Sign in to use this feature.

Years

Between: -

Subjects

remove_circle_outline
remove_circle_outline
remove_circle_outline
remove_circle_outline
remove_circle_outline
remove_circle_outline
remove_circle_outline
remove_circle_outline
remove_circle_outline

Journals

remove_circle_outline
remove_circle_outline
remove_circle_outline
remove_circle_outline
remove_circle_outline
remove_circle_outline
remove_circle_outline
remove_circle_outline
remove_circle_outline
remove_circle_outline
remove_circle_outline
remove_circle_outline
remove_circle_outline
remove_circle_outline

Article Types

Countries / Regions

remove_circle_outline
remove_circle_outline
remove_circle_outline
remove_circle_outline
remove_circle_outline
remove_circle_outline

Search Results (2,119)

Search Parameters:
Keywords = normal carbonates

Order results
Result details
Results per page
Select all
Export citation of selected articles as:
22 pages, 13137 KB  
Article
Effects of High Temperature and Nitrogen Fertilizer on the Carbon and Nitrogen Metabolism Characteristics of Rice Varieties with Differing Taste Stability
by Ke Ma, Yuanyuan Zhou, Yao Ma, Zexin Qi and Heping Xu
Plants 2026, 15(7), 1006; https://doi.org/10.3390/plants15071006 - 25 Mar 2026
Abstract
Temperature and nitrogen fertilizer are key environmental factors that significantly affect rice growth and grain quality. There remains a lack of systematic research on the effects of temperature and nitrogen fertilizer on carbon–nitrogen metabolism during grain-filling, and consequently on the taste quality of [...] Read more.
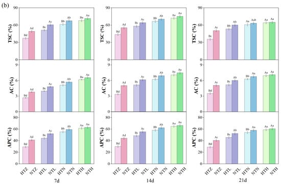
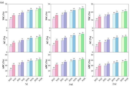
Temperature and nitrogen fertilizer are key environmental factors that significantly affect rice growth and grain quality. There remains a lack of systematic research on the effects of temperature and nitrogen fertilizer on carbon–nitrogen metabolism during grain-filling, and consequently on the taste quality of rice varieties with different taste characteristics. To bridge this gap, pot experiments were conducted under different temperature and nitrogen fertilizer conditions to investigate the changes in carbon and nitrogen metabolism and the quality of different high-quality and stable-taste rice varieties during the grain filling stage. Our research results indicate that high-temperature conditions inhibit both carbon and nitrogen metabolism; however, the variations differ among rice varieties with differing taste stability. Under both normal and high nitrogen levels, compared to Akita Komachi (AK), a variety with poor taste stability, Jikedao 606 (J 606), a variety with strong taste stability, maintained a certain photosynthetic capacity under high-temperature conditions, with smaller decreases in net photosynthetic rate and soil–plant analysis development values, declining by 4.30–5.59% and 4.30–5.59% respectively. The decline in the activities of nitrate reductase, glutamine synthetase, and glutamate synthase in nitrogen metabolism was relatively small; in comparison, the decrease in the activities of ADP-glucose pyrophosphorylase, granule-bound starch synthase, starch branching enzyme, and starch debranching enzyme in carbon metabolism was comparatively minor. The content of amylose and amylopectin in the grains was maintained, improving the milled rice rate and head rice rate, thereby ensuring strong stability of excellent sensory quality. Under both high-temperature and high-nitrogen conditions, the yields of the two rice varieties were maintained. In summary, variations exist in carbon and nitrogen metabolism among different rice varieties with stable excellent taste under varying temperature and nitrogen fertilizer conditions. These metabolic differences affect starch synthesis in the endosperm, ultimately influencing the stability of rice sensory quality. This study provides a theoretical basis for nitrogen fertilizer application under high-temperature conditions and the cultivation of rice varieties with excellent taste stability. Full article
(This article belongs to the Special Issue Genetic and Metabolic Insights into Crop Improvement)
Show Figures

