Sign in to use this feature.

Years

Between: -

Subjects

remove_circle_outline
remove_circle_outline
remove_circle_outline

Journals

Article Types

Countries / Regions

Search Results (15)

Search Parameters:
Keywords = novel UV photodetector

Order results
Result details
Results per page
Select all
Export citation of selected articles as:
18 pages, 2289 KB  
Article
GaN/InN HEMT-Based UV Photodetector on SiC with Hexagonal Boron Nitride Passivation
by Mustafa Kilin and Firat Yasar
Photonics 2025, 12(10), 950; https://doi.org/10.3390/photonics12100950 - 24 Sep 2025
Cited by 1 | Viewed by 1068
Abstract
This work presents a novel Gallium Nitride (GaN) high-electron-mobility transistor (HEMT)-based ultraviolet (UV) photodetector architecture that integrates advanced material and structural design strategies to enhance detection performance and stability under room-temperature operation. This study is conducted as a fully numerical simulation using the [...] Read more.
This work presents a novel Gallium Nitride (GaN) high-electron-mobility transistor (HEMT)-based ultraviolet (UV) photodetector architecture that integrates advanced material and structural design strategies to enhance detection performance and stability under room-temperature operation. This study is conducted as a fully numerical simulation using the Silvaco Atlas platform, providing detailed electrothermal and optoelectronic analysis of the proposed device. The device is constructed on a high-thermal-conductivity silicon carbide (SiC) substrate and incorporates an n-GaN buffer, an indium nitride (InN) channel layer for improved electron mobility and two-dimensional electron gas (2DEG) confinement, and a dual-passivation scheme combining silicon nitride (SiN) and hexagonal boron nitride (h-BN). A p-GaN layer is embedded between the passivation interfaces to deplete the 2DEG in dark conditions. In the device architecture, the metal contacts consist of a 2 nm Nickel (Ni) adhesion layer followed by Gold (Au), employed as source and drain electrodes, while a recessed gate embedded within the substrate ensures improved electric field control and effective noise suppression. Numerical simulations demonstrate that the integration of a hexagonal boron nitride (h-BN) interlayer within the dual passivation stack effectively suppresses the gate leakage current from the typical literature values of the order of 108 A to approximately 1010 A, highlighting its critical role in enhancing interfacial insulation. In addition, consistent with previous reports, the use of a SiC substrate offers significantly improved thermal management over sapphire, enabling more stable operation under UV illumination. The device demonstrates strong photoresponse under 360 nm ultraviolet (UV) illumination, a high photo-to-dark current ratio (PDCR) found at approximately 106, and tunable performance via structural optimization of p-GaN width between 0.40 μm and 1.60 μm, doping concentration from 5×1016 cm3 to 5×1018 cm3, and embedding depth between 0.060 μm and 0.068 μm. The results underscore the proposed structure’s notable effectiveness in passivation quality, suppression of gate leakage, and thermal management, collectively establishing it as a robust and reliable platform for next-generation UV photodetectors operating under harsh environmental conditions. Full article
Show Figures

