Sign in to use this feature.

Years

Between: -

Subjects

remove_circle_outline
remove_circle_outline
remove_circle_outline
remove_circle_outline
remove_circle_outline
remove_circle_outline

Journals

Article Types

Countries / Regions

Search Results (126)

Search Parameters:
Keywords = octogenarians

Order results
Result details
Results per page
Select all
Export citation of selected articles as:
14 pages, 1186 KB  
Article
Clinical Outcomes of Cardiac Implantable Electronic Device Infections in Octogenarians: A 20-Year Retrospective Cohort Study
by Sameer Al-Maisary, Migdat Mustafi, Gabriele Romano, Matthias Karck, Rawa Arif, Patricia Kraft and Mario Jesus Guzman-Ruvalcaba
J. Clin. Med. 2026, 15(8), 2996; https://doi.org/10.3390/jcm15082996 - 15 Apr 2026
Viewed by 150
Abstract
Background: The global demographic shift towards an aging population has driven a steady, exponential increase in the utilization of cardiac implantable electronic devices (CIEDs). Consequently, device-related infectious complications have emerged as a leading cause of morbidity and healthcare expenditure. Patients in their eighth [...] Read more.
Background: The global demographic shift towards an aging population has driven a steady, exponential increase in the utilization of cardiac implantable electronic devices (CIEDs). Consequently, device-related infectious complications have emerged as a leading cause of morbidity and healthcare expenditure. Patients in their eighth decade of life—octogenarians (aged 80–90 years)—represent an exceptionally high-risk demographic due to the compounding factors of physiological frailty, immunosenescence, and complex multi-morbidity. Despite this growing demographic, their specific clinical presentations, microbiological profiles, and procedural outcomes following infection remain poorly defined in the current literature. This study aimed to comprehensively compare the clinical characteristics, pathogen distribution, and in-hospital outcomes of CIED infections in an octogenarian cohort against a younger patient population. Methods: We conducted a robust retrospective cohort analysis of 383 consecutive patients treated for confirmed CIED infections at one major tertiary referral center (Heidelberg University Hospital) between January 2002 and December 2022. The cohort was stratified by age into octogenarians (n = 76) and a younger control group (n = 307). We systematically extracted and compared data regarding baseline clinical presentation, chronic comorbidities, detailed microbiological cultures (pocket, blood, and extracted leads), and definitive in-hospital outcomes, primarily mortality and length of stay. Results: The octogenarian cohort exhibited a significantly heavier comorbidity burden, notably higher rates of coronary artery disease (51.3% vs. 29.6%, p < 0.001), systemic hypertension (55.3% vs. 38.1%, p = 0.007), and chronic obstructive pulmonary disease (7.9% vs. 1.6%, p = 0.003). Furthermore, therapeutic systemic anticoagulant use was substantially more prevalent in the elderly group (60.5% vs. 45.0%, p = 0.015). Octogenarians presented overwhelmingly with localized generator pocket infections (73.0% vs. 30.0%, p < 0.001) but paradoxically also demonstrated higher rates of systemic bacteremia and sepsis (26.3% vs. 15.0%, p = 0.019). Microbiological analysis revealed a unique pathogen profile, with Staphylococcus capitis found with significantly higher frequency in the generator pockets of the elderly cohort. Remarkably, despite possessing a higher average lead burden (2.1 vs. 1.2 leads) and extreme comorbidity profiles, octogenarians demonstrated no statistically significant differences in in-hospital mortality (3.9% vs. 4.2%, p = 1.000) or overall length of hospital stay (14.7 vs. 17.2 days, p = 0.386) when compared to the younger cohort. Conclusions: Octogenarians suffering from CIED infections display highly distinct clinical and microbiological profiles, characterized predominantly by elevated rates of localized pocket infections, specific opportunistic pathogens, and a severe underlying comorbidity burden. Crucially, our findings indicate that with the application of modern extraction and management protocols, advanced age alone does not intrinsically correlate with increased in-hospital mortality. Future prevention and perioperative management strategies tailored to this rapidly expanding demographic must heavily prioritize the mitigation of pocket-related complications, particularly considering the high prevalence of concurrent anticoagulation therapy. Full article
(This article belongs to the Section Cardiovascular Medicine)
Show Figures