Figure 1

22 pages, 5716 KB  
Article
Machine-Learning-Based Historical Reconstruction of Soil Organic Carbon Dynamics in Coastal Tidal Flats: Quantifying the Spatiotemporal Impacts of Reclamation
by Caiyao Kou, Yongbin Zhang, Weidong Man, Fuping Li, Chunyan Lu, Qingwen Zhang and Mingyue Liu
Remote Sens. 2026, 18(7), 978; https://doi.org/10.3390/rs18070978 - 25 Mar 2026
Abstract
Coastal tidal flat soil organic carbon (SOC) is significantly affected by reclamation activities. However, the limited availability of historical SOC data constrains the reconstruction of past SOC. SOC data were integrated in current time-point and remote sensing data during the last two decades [...] Read more.
Coastal tidal flat soil organic carbon (SOC) is significantly affected by reclamation activities. However, the limited availability of historical SOC data constrains the reconstruction of past SOC. SOC data were integrated in current time-point and remote sensing data during the last two decades by applying machine learning (ML) methods such as random forest (RF), boosted regression trees (BRT), and extreme gradient boosting (XGBoost) to map the spatiotemporal distribution of tidal flat reclamation and the spatial distribution of SOC content in the western coastal region of the Bohai Rim over the last two decades and to explore how the period and type of reclamation affect SOC content. The results show that: (1) The area of tidal flats decreased by 61.92% from 2000 to 2020 due to reclamation activities. (2) Among the ML methods, the XGBoost model demonstrated the best performance (R2 = 0.71, MAE = 0.93 g/kg, RMSE = 1.32 g/kg, d-Willmott = 0.98), with the modified normalized difference water index (MNDWI) being the most important predictor variable. (3) The SOC content of tidal flats decreased from 4.11 g/kg in 2000 to 3.33 g/kg in 2020, a reduction of 18.98%. (4) The reclamation of tidal flats into marshes, forest lands, grasslands, farmlands, and bare lands led to an increasing trend in SOC content, with the greatest increase observed in regions converted to farmlands. This study provides data support for the control of reclamation activities, creation of tidal flat conservation policies, and strategic decision-making for climate change mitigation. Full article
(This article belongs to the Special Issue Intelligent Remote Sensing for Wetland Mapping and Monitoring)
Show Figures

Figure 1

20 pages, 2661 KB  
Article
Forecasting Carbon Dioxide Emissions in Greece Under Decarbonization: Evidence from an ARIMA Time Series Model
by Tranoulidis Apostolos
World 2026, 7(4), 52; https://doi.org/10.3390/world7040052 - 24 Mar 2026
Abstract
Environmental protection and the reduction of carbon dioxide (CO2) emissions are central priorities within European climate policy. This study analyses and forecasts annual CO2 emissions in Greece using a univariate time-series framework. Annual data from 1960 to 2024, sourced from [...] Read more.
Environmental protection and the reduction of carbon dioxide (CO2) emissions are central priorities within European climate policy. This study analyses and forecasts annual CO2 emissions in Greece using a univariate time-series framework. Annual data from 1960 to 2024, sourced from Our World in Data, enable the analysis to capture both the historical expansion of emissions and the recent decarbonization phase of the Greek energy system. Using the Box–Jenkins methodology, multiple ARIMA specifications were evaluated based on information criteria and diagnostic tests. To examine the stationarity properties of the series, the Augmented Dickey–Fuller (ADF) unit root test is applied. The findings indicate that the ARIMA (1,1,1) model most accurately represents the stochastic dynamics of the emissions series. The estimated autoregressive and moving-average coefficients, 0.9404 and −0.7165, respectively, are statistically significant at the 1% level. Residual diagnostics confirm the absence of serial correlation, approximate normality, and no significant heteroskedasticity. Forecast evaluation for the 2020–2024 holdout period demonstrates satisfactory predictive performance, with a mean absolute percentage error (MAPE) of approximately 6%. Dynamic forecasts for 2025 to 2030 indicate a gradual decline in national CO2 emissions, reaching an estimated 45.5 million tonnes by 2030. Overall, the study demonstrates that parsimonious ARIMA models offer a transparent and empirically reliable benchmark for national emissions forecasting. These models provide a reproducible tool for monitoring climate policy outcomes and for supporting evidence-based environmental decision-making. This study contributes to the environmental forecasting literature by providing an updated, diagnostically rigorous univariate benchmark model for Greece’s CO2 emissions that encompasses both the pre- and post-decarbonization phases of the national energy transition. Full article
(This article belongs to the Section Climate Transitions and Ecological Solutions)
Show Figures