Figure 1

14 pages, 3437 KB  
Article
O2-to-Ar Ratio-Controlled Growth of Ga2O3 Thin Films by Plasma-Enhanced Thermal Oxidation for Solar-Blind Photodetectors
by Rujun Jiang, Bohan Xiao, Yuna Lu, Zheng Liang and Qijin Cheng
Nanomaterials 2025, 15(18), 1397; https://doi.org/10.3390/nano15181397 - 11 Sep 2025
Cited by 1 | Viewed by 815
Abstract
Ga2O3 is an ultra-wide bandgap semiconductor material that has attracted significant attention for deep ultraviolet photodetector applications due to its excellent UV absorption capability and reliable stability. In this study, a novel plasma-enhanced thermal oxidation (PETO) method has been proposed [...] Read more.
Ga2O3 is an ultra-wide bandgap semiconductor material that has attracted significant attention for deep ultraviolet photodetector applications due to its excellent UV absorption capability and reliable stability. In this study, a novel plasma-enhanced thermal oxidation (PETO) method has been proposed to fabricate Ga2O3 thin films on the GaN/sapphire substrate in the gas mixture of Ar and O2. By adjusting the O2-to-Ar ratio (2:1, 4:1, and 8:1), the structural, morphological, and photoelectric properties of the synthesized Ga2O3 films are systematically studied as a function of the oxidizing atmosphere. It is demonstrated that, at an optimal O2-to-Ar ratio of 4:1, the synthesized Ga2O3 thin film has the largest grain size of 31.4 nm, the fastest growth rate of 427.5 nm/h, as well as the lowest oxygen vacancy concentration of 16.61%. Furthermore, the nucleation and growth of Ga2O3 thin films on the GaN/sapphire substrate by PETO is proposed. Finally, at the optimized O2-to-Ar ratio of 4:1, the metal–semiconductor–metal-structured Ga2O3-based photodetector achieves a specific detectivity of 2.74×1013 Jones and a solar-blind/visible rejection ratio as high as 116 under a 10 V bias. This work provides a promising approach for the cost-effective fabrication of Ga2O3 thin films for UV photodetector applications. Full article
(This article belongs to the Special Issue State-of-the-Art Nanostructured Photodetectors)
Show Figures

Graphical abstract

16 pages, 4346 KB  
Article
First-Principles Calculations of Plasmon-Induced Hot Carrier Properties of μ-Ag3Al
by Zihan Zhao, Hai Ren, Yucheng Wang, Xiangchao Ma, Jiali Jiang, Linfang Wei and Delian Liu
Nanomaterials 2025, 15(10), 761; https://doi.org/10.3390/nano15100761 - 19 May 2025
Viewed by 984
Abstract
Non-radiative decay of surface plasmon (SP) offers a novel paradigm for efficient conversion of photons into carriers. However, the narrow bandwidth of SP has been a significant obstacle to the widespread applications. Previously, research and applications mainly focused on noble metals such as [...] Read more.
Non-radiative decay of surface plasmon (SP) offers a novel paradigm for efficient conversion of photons into carriers. However, the narrow bandwidth of SP has been a significant obstacle to the widespread applications. Previously, research and applications mainly focused on noble metals such as Au, Ag, and Cu. In this article, we report an Ag-Al alloy material, μ-Ag3Al, in which the surface plasmon operating bandwidth is 1.7 times that of Ag and hot carrier transport properties are comparable with those of AuAl. The results show that μ-Ag3Al allows efficient direct interband electronic transitions from ultraviolet (UV) to near infrared range. Spherical nanoparticles of μ-Ag3Al exhibit the localized surface plasmon resonance (LSPR) effect in the ultraviolet region. Its surface plasmon polariton (SPP) shows strong non-radiative decay at 3.36 eV, which is favorable for the generation of high-energy hot carriers. In addition, the penetration depth of SPP in μ-Ag3Al remains high across the UV to the near-infrared range. Moreover, the transport properties of hot carriers in μ-Ag3Al are comparable with those in Al, borophene and Au-Al intermetallic compounds. These properties can provide guidance for the design of plasmon-based photodetectors, solar cells, and photocatalytic reactors. Full article
Show Figures

