Sideslip Angle Estimation for Electric Vehicles Based on Adaptive Weight Fusion: Collaborative Optimization of Robust Observer and Kalman Filter
Abstract
1. Introduction
2. Model of 4WIDEV
2.1. 2-DOF Vehicle Dynamic Model Considering Linear Tire Model
2.2. 3-DOF Vehicle Dynamic Model Considering Nonlinear Tire Model
3. Fusion Estimation Strategy Based on Adaptive Weight
3.1. Vehicle Sideslip Angle Estimation by Dynamic Robust Observer
3.1.1. 2-DOF Vehicle Model with Parameter Uncertainty and Delay
3.1.2. Problem Formulation
3.1.3. Robust Observer Design and Stability Analysis
3.2. ASUKF-Based State Estimation
3.2.1. Sage-Husa Adaptive Filtering Algorithm
- (1)
- Initialization.
- (2)
- Iterative update. The time update content can be expressed as
3.2.2. Improved ASUKF Combining with Sage-Husa Algorithm
- (1)
- Selection of weight value of Sigma sampling point.
- (2)
- Initialization.
- (3)
- Time update. Calculate the Sigma point construction matrix.
- (4)
- Measurement update. Sigma point resampling.
3.2.3. Observer Design Using ASUKF
3.3. Vehicle Sideslip Angle Fusion Estimation by Adaptive Weight
4. Simulation Results
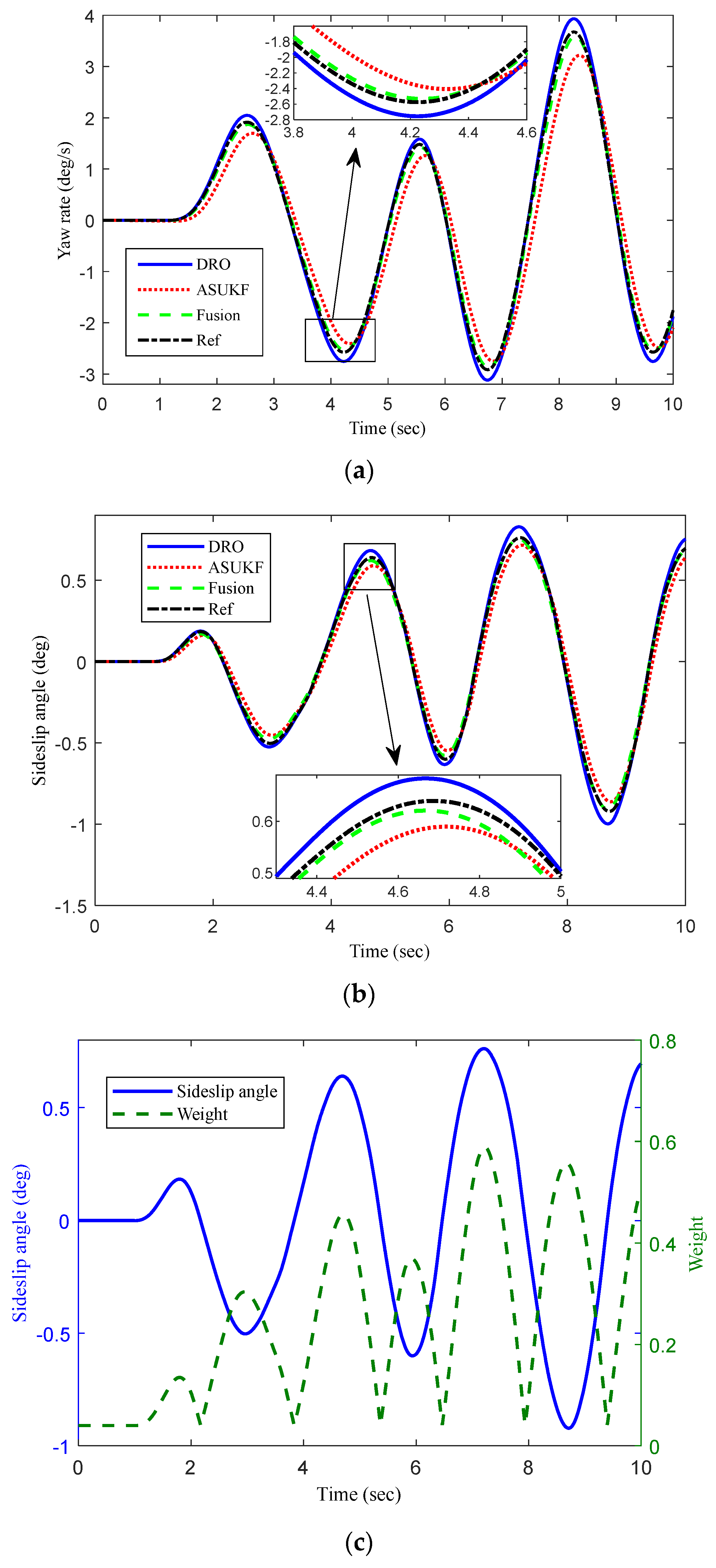
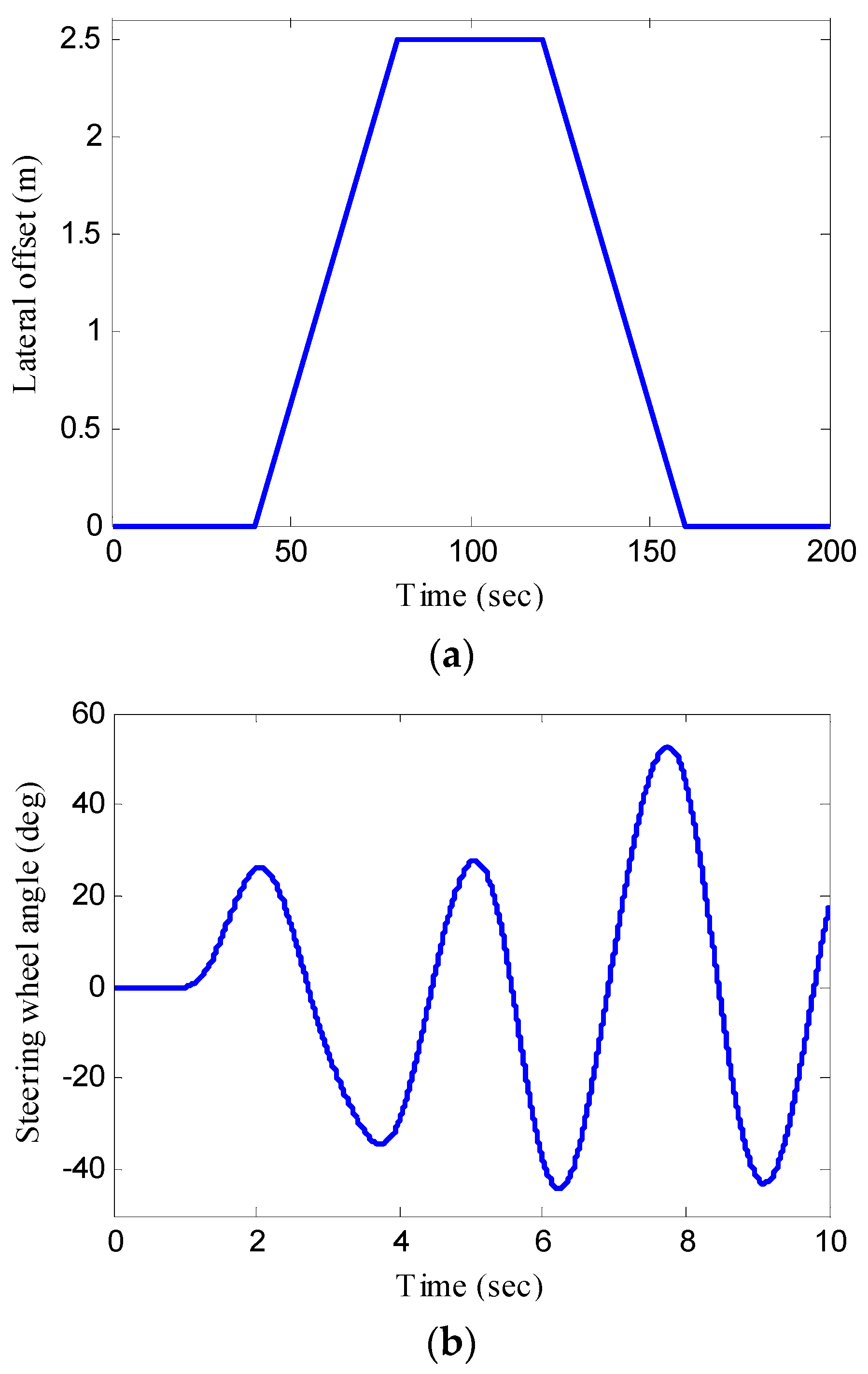
4.1. Double Lane Changes (DLC) Manoeuvre with Constant Vehicle Speed
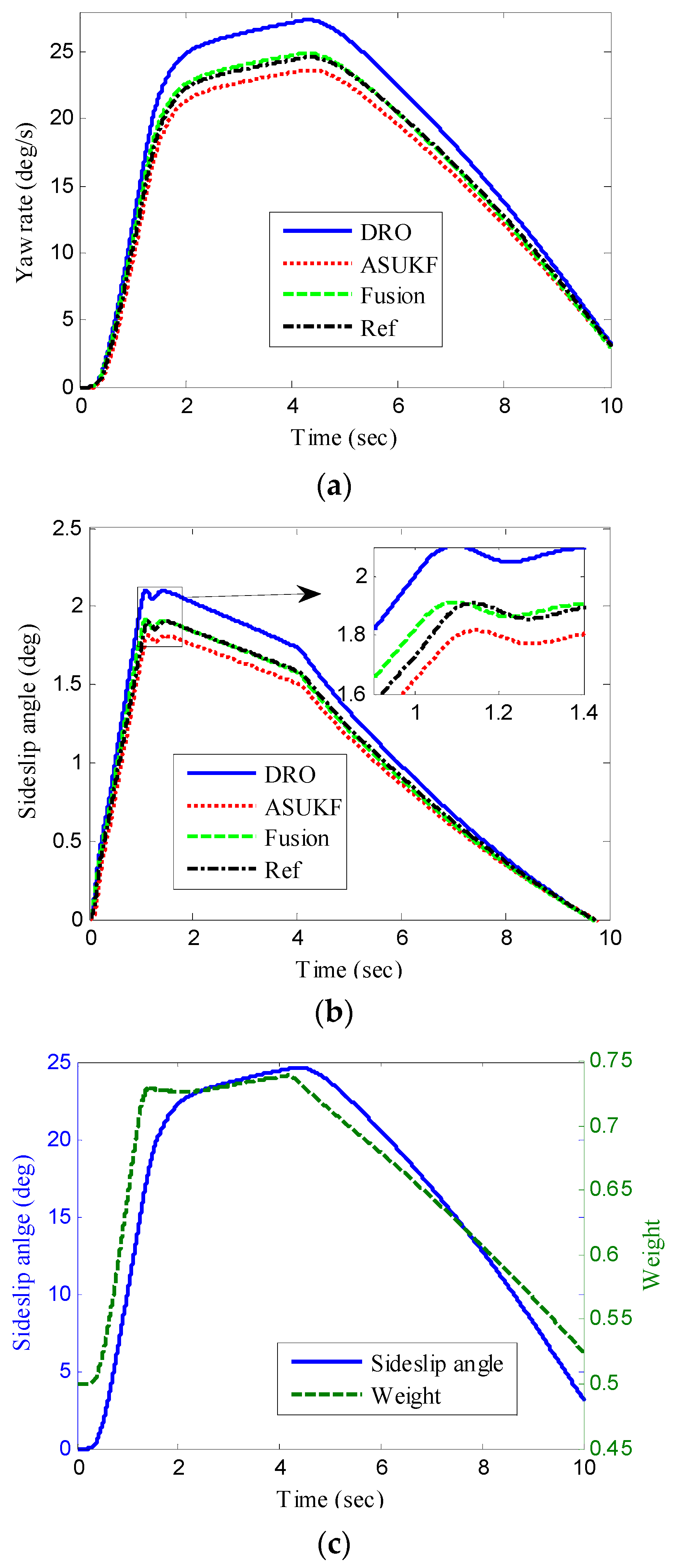
4.2. J-Turn Manoeuvre Considering Varying Vehicle Speed
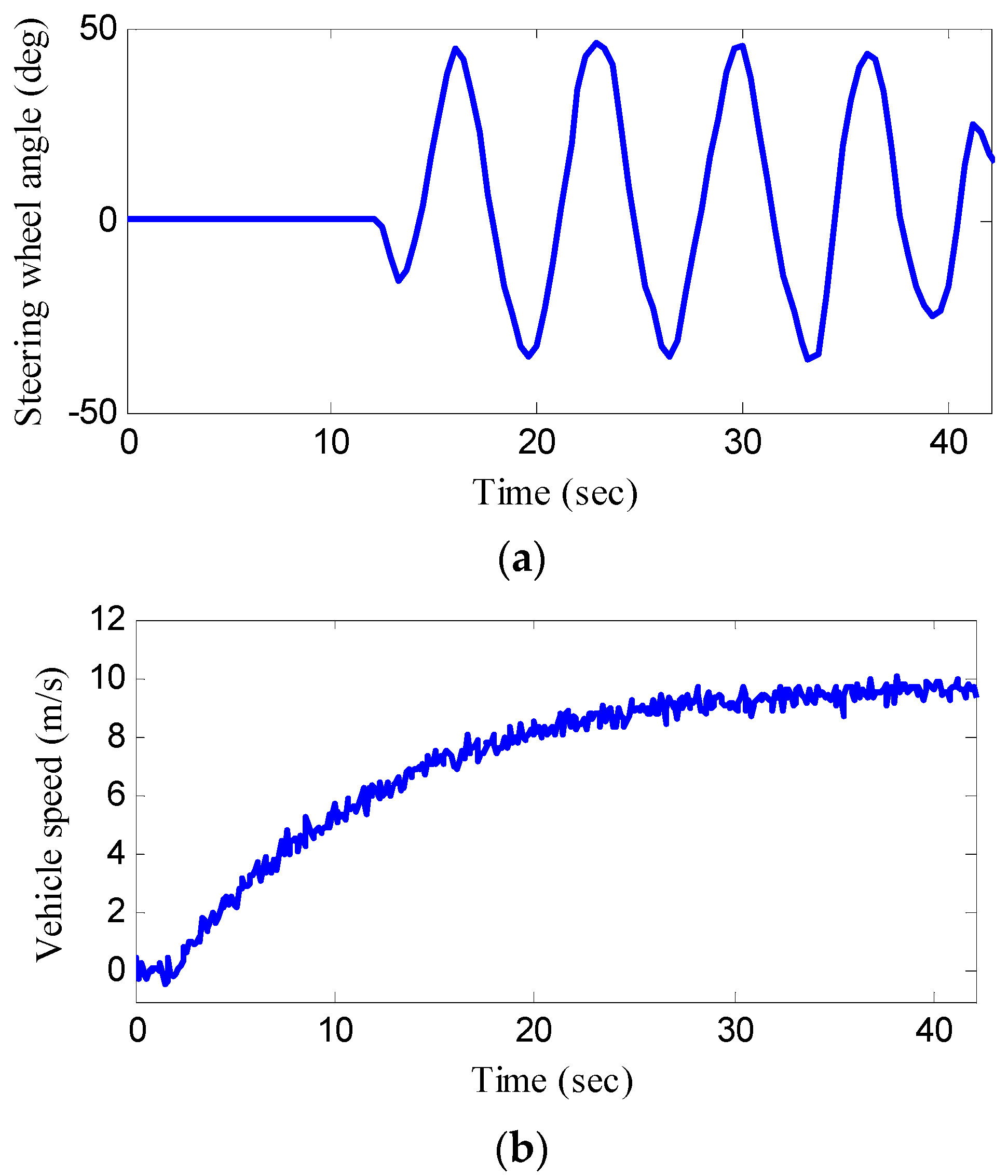
5. Experimental Verification
6. Conclusions
- (1)
- A dual-observer framework that collaboratively optimizes DRO and ASUKF is proposed. To simultaneously address the model uncertainties caused by parameter perturbations and system time delays, as well as the nonlinearity of the tires, a collaborative estimation architecture is designed. Here, DRO theoretically ensures the stability of the observer in the presence of parameter uncertainties and state time delays, while ASUKF can estimate and correct the statistical characteristics of noise in real time, significantly improving the estimation accuracy and numerical stability in highly nonlinear conditions.