Figure 1

27 pages, 2025 KB  
Article
Integration of Renewable Energy Sources into the DC Traction Power Supply System
by Iliya Iliev, Andrey Kryukov, Konstantin Suslov, Aleksandr Cherepanov, Aleksandr Kryukov, Ivan Beloev, Yuliya Valeeva and Hristo Beloev
Energies 2026, 19(7), 1590; https://doi.org/10.3390/en19071590 - 24 Mar 2026
Abstract
The growing importance of integrating renewable energy sources (RESs) into mainline railway traction networks stems from the sector’s substantial electricity demand, which is traditionally met by carbon-intensive thermal generation. This paper addresses the potential of wind power to enhance energy efficiency and reduce [...] Read more.
The growing importance of integrating renewable energy sources (RESs) into mainline railway traction networks stems from the sector’s substantial electricity demand, which is traditionally met by carbon-intensive thermal generation. This paper addresses the potential of wind power to enhance energy efficiency and reduce emissions in rail transport. It details the development of digital models for simulating DC traction power systems (TPSs) coupled with RESs, specifically wind turbines. Given the complexity of TPSs, effective integration requires digital modeling that accounts for their unique properties. The proposed methodology, based on phase coordinate algorithms, offers a universal and comprehensive framework. It enables the identification of various operational modes (normal, emergency, and special) for diverse network components, including traction networks, transmission lines, and transformers. These models were used to simulate real-world train operations, generating data on electrical parameter dynamics and transformer thermal conditions. The results confirm that wind integration can improve energy efficiency, validating the methodology’s practical applicability for RES projects in DC traction networks, including advanced high-voltage systems. Full article
(This article belongs to the Section F1: Electrical Power System)
Show Figures

Figure 1

21 pages, 446 KB  
Article
Resilience-Constrained Low-Carbon Dispatch of Industrial Parks with Storage and Quantum Acceleration
by Wenfang Li, Chen Li, Xuemei Zhang, Shuai Xu, Yaqing Yue and Haijing Zhang
Processes 2026, 14(6), 1024; https://doi.org/10.3390/pr14061024 - 23 Mar 2026
Viewed by 46
Abstract
Carbon-neutral industrial parks require large consumers, such as data centers, to balance low-carbon operation and service reliability. This paper proposes a resilience-constrained stochastic dispatch framework for a data-center virtual power plant (VPP) with renewable generation, short-duration batteries, and long-duration storage units. The dispatch [...] Read more.
Carbon-neutral industrial parks require large consumers, such as data centers, to balance low-carbon operation and service reliability. This paper proposes a resilience-constrained stochastic dispatch framework for a data-center virtual power plant (VPP) with renewable generation, short-duration batteries, and long-duration storage units. The dispatch is formulated as a two-stage stochastic program with normal and outage scenarios. To solve the resulting large mixed-integer problem, we develop a hybrid quantum–classical L-shaped method: the integer master is solved heuristically by quantum annealing, while scenario subproblems are solved exactly by classical optimization. In a case study based on real-world industrial-park data, the proposed storage strategy eliminates critical load shedding for the tested 6 h outage scenarios with a 3.7% increase in expected daily cost. The QA-driven method reaches the same best-known objective as the classical baseline with an empirical 1.36× runtime speedup. Full article
Show Figures