Figure 1

10 pages, 3353 KB  
Communication
Photoelectric Properties of GaS1−xSex (0 ≤ x ≤ 1) Layered Crystals
by Yu-Tai Shih, Der-Yuh Lin, Bo-Chang Tseng, Ting-Chen Huang, Yee-Mou Kao, Ming-Cheng Kao and Sheng-Beng Hwang
Nanomaterials 2024, 14(8), 701; https://doi.org/10.3390/nano14080701 - 18 Apr 2024
Cited by 2 | Viewed by 2115
Abstract
In this study, the photoelectric properties of a complete series of GaS1−xSex (0 ≤ x ≤ 1) layered crystals are investigated. The photoconductivity spectra indicate a decreasing bandgap of GaS1−xSex as the Se composition x [...] Read more.
In this study, the photoelectric properties of a complete series of GaS1−xSex (0 ≤ x ≤ 1) layered crystals are investigated. The photoconductivity spectra indicate a decreasing bandgap of GaS1−xSex as the Se composition x increases. Time-resolved photocurrent measurements reveal a significant improvement in the response of GaS1−xSex to light with increasing x. Frequency-dependent photocurrent measurements demonstrate that both pure GaS crystals and GaS1−xSex ternary alloy crystals exhibit a rapid decrease in photocurrents with increasing illumination frequency. Crystals with lower x exhibit a faster decrease in photocurrent. However, pure GaSe crystal maintains its photocurrent significantly even at high frequencies. Measurements for laser-power-dependent photoresponsivity and bias-voltage-dependent photoresponsivity also indicate an increase in the photoresponsivity of GaS1−xSex as x increases. Overall, the photoresponsive performance of GaS1−xSex is enhanced with increasing x, and pure GaSe exhibits the best performance. This result contradicts the findings of previous reports. Additionally, the inverse trends between bandgap and photoresponsivity with increasing x suggest that GaS1−xSex-based photodetectors could potentially offer a high response and wavelength-selectivity for UV and visible light detection. Thus, this work provides novel insights into the photoelectric characteristics of GaS1−xSex layered crystals and highlights their potential for optoelectronic applications. Full article
Show Figures

Figure 1

15 pages, 3969 KB  
Article
TiS3 Nanoribbons: A Novel Material for Ultra-Sensitive Photodetection across Extreme Temperature Ranges
by Mohammad Talib, Nishant Tripathi, Samrah Manzoor, Prachi Sharma, Vladimir Pavelyev, Valentyn S. Volkov, Aleksey V. Arsenin, Sergey M. Novikov and Prabhash Mishra
Sensors 2023, 23(10), 4948; https://doi.org/10.3390/s23104948 - 21 May 2023
Cited by 10 | Viewed by 4076
Abstract
Photodetectors that can operate over a wide range of temperatures, from cryogenic to elevated temperatures, are crucial for a variety of modern scientific fields, including aerospace, high-energy science, and astro-particle science. In this study, we investigate the temperature-dependent photodetection properties of titanium trisulfide [...] Read more.
Photodetectors that can operate over a wide range of temperatures, from cryogenic to elevated temperatures, are crucial for a variety of modern scientific fields, including aerospace, high-energy science, and astro-particle science. In this study, we investigate the temperature-dependent photodetection properties of titanium trisulfide (TiS3)- in order to develop high-performance photodetectors that can operate across a wide range of temperatures (77 K–543 K). We fabricate a solid-state photodetector using the dielectrophoresis technique, which demonstrates a quick response (response/recovery time ~0.093 s) and high performance over a wide range of temperatures. Specifically, the photodetector exhibits a very high photocurrent (6.95 × 10−5 A), photoresponsivity (1.624 × 108 A/W), quantum efficiency (3.3 × 108 A/W·nm), and detectivity (4.328 × 1015 Jones) for a 617 nm wavelength of light with a very weak intensity (~1.0 × 10−5 W/cm2). The developed photodetector also shows a very high device ON/OFF ratio (~32). Prior to fabrication, the TiS3 nanoribbons were synthesized using the chemical vapor technique and characterized according to their morphology, structure, stability, and electronic and optoelectronic properties; this was performed using scanning electron microscopy (SEM), transmission electron microscopy (TEM), Raman spectroscopy, X-ray diffraction (XRD), thermogravimetric analysis (TGA), and a UV–Visible–NIR spectrophotometer. We anticipate that this novel solid-state photodetector will have broad applications in modern optoelectronic devices. Full article
(This article belongs to the Section Optical Sensors)
Show Figures