Figure 1

11 pages, 222 KB  
Article
Hepatectomy for Hepatocellular Carcinoma in Elderly Patients: Perioperative Outcomes in the Modern Minimally Invasive Era
by Byeong Gwan Noh, Young Mok Park, Myunghee Yoon, Hyung Il Seo, Myeong Hun Oh, Suk Kim and Seung Baek Hong
J. Clin. Med. 2026, 15(7), 2753; https://doi.org/10.3390/jcm15072753 - 5 Apr 2026
Viewed by 346
Abstract
Background: As life expectancy increases, a growing number of elderly patients are considered for curative hepatectomy for hepatocellular carcinoma (HCC). However, perioperative outcomes in elderly patients in the contemporary era of minimally invasive liver surgery remain incompletely defined. Methods: We retrospectively reviewed 277 [...] Read more.
Background: As life expectancy increases, a growing number of elderly patients are considered for curative hepatectomy for hepatocellular carcinoma (HCC). However, perioperative outcomes in elderly patients in the contemporary era of minimally invasive liver surgery remain incompletely defined. Methods: We retrospectively reviewed 277 consecutive patients who underwent elective curative hepatectomy for HCC between 2019 and 2023. Outcomes were compared using age thresholds of ≥75 and ≥80 years. The primary endpoints were 90-day mortality and major postoperative complications (Clavien–Dindo grade ≥ III). Multivariable logistic regression identified predictors of major complications. Results: Elderly patients had more comorbidities, whereas liver function, tumor characteristics, and extent of resection were comparable across age groups. Laparoscopic hepatectomy was performed more frequently in patients aged ≥80 years. Major complication rates and 90-day mortality were similar regardless of age, with no deaths among patients aged ≥75 or ≥80 years. Age ≥75 years, higher ALBI score, major comorbidities, and longer Pringle maneuver time were independently associated with major postoperative complications. Conclusions: Hepatectomy for hepatocellular carcinoma may be performed with acceptable short-term outcomes in carefully selected elderly patients, including octogenarians. Chronological age alone should not be considered an absolute contraindication to surgery, although findings should be interpreted with caution. Full article
Show Figures

Graphical abstract

14 pages, 2572 KB  
Systematic Review
Robotic Pancreaticoduodenectomy in Elderly vs. Younger Patients: Systematic Review with Meta-Analysis
by Dimosthenis Chrysikos, Nikolaos Taprantzis, Spiros Delis, Amir Shihada, Alexandros Samolis and Theodore Troupis
J. Clin. Med. 2026, 15(7), 2744; https://doi.org/10.3390/jcm15072744 - 5 Apr 2026
Viewed by 230
Abstract
Background: As life expectancy increases, more elderly patients require a pancreaticoduodenectomy (PD). While minimally invasive approaches are preferred, data indicating the safety of robotic PD in elderly patients remains limited. This study compares operative outcomes of robotic PD in elderly versus younger [...] Read more.
Background: As life expectancy increases, more elderly patients require a pancreaticoduodenectomy (PD). While minimally invasive approaches are preferred, data indicating the safety of robotic PD in elderly patients remains limited. This study compares operative outcomes of robotic PD in elderly versus younger patients to define its oncological role. Material and Methods: A systematic search of PubMed, Embase, Web of Science, and Scopus identified studies comparing robotic pancreaticoduodenectomy in elderly versus younger patients. Robotic-exclusive cohorts were analyzed for perioperative outcomes, complications, and mortality. A meta-analysis was performed using R to calculate pooled prevalences, Odds Ratios (ORs) and Weighted Mean Differences (WMDs). Results: Elderly patients experienced significantly longer operative times (MD = 11.4 min) and hospital stays (MD = 7.76 days). They demonstrated higher odds of severe complications (Clavien–Dindo ≥ III: OR = 2.20), delayed gastric emptying (DGE) (OR = 2.34), and mortality (OR = 3.42). There were no significant differences in blood loss, transfusions, overall complications, pancreatic fistulae, bile leakage, hemorrhage, infection, readmission, or reoperation. Notably, age-stratified subgroup analyses revealed a distinct risk divergence: studies using an 80-year cutoff reported significantly higher odds of mortality and DGE, whereas 70-year-threshold studies demonstrated more pronounced odds for severe and overall complications. Conclusions: While robotic pancreaticoduodenectomy is feasible in elderly patients with comparable intraoperative blood loss and overall complication rates to younger patients, it does not eliminate all age-related risks. Elderly patients remain at significantly higher risk for severe complications and mortality. Therefore, robotic application in this demographic requires rigorous preoperative assessment, utilizing age as an initial risk-stratifier while allowing physiological reserve to determine final surgical candidacy. Full article
(This article belongs to the Special Issue New Concepts in Diagnostic and Surgical HPB Technology)
Show Figures

