Sign in to use this feature.

Years

Between: -

Subjects

remove_circle_outline
remove_circle_outline
remove_circle_outline
remove_circle_outline
remove_circle_outline
remove_circle_outline
remove_circle_outline
remove_circle_outline
remove_circle_outline

Journals

remove_circle_outline
remove_circle_outline
remove_circle_outline
remove_circle_outline
remove_circle_outline
remove_circle_outline
remove_circle_outline
remove_circle_outline
remove_circle_outline
remove_circle_outline
remove_circle_outline
remove_circle_outline
remove_circle_outline
remove_circle_outline

Article Types

Countries / Regions

remove_circle_outline
remove_circle_outline
remove_circle_outline
remove_circle_outline
remove_circle_outline
remove_circle_outline

Search Results (1,837)

Search Parameters:
Keywords = non-point source

Order results
Result details
Results per page
Select all
Export citation of selected articles as:
29 pages, 48004 KB  
Article
A Method for Determining the Affected Areas of High-Alpine Mountain Trails
by Andrej Bašelj, Damijana Kastelec, Mojca Golobič, Žiga Malek and Žiga Kokalj
Land 2026, 15(1), 200; https://doi.org/10.3390/land15010200 (registering DOI) - 22 Jan 2026
Abstract
High-mountain areas with sensitive ecosystems are experiencing a steady increase in visitation, with visitors progressively moving outside designated trails, generating pressures on the natural environment. In extensive areas with numerous access points, it is difficult to monitor visitors’ movement and resulting impacts. This [...] Read more.
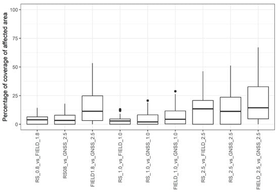
High-mountain areas with sensitive ecosystems are experiencing a steady increase in visitation, with visitors progressively moving outside designated trails, generating pressures on the natural environment. In extensive areas with numerous access points, it is difficult to monitor visitors’ movement and resulting impacts. This article describes a method for combining various data sources and approaches to determine affected areas, including their locations and extent. The method combines (1) field-mapping, (2) remote-sensing data display analysis, and (3) processing of publicly available GNSS tracks from sports applications, using 46 test plots along a selected trail to Mount Triglav in Slovenia. Affected-area surfaces and their spatial overlap were compared across the three approaches. The usefulness of remote-sensing displays and GNSS tracks for determining and predicting affected areas was assessed by reference to field measurements. A linear regression model showed that the display-analysis approach can explain 52.7% of the variability in field-mapping approach, while GNSS tracks do not provide enough information nor the accuracy comparable to field surveys. This study can help other researchers and nature-protection managers in selecting most suitable data derived from non-traditional sources to improve delineation of hiking trails and estimation of potential pressures on fragile environments. Full article
Show Figures