Figure 1

15 pages, 3912 KB  
Article
Preparation and Characterization of Nanostructured Inorganic Copper Zinc Tin Sulfide-Delafossite Nano/Micro Composite as a Novel Photodetector with High Efficiency
by Amira H. Ali, Asmaa S. Hassan, Ashour M. Ahmed, Ahmed A. Abdel-Khaliek, Sawsan Abd El Khalik, Safaa M. Abass, Mohamed Shaban, Fatimah Mohammed Alzahrani and Mohamed Rabia
Photonics 2022, 9(12), 979; https://doi.org/10.3390/photonics9120979 - 14 Dec 2022
Cited by 10 | Viewed by 3172
Abstract
A novel photodetector, based on Cu2ZnSnS4, CZTS, is deposited on Cu/CuFeO2 for wavelength and light power intensity detection. The preparation of CuFeO2 is carried out by the direct combustion of Cu foil wetted with Fe(NO3)2 [...] Read more.
A novel photodetector, based on Cu2ZnSnS4, CZTS, is deposited on Cu/CuFeO2 for wavelength and light power intensity detection. The preparation of CuFeO2 is carried out by the direct combustion of Cu foil wetted with Fe(NO3)2 solution. The preparation of CZTS is carried out using the hydrothermal method, then it is dropped on CuFeO2 using the drop casting method at 70 °C. Various analyses are used to look at the chemical, morphological, and optical aspects of the Cu/CuFeO2/CZTS, such as UV–vis, SEM, TEM, selected-area electron diffraction, and XRD, in which all characteristic peaks are confirmed for the prepared materials. The Cu/CuFeO2/CZTS thin film’s SEM image has a homogeneous morphology, with particles that are around 350 nm in size, demonstrating a significant improvement in morphology over Cu/CuFeO2/CZTS thin film. The TEM analysis verified the nanostructured morphology of Cu/CuFeO2/CZTS. From XRD analysis of Cu/CuFeO2/CZTS, the high intensity of the generated peaks indexed to hexagonal (2H) CuFeO2 and kesterite CZTS crystal structures revealed a compact highly crystal material. From optical analysis, CZTS, Cu/CuFeO2, and Cu/CuFeO2/CZTS thin films recoded band gaps of 1.49, 1.75, and 1.23 eV, respectively. According to the band gap measurements, the optical absorption of the Cu/CuFeO2/CZTS photodetector has clearly increased. The Cu/CuFeO2/CZTS as photodetector has a detectivity (D) and responsivity (R) of 1.7 × 1010 Jones and 127 mAW−1, respectively. Moreover, the external quantum efficiency (EQE) is 41.5% at 25 mW·cm−2 and 390 nm. Hence, the prepared Cu/CuFeO2/CZTS photodetector has a very high photoelectrical response, making it very promising as a broadband photodetector. Full article
(This article belongs to the Special Issue Advances in Avalanche Photodiodes)
Show Figures

Figure 1

8 pages, 2093 KB  
Article
Heteroepitaxy Growth and Characterization of High-Quality AlN Films for Far-Ultraviolet Photodetection
by Titao Li, Yaoping Lu and Zuxin Chen
Nanomaterials 2022, 12(23), 4169; https://doi.org/10.3390/nano12234169 - 24 Nov 2022
Cited by 6 | Viewed by 2355
Abstract
The ultra-wide bandgap (~6.2 eV), thermal stability and radiation tolerance of AlN make it an ideal choice for preparation of high-performance far-ultraviolet photodetectors (FUV PDs). However, the challenge of epitaxial crack-free AlN single-crystalline films (SCFs) on GaN templates with low defect density has [...] Read more.
The ultra-wide bandgap (~6.2 eV), thermal stability and radiation tolerance of AlN make it an ideal choice for preparation of high-performance far-ultraviolet photodetectors (FUV PDs). However, the challenge of epitaxial crack-free AlN single-crystalline films (SCFs) on GaN templates with low defect density has limited its practical applications in vertical devices. Here, a novel preparation strategy of high-quality AlN films was proposed via the metal organic chemical vapor deposition (MOCVD) technique. Cross-sectional transmission electron microscopy (TEM) studies clearly indicate that sharp, crack-free AlN films in single-crystal configurations were achieved. We also constructed a p-graphene/i-AlN/n-GaN photovoltaic FUV PD with excellent spectral selectivity for the FUV/UV-C rejection ratio of >103, a sharp cutoff edge at 206 nm and a high responsivity of 25 mA/W. This work provides an important reference for device design of AlN materials for high-performance FUV PDs. Full article
Show Figures