Figure 1

14 pages, 263 KB  
Article
The Feasibility of Uniportal Video-Assisted Thoracic Surgery in Octogenarians: A Propensity-Matched Comparative Analysis
by Fahim Kanani, Leonardo Chamovitz, Rijini Nugzar, Mohammad Mohtaseb, Anas Salhab, Mordechai Shimonov and Firas Abu Akar
Surg. Tech. Dev. 2026, 15(1), 12; https://doi.org/10.3390/std15010012 - 17 Mar 2026
Viewed by 385
Abstract
Objectives: To evaluate the short-term safety (30-day and in-hospital morbidity and mortality) and technical feasibility of uniportal video-assisted thoracic surgery (U-VATS) for anatomical lung resection in octogenarians (≥80 years) compared with younger patients (<80 years) at a single center. Methods: Ninety consecutive patients [...] Read more.
Objectives: To evaluate the short-term safety (30-day and in-hospital morbidity and mortality) and technical feasibility of uniportal video-assisted thoracic surgery (U-VATS) for anatomical lung resection in octogenarians (≥80 years) compared with younger patients (<80 years) at a single center. Methods: Ninety consecutive patients undergoing U-VATS anatomical lung resections between January 2020 and January 2024 were retrospectively analyzed. Patients were stratified by age: 60 patients < 80 years and 30 octogenarians ≥ 80 years. Propensity score matching (nearest-neighbor, 1:2 ratio, caliper 0.2 SD) yielded a matched cohort of 60 patients (40 younger, 20 octogenarians) for comparative analysis. Results: After matching, standardized mean differences (SMD) were <0.25 for most covariates, indicating good balance. Octogenarians demonstrated lower FEV1 (75.2 ± 15.3% vs. 87.5 ± 18.2%, p = 0.012) and DLCO (68.4 ± 12.1% vs. 78.5 ± 14.3%, p = 0.009), consistent with age-related pulmonary changes. Charlson Comorbidity Index was higher (5.3 ± 1.2 vs. 3.8 ± 1.4, p = 0.001). Surgical parameters were comparable: operative time (143.80 ± 42.3 vs. 136.55 ± 38.7 min, p = 0.524), blood loss (median 80 [IQR 50–120] vs. 95 [IQR 60–130] mL, p = 0.742). Zero conversions occurred. Major complications (Clavien–Dindo ≥ 3) occurred in 10% vs. 0% (absolute risk difference 10%, 95% CI: −3.2% to 23.2%). No 30-day mortality. 90-day mortality: 5% vs. 0% (p = 0.333); one-year: 15% vs. 0% (p = 0.035). Conclusions: U-VATS is technically feasible in carefully selected octogenarians with comparable intraoperative parameters to younger patients. Postoperative recovery differed meaningfully, with higher delirium rates, longer hospitalization, and greater rehabilitation needs. One-year mortality was higher in octogenarians, reflecting competing comorbid risk rather than surgical harm. Residual imbalance in comorbidity burden and pulmonary reserve after matching limits causal inference. These hypothesis-generating findings support U-VATS in selected octogenarians when comprehensive geriatric assessment and structured delirium prevention guide perioperative management; validation in larger multicenter prospective studies is required. Full article
11 pages, 245 KB  
Article
Uniportal-VATS for Early-Stage NSCLC in Octogenarians: A Single-Center, Retrospective Study of Surgical and Short-Term Oncological Outcomes
by Dania Nachira, Alessia Senatore, Giovanni Punzo, Maria Letizia Vita, Maria Teresa Congedo, Khrystyna Kuzmych, Leonardo Petracca-Ciavarella, Filippo Lococo, Elisa Meacci and Stefano Margaritora
J. Pers. Med. 2026, 16(3), 155; https://doi.org/10.3390/jpm16030155 - 7 Mar 2026
Viewed by 547
Abstract
Background/Objectives: This study aimed to assess the safety and efficacy of lung surgery for the treatment of early-stage non-small cell lung cancer (NSCLC) in octogenarians, with a specific focus on the Uniportal-VATS approach, evaluating surgical outcomes and short-term oncological results within a precision [...] Read more.
Background/Objectives: This study aimed to assess the safety and efficacy of lung surgery for the treatment of early-stage non-small cell lung cancer (NSCLC) in octogenarians, with a specific focus on the Uniportal-VATS approach, evaluating surgical outcomes and short-term oncological results within a precision medicine perspective. Methods: This retrospective, single-center study included octogenarian patients who underwent surgical treatment for early-stage NSCLC between January 2018 and March 2024. Among 1329 patients treated during the study period, 136 octogenarians were carefully evaluated by a multidisciplinary board and selected for surgical management. Results: The mean age was 82.41 ± 2.72 years, with a prevalence of men (63.2%). In 107 (78.7%) cases, lung resection was performed using the Uniportal-video-assisted thoracic surgery (U-VATS) approach. Overall, 71 lobectomies (52.2%) and 65 segmentectomies or wedge resections (47.8%) were performed, balancing oncological radicality with comorbidities. Only minor complications occurred, such as atelectasis (2.9%), atrial fibrillation (4.4%), pneumonia (1.5%), or air-leakage (2.2%). Factors significantly associated with postoperative complications included open approach (p = 0.014), lobectomy as the extent of resection (p = 0.008), and chronic obstructive pulmonary disease (COPD) (p = 0.010). On multivariable analysis, lobectomy remained the only independent predictor for postoperative complications (OR: 5.95, 95% CI [1.24–28.62], p = 0.026). In-hospital and 90-day mortality were null. The median length of hospital stay in octogenarians was 6 days and was significantly shorter in the Uniportal-VATS group compared with the open surgery one (p < 0.001). All patients were discharged home independently. One- and three-year overall survival rates were 88% and 71%, respectively. No risk factor was associated with mortality in our series. Conclusions: Lung surgery, particularly the Uniportal-VATS approach, appears to be a safe and effective treatment option for octogenarian patients with early-stage NSCLC, provided that patient selection is carefully based on individual clinical characteristics within a multidisciplinary framework based on individualized risk stratification. When feasible, sublobar resection should be preferred in order to minimize postoperative complications. Full article
(This article belongs to the Special Issue Personalized Cardiothoracic Surgery: Treatment and Management)
14 pages, 909 KB  
Article
Real-World Results of Curative Open Colorectal Cancer Surgery in Octogenarians: Long-Term Survival Despite High Frailty Burden
by Stefan Morarasu, Bogdan Condurache, Cristian Ene Roata, Ana Maria Musina, Wee Liam Ong, Gabriel Mihail Dimofte and Sorinel Lunca
Med. Sci. 2026, 14(1), 101; https://doi.org/10.3390/medsci14010101 - 19 Feb 2026
Viewed by 425
Abstract
Background: Octogenarians represent a rapidly growing subgroup of patients with colorectal cancer, yet evidence guiding perioperative risk stratification and long-term outcomes after major colorectal surgery remains limited. This study aimed to evaluate perioperative and survival outcomes in octogenarians undergoing curative open colorectal [...] Read more.
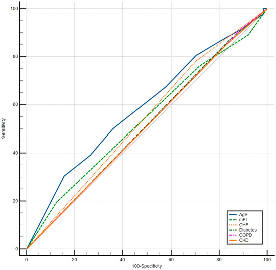
Background: Octogenarians represent a rapidly growing subgroup of patients with colorectal cancer, yet evidence guiding perioperative risk stratification and long-term outcomes after major colorectal surgery remains limited. This study aimed to evaluate perioperative and survival outcomes in octogenarians undergoing curative open colorectal surgery. Methods: This single-center observational cohort study included consecutive patients aged ≥80 years who underwent curative open colorectal cancer surgery between 2013 and 2024. Frailty was assessed using the 5-item modified frailty index (mFI-5). Postoperative morbidity, 30-day mortality, and long-term overall survival were analyzed. Outcomes were compared between colon and rectal resections. Exploratory discrimination analyses assessed the ability of age, frailty, and major comorbidities to identify postoperative morbidity. Survival was assessed using Kaplan–Meier analysis. Results: A total of 112 patients were included (mean age 83.1 ± 2.8 years; 54.5% male), of whom 90.2% were classified as frail (mFI-5 ≥ 1). Overall postoperative morbidity occurred in 41.9% of patients and 30-day mortality was 4.5%. No significant differences in morbidity or mortality were observed between colon and rectal resections. ROC analyses demonstrated limited discriminatory ability for postoperative morbidity across all evaluated variables, with age showing the highest AUC at 0.590. Estimated OS at 1, 3, and 5 years was 81.8%, 72.7%, and 58.2% in non-frail patients and 86.1%, 64.7%, and 47.0% in frail patients, respectively (log-rank p = 0.841). Conclusions: Major open colorectal surgery in octogenarians is associated with acceptable perioperative morbidity and mortality and favorable long-term survival despite high frailty burden. Full article
Show Figures