- (2)
- An adaptive weight real-time fusion mechanism based on fuzzy logic is designed. The innovation of this mechanism lies in the fact that the weight coefficients are not preset but are dynamically adjusted online using the nominal steering angle of the front wheel and the longitudinal vehicle speed as fuzzy inputs, through the designed fuzzy rule base. This enables the fusion system to intelligently transition smoothly between DRO and ASUKF, fully leveraging their respective advantages.
Author Contributions
Funding
Data Availability Statement
Conflicts of Interest
References
- Li, Z.; Zhao, H.; Wang, Y.; Ren, Y.; Chen, Z.; Chen, C. Adaptive event-triggered control for almost sure stability for vehicle platooning under interference and stochastic attacks. ISA Trans. 2023, 138, 120–132. [Google Scholar] [CrossRef] [PubMed]
- Viadero-Monasterio, F.; Meléndez-Useros, M.; Jiménez-Salas, M.; López Boada, M.J. Avoiding Lyapunov-Krasovskii Functionals: Simple Nonlinear Sampled–Data Control of a Semi-Active Suspension with Magnetorheological Dampers. Machines 2025, 13, 512. [Google Scholar] [CrossRef]
- Chen, T.; Cai, Y.; Chen, L.; Xu, X. Sideslip angle fusion estimation method of three-axis autonomous vehicle based on composite model and adaptive cubature Kalman filter. IEEE Trans. Transp. Electrif. 2024, 10, 316–330. [Google Scholar] [CrossRef]
- Viadero-Monasterio, F.; Meléndez-Useros, M.; Lenzo, B.; Boada, B.L. Interval Observer for Vehicle Sideslip Angle Estimation Using Extended Kalman Filters. Machines 2025, 13, 707. [Google Scholar] [CrossRef]
- Chen, T.; Cai, Y.; Chen, L.; Xu, X. Trajectory and velocity planning method of emergency rescue vehicle based on segmented three-dimensional quartic Bezier curve. IEEE Trans. Intell. Transp. Syst. 2023, 24, 3461–3475. [Google Scholar] [CrossRef]
- Wang, Q.; Zhao, Y.; Xie, W.; Zhao, Q.; Lin, F. Hierarchical estimation of vehicle state and tire forces for distributed in-wheel motor drive electric vehicle without previously established tire model. J. Frankl. Inst. 2022, 359, 7051–7068. [Google Scholar] [CrossRef]
- Zhang, Z.D.; Zheng, L.; Wu, H.; Zhang, Z.; Li, Y.; Liang, Y. An estimation scheme of road friction coefficient based on novel tyre model and improved SCKF. Veh. Syst. Dyn. 2021, 60, 2775–2804. [Google Scholar] [CrossRef]
- Jia, J.; Wong, P.K.; Li, W.; Li, P.; Xie, Z.; Zhao, J. Event-triggered fuzzy security path following control for autonomous ground vehicles with aperiodic DoS attacks. IEEE Trans. Intell. Transp. Syst. 2025, 26, 12909–12921. [Google Scholar] [CrossRef]
- Zhang, Q.; Hou, J.; Hu, X.; Yuan, L.; Jankowski, Ł.; An, X.; Duan, Z. Vehicle parameter identification and road roughness estimation using vehicle responses measured in field tests. Measurement 2022, 199, 111348. [Google Scholar] [CrossRef]
- Lio, M.D.; Piccinini, M.; Biral, F. Robust and Sample-Efficient Estimation of Vehicle Lateral Velocity Using Neural Networks With Explainable Structure Informed by Kinematic Principles. IEEE Trans. Intell. Transp. Syst. 2023, 24, 13670–13684. [Google Scholar] [CrossRef]
- Henning, K.U.; Speidel, S.; Gottmann, F.; Sawodny, O. Integrated lateral dynamics control concept for over-actuated vehicles with state and parameter estimation and experimental validation. Control Eng. Pract. 2021, 107, 104704. [Google Scholar] [CrossRef]