Figure 1

22 pages, 5749 KB  
Article
Multi-Scale Tribo–Thermo–Viscoelastic Engineering of Sustainable Bio-Based Epoxy Through Hybrid Carbon Nano Architectures and Energy Partition Modeling
by Kiran Keshyagol, Pavan Hiremath, Rakesh Sharma, Muralishwara K, Santhosh K, Suhas Kowshik and Nithesh Naik
Polymers 2026, 18(6), 752; https://doi.org/10.3390/polym18060752 - 19 Mar 2026
Viewed by 181
Abstract
This study investigates the multi-scale tribo–thermo–viscoelastic performance of a sustainable bio-based FormuLITE epoxy reinforced with single and hybrid carbon nanofillers (0.1 wt.% total loading) under dry sliding up to 50 N. Pin-on-disk tests at 10, 30, and 50 N showed a consistent reduction [...] Read more.
This study investigates the multi-scale tribo–thermo–viscoelastic performance of a sustainable bio-based FormuLITE epoxy reinforced with single and hybrid carbon nanofillers (0.1 wt.% total loading) under dry sliding up to 50 N. Pin-on-disk tests at 10, 30, and 50 N showed a consistent reduction in contact pressure and wear volume in the order: neat epoxy > 0.1 CNT > 0.1 GNP > 0.1 ND > 0.1 CNT/GNP > 0.1 CNT/ND > 0.1 GNP/ND. At 50 N and 1500 m sliding distance, neat epoxy exhibited a wear volume of 13.43 mm3 and contact pressure of 13.4 N/cm2, while the GNP/ND hybrid reduced wear to 4.86 mm3 and contact pressure to 6.2 N/cm2, corresponding to reductions of 64% and 54%, respectively. The accelerating wear coefficient decreased from 2.9 × 10−6 to 8.5 × 10−7, confirming slower damage accumulation in hybrid systems. Time-dependent contact pressure analysis revealed reduced asymptotic intensity and suppressed mid-cycle pressure spikes, indicating enhanced tribolayer stability. Effective surface hardness increased from 0.18 GPa (neat epoxy) to 0.30 GPa (GNP/ND), while normalized wear decreased from 1.00 to 0.36. Enhanced damping behavior and improved thermal conductivity in hybrid systems promoted stress redistribution and minimized flash-temperature localization. An interfacial energy-partition framework calibrated to experimental wear data quantitatively linked effective driving pressure, tribofilm stabilization, and surface hardness to material removal. The results demonstrate that wear mitigation in sustainable bio-epoxy systems is governed by coupled mechanical, viscoelastic, and thermal energy redistribution, with GNP/ND hybrids providing the most stable tribological interface under severe sliding. The findings contribute to the development of durable and sustainable bio-epoxy composite systems for engineering applications, supporting broader goals of responsible material utilization and sustainable industrial innovation aligned with the United Nations Sustainable Development Goals (SDG 9 and SDG 12). Full article
(This article belongs to the Section Polymer Physics and Theory)
Show Figures

Figure 1

16 pages, 2689 KB  
Article
Epigenetic Bridge Between Oxidative Balance of Koreans and TCGA Pan-Cancer Risk: Sex-Specific DNA Methylation Signatures
by Sun-Young Kang, Jeong-Soo Gim, Hyunbin Jo and Jeong-An Gim
Antioxidants 2026, 15(3), 386; https://doi.org/10.3390/antiox15030386 - 19 Mar 2026
Viewed by 192
Abstract
Oxidative stress is a hallmark of carcinogenesis, yet the epigenetic mechanisms linking the lifestyle-based Oxidative Balance Score (OBS) to cancer risk remain poorly understood. This study investigated the epigenetic bridge between OBS and pan-cancer susceptibility using a multi-cohort approach integrating population-based and cancer [...] Read more.
Oxidative stress is a hallmark of carcinogenesis, yet the epigenetic mechanisms linking the lifestyle-based Oxidative Balance Score (OBS) to cancer risk remain poorly understood. This study investigated the epigenetic bridge between OBS and pan-cancer susceptibility using a multi-cohort approach integrating population-based and cancer genomic data. We calculated OBS based on 16 dietary and lifestyle factors (including dietary fiber, vitamins, minerals, physical activity, smoking, alcohol, and BMI) for 2749 participants from the Korean Genome and Epidemiology Study (KoGES) and identified OBS-associated CpG sites via epigenome-wide association analysis. These markers were validated against The Cancer Genome Atlas (TCGA) pan-cancer dataset using a novel Hybrid Pi-score (HyPi) to quantify the directional consistency between OBS-driven methylation in healthy individuals and cancer-specific epigenetic alterations across three clinical comparisons: normal vs. tumor, survival outcomes, and tumor stage. We observed profound sex-specific epigenetic signatures, with zero overlap in the top 200 OBS-associated CpG sites between males and females, underscoring fundamental sexual dimorphism in oxidative stress-epigenome interactions. Notably, the top 20 OBS-associated CpGs demonstrated strong directional consistency with multiple cancer types in TCGA, particularly in kidney renal clear cell carcinoma and lung adenocarcinoma, exhibiting methylation patterns inversely correlated with tumorigenesis. Mechanistically, these findings support the role of one-carbon metabolism and vitamin C-dependent DNA demethylation pathways in mediating OBS effects. Our study provides the first evidence of an epigenetic link between lifestyle-based oxidative balance and pan-cancer risk, highlighting the utility of the HyPi score as a novel sex-specific predictive biomarker for cancer prevention. These results suggest that optimizing oxidative balance through precision nutrition may epigenetically modulate cancer susceptibility, opening new avenues for personalized prevention strategies. Full article
(This article belongs to the Special Issue Oxidative Stress and Inflammation in Cancer Biology)
Show Figures