Figure 1

16 pages, 3877 KB  
Systematic Review
Meta-Analysis of Short-Term Outcomes After Robotic Pancreaticoduodenectomy in Octogenarians
by Ahmed Hassan, Martyn Charles Stott, Sarthak Jain, Vasileios Kotsarinis, Hadiyat A. Ogunlayi, Lydia Loutzidou, Dimitrios Vouros, Amr Ebrahim, Shahin Hajibandeh, Shahab Hajibandeh, Jacob Kadamapuzha and Thomas Satyadas
Geriatrics 2026, 11(1), 19; https://doi.org/10.3390/geriatrics11010019 - 13 Feb 2026
Viewed by 526
Abstract
Background/Objectives: To evaluate short-term postoperative outcomes in octogenarians undergoing robotic pancreaticoduodenectomy. Methods: In compliance with the PRISMA statement standards, a systematic review and random-effects meta-analysis was conducted. All studies reporting short-term postoperative outcomes in patients aged ≥ 80 undergoing robotic pancreaticoduodenectomy were included [...] Read more.
Background/Objectives: To evaluate short-term postoperative outcomes in octogenarians undergoing robotic pancreaticoduodenectomy. Methods: In compliance with the PRISMA statement standards, a systematic review and random-effects meta-analysis was conducted. All studies reporting short-term postoperative outcomes in patients aged ≥ 80 undergoing robotic pancreaticoduodenectomy were included and analyzed. Results: A total of 321 octogenarians from five studies were included. The mean operative time was 459.7 min (95% CI 398.6–520.8) and the estimated intraoperative blood loss was 216.1 mL (95% CI 147.4–284.8). Conversion to open occurred in 3.8% (95% CI 0.0–7.7). The risk of postoperative mortality was 4.5% (95% CI 1.7–7.2) and Clavien-Dindo grade ≥ III (major) complications occurred in 28.0% (95% CI 22.9–33.1). The risk of grade B or C postoperative pancreatic fistula was 10% (95% CI 6.5–13.5). The hospital stay was 14.9 days (95% CI 10.2–19.5). The risk of reoperation and readmission were 8.0% (95% CI 4.4–11.7) and 25.6% (95% CI 16.9–34.3), respectively. Compared to patients aged <80, the risk of major complications was higher (OR: 1.81, p = 0.010) and hospital stay was longer (MD: 5.19 days, p = 0.030) in octogenarians. Compared to the open approach, robotic approach was associated with longer operative time (MD: 137.08 min, p = 0.0009), less intraoperative blood loss (MD: −246.00 mL, p = 0.010), and lower major complications (OR: 0.62, p = 0.020). Conclusions: Subject to selection and confounding bias, robotic pancreaticoduodenectomy may be safe with acceptable postoperative mortality and morbidity in highly selected octogenarians with good performance status. The results of the current study can be used for hypothesis synthesis and power analysis in future comparative studies. Full article
Show Figures