- Song, R.; Fang, Y. Vehicle state estimation for INS/GPS aided by sensors fusion and SCKF-based algorithm. Mech. Syst. Signal Process. 2021, 150, 107315. [Google Scholar] [CrossRef]
- Zhao, J.; Li, R.; Zheng, X.; Li, W.; Hu, C.; Liang, Z. Constrained fractional-order model predictive control for robust path following of FWID-AGVs with asymptotic prescribed performance. IEEE Trans. Veh. Technol. 2025, 74, 2692–2705. [Google Scholar] [CrossRef]
- Liu, Y.H.; Li, T.; Yang, Y.Y.; Ji, X.W.; Wu, J. Estimation of tire-road friction coefficient based on combined APF-IEKF and iteration algorithm. Mech. Syst. Signal Process 2017, 88, 25–35. [Google Scholar] [CrossRef]
- Zhao, J.; Dong, J.; Wong, P.K.; Liu, J.; Pang, T.H.; Yang, Z.; Ma, X.; Xie, Z. Random multiphysics measurement for electro-hydraulic system with hysteresis diagnosis. IEEE Trans. Instrum. Meas. 2025, 74, 1–14. [Google Scholar] [CrossRef]
- Deng, H.; Zhao, Y.; Feng, S.; Wang, Q.; Zhang, C.; Lin, F. Torque vectoring algorithm based on mechanical elastic electric wheels with consideration of the stability and economy. Energy 2021, 219, 119643. [Google Scholar] [CrossRef]
- Wang, H.; Chen, Y.; Cai, Y.; Chen, L.; Li, Y.; Sotelo, M.A.; Li, Z. SFNet-N: An Improved SFNet Algorithm for Semantic Segmentation of Low-light Autonomous Driving Road Scenes. IEEE Trans. Intell. Transp. Syst. 2022, 23, 21405–21417. [Google Scholar] [CrossRef]
- Li, J.; Wu, Z.; Li, M.; Shang, Z. Dynamic measurement method for steering wheel angle of autonomous agricultural vehicles. Agriculture 2024, 14, 1602. [Google Scholar] [CrossRef]
- Lu, E.; Xue, J.; Chen, T.; Jiang, S. Robust trajectory tracking control of an autonomous tractor-trailer considering model parameter uncertainties and disturbances. Agriculture 2023, 13, 869. [Google Scholar] [CrossRef]
- Ghorbani, M.; Hosseinzadeh, A.; Pirani, M.; Khajepour, A. Robust Transformer-Enhanced Tire Force Estimation: Combining Model-Based Observer and Deep Learning. IEEE/ASME Trans. Mechatron 2026. [Google Scholar] [CrossRef]
- Reina, G.; Leanza, A.; Mantriota, G. Model-based observers for vehicle dynamics and tyre force prediction. Veh. Syst. Dyn. 2021, 60, 2845–2870. [Google Scholar] [CrossRef]
- Alcala, E.; Puig, V.; Quevedo, J.; Escobet, T.; Comasolivas, R. Autonomous vehicle control using a kinematic Lyapunov-based technique with LQR-LMI tuning. Control Eng. Pract. 2018, 73, 1–12. [Google Scholar] [CrossRef]
- Sun, J.; Wang, Z.; Ding, S.; Xia, J.; Xing, G. Adaptive Disturbance Observer-Based Fixed Time Nonsingular Terminal Sliding Mode Control for Path-Tracking of Unmanned Agricultural Tractors. Biosyst. Eng. 2024, 246, 96–109. [Google Scholar] [CrossRef]
- Leng, B.; Jin, D.; Xiong, L.; Yang, X.; Yu, Z.P. Estimation of tire-road peak adhesion coefficient for intelligent electric vehicles based on camera and tire dynamics information fusion. Mech. Syst. Signal Process. 2021, 150, 107275. [Google Scholar] [CrossRef]
- Xia, X.; Xiong, L.; Lu, Y.S.; Gao, L.T.; Yu, Z.P. Vehicle sideslip angle estimation by fusing inertial measurement unit and global navigation satellite system with heading alignment. Mech. Syst. Signal Process. 2021, 150, 107290. [Google Scholar] [CrossRef]
- Li, J.; Shang, Z.; Li, R.; Cui, B. Adaptive Sliding Mode Path Tracking Control of Unmanned Rice Transplanter. Agriculture 2022, 12, 1225. [Google Scholar] [CrossRef]
