages, 3486 KB  
Article
Effects of Synthetic Toll-Like Receptor 9 Ligand Molecules on Pulpal Immunomodulatory Response and Repair after Injuries
by Angela Quispe-Salcedo, Tomohiko Yamazaki and Hayato Ohshima
Biomolecules 2024, 14(8), 931; https://doi.org/10.3390/biom14080931 - 1 Aug 2024
Cited by 3 | Viewed by 1958
Abstract
Synthetic oligodeoxynucleotides (ODNs) containing unmethylated cytosine–phosphate–guanine (CpG) motifs (CpG-ODNs) are ligand molecules for Toll-like receptor 9 (TLR9), which is expressed by odontoblasts in vitro and dental pulp cells. This study determined the effects of CpG-ODNs on pulpal immunomodulatory response and repair following injury. [...] Read more.
Synthetic oligodeoxynucleotides (ODNs) containing unmethylated cytosine–phosphate–guanine (CpG) motifs (CpG-ODNs) are ligand molecules for Toll-like receptor 9 (TLR9), which is expressed by odontoblasts in vitro and dental pulp cells. This study determined the effects of CpG-ODNs on pulpal immunomodulatory response and repair following injury. Briefly, the upper right first molars of three-week-old mice were extracted, immersed in Type A (D35) or B (K3) CpG-ODN solutions (0.1 or 0.8 mM) for 30 min, and then replanted. Pulpal healing and immunomodulatory activity were assessed by hematoxylin–eosin and AZAN staining, as well as immunohistochemistry. One week following the operation, inflammatory reactions occurred in all of the experimental groups; however, re-revascularization and newly formed hard tissue deposition were observed in the pulp chamber of all groups at week 2. A positive trend in the expression of immune cell markers was observed toward the CpG-ODN groups at 0.1 mM. Our data suggest that synthetic CpG-ODN solutions at low concentrations may evoke a long-lasting macrophage–TLR9-mediated pro-inflammatory, rather than anti-inflammatory, response in the dental pulp to modulate the repair process and hard tissue formation. Further studies are needed to determine the effects of current immunomodulatory agents in vitro and in vivo and develop treatment strategies for dental tissue regeneration. Full article
Show Figures

Figure 1

14 pages, 1267 KB  
Article
Sensing of an HIV-1–Derived Single-Stranded RNA-Oligonucleotide Induces Arginase 1-Mediated Tolerance
by Chiara Suvieri, Giada Mondanelli, Ciriana Orabona, Maria Teresa Pallotta, Eleonora Panfili, Sofia Rossini, Claudia Volpi and Maria Laura Belladonna
Cells 2024, 13(13), 1088; https://doi.org/10.3390/cells13131088 - 23 Jun 2024
Viewed by 1620
Abstract
Small synthetic oligodeoxynucleotides (ODNs) can mimic microbial nucleic acids by interacting with receptor systems and promoting immunostimulatory activities. Nevertheless, some ODNs can act differently on the plasmacytoid dendritic cell (pDC) subset, shaping their immunoregulatory properties and rendering them suitable immunotherapeutic tools in several [...] Read more.
Small synthetic oligodeoxynucleotides (ODNs) can mimic microbial nucleic acids by interacting with receptor systems and promoting immunostimulatory activities. Nevertheless, some ODNs can act differently on the plasmacytoid dendritic cell (pDC) subset, shaping their immunoregulatory properties and rendering them suitable immunotherapeutic tools in several clinical settings for treating overwhelming immune responses. We designed HIV–1–derived, DNA- and RNA-based oligonucleotides (gag, pol, and U5 regions) and assessed their activity in conferring a tolerogenic phenotype to pDCs in skin test experiments. RNA-but not DNA-oligonucleotides are capable of inducing tolerogenic features in pDCs. Interestingly, sensing the HIV–1–derived single-stranded RNA-gag oligonucleotide (RNA-gag) requires both TLR3 and TLR7 and the engagement of the TRIF adaptor molecule. Moreover, the induction of a suppressive phenotype in pDCs by RNA-gag is contingent upon the induction and activation of the immunosuppressive enzyme Arginase 1. Thus, our data suggest that sensing of the synthetic RNA-gag oligonucleotide in pDCs can induce a suppressive phenotype in pDCs, a property rendering RNA-gag a potential tool for therapeutic strategies in allergies and autoimmune diseases. Full article
(This article belongs to the Collection Feature Papers in ‘Cellular Immunology’)
Show Figures

Graphical abstract

Back to TopTop