Figure 1

17 pages, 1906 KB  
Article
Bitumen Modification with Microcoke: Mechanochemical Activation, Structure, and High-Temperature Rheological Performance
by Yerdos Ongarbayev, Muhammad Hashami, Yerbol Tileuberdi, Yerzhan Imanbayev, Ainur Zhambolova, Yernar Kanzharkan, Aliya Kenzhegaliyeva, Aksaule Kydyrali and Dinmukhamed Abdikhan
J. Compos. Sci. 2026, 10(3), 167; https://doi.org/10.3390/jcs10030167 - 19 Mar 2026
Viewed by 348
Abstract
The modification of road bitumen using micro-sized carbonaceous materials offers a promising route to enhance pavement performance; however, the influence of microdispersed coke derived from coal and petroleum sources has not been sufficiently clarified. In this study, coal and petroleum coke from Pavlodar [...] Read more.
The modification of road bitumen using micro-sized carbonaceous materials offers a promising route to enhance pavement performance; however, the influence of microdispersed coke derived from coal and petroleum sources has not been sufficiently clarified. In this study, coal and petroleum coke from Pavlodar Petrochemical Plant LLC (Pavlodar, Kazakhstan) were mechanochemically activated and used as the modifiers for BND 100/130 bitumen, produced by Asphaltbeton 1 LLC (Almaty, Kazakhstan). X-ray diffraction and scanning electron microscopy were used to determine the structure and morphology of the resulting coke powders. Standard tests and the Superpave Multiple Stress Creep and Recovery (MSCR) methodology were used to determine the physico-mechanical and rheological properties of the modified binders. Microdispersed granular coke powders produced after mechanochemical activation had a minimum average particle diameter of 8.28 µm (petroleum coke) and 16.64 µm (coal coke), and were mainly an amorphous carbon phase with traces of graphite. Addition of 1 wt.% microdispersed coke resulted in better performance of binder and an enhancement in grades of BND 100/130 to BND 70/100, in line with ST RK 1373-2013. MSCR testing showed that Jnr3.2 is between 2.0–3.0 kPa−1, which is in the S category of AASHTO M 332-20. This study showed how micro-sized coal and petroleum coke can be effectively used as a high-carbon modifier in bitumen, which reflects the possibility of their practical use in asphalt pavements that are subjected to normal traffic conditions. Full article
(This article belongs to the Section Composites Applications)
Show Figures

Figure 1

27 pages, 19830 KB  
Article
Effect of Spraying Distance on the Scratch Wear Behavior of 8YSZ and Gd-Yb-Y Co-Doped ZrO2 TBCs
by Ali Haydar Güneş, Sinan Fidan, Şaban Hakan Atapek, Mustafa Özgür Bora, Satılmış Ürgün, Mehmet İskender Özsoy, Sedat İriç and Tuğçe Yayla Yazıcı
Coatings 2026, 16(3), 381; https://doi.org/10.3390/coatings16030381 - 19 Mar 2026
Viewed by 244
Abstract
This study investigates how torch standoff distance influences the microstructure, surface topography, and progressive-load scratch response of air plasma-sprayed 8YSZ and rare-earth co-doped GdYbYSZ thermal barrier coatings on an St-52 grade carbon steel substrate. Three nozzle-to-substrate spraying distances were examined: 80, 100, and [...] Read more.
This study investigates how torch standoff distance influences the microstructure, surface topography, and progressive-load scratch response of air plasma-sprayed 8YSZ and rare-earth co-doped GdYbYSZ thermal barrier coatings on an St-52 grade carbon steel substrate. Three nozzle-to-substrate spraying distances were examined: 80, 100, and 120 mm. X-ray diffraction revealed that the 8YSZ coatings possessed a predominantly tetragonal (t′) structure, with minor monoclinic fractions detected in the coatings obtained with the 80 mm and 100 mm distance parameters. The GdYbYSZ coatings, in contrast, exhibited a single-phase cubic defect-fluorite structure; their diffraction peaks appeared at lower 2θ angles relative to undoped cubic ZrO2, consistent with lattice expansion caused by the substitution of Zr4+ by the larger Gd3+ and Yb3+ cations. Surface topography was quantified by non-contact laser profilometry, providing areal (Sa) and profile (Ra) roughness parameters for the as-sprayed condition as well as three-dimensional scratch-damage morphology after testing. Progressive-load scratch tests were performed using a Rockwell diamond indenter over a 2 mm track with the normal load ramped from 0.03 N to 30 N. Penetration depth, residual depth, tangential force, and acoustic emission were recorded continuously to identify critical damage transitions. Across all spraying distances, 8YSZ exhibited systematically shallower scratch grooves than GdYbYSZ; end-of-track maximum groove depths remained below 37 µm for 8YSZ, whereas GdYbYSZ reached up to 72 µm under identical loading conditions. The novelty of this study lies in combining torch standoff distance as a processing variable with multi-channel progressive-load scratch diagnostics, including in situ acoustic emission, depth profiling, and friction monitoring, to comparatively assess the scratch wear performance of 8YSZ and rare-earth co-doped zirconia TBCs for the first time. Full article
(This article belongs to the Section Ceramic Coatings and Engineering Technology)
Show Figures