Figure 1

13 pages, 3159 KB  
Article
An Internal-Electrostatic-Field-Boosted Self-Powered Ultraviolet Photodetector
by Dingcheng Yuan, Lingyu Wan, Haiming Zhang, Jiang Jiang, Boxun Liu, Yongsheng Li, Zihan Su and Junyi Zhai
Nanomaterials 2022, 12(18), 3200; https://doi.org/10.3390/nano12183200 - 15 Sep 2022
Cited by 8 | Viewed by 2759
Abstract
Self-powered photodetectors are of significance for the development of low-energy-consumption and environment-friendly Internet of Things. The performance of semiconductor-based self-powered photodetectors is limited by the low quality of junctions. Here, a novel strategy was proposed for developing high-performance self-powered photodetectors with boosted electrostatic [...] Read more.
Self-powered photodetectors are of significance for the development of low-energy-consumption and environment-friendly Internet of Things. The performance of semiconductor-based self-powered photodetectors is limited by the low quality of junctions. Here, a novel strategy was proposed for developing high-performance self-powered photodetectors with boosted electrostatic potential. The proposed self-powered ultraviolet (UV) photodetector consisted of an indium tin oxide and titanium dioxide (ITO/TiO2) heterojunction and an electret film (poly tetra fluoroethylene, PTFE). The PTFE layer introduces a built-in electrostatic field to highly enhance the photovoltaic effect, and its high internal resistance greatly reduces the dark current, and thus remarkable performances were achieved. The self-powered UV photodetector with PTFE demonstrated an extremely high on–off ratio of 2.49 × 105, a responsivity of 76.87 mA/W, a response rise time of 7.44 ms, and a decay time of 3.75 ms. Furthermore, the device exhibited exceptional stability from room temperature to 70 °C. Compared with the conventional ITO/TiO2 heterojunction without the PTFE layer, the photoresponse of the detector improved by 442-fold, and the light–dark ratio was increased by 8.40 × 105 times. In addition, the detector is simple, easy to fabricate, and low cost. Therefore, it can be used on a large scale. The electrostatic modulation effect is universal for various types of semiconductor junctions and is expected to inspire more innovative applications in optoelectronic and microelectronic devices. Full article
(This article belongs to the Special Issue Nanogenerators for Energy Harvesting and Sensing)
Show Figures

Figure 1

15 pages, 6351 KB  
Article
Polymer Nanocomposite Graphene Quantum Dots for High-Efficiency Ultraviolet Photodetector
by Molahalli Vandana, Hundekal Devendrappa, Paola De Padova and Gurumurthy Hegde
Nanomaterials 2022, 12(18), 3175; https://doi.org/10.3390/nano12183175 - 13 Sep 2022
Cited by 11 | Viewed by 4361
Abstract
Influence on photocurrent sensitivity of hydrothermally synthesized electrochemically active graphene quantum dots on conjugated polymer utilized for a novel single-layer device has been performed. Fabrications of high-performance ultraviolet photodetector by depositing the polypyrrole-graphene quantum dots (PPy-GQDs) active layer of the ITO electrode were [...] Read more.
Influence on photocurrent sensitivity of hydrothermally synthesized electrochemically active graphene quantum dots on conjugated polymer utilized for a novel single-layer device has been performed. Fabrications of high-performance ultraviolet photodetector by depositing the polypyrrole-graphene quantum dots (PPy-GQDs) active layer of the ITO electrode were exposed to an Ultraviolet (UV) source with 265 and 355 nm wavelengths for about 200 s, and we examined the time-dependent photoresponse. The excellent performance of GQDs was exploited as a light absorber, acting as an electron donor to improve the carrier concentration. PGC4 exhibits high photoresponsivity up to the 2.33 µA/W at 6 V bias and the photocurrent changes from 2.9 to 18 µA. The electrochemical measurement was studied using an electrochemical workstation. The cyclic voltammetry (CV) results show that the hysteresis loop is optically tunable with a UV light source with 265 and 355 nm at 0.1 to 0.5 V/s. The photocurrent response in PPy-GQDs devices may be applicable to optoelectronics devices. Full article
Show Figures

