Raised Seedbed Cultivation with Annual Rice–Spring Crop Utilization Enhances Crop Yields and Reshapes Methane Functional Microbiome Assembly and Interaction Networks
Abstract
1. Introduction
2. Materials and Methods
2.1. Study Area and Experimental Materials
2.2. Experimental Design and Field Management
2.3. Soil Sampling and Analysis of Nutrients and Enzyme Activities
2.4. Measurement of Soil Reducing Substances and Redox Potential
2.5. Microbial-Community Analysis
2.6. Statistical Modelling and Analysis
3. Results and Discussion
3.1. Effects of Tillage Practices and Rotation Systems on Crop Yield and Soil Physicochemical Properties
3.2. Effects of Different Tillage Practices and Rotation Systems on Soil Redox Potential, Active Reducing Substances, and Enzyme Activities
3.3. Effects of Different Tillage Practices and Rotation Systems on the Diversity of Methanogenic and Methanotrophic Functional Communities in Paddy Soils
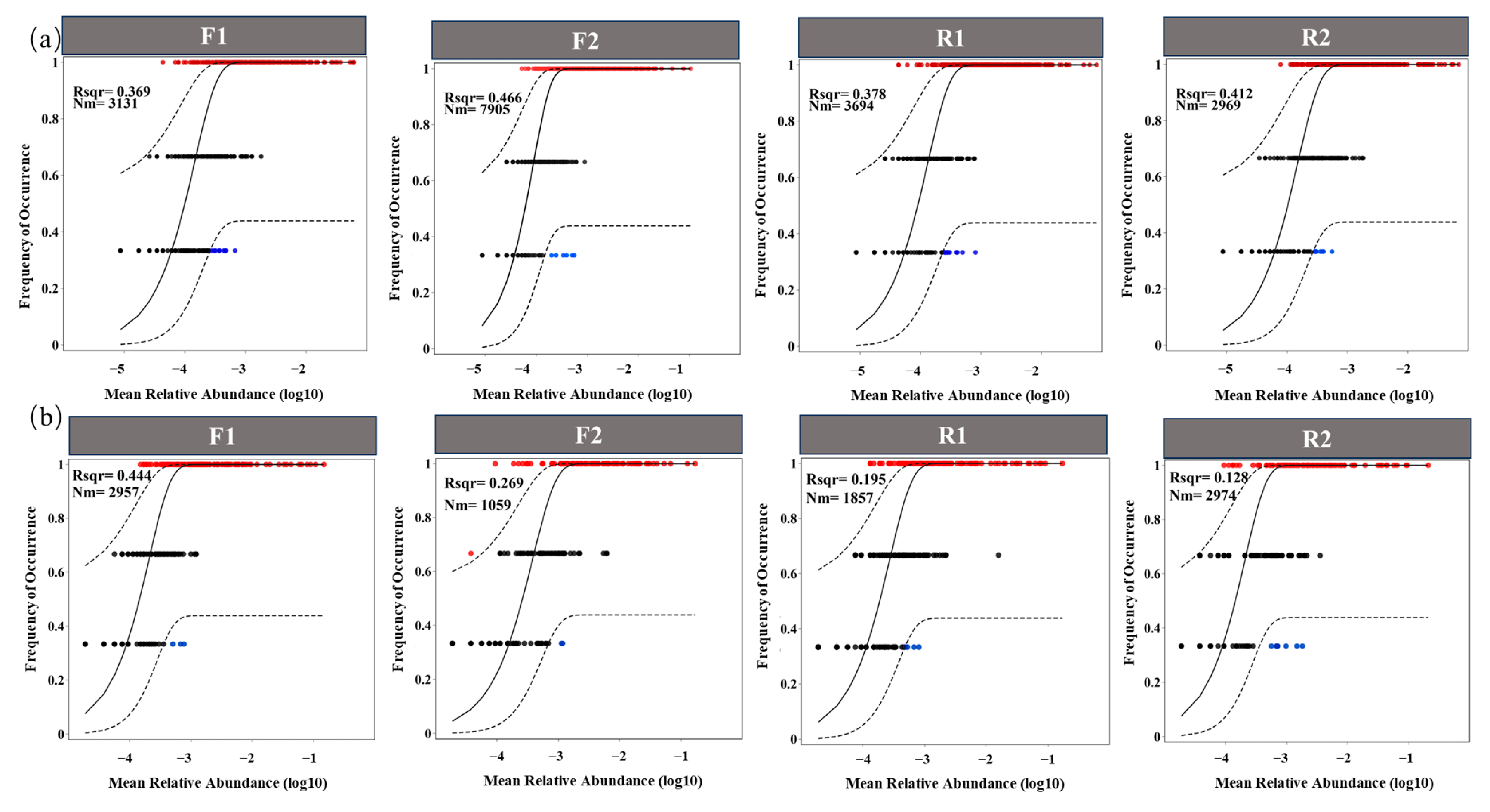
3.4. Neutral Community Assembly and Functional Network Differentiation of Methane-Cycling Microbes
3.5. Soil Physicochemical Drivers of Methanogenic and Methanotrophic Community Structures Under Tillage–Rotation Systems
4. Conclusions
Author Contributions
Funding
Data Availability Statement
Conflicts of Interest
References
- Liu, W.; Graham, E.B.; Zhong, L.; Zhang, J.; Li, W.; Li, Z.; Lin, X.; Feng, Y. Dynamic Microbial Assembly Processes Correspond to Soil Fertility in Sustainable Paddy Agroecosystems. Funct. Ecol. 2020, 34, 1244–1256. [Google Scholar] [CrossRef]
- Sainju, U.M.; Lenssen, A.W.; Allen, B.L.; Stevens, W.B.; Jabro, J.D. Soil Total Carbon and Crop Yield Affected by Crop Rotation and Cultural Practice. Agron. J. 2017, 109, 388–396. [Google Scholar] [CrossRef]
- Liu, Z.; Gu, H.; Liang, A.; Li, L.; Yao, Q.; Xu, Y.; Liu, J.; Jin, J.; Liu, X.; Wang, G. Conservation Tillage Regulates the Assembly, Network Structure and Ecological Function of the Soil Bacterial Community in Black Soils. Plant Soil 2022, 472, 207–223. [Google Scholar] [CrossRef]
- Ren, B.; Dong, S.; Liu, P.; Zhao, B.; Zhang, J. Ridge Tillage Improves Plant Growth and Grain Yield of Waterlogged Summer Maize. Agric. Water Manag. 2016, 177, 392–399. [Google Scholar] [CrossRef]
- Qin, C.; Wright, A.L.; Ma, L.; He, X.; Xie, D.; Jiang, X. Improving Nitrogen-use Efficiency by Using Ridge Tillage in Rice Paddy Soils. Soil Use Manag. 2022, 38, 528–536. [Google Scholar] [CrossRef]
- Tan, S.; Chen, B.; Zheng, H.; Xu, F.; Xu, H.; Wei, J.; Huang, H.; Tang, J. Effects of Cultivation Techniques on CH4 Emissions, Net Ecosystem Production, and Rice Yield in a Paddy Ecosystem. Atmos. Pollut. Res. 2019, 10, 274–282. [Google Scholar] [CrossRef]