Figure 1

10 pages, 354 KB  
Article
Interactions Between BMI and Age on Fall Risk in Older Adults
by Filipe Rodrigues, Diogo Monteiro, António Miguel Monteiro and Pedro Forte
Epidemiologia 2026, 7(1), 18; https://doi.org/10.3390/epidemiologia7010018 - 2 Feb 2026
Viewed by 657
Abstract
Background/Objectives: The aging process is typically marked by a reduction in functional fitness, which heightens the likelihood of falling. Although obesity is established as a determinant of poor mobility, the interplay between excess weight and advanced age is still a topic of research [...] Read more.
Background/Objectives: The aging process is typically marked by a reduction in functional fitness, which heightens the likelihood of falling. Although obesity is established as a determinant of poor mobility, the interplay between excess weight and advanced age is still a topic of research interest. Therefore, this research investigated how age, sex, and Body Mass Index (BMI) interact to influence fall risk among older adults living in the community. Methods: This cross-sectional investigation involved 815 participants (Mage = 70.45 ± 6.10 years), stratified by age (sexagenarians, septuagenarians, octogenarians) and BMI (normal weight, overweight, obesity). Fall risk was assessed using the Timed Up and Go test. A Three-Way ANOVA examined the main and interaction effects. Results: No significant three-way interaction (p = 0.334) or main effect of sex (p = 0.079) was found. However, a significant age x BMI interaction was observed (p = 0.007). In sexagenarians and septuagenarians, obesity was associated with significantly slower fall risk performance compared to normal weight (p < 0.001). Conversely, in octogenarians, this difference was not significant (p = 1.000) with normal-weight individuals. Conclusions: Obesity may be a significant risk factor for falls, especially in adults aged 60 to 79 years. In octogenarians, the protective benefit of normal weight disappears, revealing a “weight paradox” likely driven by sarcopenia. Fall risk assessments and weight management strategies should be tailored to age, focusing on preserving muscle mass in octogenarians. Full article
Show Figures

Figure 1

11 pages, 876 KB  
Article
Robust Adaptive Immunity to MPXV in Older People Who Received Childhood Vaccinia Vaccination
by Chris Davis, Jianmin Zuo, Rachel Bruton, Marie Hodges, Tom Roberts, Maria Manali, Paula Olmo, Brian Willett, Paul Moss and Helen Parry
Biology 2026, 15(3), 234; https://doi.org/10.3390/biology15030234 - 26 Jan 2026
Viewed by 710
Abstract
Monkeypox virus (MPXV) is a zoonotic Orthopoxvirus responsible for Monkeypox (Mpox), historically associated with sporadic zoonotic transmission but increasingly characterised by sustained human-to-human spread. While vaccinia-based vaccination is known to confer cross-protection against MPXV, the durability of such immunity over a human lifetime [...] Read more.
Monkeypox virus (MPXV) is a zoonotic Orthopoxvirus responsible for Monkeypox (Mpox), historically associated with sporadic zoonotic transmission but increasingly characterised by sustained human-to-human spread. While vaccinia-based vaccination is known to confer cross-protection against MPXV, the durability of such immunity over a human lifetime remains incompletely characterised. Here, we assessed humoral and cellular immune responses to MPXV in octogenarians and nonagenarians vaccinated against smallpox during childhood. Twenty-three adults aged 79–94 years (median 83), who self-reported childhood vaccinia vaccination between 1925 and 1940, were recruited. MPXV-specific antibody responses were evaluated using ELISA, targeting homologous vaccinia and MPXV proteins, and live-virus neutralisation assays. Cellular immunity was assessed by IFN-γ ELISpot following stimulation with peptide pools derived from highly conserved vaccinia antigens. Responses were also obtained from younger, recently MVA–BN-vaccinated and unvaccinated control donors. All historically vaccinated participants exhibited MPXV-reactive IgG responses, with antibody binding and neutralisation levels comparable to recently vaccinated individuals. Functional neutralising activity against MPXV was detected in all donors, with ≥50% neutralisation observed in 78% of participants. Antibody concentrations correlated strongly with neutralisation capacity. T-cell responses were detectable in all historically vaccinated donors, most prominently against the major core protein A10L, although reduced magnitudes were observed in participants over 90 years of age. No MPXV-specific humoral or cellular responses were detected in unvaccinated controls. These findings demonstrate that childhood vaccinia vaccination induces durable humoral and cellular immunity against MPXV persisting for over seven decades. Historical smallpox vaccination status may therefore remain a relevant determinant of protection against Mpox. Full article
(This article belongs to the Section Infection Biology)
Show Figures