Figure 1

10 pages, 221 KB  
Article
Comparison of a Single-Shot Antibiotic Protocol Compared to a Conventional 5-Day Antibiotic Protocol in Equine Diagnostic Laparotomy Regarding Pre- and Postoperative Colonization with Multi-Drug-Resistant Indicator Pathogens
by Sabita Diana Stöckle, Dania Annika Kannapin, Roswitha Merle, Antina Lübke-Becker and Heidrun Gehlen
Antibiotics 2026, 15(1), 106; https://doi.org/10.3390/antibiotics15010106 - 21 Jan 2026
Abstract
Objective: The emergence and spread of multi-drug-resistant (MDR) bacteria pose a growing threat in veterinary medicine, particularly in equine hospitals. This study investigated the colonization and infection dynamics of horses undergoing emergency laparotomy with two distinct antibiotic protocols (single-shot versus 5-day protocol) during [...] Read more.
Objective: The emergence and spread of multi-drug-resistant (MDR) bacteria pose a growing threat in veterinary medicine, particularly in equine hospitals. This study investigated the colonization and infection dynamics of horses undergoing emergency laparotomy with two distinct antibiotic protocols (single-shot versus 5-day protocol) during hospitalization. Methods: Nasal swabs and fecal samples were collected from 67 horses undergoing emergency laparotomy at clinic admission as well as on postoperative days 3 and 10. These were screened for multi-drug-resistant indicator pathogens. As multi-drug-resistant indicator pathogens, methicillin-resistant Staphylococcus aureus (MRSA), extended-spectrum β-lactamase (ESBL)-producing Enterobacterales (ESBL-E), and bacteria belonging to the Acinetobacter baumannii complex were defined. Results: Preoperatively, 6.2% of horses tested positive for MRSA and 13% for ESBL-E. An increase in colonization was observed on day 3 postoperatively, with 62.1% of nasal swabs and 86.4% of fecal samples testing positive for MDR organisms. On day 10, 53.4% of nasal swabs and 62.5% of fecal samples tested positive for indicator pathogens. Surgical site infection developed in five horses, two of which tested positive for MRSA in both nasal and wound samples during hospitalization, supporting the potential role of nasal carriage as a source of infection. Furthermore, all horses tested positive for ESBL-E during at least one time-point during hospitalization, and Enterobacterales (MDR in two surgical site infections (SSI)) were involved in all surgical site infections. No significant differences were observed between the two antibiotic treatment groups regarding colonization rates with indicator pathogens during hospitalization. However, the results indicate that hospitalization itself contributes to increased colonization with resistant bacteria. A clear limitation of the study is the restricted number of sampled horses and the lack of environmental contamination data. Non-sampled hospitalized horses with and without antibiotic treatment may have acted as reservoirs for MDR bacteria. Conclusion: The findings emphasize the need for routine environmental monitoring and strict adherence to hygiene protocols in equine clinics to reduce the risk of nosocomial transmission. Ongoing surveillance and infection control strategies are essential to mitigate the spread of MDR pathogens in veterinary settings. Full article
(This article belongs to the Special Issue Antibiotic Resistance in Bacterial Isolates of Animal Origin)
19 pages, 480 KB  
Article
Associations Between Adherence to the EAT-Lancet Planetary Health Diet and Nutritional Adequacy, and Sociodemographic Factors Among Australian Adults
by Jayden B. Ordner, Claire Margerison, Linda A. Atkins and Ewa A. Szymlek-Gay
Nutrients 2026, 18(2), 340; https://doi.org/10.3390/nu18020340 - 21 Jan 2026
Abstract
Background/Objectives: Adherence to the EAT-Lancet Planetary Health Diet (PHD) may promote human health and environmental sustainability, yet evidence regarding adherence and nutritional adequacy in Australia is limited. Globally, no research to date has used the recently updated 2025 PHD guidelines. We benchmarked the [...] Read more.
Background/Objectives: Adherence to the EAT-Lancet Planetary Health Diet (PHD) may promote human health and environmental sustainability, yet evidence regarding adherence and nutritional adequacy in Australia is limited. Globally, no research to date has used the recently updated 2025 PHD guidelines. We benchmarked the compatibility of Australian adults’ dietary patterns with the 2025 PHD and examined its associations with nutritional adequacy and sociodemographic factors. Methods: This was a cross-sectional analysis of dietary data from 5655 adults who participated in the National Nutrition and Physical Activity Survey. Usual intakes were estimated from two 24 h recalls using the Multiple Source Method. PHD adherence was measured using the Healthy Reference Diet Score (0–130 points). Nutrient adequacy was assessed using the full probability method for iron and the Australian/New Zealand Estimated Average Requirement Cut-Point Method for all other nutrients. Survey-weighted regression models examined associations with nutritional adequacy and sociodemographic factors. Results: The mean PHD adherence score was 50 (SE 0.3) points. Higher adherence was associated with lower odds of inadequate intakes of several micronutrients, but with higher odds of inadequacy for vitamin B12 (OR: 1.24; 95% CI: 1.06, 1.45) and calcium (OR: 1.09; 95% CI: 1.01, 1.17). PHD adherence was higher among females, older adults, those with higher educational attainment, those born in countries where English is not the main language, two-person households and non-smokers; adherence was non-linearly associated with alcohol and was lower among those with a Body Mass Index ≥ 30 kg/m2. Conclusions: PHD adherence in Australia was low. Higher adherence was associated with improved adequacy for several micronutrients. Trade-offs for vitamin B12 and calcium warrant consideration. Equity-conscious strategies will be needed to support the adoption of nutritionally adequate, environmentally sustainable diets. Full article
(This article belongs to the Section Nutritional Epidemiology)
Show Figures