- Bai, N.; Lv, W.; Chu, X.; Fan, H.; Li, S.; Zheng, X.; Zhang, J.; Zhang, H.; Zhang, H. Comparison of Soil Microbial Community and Physicochemical Properties between Rice–Fallow and Rice–Bean (Green Manure) Rotation. Soil Sci. Soc. Amer. J. 2022, 86, 593–603. [Google Scholar] [CrossRef]
- Jiang, M.; Xu, P.; Wu, L.; Zhao, J.; Wu, H.; Lin, S.; Yang, T.; Tu, J.; Hu, R. Methane Emission, Methanogenic and Methanotrophic Communities during Rice-Growing Seasons Differ in Diversified Rice Rotation Systems. Sci. Total Environ. 2022, 842, 156781. [Google Scholar] [CrossRef]
- Xia, M.; Ma, X.; Liu, J.; Wu, M.; Li, Z.; Liu, M. Potential Effect of Key Soil Bacterial Taxa on the Increase of Rice Yield under Milk Vetch Rotation. Front. Microbiol. 2023, 14, 1150505. [Google Scholar] [CrossRef]
- Lu, S.; Lepo, J.E.; Song, H.; Guan, C.; Zhang, Z. Increased Rice Yield in Long-Term Crop Rotation Regimes through Improved Soil Structure, Rhizosphere Microbial Communities, and Nutrient Bioavailability in Paddy Soil. Biol. Fertil. Soils 2018, 54, 909–923. [Google Scholar] [CrossRef]
- Gao, C.; Bezemer, T.M.; de Vries, F.T.; van Bodegom, P.M. Trade-Offs in Soil Microbial Functions and Soil Health in Agroecosystems. Trends Ecol. Evol. 2024, 39, 895–903. [Google Scholar] [CrossRef]
- Nwokolo, N.L.; Enebe, M.C. Methane Production and Oxidation—A Review on the pmoA and mcrA Gene Abundances for Understanding the Functional Potentials of Agricultural Soils. Pedosphere 2025, 35, 161–181. [Google Scholar] [CrossRef]
- Qin, T.; Liu, Y.; Hu, R.; Yang, K.; Zheng, B.; Li, J.; Liu, Z.; Li, P.; Ma, T.; Xiong, K.; et al. Reduction of Soil Methane Emissions from Croplands with 20–40 Years of Cultivation Mediated by Methane-Metabolizing Microorganisms. J. Clean. Prod. 2024, 435, 140489. [Google Scholar] [CrossRef]
- Kong, D.; Li, S.; Jin, Y.; Wu, S.; Chen, J.; Hu, T.; Wang, H.; Liu, S.; Zou, J. Linking Methane Emissions to Methanogenic and Methanotrophic Communities under Different Fertilization Strategies in Rice Paddies. Geoderma 2019, 347, 233–243. [Google Scholar] [CrossRef]
- Wang, Y.; Chen, P.; Wang, F.; Han, W.; Qiao, M.; Dong, W.; Hu, C.; Zhu, D.; Chu, H.; Zhu, Y. The Ecological Clusters of Soil Organisms Drive the Ecosystem Multifunctionality under Long-Term Fertilization. Environ. Int. 2022, 161, 107133. [Google Scholar] [CrossRef]
- Wang, B.; Meng, Y.; Deng, S.; Zhou, X.; Wang, S.; Wu, Y.; Wu, L.; Bai, Y.; Chen, D. Biodiversity of Soil Biota and Plants Stabilises Ecosystem Multifunctionality with Increasing Number of Global Change Factors. J. Ecol. 2025, 113, 1699–1711. [Google Scholar] [CrossRef]
- Wu, H.; Cui, H.; Fu, C.; Li, R.; Qi, F.; Liu, Z.; Yang, G.; Xiao, K.; Qiao, M. Unveiling the Crucial Role of Soil Microorganisms in Carbon Cycling: A Review. Sci. Total Environ. 2024, 909, 168627. [Google Scholar] [CrossRef]