Figure 1

22 pages, 2221 KB  
Article
Cytokines Adsorption During Ex Situ Machine Perfusion of Liver Grafts from Elderly Donors: A Pilot, Prospective, Randomized Study
by Giulia Cirillo, Lorenzo Bernardi, Daniele Pezzati, Maria Franzini, Emanuele Balzano, Giovanni Tincani, Jessica Bronzoni, Caterina Martinelli, Arianna Trizzino, Lorenzo Petagna, Paola Carrai, Stefania Petruccelli, Ranka Vukotic, Erlis Uruci, Matilde Masini, Serena Babboni, Serena Del Turco, Riccardo Morganti, Vincenzo De Tata, Aldo Paolicchi, Giandomenico Biancofiore, Adriano Peris, Chiara Lazzeri, Giuseppina Basta and Davide Ghinolfiadd Show full author list remove Hide full author list
Life 2026, 16(1), 167; https://doi.org/10.3390/life16010167 - 20 Jan 2026
Cited by 1 | Viewed by 570
Abstract
Ischemia–reperfusion injury (IRI) is a mechanism based on inflammatory mediators’ release and activation of effectors of damage. Studies showed a correlation between cytokine, severity of damage, and post-operative outcomes. Ex situ perfusion may work as a platform for the treatment of IRI mechanisms, [...] Read more.
Ischemia–reperfusion injury (IRI) is a mechanism based on inflammatory mediators’ release and activation of effectors of damage. Studies showed a correlation between cytokine, severity of damage, and post-operative outcomes. Ex situ perfusion may work as a platform for the treatment of IRI mechanisms, such as the removal of cytokines using cytokine adsorption (CA). We assessed the safety and benefits of an integrated CA during ex situ dual-oxygenated hypothermic (D-HOPE) and normothermic perfusion (NMP). During the period of July 2021–December 2023, 84 octogenarian liver grafts, suitable for transplantation, were considered: 12 were randomized to D-HOPE or NMP with or without CA (D-HOPE + CA, D-HOPE, NMP + CA, NMP groups, n = 3 each) and compared to 72 performed using grafts preserved in static cold storage (SCS). IL-1, IL-6, IL-10, and TNF-a perfusate concentrations were evaluated together with perfusion parameters and post-operative outcomes. Perfusion procedures were unaffected by CA integration. In NMP, cytokine levels were 10–40 times higher than in healthy subjects and 20–50 times higher than D-HOPE. Cytokines were removed both in D-HOPE and NMP, but the concentration-dependent mechanisms of action of CA led to more remarkable removal in NMP. IL-10 and TNF-a concentrations were significantly lower in NMP + CA than in NMP. The application of CA was associated with significantly higher arterial flows both in D-HOPE and NMP, and reduced neutrophil infiltration in NMP. No differences in post-operative outcomes were found among groups. In conclusion, cytokine adsorption during ex situ machine perfusion of liver grafts from elderly donors is safe and feasible and is associated with modulation of inflammatory mediators and perfusion dynamics. These findings are hypothesis-generating, and larger studies are required to determine the clinical impact of this strategy. Full article
(This article belongs to the Special Issue Transformative Technologies in Liver Transplantation)
Show Figures

Figure 1

17 pages, 665 KB  
Article
Respiratory and Pleural Pathogens in Octogenarians Hospitalized with COVID-19: Impact of Secondary Bacterial Pneumonia on Day-5 SOFA and Mortality
by Petrinela Daliu, Felix Bratosin, Ovidiu Rosca, Monica Licker, Elena Hogea, Livia Stanga, Camelia Vidita Gurban and Delia Muntean
Microorganisms 2026, 14(1), 164; https://doi.org/10.3390/microorganisms14010164 - 12 Jan 2026
Viewed by 438
Abstract
Background and Objectives: Secondary bacterial infection drives poor outcomes in older adults with COVID-19, but age-specific microbiology and its interaction with severity scores are not well defined. We characterized respiratory and pleural pathogens, resistance profiles, and their impact on day-5 SOFA/APACHE II in [...] Read more.
Background and Objectives: Secondary bacterial infection drives poor outcomes in older adults with COVID-19, but age-specific microbiology and its interaction with severity scores are not well defined. We characterized respiratory and pleural pathogens, resistance profiles, and their impact on day-5 SOFA/APACHE II in octogenarians versus younger adults. Methods: We performed a retrospective cohort study of adults with RT-PCR-confirmed coronavirus disease 2019 (COVID-19) at a tertiary infectious diseases center (≥80 years, n = 152; <65 years, n = 327). Respiratory and pleural samples were processed according to EUCAST standards. Identification employed matrix-assisted laser desorption/ionization time-of-flight mass spectrometry (MALDI-TOF MS). Pathogen distributions, susceptibilities, and rates of superimposed pneumonia, empyema, and bacteremia were compared by age, and associations between secondary pneumonia, day-5 SOFA/APACHE II, and 28-day mortality were analyzed. Results: Sputum was obtained in 67.1% of older and 65.7% of younger adults, with numerically higher culture positivity in older patients (73.5% vs. 65.1%). Pathogen spectra were similar, dominated by Streptococcus pneumoniae (24.0% vs. 24.3%), methicillin-susceptible Staphylococcus aureus (MSSA) (18.7% vs. 20.7%), methicillin-resistant Staphylococcus aureus (MRSA) (9.3% vs. 6.4%), and Klebsiella pneumoniae, including extended-spectrum β-lactamase (ESBL)-producing strains. Empyema was more frequent in octogenarians (7.9% vs. 3.1%), and pleural cultures were usually positive. Meropenem retained 100% activity against ESBL-producing K. pneumoniae and Pseudomonas in both strata. In ≥80-year-olds, superimposed pneumonia was associated with higher day-5 SOFA (6.6 vs. 5.5) and APACHE II (24.3 vs. 21.0) scores and markedly increased 28-day mortality (37.5% vs. 9.8%). Conclusions: In octogenarians with COVID-19, secondary bacterial pneumonia and empyema are frequent, microbiologically similar to younger adults, and strongly amplify organ dysfunction and mortality even with largely preserved carbapenem susceptibility. Full article
(This article belongs to the Section Medical Microbiology)
Show Figures