Figure 1

15 pages, 1045 KB  
Systematic Review
AI at the Bedside of Psychiatry: Comparative Meta-Analysis of Imaging vs. Non-Imaging Models for Bipolar vs. Unipolar Depression
by Andrei Daescu, Ana-Maria Cristina Daescu, Alexandru-Ioan Gaitoane, Ștefan Maxim, Silviu Alexandru Pera and Liana Dehelean
J. Clin. Med. 2026, 15(2), 834; https://doi.org/10.3390/jcm15020834 - 20 Jan 2026
Abstract
Background: Differentiating bipolar disorder (BD) from unipolar major depressive disorder (MDD) at first episode is clinically consequential but challenging. Artificial intelligence/machine learning (AI/ML) may improve early diagnostic accuracy across imaging and non-imaging data sources. Methods: Following PRISMA 2020 and a pre-registered [...] Read more.
Background: Differentiating bipolar disorder (BD) from unipolar major depressive disorder (MDD) at first episode is clinically consequential but challenging. Artificial intelligence/machine learning (AI/ML) may improve early diagnostic accuracy across imaging and non-imaging data sources. Methods: Following PRISMA 2020 and a pre-registered protocol on protocols.io, we searched PubMed, Scopus, Europe PMC, Semantic Scholar, OpenAlex, The Lens, medRxiv, ClinicalTrials.gov, and Web of Science (2014–8 October 2025). Eligible studies developed/evaluated supervised ML classifiers for BD vs. MDD at first episode and reported test-set discrimination. AUCs were meta-analyzed on the logit (GEN) scale using random effects (REML) with Hartung–Knapp adjustment and then back-transformed. Subgroup (imaging vs. non-imaging), leave-one-out (LOO), and quality sensitivity (excluding high risk of leakage) analyses were prespecified. Risk of bias used QUADAS-2 with PROBAST/AI considerations. Results: Of 158 records, 39 duplicates were removed and 119 records screened; 17 met qualitative criteria; and 6 had sufficient data for meta-analysis. The pooled random-effects AUC was 0.84 (95% CI 0.75–0.90), indicating above-chance discrimination, with substantial heterogeneity (I2 = 86.5%). Results were robust to LOO, exclusion of two high-risk-of-leakage studies (pooled AUC 0.83, 95% CI 0.72–0.90), and restriction to higher-rigor validation (AUC 0.83, 95% CI 0.69–0.92). Non-imaging models showed higher point estimates than imaging models; however, subgroup comparisons were exploratory due to the small number of studies: pooled AUC ≈ 0.90–0.92 with I2 = 0% vs. 0.79 with I2 = 64%; test for subgroup difference Q = 7.27, df = 1, p = 0.007. Funnel plot inspection and Egger/Begg tests found that we could not reliably assess small-study effects/publication bias due to the small number of studies. Conclusions: AI/ML models provide good and robust discrimination of BD vs. MDD at first episode. Non-imaging approaches are promising due to higher point estimates in the available studies and practical scalability, but prospective evaluation is needed and conclusions about modality superiority remain tentative given the small number of non-imaging studies (k = 2). Full article
(This article belongs to the Special Issue How Clinicians See the Use of AI in Psychiatry)
Show Figures

Figure 1

17 pages, 8308 KB  
Article
Exploratory LA-ICP-MS Imaging of Foliar-Applied Gold Nanoparticles and Nutrients in Lentil Leaves
by Lucia Nemček, Martin Šebesta, Shadma Afzal, Michaela Bahelková, Tomáš Vaculovič, Jozef Kollár, Matúš Maťko and Ingrid Hagarová
Appl. Sci. 2026, 16(2), 974; https://doi.org/10.3390/app16020974 - 18 Jan 2026
Viewed by 174
Abstract
Gold nanoparticles (Au-NP) are frequently used as model nanomaterials to study nanoparticle behavior in plants due to their analytical detectability and negligible natural background in plant tissues. However, the feasibility of visualizing the spatial distribution of foliar-applied Au-NP at low exposure levels using [...] Read more.
Gold nanoparticles (Au-NP) are frequently used as model nanomaterials to study nanoparticle behavior in plants due to their analytical detectability and negligible natural background in plant tissues. However, the feasibility of visualizing the spatial distribution of foliar-applied Au-NP at low exposure levels using laser ablation inductively coupled plasma mass spectrometry (LA-ICP-MS) remains insufficiently explored. In this study, commercially sourced Au-NP were applied to lentil leaves (Lens culinaris var. Beluga) at a low concentration of 0.5 mg·L−1 using a controlled leaf submersion approach. Leaves were sampled at 1 h, 24 h, and 96 h post-exposure and analyzed by LA-ICP-MS imaging to assess time-dependent changes in gold-associated spatial signals, and to compare elemental distribution patterns with non-exposed controls. Untreated control leaves showed no detectable gold at any sampling time point, confirming negligible native Au background. In treated leaves, LA-ICP-MS imaging revealed an initially localized Au hotspot at 1 h, followed by progressive Au redistribution toward the leaf margins and petiole region by 24 h and 96 h. Gold signals persisted over the full 96 h period, indicating stable association of Au-NP with leaf tissue. Comparative elemental mapping of Ca, Mg, K, P, Fe, Zn, and Cu showed no persistent differences in spatial distribution patterns between treated and control leaves as detectable by LA-ICP-MS. This study demonstrates the feasibility of LA-ICP-MS imaging for visualizing the deposition and temporal spatial redistribution of low-dose foliar-applied nanoparticles in intact leaves. The results provide a methodological reference for future hypothesis-driven studies that apply nanoparticles under more controlled conditions, include increased replication, and combine multiple analytical techniques. Full article
(This article belongs to the Special Issue Applications of Nanoparticles in the Environmental Sciences)
Show Figures