Figure 1

19 pages, 2479 KB  
Article
Remote Sensor System for Assessing the Toxicity of Car Exhaust Gases
by Krzysztof Więcławski, Jędrzej Mączak and Krzysztof Szczurowski
Sensors 2026, 26(6), 1928; https://doi.org/10.3390/s26061928 - 19 Mar 2026
Viewed by 159
Abstract
This paper presents the design of a sensor system for remote measurements of exhaust emissions from automotive combustion engines. The system’s purpose is to determine the likelihood of a given vehicle’s potential harmfulness to the environment. This system, if implemented, could detect vehicles [...] Read more.
This paper presents the design of a sensor system for remote measurements of exhaust emissions from automotive combustion engines. The system’s purpose is to determine the likelihood of a given vehicle’s potential harmfulness to the environment. This system, if implemented, could detect vehicles posing a threat to the environment in road traffic. A remote measurement system can be installed in the front of a measuring vehicle driving behind the vehicle being diagnosed. This approach allows for rapid road testing of multiple vehicles while they are operating in real-world conditions where engines can emit the highest levels of undesirable pollutants. Exceeding emission standards may be related to modifications made to the vehicle’s exhaust gas aftertreatment systems, engine wear, or malfunctions of engine-related systems such as the diesel particulate filter (DPF) or catalytic converter. Toxic and undesirable substances include carbon monoxide (CO), hydrocarbons (HC), nitrogen oxides (NOx), carbon dioxide (CO2), and particulate matter (PM) particles. The main goal of the measurements is to identify vehicles that potentially pose a threat to the environment during normal operation. The sensor system consists of several types of sensors utilizing various physical and chemical phenomena, with particular emphasis on their low cost and easy availability. The measurement unit utilizes MEMS technology, photoacoustic spectroscopy, electrochemical methods, light absorption and scattering, spectrophotometry, and electro-optical detection. Full article
(This article belongs to the Special Issue Smart Traffic Control Based on Sensor Technology)
Show Figures

Figure 1

28 pages, 868 KB  
Article
Carbon Metrics in Construction Industry: How Scaling Choices Shape Sustainability Assessments
by Jinsung Hwang
Buildings 2026, 16(6), 1210; https://doi.org/10.3390/buildings16061210 - 19 Mar 2026
Viewed by 105
Abstract
Digital transformation is embedding carbon metrics into construction project management through automated procurement and sustainability dashboards. Yet carbon intensity measures depend critically on how emissions are normalized, creating ambiguity in sustainability assessment. This study examines how alternative carbon intensity scaling choices affect firm [...] Read more.
Digital transformation is embedding carbon metrics into construction project management through automated procurement and sustainability dashboards. Yet carbon intensity measures depend critically on how emissions are normalized, creating ambiguity in sustainability assessment. This study examines how alternative carbon intensity scaling choices affect firm rankings and portfolio outcomes within the Construction & Engineering industry. Using carbon-efficient indices for publicly traded U.S. construction firms, emissions are normalized by revenues, costs, assets, market value, enterprise value, and employment. Alternative normalization choices lead to systematic within-industry reshuffling of firm rankings driven by differences in economic fundamentals. While average financial performance does not differ systematically across metrics, portfolio turnover and financed emissions vary substantially. These results show that normalization design is a consequential element of digital sustainability systems rather than a neutral technical choice. The study provides industry-specific evidence on measurement-induced reshuffling and highlights practical implications for contractor benchmarking and digital construction governance. Full article
Show Figures