Figure 1

12 pages, 950 KB  
Article
Minimally Invasive Multivessel Coronary Artery Bypass Grafting Using Total Coronary Revascularization via Left Anterior Minithoracotomy in Octogenarians
by Christian Sellin, Marius Grossmann, Ahmed Belmenai, Margit Niethammer, Hilmar Dörge and Volodymyr Demianenko
J. Cardiovasc. Dev. Dis. 2025, 12(12), 487; https://doi.org/10.3390/jcdd12120487 - 10 Dec 2025
Viewed by 797
Abstract
Background: A sternum-sparing approach of minimally invasive total coronary revascularization via left anterior thoracotomy (TCRAT) demonstrated favorable early and midterm results in unselected patients with coronary artery multivessel disease. However, safety and outcomes in elderly patients remain less well defined. Particularly in octogenarians [...] Read more.
Background: A sternum-sparing approach of minimally invasive total coronary revascularization via left anterior thoracotomy (TCRAT) demonstrated favorable early and midterm results in unselected patients with coronary artery multivessel disease. However, safety and outcomes in elderly patients remain less well defined. Particularly in octogenarians with relevant comorbidities, data are scarce, and the role of TCRAT compared to conventional coronary artery bypass grafting (CABG) remains uncertain. This study aimed to evaluate in-hospital and midterm outcomes of TCRAT in patients aged ≥ 80 years. Method: From 11/2019 to 10/2025, CABG via left anterior minithoracotomy on cardiopulmonary bypass and cardioplegic arrest was performed as a routine procedure in 859 consecutive, nonemergency patients. Among them, 82 patients (9.5%) were octogenarians, all presenting with multivessel coronary artery disease. Results: In the group of octogenarians, mean BMI was 26.5 ± 3.1 kg/m2, left ventricular ejection fraction was 49.2 ± 9.1% (range 20–55%), and mean EuroSCORE II was 5.1 ± 2.4. Comorbidities included diabetes mellitus (24.4%), chronic lung disease (7.3%), prior PCI (23.2%), and peripheral vascular disease (78.5%). The mean follow-up (100%) was 9.1 months. Left internal thoracic artery was used in 98.8% and radial artery was used in 43.9%. A mean of 3.0 ± 0.9 (range 2–5) anastomoses per patient was performed. Total operation time was 299 ± 64 min (range 164–480). In-hospital mortality was 1.2%, stroke rate was 1.2%, myocardial infarction rate was 0%, and repeat revascularization rate was 1.2%. At follow-up, all-cause mortality, myocardial infarction, repeat revascularization, and stroke were 4.9%, 0%, 2.4%, and 1.2%, respectively. The overall major adverse cardiac and cerebrovascular events rate (MACCE) was 7.3% at follow-up. Conclusion: TCRAT enables complete coronary artery revascularization in multivessel coronary artery disease without sternotomy and can be safely performed in octogenarians. Both in-hospital and midterm outcomes were favorable and comparable to reported contemporary outcomes of conventional CABG in elderly patients. Full article
(This article belongs to the Special Issue Minimally Invasive Coronary Revascularization: State of the Art)
Show Figures

Graphical abstract

21 pages, 805 KB  
Review
The Role of Radiotherapy in Octogenarian Cancer Patients
by Aneta Lebiedzińska, Ewa Wasilewska-Teśluk, Agnieszka Sopel and Sergiusz Nawrocki
Cancers 2025, 17(23), 3758; https://doi.org/10.3390/cancers17233758 - 25 Nov 2025
Viewed by 928
Abstract
The use of radiotherapy in oncology patients aged 80 years and older represents a significant clinical challenge due to the limited availability of prospective data and the under-representation of this age group in clinical trials. Most existing evidence originates from retrospective analyses of [...] Read more.
The use of radiotherapy in oncology patients aged 80 years and older represents a significant clinical challenge due to the limited availability of prospective data and the under-representation of this age group in clinical trials. Most existing evidence originates from retrospective analyses of small patient cohorts. Radiotherapy remains a cornerstone of cancer treatment, providing both curative and palliative benefits. Technological advances, including intensity-modulated radiotherapy (IMRT) and stereotactic body radiotherapy (SBRT), have significantly improved treatment precision, reduced toxicity, and enabled the adoption of hypofractionated regimens. These shortened treatment schedules are particularly advantageous for older patients, reducing the burden of prolonged therapy while maintaining therapeutic efficacy. Comprehensive Geriatric Assessment (CGA) plays a crucial role in optimizing treatment decisions for octogenarian patients by addressing their clinical, functional, and psychosocial needs. However, the routine use of CGA remains limited due to logistical and time constraints. Despite these challenges, current evidence suggests that radiotherapy is generally well tolerated in this population, with acceptable toxicity profiles even among frail patients. As the global population of individuals aged 80 years and older continues to increase, the development of specific clinical guidelines tailored to this demographic has become essential. There is an urgent need for prospective studies providing robust evidence regarding the efficacy, safety, and tolerability of radiotherapy in older adults. This review aims to summarize the current state of knowledge on the role of radiotherapy in patients aged 80 years and older and to highlight the need for evidence-based, individualized oncologic care for this growing patient population. Full article
(This article belongs to the Special Issue Treatment Outcomes in Older Adults with Cancer)
Show Figures