Figure 1

24 pages, 4276 KB  
Article
Nitrogen Dynamics and Environmental Sustainability in Rice–Crab Co-Culture System: Optimal Fertilization for Sustainable Productivity
by Hao Li, Shuxia Wu, Yang Xu, Weijing Li, Xiushuang Zhang, Siqi Ma, Wentao Sun, Bo Li, Bingqian Fan, Qiuliang Lei and Hongbin Liu
AgriEngineering 2026, 8(1), 34; https://doi.org/10.3390/agriengineering8010034 - 16 Jan 2026
Viewed by 127
Abstract
Rice–crab co-culture systems (RC) represent promising sustainable intensification approaches, yet their nitrogen (N) cycling and optimal fertilization strategies remain poorly characterized. In this study, we compared RC with rice monoculture system (RM) across four N gradients (0, 150, 210, and 270 kg N·hm [...] Read more.
Rice–crab co-culture systems (RC) represent promising sustainable intensification approaches, yet their nitrogen (N) cycling and optimal fertilization strategies remain poorly characterized. In this study, we compared RC with rice monoculture system (RM) across four N gradients (0, 150, 210, and 270 kg N·hm−2), assessing N dynamics in field water and N distribution in soil. The results showed that field water ammonium nitrogen (NH4+-N) concentrations increased nonlinearly, showing sharp increases beyond 210 kg N·hm−2. Notably, crab activity in the RC altered the N transformation and transport processes, leading to a prolonged presence of nitrate nitrogen (NO3-N) in field water for two additional days after tillering fertilization compared to RM. This indicates a critical window for potential nitrogen loss risk, rather than enhanced retention, 15 days after basal fertilizer application. Compared to RM, RC exhibited enhanced nitrogen retention capacity, with NO3-N concentrations remaining elevated for an additional two days following tillering fertilization, suggesting a potential critical period for nitrogen loss risk. Post-harvest soil analysis revealed contrasting nitrogen distribution patterns: RC showed enhanced NH4+-N accumulation in surface layers (0–2 cm) with minimal vertical NO3-N redistribution, while RM exhibited progressive NO3-N increases in subsurface layers (2–10 cm) with increasing fertilizer rates. The 210 kg N·hm−2 rate proved optimal for the RC, producing a rice yield 12.08% higher than that of RM and sustaining high crab yields, while avoiding the excessive aqueous N levels seen at higher rates. It is important to note that these findings are based on a single-site, single-growing season field experiment conducted in Panjin, Liaoning Province, and thus the general applicability of the optimal nitrogen rate may require further validation across diverse environments. We conclude that a fertilization rate of 210 kg N·hm−2 is the optimal strategy for RC, effectively balancing productivity and environmental sustainability. This finding provides a clear, quantitative guideline for precise N management in integrated aquaculture systems. Full article
(This article belongs to the Section Sustainable Bioresource and Bioprocess Engineering)
Show Figures

Figure 1

19 pages, 3754 KB  
Article
Raised Seedbed Cultivation with Annual Rice–Spring Crop Utilization Enhances Crop Yields and Reshapes Methane Functional Microbiome Assembly and Interaction Networks
by Xuewei Yin, Xinyu Chen, Lelin You, Xiaochun Zhang, Ling Wei, Zifang Wang, Wencai Dai and Ming Gao
Agronomy 2026, 16(2), 223; https://doi.org/10.3390/agronomy16020223 - 16 Jan 2026
Viewed by 227
Abstract
Tillage and crop rotation alter soil environments, thereby influencing both crop yields and methane-cycling microbiomes, yet their combined effects on microbial diversity, assembly, and interaction networks remain unclear. Using a two-factor field experiment, we assessed the impacts of raised seedbed vs. flat cultivation [...] Read more.
Tillage and crop rotation alter soil environments, thereby influencing both crop yields and methane-cycling microbiomes, yet their combined effects on microbial diversity, assembly, and interaction networks remain unclear. Using a two-factor field experiment, we assessed the impacts of raised seedbed vs. flat cultivation and rice–oilseed rape vs. rice–faba bean rotations on crop productivity and the ecology of methanogen (mcrA) and methanotroph (pmoA) communities. Raised seedbed cultivation significantly increased yields: rice yields were 7.6–9.6% higher in 2020 and 4.7–5.8% higher in 2021 than under flat cultivation (p < 0.05). Faba bean and oilseed rape yields were also improved. Flat rice–bean plots developed more reduced conditions and higher organic matter, with a higher NCM goodness-of-fit for methanogens (R2 = 0.466), indicating patterns more consistent with neutral (stochastic) assembly, whereas the lower fit for methanotrophs (R2 = 0.269) suggests weaker neutrality and stronger environmental filtering, accompanied by reduced richness and network complexity. In contrast, raised seedbed rice–oilseed rape plots improved redox potential and nutrient availability, sustaining both mcrA and pmoA diversity and fostering synergistic interactions, thereby enhancing community stability and indicating a potential for methane-cycle regulation. Overall, raised seedbed cultivation combined with legume rotation offers yield benefits and ecological advantages, providing a sustainable pathway for paddy management with potentially lower greenhouse gas risks. Full article
(This article belongs to the Section Agricultural Biosystem and Biological Engineering)
Show Figures