Figure 1

23 pages, 1985 KB  
Article
Simultaneous Controlled N, P and K Release Amplifies Economic Viability and Environmental Stewardship in Rice
by Xiaolei Gong, Yishui Luo, Jintao Li, Xiaowei Ma, Di Shao, Guangjie Zhang, Matthew Tom Harrison, Ke Liu and Jun Hou
Agronomy 2026, 16(6), 642; https://doi.org/10.3390/agronomy16060642 - 18 Mar 2026
Viewed by 186
Abstract
Meeting rising global food demand requires reconciling high productivity with environmental sustainability. While controlled-release fertilizers can improve nitrogen use efficiency, their combined N-P-K formulation and system-wide impacts remain poorly quantified. A two-year field experiment was conducted in a rice paddy field under a [...] Read more.
Meeting rising global food demand requires reconciling high productivity with environmental sustainability. While controlled-release fertilizers can improve nitrogen use efficiency, their combined N-P-K formulation and system-wide impacts remain poorly quantified. A two-year field experiment was conducted in a rice paddy field under a subtropical monsoon climate in Central China to evaluate controlled-release NPK fertilizer (CRNPK) across agronomic, environmental, energy, and economic dimensions. Five treatments were compared: no nitrogen (CK), farmer practice (FFP; 270 kg N ha−1), controlled-release nitrogen (CRN; 225 kg N ha−1), CRNPK (225 kg N ha−1), and reduced-rate CRNPK (80%CRNPK; 180 kg N ha−1). Compared to FFP, CRNPK and 80%CRNPK increased rice yield by 8–16% and nitrogen use efficiency by 38–171%, while reducing reactive nitrogen losses and nitrogen footprint by 39–56%, greenhouse gas emissions and carbon footprint by 22–57%, and enhancing ecosystem economic benefit by 86–109%. Notably, the 80%CRNPK treatment achieved the highest overall sustainability score (5) based on a comprehensive assessment normalizing seven key indicators—yield, economic benefit, energy productivity, carbon footprint, nitrogen footprint, ecosystem economic benefit (EEB), and emergy-based nutrient efficiency (UEVNmin), demonstrating that yield gains can be maintained or even enhanced with reduced nitrogen inputs. This study advances controlled-release fertilization from a yield-focused strategy to a quantified, system-level approach for sustainable rice intensification. Full article
Show Figures

Figure 1

20 pages, 7885 KB  
Article
Delamination Localization in CFRP Laminates Using One-Way Mixing of Ultrasonic Guided Waves
by Maoxun Sun, Yuheng Liu, Longfei Li, Xinyu Zhang, Biao Xiao, Yue Zhang and Hongye Liu
Sensors 2026, 26(6), 1912; https://doi.org/10.3390/s26061912 - 18 Mar 2026
Viewed by 127
Abstract
Carbon fiber-reinforced polymer (CFRP) laminates are widely used in aircraft skins due to their advantages of high strength and lightweight properties. However, their laminate structure and energy-absorbing characteristics result in low-energy impact damage, such as delamination, that is often invisible but can lead [...] Read more.
Carbon fiber-reinforced polymer (CFRP) laminates are widely used in aircraft skins due to their advantages of high strength and lightweight properties. However, their laminate structure and energy-absorbing characteristics result in low-energy impact damage, such as delamination, that is often invisible but can lead to catastrophic failure. Consequently, early detection of delamination in CFRP laminates is necessary. Nonlinear ultrasonic guided waves exhibit high sensitivity to delamination, and second harmonics are widely employed. Compared to second harmonics, one-way mixing of ultrasonic guided waves can excite and receive signals simultaneously at the same location, thereby precisely localizing delamination. This capability has the potential for inspecting buried structures. However, existing literature has not yet fully addressed the generation mechanism of one-way mixing in CFRP laminates nor its interaction with delamination. Based on finite element simulation, this study investigates one-way mixing of A0 modes and S0 modes in CFRP laminates. Utilizing pulse-inversion techniques and two-dimensional fast Fourier transforms, the modes and propagation directions of difference-frequency components and sum-frequency components are determined. Furthermore, by utilizing the normalized acoustic nonlinearity parameter χ’ and adjusting the position of the mixing zone through different time delays, delamination in the CFRP laminate is successfully localized. Full article
(This article belongs to the Section Industrial Sensors)
Show Figures