Graphical abstract

15 pages, 2078 KB  
Review
Advances in Self-Powered Ultraviolet Photodetectors Based on P-N Heterojunction Low-Dimensional Nanostructures
by Haowei Lin, Ao Jiang, Shibo Xing, Lun Li, Wenxi Cheng, Jinling Li, Wei Miao, Xuefei Zhou and Li Tian
Nanomaterials 2022, 12(6), 910; https://doi.org/10.3390/nano12060910 - 10 Mar 2022
Cited by 46 | Viewed by 5746
Abstract
Self-powered ultraviolet (UV) photodetectors have attracted considerable attention in recent years because of their vast applications in the military and civil fields. Among them, self-powered UV photodetectors based on p-n heterojunction low-dimensional nanostructures are a very attractive research field due to combining the [...] Read more.
Self-powered ultraviolet (UV) photodetectors have attracted considerable attention in recent years because of their vast applications in the military and civil fields. Among them, self-powered UV photodetectors based on p-n heterojunction low-dimensional nanostructures are a very attractive research field due to combining the advantages of low-dimensional semiconductor nanostructures (such as large specific surface area, excellent carrier transmission channel, and larger photoconductive gain) with the feature of working independently without an external power source. In this review, a selection of recent developments focused on improving the performance of self-powered UV photodetectors based on p-n heterojunction low-dimensional nanostructures from different aspects are summarized. It is expected that more novel, dexterous, and intelligent photodetectors will be developed as soon as possible on the basis of these works. Full article
Show Figures

Figure 1

14 pages, 3357 KB  
Article
Hybrid ZnO Flowers-Rods Nanostructure for Improved Photodetection Compared to Standalone Flowers and Rods
by Abdullah M. Al-Enizi, Shoyebmohamad F. Shaikh, Asiya M. Tamboli, Afifa Marium, Muhammad Fazal Ijaz, Mohd Ubaidullah, Meera Moydeen Abdulhameed and Satish U. Ekar
Coatings 2021, 11(12), 1464; https://doi.org/10.3390/coatings11121464 - 29 Nov 2021
Cited by 6 | Viewed by 2797
Abstract
Different Zinc Oxide (ZnO) morphologies have been used to improve photodetector efficiencies for optoelectronic applications. Herein, we present the very novel hybrid ZnO flower-rod (HZFR) morphology, to improve photodetector response and efficiency when compared to the prevalently used ZnO nanorods (NRs) and ZnO [...] Read more.
Different Zinc Oxide (ZnO) morphologies have been used to improve photodetector efficiencies for optoelectronic applications. Herein, we present the very novel hybrid ZnO flower-rod (HZFR) morphology, to improve photodetector response and efficiency when compared to the prevalently used ZnO nanorods (NRs) and ZnO nanoflowers (NFs). The HZFR was fabricated via sol-gel microwave-assisted hydrothermal methods. HZFR achieves the benefits of both NFs, by trapping a greater amount of UV light for the generation of e-h pairs, and NRs, by effectively transporting the generated e-h pairs to the channel. The fabricated photosensors were characterized with scanning electron microscopy, X-ray diffraction, photoluminescence, and a Keithley 4200A-SCS parameter analyzer for their morphology, structural characteristics, optical performance, and electrical characteristics, respectively. The transient current response, current-voltage characteristics, and responsivity measurements were set as a benchmark of success to compare the sensor response of the three different morphologies. It was found that the novel HZFR showed the best UV sensor performance with the fastest response time (~7 s), the highest on-off ratio (52), and the best responsivity (126 A/W) when compared to the NRs and NFs. Hence, it was inferred that the HZFR morphology would be a great addition to the ZnO family for photodetector applications. Full article
Show Figures