Figure 1

24 pages, 1474 KB  
Article
A Fractional Hybrid Strategy for Reliable and Cost-Optimal Economic Dispatch in Wind-Integrated Power Systems
by Abdul Wadood, Babar Sattar Khan, Bakht Muhammad Khan, Herie Park and Byung O. Kang
Fractal Fract. 2026, 10(1), 64; https://doi.org/10.3390/fractalfract10010064 - 16 Jan 2026
Viewed by 146
Abstract
Economic dispatch in wind-integrated power systems is a critical challenge, yet many recent metaheuristics suffer from premature convergence, heavy parameter tuning, and limited ability to escape local optima in non-smooth valve-point landscapes. This study proposes a new hybrid optimization framework, the Fractional Grasshopper [...] Read more.
Economic dispatch in wind-integrated power systems is a critical challenge, yet many recent metaheuristics suffer from premature convergence, heavy parameter tuning, and limited ability to escape local optima in non-smooth valve-point landscapes. This study proposes a new hybrid optimization framework, the Fractional Grasshopper Optimization algorithm (FGOA), which integrates fractional-order calculus into the standard Grasshopper Optimization algorithm (GOA) to enhance its search efficiency. The FGOA method is applied to the economic load dispatch (ELD) problem, a nonlinear and nonconvex task that aims to minimize fuel and wind-generation costs while satisfying practical constraints such as valve-point loading effects (VPLEs), generator operating limits, and the stochastic behavior of renewable energy sources. Owing to the increasing role of wind energy, stochastic wind power is modeled through the incomplete gamma function (IGF). To further improve computational accuracy, FGOA is hybridized with Sequential Quadratic Programming (SQP), where FGOA provides global exploration and SQP performs local refinement. The proposed FGOA-SQP approach is validated on systems with 3, 13, and 40 generating units, including mixed thermal and wind sources. Comparative evaluations against recent metaheuristic algorithms demonstrate that FGOA-SQP achieves more accurate and reliable dispatch outcomes. Specifically, the proposed approach achieves fuel cost reductions ranging from 0.047% to 0.71% for the 3-unit system, 0.31% to 27.25% for the 13-unit system, and 0.69% to 12.55% for the 40-unit system when compared with state-of-the-art methods. Statistical results, particularly minimum fitness values, further confirm the superior performance of the FGOA-SQP framework in addressing the ELD problem under wind power uncertainty. Full article
Show Figures

Figure 1

29 pages, 10493 KB  
Article
Water Surface Ratio and Inflow Rate of Paddy Polder Under the Stella Nitrogen Cycle Model
by Yushan Jiang, Junyu Hou, Fanyu Zeng, Jilin Cheng and Liang Wang
Sustainability 2026, 18(2), 897; https://doi.org/10.3390/su18020897 - 15 Jan 2026
Viewed by 78
Abstract
To address the challenge of optimizing hydrological parameters for nitrogen pollution control in paddy polders, this study coupled the Stella eco-dynamics model with an external optimization algorithm and developed a nonlinear programming framework using the water surface ratio and inflow rate as decision [...] Read more.
To address the challenge of optimizing hydrological parameters for nitrogen pollution control in paddy polders, this study coupled the Stella eco-dynamics model with an external optimization algorithm and developed a nonlinear programming framework using the water surface ratio and inflow rate as decision variables and the maximum nitrogen removal rate as the objective function. The simulation and optimization conducted for the Hongze Lake polder area indicated that the model exhibited strong robustness, as verified through Monte Carlo uncertainty analysis, with coefficients of variation (CV) of nitrogen outlet concentrations all below 3%. Under the optimal regulation scheme, the maximum nitrogen removal rates (η1, η2, and η4) during the soaking, tillering, and grain-filling periods reached 98.86%, 98.74%, and 96.26%, respectively. The corresponding optimal inflow rates (Q*) were aligned with the lower threshold limits of each growth period (1.20, 0.80, and 0.50 m3/s). The optimal channel water surface ratios (A1*) were 3.81%, 3.51%, and 3.34%, respectively, while the optimal pond water surface ratios (A2*) were 19.94%, 16.30%, and 17.54%, respectively. Owing to the agronomic conflict between “water retention without drainage” and concentrated fertilization during the heading period, the maximum nitrogen removal rate (η3) during this stage was only 37.34%. The optimal channel water surface ratio (A1*) was 2.37%, the pond water surface ratio (A2*) was 19.04%, and the outlet total nitrogen load increased to 8.39 mg/L. Morphological analysis demonstrated that nitrate nitrogen and organic nitrogen dominated the outlet water body. The “simulation–optimization” coupled framework established in this study can provides quantifiable decision-making tools and methodological support for the precise control and sustainable management of agricultural non-point source pollution in the floodplain area. Full article
Show Figures