- Jiang, Y.; Meng, H.; Chen, G.P.; Yang, C.N.; Xu, X.J.; Zhang, L.; Xu, H.J. Differential-steering based path tracking control and energy-saving torque distribution strategy of 6WID unmanned ground vehicle. Energy 2022, 254, 124209. [Google Scholar] [CrossRef]
- Yang, X.; Wu, C.; He, Y.; Lu, X.Y.; Chen, T. A dynamic rollover prediction index of heavy-duty vehicles with a real-time parameter estimation algorithm using NLMS method. IEEE Trans. Veh. Technol. 2022, 71, 2734–2748. [Google Scholar] [CrossRef]
- Park, G. Optimal vehicle position estimation using adaptive unscented Kalman filter based on sensor fusion. Mechatronics 2024, 99, 103144. [Google Scholar] [CrossRef]
- Jensen, K.M.; Santos, I.F.; Clemmensen, L.K.H.; Theodorsen, S.; Corstens, H.J.P. Mass estimation of ground vehicles based on longitudinal dynamics using IMU and CAN-bus data. Mech. Syst. Signal Process. 2022, 162, 107982. [Google Scholar] [CrossRef]
- Zhang, X.; Xu, X.; Li, J.; Luo, Y.; Wang, G.; Brunauer, G.; Dustdar, S. Observer-based H∞ fuzzy fault-tolerant switching control for ship course tracking with steering machine fault detection. ISA Trans. 2023, 140, 32–45. [Google Scholar] [CrossRef]
- Jensen, K.M.; Santos, I.F.; Clemmensen, L.K.H.; Theodorsen, S.; Corstens, H.J.P. Mass estimation of ground vehicles based on longitudinal dynamics using loosely coupled integrate navigation system and CAN-bus data with model parameter estimation. Mech. Syst. Signal Process. 2022, 171, 108925. [Google Scholar] [CrossRef]
- Tufano, F.; Lui, D.G.; Battistini, S.; Brancati, R.; Lenzo, B.; Santini, S. Vehicle sideslip angle estimation under critical road conditions via nonlinear Kalman filter-based state-dependent interacting multiple model approach. Control Eng. Pract. 2024, 146, 105901. [Google Scholar] [CrossRef]
- Rafael, A.C.; Alessandro, C.V.; Jose, R.A.; Azinheira, A.V.F.; Ely, C.P.; Samuel, S.B. Estimation of vertical, lateral, and longitudinal tire forces in four-wheel vehicles using a delayed interconnected cascade-observer structure. IEEE-ASME Trans. Mech. 2019, 24, 561–571. [Google Scholar]
- Chindamo, D.; Lenzo, B.; Gadola, M. On the Vehicle Sideslip Angle Estimation: A Literature Review of Methods, Models, and Innovations. Appl. Sci. 2018, 8, 355. [Google Scholar] [CrossRef]
- Li, Z.; Wang, P.; Liu, H.; Hu, Y.; Chen, H. Coordinated longitudinal and lateral vehicle stability control based on the combined-slip tire model in the MPC framework. Veh. Syst. Dyn. 2021, 161, 107947. [Google Scholar]
- Wang, Z.J.; Zhou, X.Y.; Wang, J.M. Extremum-Seeking-Based Adaptive Model-Free Control and Its Application to Automated Vehicle Path Tracking. IEEE-ASME Trans. Mechatron. 2022, 27, 3874–3884. [Google Scholar] [CrossRef]
- Wang, R.; Zhang, K.; Ding, R.; Jiang, Y.; Jiang, Y. A Novel Hydraulic Interconnection Design and Sliding Mode Synchronization Control of Leveling System for Crawler Work Machine. Agriculture 2025, 15, 137. [Google Scholar] [CrossRef]
- Xu, F.X.; Zhou, C.; Liu, X.H.; Wang, J. GRNN inverse system based decoupling control strategy for active front steering and hydro-pneumatic suspension systems of emergency rescue vehicle. Mech. Syst. Signal Process. 2022, 167, 108595. [Google Scholar] [CrossRef]