Figure 1

17 pages, 22749 KB  
Article
Identification and Application of Carbonate Reservoir Based on Bayesian Model
by Bei Wang, Xixiang Liu, Yong Hu, Lianjin Zhang, Ruiduo Zhang, Liang Wang, Xin Dai and Jie Tian
Processes 2026, 14(6), 955; https://doi.org/10.3390/pr14060955 - 17 Mar 2026
Viewed by 205
Abstract
Aiming at the challenges in accurately identifying complex pore-space types, significant scale variations, and overlapping log responses in carbonate reservoirs, this study takes the Jurassic Da’anzhai Member in the central Sichuan Basin as the research object. By integrating core observations, cast thin sections, [...] Read more.
Aiming at the challenges in accurately identifying complex pore-space types, significant scale variations, and overlapping log responses in carbonate reservoirs, this study takes the Jurassic Da’anzhai Member in the central Sichuan Basin as the research object. By integrating core observations, cast thin sections, scanning electron microscopy, and well log data, the genetic types and log response characteristics of pore spaces at different scales are systematically analyzed. Building on this, a multivariate distribution identification model for pore-space scales is established based on Bayesian discriminant theory. To enhance the model’s identification accuracy, Z-score normalization is introduced to eliminate dimensional differences. Nonlinear combined features, such as the ratio of the compensated acoustic log (AC) to the gamma ray log (GR) and the logarithmic difference between deep and shallow resistivity logs (RT and RI), are constructed to achieve a multidimensional coupling representation of reservoir physical properties; a class-balancing augmentation method based on Gaussian perturbation is adopted to mitigate decision bias caused by sample imbalance. The results show that the improved Bayesian model achieves F1 scores exceeding 0.80 for large-, small-, and micro-scale pore spaces, with an overall identification accuracy of 84.38%, significantly outperforming the conventional crossplot method’s accuracy of 59.38%. Validation through experiments and well log data demonstrates that the model’s identification results are consistent with core and thin-section observations, indicating that this method can effectively identify large-, small-, and micro-scale pore spaces in strongly heterogeneous carbonate reservoirs. This study provides a valuable approach for reservoir log interpretation and favorable reservoir prediction. Full article
Show Figures

Figure 1

27 pages, 3211 KB  
Article
Performance Enhancement Study of WMS-TDLAS System for Online Measurement of High-Concentration CO2 in Flue Gas
by Xinhu Xu, Wanglong Shi and Liang Zhang
Appl. Sci. 2026, 16(6), 2865; https://doi.org/10.3390/app16062865 - 16 Mar 2026
Viewed by 203
Abstract
Accurate and stable measurement of carbon dioxide (CO2) concentrations in industrial flue gases is critical for emissions monitoring and carbon management. The present study developed a wavelength-modulated tunable diode laser absorption spectroscopy (WMS-TDLAS) system for measuring high-concentration carbon dioxide (CO2 [...] Read more.
Accurate and stable measurement of carbon dioxide (CO2) concentrations in industrial flue gases is critical for emissions monitoring and carbon management. The present study developed a wavelength-modulated tunable diode laser absorption spectroscopy (WMS-TDLAS) system for measuring high-concentration carbon dioxide (CO2) in flue gases, covering a range of 3–20% (by volume). To mitigate optical intensity fluctuations caused by particle scattering and detector gain drift in harsh flue gas environments, a normalized second harmonic (2f/1f) detection scheme based on a single-harmonic peak was employed. A digital phase-locked amplification algorithm replaces the conventional hardware lock-in amplifier, enabling simultaneous demodulation of multiple harmonic components and enhancing system integration. A comparison of the digital locking method with a commercial lock-in amplifier reveals that the former demonstrates comparable or superior stability, with relative standard deviations of 0.04% for the 2f signal and 0.02% for the first-harmonic signal. In order to address the sensitivity degradation of WMS-TDLAS at elevated CO2 concentrations, a pressure control strategy was introduced. Maintaining the measurement cell pressure at 70 ± 0.005 kPa resulted in a 2.74-fold enhancement in system sensitivity at 13.01% CO2 and a more than one-order-of-magnitude increase at 20.01% CO2 compared to operation at atmospheric pressure. Concentration measurement error under reduced pressure also decreased from 1.101% to 0.075%. The system exhibited 0.6% repeatability in high-concentration CO2 measurements, signifying its aptitude for industrial flue gas monitoring applications. Full article
(This article belongs to the Section Optics and Lasers)
Show Figures

Figure 1

Back to TopTop