Figure 1

23 pages, 1793 KB  
Article
Multisource POI-Matching Method Based on Deep Learning and Feature Fusion
by Yazhou Ding, Qi Tian, Yun Han, Cailin Li, Yue Wang and Baoyun Guo
Appl. Sci. 2026, 16(2), 796; https://doi.org/10.3390/app16020796 - 13 Jan 2026
Viewed by 130
Abstract
In the fields of geographic information science and location-based services, the fusion of multisource Point-of-Interest (POI) data is of remarkable importance but faces several challenges. Existing matching methods, including those based on single non-spatial attributes, single spatial geometric features, and traditional hybrid methods [...] Read more.
In the fields of geographic information science and location-based services, the fusion of multisource Point-of-Interest (POI) data is of remarkable importance but faces several challenges. Existing matching methods, including those based on single non-spatial attributes, single spatial geometric features, and traditional hybrid methods with fixed rules, suffer from limitations such as reliance on a single feature and inadequate consideration of spatial context. This study takes Dongcheng District, Beijing, as the research area and proposes a POI-matching method based on multi-feature value calculation and a deep neural network (DNN) model. The method comprehensively incorporates multidimensional features such as names, addresses, and spatial distances. Additionally, the approach also incorporates an improved multilevel name association strategy, an address similarity calculation using weighted edit distance, and a spatial distance model that accounts for spatial density and regional functional types. Furthermore, the method utilizes a deep learning model to automatically learn POI entity features and optimize the matching rules. Experimental results show that the precision, recall, and F1 value of the proposed method achieved 97.2%, 97.0%, and 0.971, respectively, notably outperforming traditional methods. Overall, this method provides an efficient and reliable solution for geospatial data integration and POI applications, and offers strong support for GIS optimization, smart city construction, and scientific urban/town planning. However, this method still has room for improvement in terms of data source quality and algorithm optimization. Full article
(This article belongs to the Section Computing and Artificial Intelligence)
Show Figures

Figure 1

26 pages, 1259 KB  
Article
Ultrasound Treatment in Berry Puree Production: Effects on Sensory, Rheological, and Chemical Properties
by Jan Piecko, Monika Mieszczakowska-Frąc, Niall J. Dickinson, Anna Wrzodak, Karolina Celejewska, Michael Bom Frøst, Belinda Lange, Charlotte Dandanell, Jacek Lewandowicz and Patrycja Jankowska
Molecules 2026, 31(2), 260; https://doi.org/10.3390/molecules31020260 - 12 Jan 2026
Viewed by 136
Abstract
Berries are a valuable source of health-promoting substances, including vitamins, microelements, and polyphenols. Optimising the extraction efficiency of these compounds during processing is crucial to minimise their loss into the waste stream. Ultrasound technology is recognised as a sustainable and promising tool for [...] Read more.
Berries are a valuable source of health-promoting substances, including vitamins, microelements, and polyphenols. Optimising the extraction efficiency of these compounds during processing is crucial to minimise their loss into the waste stream. Ultrasound technology is recognised as a sustainable and promising tool for improving extraction; however, previous literature has not sufficiently addressed the optimal point of its application in fruit puree processing, and its impact on the sensory properties of the final product has only occasionally been explored. As one of the first reports, this study aimed to determine the optimal moment for ultrasound application within a puree production scheme. In the second stage of the experiment, four recipes based on strawberry and haskap berry were tested. The results demonstrated the potential for enhancing sensory quality of puree by using an ultrasound treatment. It was found that the ultrasound-treated purees showed significantly higher pectin levels and improved rheological properties, while the content of anthocyanins and L-ascorbic acid remained mainly unchanged. This indicates that the non-thermal nature of ultrasound treatment can induce positive changes from a sensory and rheological point of view without causing the degradation of health-promoting compounds, offering a viable strategy for improving berry puree quality. Full article
Show Figures