Figure 1

18 pages, 1431 KB  
Article
First Demonstration of Calibrated Color Imaging by the CAOS Camera
by Nabeel A. Riza and Nazim Ashraf
Photonics 2021, 8(12), 538; https://doi.org/10.3390/photonics8120538 - 28 Nov 2021
Viewed by 2740
Abstract
The Coded Access Optical Sensor (CAOS) camera is a novel, single unit, full spectrum (UV to short-wave IR bands), linear, high dynamic range (HDR) camera. In this paper, calibrated color target imaging using the CAOS camera and a comparison to a commercial HDR [...] Read more.
The Coded Access Optical Sensor (CAOS) camera is a novel, single unit, full spectrum (UV to short-wave IR bands), linear, high dynamic range (HDR) camera. In this paper, calibrated color target imaging using the CAOS camera and a comparison to a commercial HDR CMOS camera is demonstrated for the first time. The first experiment using a calibrated color check chart indicates that although the CMOS sensor-based camera has an 87 dB manufacturer-specified HDR range, unrestricted usage of this CMOS camera’s output range greatly fails quality color recovery. On the other hand, the intrinsically linear full dynamic range operation CAOS camera color image recovery generally matches the restricted linear-mode commercial CMOS sensor-based camera recovery for the presented 39.5 dB non-HDR target that also matches the near 40 dB linear camera response function (CRF) range of the CMOS camera. Specifically, compared to the color checker chart manufacturer provided XYZ values for the calibrated target, percentage XYZ mean errors of 8.3% and 10.9% are achieved for the restricted linear range CMOS camera and CAOS camera, respectively. An alternate color camera assessment gives CIE ΔE00 mean values of 4.59 and 5.7 for the restricted linear range CMOS camera and CAOS camera, respectively. Unlike the CMOS camera lens optics and its photo-detection electronics, no special linear response optics and photo-detector designs were used for the experimental CAOS camera, nevertheless, a good and equivalent color recovery was achieved. Given the limited HDR linear range capabilities of a CMOS camera and the intrinsically wide linear HDR capability of a CAOS camera, a combined CAOS-CMOS mode of the CAOS smart camera is prudent and can empower HDR color imaging. Applications for such a hybrid camera includes still photography imaging, especially for quantitative imaging of biological samples, valuable artworks and archaeological artefacts that require authentic color data generation for reliable medical decisions as well as forgery preventing verifications. Full article
Show Figures

Figure 1

18 pages, 3191 KB  
Article
Porous Si-SiO2 UV Microcavities to Modulate the Responsivity of a Broadband Photodetector
by María R. Jimenéz-Vivanco, Godofredo García, Jesús Carrillo, Francisco Morales-Morales, Antonio Coyopol, Miguel Gracia, Rafael Doti, Jocelyn Faubert and J. Eduardo Lugo
Nanomaterials 2020, 10(2), 222; https://doi.org/10.3390/nano10020222 - 28 Jan 2020
Cited by 18 | Viewed by 4628
Abstract
Porous Si-SiO2 UV microcavities are used to modulate a broad responsivity photodetector (GVGR-T10GD) with a detection range from 300 to 510 nm. The UV microcavity filters modified the responsivity at short wavelengths, while in the visible range the filters only attenuated the [...] Read more.
Porous Si-SiO2 UV microcavities are used to modulate a broad responsivity photodetector (GVGR-T10GD) with a detection range from 300 to 510 nm. The UV microcavity filters modified the responsivity at short wavelengths, while in the visible range the filters only attenuated the responsivity. All microcavities had a localized mode close to 360 nm in the UV-A range, and this meant that porous Si-SiO2 filters cut off the photodetection range of the photodetector from 300 to 350 nm, where microcavities showed low transmission. In the short-wavelength range, the photons were absorbed and did not contribute to the photocurrent. Therefore, the density of recombination centers was very high, and the photodetector sensitivity with a filter was lower than the photodetector without a filter. The maximum transmission measured at the localized mode (between 356 and 364 nm) was dominant in the UV-A range and enabled the flow of high energy photons. Moreover, the filters favored light transmission with a wavelength from 390 nm to 510 nm, where photons contributed to the photocurrent. Our filters made the photodetector more selective inside the specific UV range of wavelengths. This was a novel result to the best of our knowledge. Full article
(This article belongs to the Special Issue Dynamics and Applications of Photon-Nanostructured Systems)
Show Figures