- Zhu, S.; Wang, B.; Pan, S.; Ye, Y.; Wang, E.; Mao, H. Task Allocation of Multi-Machine Collaborative Operation for Agricultural Machinery Based on the Improved Fireworks Algorithm. Agronomy 2024, 14, 710. [Google Scholar] [CrossRef]
- Zhou, Z.; Wu, H.; Wang, G.; Wang, Y.; Liu, Y. Uncertainty-Aware Hybrid Estimation Architecture for Generalized Vehicle Lateral State Monitoring. IEEE/ASME Trans. Mechatron 2026. [Google Scholar] [CrossRef]
- Chen, T.; Xu, X.; Cai, Y.; Chen, L.; Ke, L. QPSOMPC-based chassis coordination control of 6WIDAGV for vehicle stability and trajectory tracking. J. Frankl. Inst. 2025, 362, 107458. [Google Scholar] [CrossRef]











| km | λ0 | |||||
|---|---|---|---|---|---|---|
| T | S | M | L | H | ||
| vx | T | T | S | M | M | L |
| S | T | S | M | L | L | |
| M | S | S | M | L | H | |
| L | H | M | L | H | H | |
| H | M | L | L | H | H | |
| Symbol | Value and Units |
|---|---|
| m | 710 kg |
| r | 0.245 m |
| lf | 0.795 m |
| lr | 0.975 m |
| bf, br | 0.775 m |
| Cf | 60,000 N/rad |
| Cr | 40,000 N/rad |
| Manoeuvre | DLC | J-Turn | Experiment | |||
|---|---|---|---|---|---|---|
| State | γ | β | γ | β | γ | β |
| DRO | 0.1871 | 0.0389 | 3.2159 | 0.4333 | 0.3018 | 0.0363 |
| ASUKF | 0.2155 | 0.0414 | 1.997 | 0.2136 | 0.3302 | 0.0381 |
| Fusion | 0.0687 | 0.0137 | 0.3602 | 0.0695 | 0.1219 | 0.0182 |
| Manoeuvre | DLC | J-Turn | Experiment | |||
|---|---|---|---|---|---|---|
| State | γ | β | γ | β | γ | β |
| DRO | 0.4111 | 0.0496 | 0.2967 | 0.2006 | 0.4307 | 0.4114 |
| ASUKF | 0.3878 | 0.0414 | 0.2331 | 0.1968 | 0.4522 | 0.3802 |
| Fusion | 0.0669 | 0.0663 | 0.0451 | 0.0387 | 0.2941 | 0.2386 |
Disclaimer/Publisher’s Note: The statements, opinions and data contained in all publications are solely those of the individual author(s) and contributor(s) and not of MDPI and/or the editor(s). MDPI and/or the editor(s) disclaim responsibility for any injury to people or property resulting from any ideas, methods, instructions or products referred to in the content. |
© 2026 by the authors. Licensee MDPI, Basel, Switzerland. This article is an open access article distributed under the terms and conditions of the Creative Commons Attribution (CC BY) license.
Share and Cite
Chen, X.; Cheng, K.; Chen, T.; Dou, G.; Cheng, X.; Wang, X. Sideslip Angle Estimation for Electric Vehicles Based on Adaptive Weight Fusion: Collaborative Optimization of Robust Observer and Kalman Filter. Algorithms 2026, 19, 189. https://doi.org/10.3390/a19030189
Chen X, Cheng K, Chen T, Dou G, Cheng X, Wang X. Sideslip Angle Estimation for Electric Vehicles Based on Adaptive Weight Fusion: Collaborative Optimization of Robust Observer and Kalman Filter. Algorithms. 2026; 19(3):189. https://doi.org/10.3390/a19030189
Chicago/Turabian StyleChen, Xi, Kanghui Cheng, Te Chen, Guowei Dou, Xinlong Cheng, and Xiaoyu Wang. 2026. "Sideslip Angle Estimation for Electric Vehicles Based on Adaptive Weight Fusion: Collaborative Optimization of Robust Observer and Kalman Filter" Algorithms 19, no. 3: 189. https://doi.org/10.3390/a19030189
APA StyleChen, X., Cheng, K., Chen, T., Dou, G., Cheng, X., & Wang, X. (2026). Sideslip Angle Estimation for Electric Vehicles Based on Adaptive Weight Fusion: Collaborative Optimization of Robust Observer and Kalman Filter. Algorithms, 19(3), 189. https://doi.org/10.3390/a19030189