Figure 1

28 pages, 1401 KB  
Article
Research on Extended STIRPAT Model of Agricultural Grey Water Footprint from the Perspective of Green Development
by Zhili Huang and Zhenhuang Lin
Processes 2026, 14(2), 268; https://doi.org/10.3390/pr14020268 - 12 Jan 2026
Viewed by 163
Abstract
The accounting and analysis of agricultural grey water footprint (AGWF) are crucial for building a low-water-consumption agricultural production model and improving water resource efficiency in Fujian Province. This study innovatively integrated green development indicators into an extended STIRPAT model, quantitatively analyzed the drivers [...] Read more.
The accounting and analysis of agricultural grey water footprint (AGWF) are crucial for building a low-water-consumption agricultural production model and improving water resource efficiency in Fujian Province. This study innovatively integrated green development indicators into an extended STIRPAT model, quantitatively analyzed the drivers of AGWF from six dimensions (population, economy, technology, dietary structure, meteorology, and green development) based on data from 2009 to 2023. The results indicated that the AGWF in Fujian Province exhibited an overall upward trend, increasing from 114.61 billion m3 to 221.30 billion m3. Population expansion (elasticity: 0.49853) and economic growth (elasticity: 0.46329) were identified as the primary positive drivers, while technological progress exerted a mitigating effect (elasticity: −0.07253). The impacts of dietary structure, precipitation, and green development measures, though statistically significant, were quantitatively limited within the study period (elasticities of 0.0312, 0.0273, and 0.004, respectively). These findings provide quantitative support for formulating targeted policies for agricultural water resource management and non-point source pollution control in regions with similar characteristics. Full article
Show Figures

Figure 1

13 pages, 3772 KB  
Article
Compact Digital Holography-Based Refractometer for Non-Invasive Characterization of Transparent Media
by Brandon R. Sulvarán-Salmoreno, Diego Torres-Armenta, Dulce Gonzalez-Utrera and David Moreno-Hernández
Optics 2026, 7(1), 6; https://doi.org/10.3390/opt7010006 - 9 Jan 2026
Viewed by 160
Abstract
This work presents a compact refractometric system based on In-Line Digital Holography (ILDH) for the non-invasive characterization of transparent media, encompassing both liquids and high-refractive-index optical glasses. The core of the system is a cost-effective, lensless setup in which a 532 nm laser [...] Read more.
This work presents a compact refractometric system based on In-Line Digital Holography (ILDH) for the non-invasive characterization of transparent media, encompassing both liquids and high-refractive-index optical glasses. The core of the system is a cost-effective, lensless setup in which a 532 nm laser source and a microscope objective generate a divergent spherical wavefront that illuminates a 10 μm aluminum particle. The resulting diffraction pattern, modulated by samples in the optical path, is recorded by a CMOS sensor. The refractive index of the sample is determined by numerically locating the axial position of the particle-reconstructed image, which directly corresponds to the optical path difference introduced by the test medium. The optimal reconstruction plane is objectively located using an autofocus algorithm based on the Kurtosis metric, which identifies the sharpest image. The system successfully characterizes media across a broad refractive index range from 1.33 to 1.78, yielding linear calibration curves for both liquid and solid samples. The instrument achieves an axial reconstruction resolution of 30 μm and a refractive index precision of ±0.01 RIU. This ILDH approach offers a highly portable, cost-effective, and non-contact solution for refractive index measurement, demonstrating significant potential for industrial quality control and high-throughput point-of-care applications. Full article
(This article belongs to the Special Issue Advances in Biophotonics Using Optical Microscopy Techniques)
Show Figures