Figure 1

12 pages, 4771 KB  
Article
High-Performance Self-Powered Ultraviolet Photodetector Based on Nano-Porous GaN and CoPc p–n Vertical Heterojunction
by Yan Xiao, Lin Liu, Zhi-Hao Ma, Bo Meng, Su-Jie Qin and Ge-Bo Pan
Nanomaterials 2019, 9(9), 1198; https://doi.org/10.3390/nano9091198 - 26 Aug 2019
Cited by 23 | Viewed by 5046
Abstract
Gallium nitride (GaN) is a superior candidate material for fabricating ultraviolet (UV) photodetectors (PDs) by taking advantage of its attractive wide bandgap (3.4 eV) and stable chemical and physical properties. However, the performance of available GaN-based UV PDs (e.g., in terms of detectivity [...] Read more.
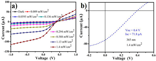
Gallium nitride (GaN) is a superior candidate material for fabricating ultraviolet (UV) photodetectors (PDs) by taking advantage of its attractive wide bandgap (3.4 eV) and stable chemical and physical properties. However, the performance of available GaN-based UV PDs (e.g., in terms of detectivity and sensitivity) still require improvement. Fabricating nanoporous GaN (porous-GaN) structures and constructing organic/inorganic hybrids are two effective ways to improve the performance of PDs. In this study, a novel self-powered UV PD was developed by using p-type cobalt phthalocyanine (CoPc) and n-type porous-GaN (CoPc/porous-GaN) to construct a p–n vertical heterojunction via a thermal vapor deposition method. Under 365 nm 0.009 mWcm−2 light illumination, our device showed a photoresponsivity of 588 mA/W, a detectivity of 4.8 × 1012 Jones, and a linear dynamic range of 79.5 dB, which are better than CoPc- and flat-GaN (CoPc/flat-GaN)-based PDs. The high performance was mainly attributed to the built-in electric field (BEF) generated at the interface of the CoPc film and the nanoporous-GaN, as well as the nanoporous structure of GaN, which allows for a higher absorptivity of light. Furthermore, the device showed excellent stability, as its photoelectrical property and on/off switching behavior remained the same, even after 3 months. Full article
Show Figures

Graphical abstract

29 pages, 11796 KB  
Review
Graphene-Based Light Sensing: Fabrication, Characterisation, Physical Properties and Performance
by Adolfo De Sanctis, Jake D. Mehew, Monica F. Craciun and Saverio Russo
Materials 2018, 11(9), 1762; https://doi.org/10.3390/ma11091762 - 18 Sep 2018
Cited by 54 | Viewed by 10145
Abstract
Graphene and graphene-based materials exhibit exceptional optical and electrical properties with great promise for novel applications in light detection. However, several challenges prevent the full exploitation of these properties in commercial devices. Such challenges include the limited linear dynamic range (LDR) of graphene-based [...] Read more.
Graphene and graphene-based materials exhibit exceptional optical and electrical properties with great promise for novel applications in light detection. However, several challenges prevent the full exploitation of these properties in commercial devices. Such challenges include the limited linear dynamic range (LDR) of graphene-based photodetectors, the lack of efficient generation and extraction of photoexcited charges, the smearing of photoactive junctions due to hot-carriers effects, large-scale fabrication and ultimately the environmental stability of the constituent materials. In order to overcome the aforementioned limits, different approaches to tune the properties of graphene have been explored. A new class of graphene-based devices has emerged where chemical functionalisation, hybridisation with light-sensitising materials and the formation of heterostructures with other 2D materials have led to improved performance, stability or versatility. For example, intercalation of graphene with FeCl 3 is highly stable in ambient conditions and can be used to define photo-active junctions characterized by an unprecedented LDR while graphene oxide (GO) is a very scalable and versatile material which supports the photodetection from UV to THz frequencies. Nanoparticles and quantum dots have been used to enhance the absorption of pristine graphene and to enable high gain thanks to the photogating effect. In the same way, hybrid detectors made from stacked sequences of graphene and layered transition-metal dichalcogenides enabled a class of devices with high gain and responsivity. In this work, we will review the performance and advances in functionalised graphene and hybrid photodetectors, with particular focus on the physical mechanisms governing the photoresponse, the performance and possible future paths of investigation. Full article
(This article belongs to the Special Issue Carbon Nanomaterials: Graphene, Nanoribbons and Quantum dots)
Show Figures

Figure 1

Back to TopTop