Figure 1

12 pages, 374 KB  
Article
Biomarkers Linked to Malnutrition Identified According to GLIM Criteria Among Older Community-Dwelling Adults: Results from the ilSIRENTE Study
by Hélio José Coelho-Júnior, Riccardo Calvani, Anna Picca, Matteo Tosato, Andrea Russo, Francesco Landi and Emanuele Marzetti
Nutrients 2025, 17(22), 3543; https://doi.org/10.3390/nu17223543 - 13 Nov 2025
Cited by 1 | Viewed by 1593
Abstract
Objective: This study aimed to examine the associations between malnutrition and circulating blood markers in older adults. Methods: We conducted a prospective cohort study on octogenarians residing in the mountain community of the Sirente geographic area in Central Italy. Data collection [...] Read more.
Objective: This study aimed to examine the associations between malnutrition and circulating blood markers in older adults. Methods: We conducted a prospective cohort study on octogenarians residing in the mountain community of the Sirente geographic area in Central Italy. Data collection was conducted from December 2023 to September 2024. Malnutrition was defined based on the Global Leadership Initiative on Malnutrition (GLIM) criteria. A panel of blood markers was examined, and principal component analysis (PCA) was used to identify clusters of related molecules. Both unadjusted and adjusted binary logistic regression models were applied to investigate the associations between malnutrition and these molecular clusters. Results: Data from 196 older adults (mean age: 86.2 years) were analyzed. Malnutrition was positively associated with PC 2 (i.e., urea, c-terminal agrin fragment, and potassium) (odds ratio [OR] = 1.647, p-value: 0.039) and negatively associated with PC 3 (i.e., hemoglobin, hematocrit, and red blood cell count) (OR = 0.567, p-value: 0.022) and PC 4 (i.e., calcium, albumin, total protein levels, and HDL cholesterol) (OR = 0.607, p-value: 0.035). Conclusions: Findings of the present study suggest that different clusters of blood markers are associated with malnutrition in older adults. Specifically, malnutrition is associated with clusters related to kidney function, anemia, neuromuscular function, and nutrient availability. These associations likely reflect the underlying biological mechanisms contributing to the development of malnutrition in this population. Full article
Show Figures

Figure 1

12 pages, 209 KB  
Article
Outcomes of Hospitalized Octogenarians with E. coli Bacteremia—Retrospective Cohort Study
by Alaa Atamna, Bayan Mahajneh, Yaara Wazana, Shahd Dahamsheh, Haim Ben-Zvi and Jihad Bishara
Pathogens 2025, 14(11), 1154; https://doi.org/10.3390/pathogens14111154 - 12 Nov 2025
Viewed by 866
Abstract
Background: Escherichia coli (E. coli) bacteremia is a significant cause of mortality, particularly in older adults. Limited data exists on clinical outcomes in octogenarians. This study aims to evaluate the clinical outcomes of E. coli bacteremia in octogenarians and determine [...] Read more.
Background: Escherichia coli (E. coli) bacteremia is a significant cause of mortality, particularly in older adults. Limited data exists on clinical outcomes in octogenarians. This study aims to evaluate the clinical outcomes of E. coli bacteremia in octogenarians and determine whether appropriate empirical therapy leads to improved outcomes in this specific population. Methods: We conducted a retrospective cohort study of hospitalized patients with E. coli bacteremia at Beilinson Hospital from January 2012 to December 2022. Clinical characteristics, bacteremia sources, antibiotic resistance patterns, and patient outcomes were analyzed. The primary outcome was 30-day mortality. Multivariate regression was used to assess the impact of empirical antibiotic appropriateness on mortality. Results: The study included 2717 patients, of which 1042 (38%) were 80 years or older. Older patients had more comorbidities with increased rates of ischemic heart disease (20% vs. 14%, p < 0.01) and congestive heart failure (19% vs. 9%, p < 0.01). Patients with 3rd generation cephalosporin resistant strains were more likely to receive inappropriate empiric antibiotic therapy (54% vs. 23%, p < 0.01). Although appropriate empirical therapy was associated with improved survival in univariate analysis (19% vs. 28%, p < 0.01), it was not an independent predictor of 30-day mortality in multivariate analysis [adjusted OR = 1.10, 95% CI (0.64–1.81), p = 0.7]. A lower SOFA score [adjusted OR = 0.17, CI95% (0.01–0.31), p < 0.01] was associated with decreased 30-day mortality. Hypoalbuminemia was significantly associated with increased 30-day mortality [adjusted OR = 2.49, CI95% (0.1.56–3.97), p < 0.01]. Conclusions: E. coli bacteremia in octogenarians is associated with significant mortality. While timely appropriate antibiotic therapy is crucial, mortality appears to be more influenced by overall health status, comorbidities, and infection severity. Future research should focus on addressing these factors and developing personalized care strategies to improve survival in this high-risk group. Full article
Back to TopTop