Figure 1

22 pages, 5183 KB  
Article
Optimizing Drainage Design to Reduce Nitrogen Losses in Rice Field Under Extreme Rainfall: Coupling Log-Pearson Type III and DRAINMOD-N II
by Anis Ur Rehman Khalil, Fazli Hameed, Junzeng Xu, Muhammad Mannan Afzal, Khalil Ahmad, Shah Fahad Rahim, Raheel Osman, Peng Chen and Zhenyang Liu
Water 2026, 18(2), 175; https://doi.org/10.3390/w18020175 - 8 Jan 2026
Viewed by 213
Abstract
The intensification of extreme rainfall events under changing climate regimes has heightened concerns over nutrient losses from paddy agriculture, particularly nitrogen (N), a primary contributor to non-point source pollution. Despite advances in drainage management, limited studies have integrated probabilistic rainfall modeling with N [...] Read more.
The intensification of extreme rainfall events under changing climate regimes has heightened concerns over nutrient losses from paddy agriculture, particularly nitrogen (N), a primary contributor to non-point source pollution. Despite advances in drainage management, limited studies have integrated probabilistic rainfall modeling with N transport simulation to evaluate mitigation strategies in rice-based systems. This study addresses this critical gap by coupling the Log-Pearson Type III (LP-III) distribution with the DRAINMOD-N II model to simulate N dynamics under varying rainfall exceedance probabilities and drainage design configurations in the Kunshan region of eastern China. The DRAINMOD-N II showed good performance, with R2 values of 0.70 and 0.69, AAD of 0.05 and 0.39 mg L−1, and RMSE of 0.14 and 0.91 mg L−1 for NO3-N and NH4+-N during calibration, and R2 values of 0.88 and 0.72, AAD of 0.06 and 0.21 mg L−1, and RMSE of 0.10 and 0.34 mg L−1 during validation. Using around 50 years of historical precipitation data, we developed intensity–duration–frequency (IDF) curves via LP-III to derive return-period rainfall scenarios (2%, 5%, 10%, and 20%). These scenarios were then input into a validated DRAINMOD-N II model to assess nitrate-nitrogen (NO3-N) and ammonium-nitrogen (NH4+-N) losses across multiple drain spacing (1000–2000 cm) and depth (80–120 cm) treatments. Results demonstrated that NO3-N and NH4+-N losses increase with rainfall intensity, with up to 57.9% and 45.1% greater leaching, respectively, under 2% exceedance events compared to 20%. However, wider drain spacing substantially mitigated N losses, reducing NO3-N and NH4+-N loads by up to 18% and 12%, respectively, across extreme rainfall scenarios. The integrated framework developed in this study highlights the efficacy of drainage design optimization in reducing nutrient losses while maintaining hydrological resilience under extreme weather conditions. Full article
(This article belongs to the Section Water, Agriculture and Aquaculture)
Show Figures

Figure 1

34 pages, 5362 KB  
Article
Radial Extracorporeal Shock Wave Therapy Versus Multimodal Physical Therapy in Non-Traumatic (Degenerative) Rotator Cuff Tendinopathy with Partial Supraspinatus Tear: A Randomized Controlled Trial
by Zheng Wang, Lan Tang, Ni Wang, Lihua Huang, Christoph Schmitz, Jun Zhou, Yingjie Zhao, Kang Chen and Yanhong Ma
J. Clin. Med. 2026, 15(2), 471; https://doi.org/10.3390/jcm15020471 - 7 Jan 2026
Viewed by 487
Abstract
Background/Objectives: Non-traumatic (degenerative) rotator cuff tendinopathy with partial supraspinatus tear (NT-RCTT) is a common source of shoulder pain and disability. Comparative evidence between radial extracorporeal shock wave therapy (rESWT) and multimodal physical therapy modalities (PTMs) remains scarce. Methods: In this single-center randomized controlled [...] Read more.
Background/Objectives: Non-traumatic (degenerative) rotator cuff tendinopathy with partial supraspinatus tear (NT-RCTT) is a common source of shoulder pain and disability. Comparative evidence between radial extracorporeal shock wave therapy (rESWT) and multimodal physical therapy modalities (PTMs) remains scarce. Methods: In this single-center randomized controlled trial, 60 adults with MRI-confirmed NT-RCTT were assigned (1:1) to rESWT (one session weekly for six weeks; 2000 impulses per session, 2 bar air pressure, positive energy flux density 0.08 mJ/mm2; 8 impulses per second) or a multimodal PTM program (interferential current, shortwave diathermy and magnetothermal therapy; five sessions weekly for six weeks). All participants performed standardized home exercises. The primary outcome was the American Shoulder and Elbow Surgeons (ASES) total score; secondary outcomes included pain (visual analog scale, VAS), satisfaction, range of motion (ROM), supraspinatus tendon (ST) thickness and acromiohumeral distance (AHD). Assessments were conducted at baseline, and at week 6 (W6) and week 12 (W12) post-baseline. Results: Both interventions significantly improved all outcomes, but rESWT produced greater and faster effects. Mean ASES total scores increased by 31 ± 5 points with rESWT versus 26 ± 6 with PTMs (p < 0.05). VAS pain decreased from 5.2 ± 0.7 to 1.0 ± 0.7 with rESWT and from 5.2 ± 0.8 to 1.7 ± 0.8 with PTMs (p < 0.01). rESWT achieved higher satisfaction and larger gains in abduction, flexion and external rotation. Ultrasound showed reduced ST thickness and increased AHD after rESWT but not after PTMs. No serious adverse events occurred. Conclusions: rESWT yielded superior pain relief, functional recovery and tendon remodeling compared with a multimodal PTM program, with markedly lower treatment time and excellent tolerability. Full article
Show Figures

Figure 1

Back to TopTop