- Liu, J.; Yang, L.; Adams, J.M.; Zhang, L.; Wang, J.; Wei, R.; Zhou, C. Divergent Biotic-Abiotic Mechanisms of Soil Organic Carbon Storage between Bulk and Rhizosphere Soils of Rice Paddies in the Yangtze River Delta. J. Environ. Manag. 2025, 389, 126179. [Google Scholar] [CrossRef]
- Hales, B.A.; Edwards, C.; Ritchie, D.A.; Hall, G.; Pickup, R.W.; Saunders, J.R. Isolation and Identification of Methanogen-Specific DNA from Blanket Bog Peat by PCR Amplification and Sequence Analysis. Appl. Environ. Microbiol. 1996, 62, 668–675. [Google Scholar] [CrossRef]
- Holmes, A.J.; Costello, A.; Lidstrom, M.E.; Murrell, J.C. Evidence That Participate Methane Monooxygenase and Ammonia Monooxygenase May Be Evolutionarily Related. FEMS Microbiol. Lett. 1995, 132, 203–208. [Google Scholar] [CrossRef]
- Sloan, W.T.; Lunn, M.; Woodcock, S.; Head, I.M.; Nee, S.; Curtis, T.P. Quantifying the Roles of Immigration and Chance in Shaping Prokaryote Community Structure. Environ. Microbiol. 2006, 8, 732–740. [Google Scholar] [CrossRef]
- Vinther, F.P.; Dahlmann Hansen, L. Effects of Ridging on Crop Performance and Symbiotic N2 Fixation of Fababean (Vicia faba L.). Soil Use Manag. 2006, 21, 205–211. [Google Scholar] [CrossRef]
- Zhang, W.; Li, L.; Liu, B.; Liu, J.; Chen, F.; Ni, J.; Wei, C.; Zhong, S. Effect of Ridge Tillage with Rice-Rape Rotation on the Root System and Yield of Crops. Plant Soil 2025, 510, 291–304. [Google Scholar] [CrossRef]
- Karki, S.; Adviento-Borbe, M.A.A.; Massey, J.H.; Reba, M.L. Assessing Seasonal Methane and Nitrous Oxide Emissions from Furrow-Irrigated Rice with Cover Crops. Agriculture 2021, 11, 261. [Google Scholar] [CrossRef]
- Ingver, A.; Tamm, Ü.; Tamm, I.; Tamm, S.; Tupits, I.; Bender, A.; Koppel, R.; Narits, L.; Koppel, M. Leguminous Pre-Crops Improved Quality of Organic Winter and Spring Cereals. Biol. Agric. Hortic. 2019, 35, 46–60. [Google Scholar] [CrossRef]
- Kvakić, M.; Pellerin, S.; Ciais, P.; Achat, D.L.; Augusto, L.; Denoroy, P.; Gerber, J.S.; Goll, D.; Mollier, A.; Mueller, N.D.; et al. Quantifying the Limitation to World Cereal Production Due to Soil Phosphorus Status. Global Biogeochem. Cycles 2018, 32, 143–157. [Google Scholar] [CrossRef]
- Tang, X.; Zhang, C.; Yu, Y.; Shen, J.; van Der Werf, W.; Zhang, F. Intercropping Legumes and Cereals Increases Phosphorus Use Efficiency; a Meta-Analysis. Plant Soil 2021, 460, 89–104. [Google Scholar] [CrossRef]
- Wang, S.; Guo, S.; Zhai, L.; Hua, L.; Khoshnevisan, B.; Wang, H.; Liu, H. Comprehensive Effects of Integrated Management on Reducing Nitrogen and Phosphorus Loss under Legume-Rice Rotations. J. Clean. Prod. 2022, 361, 132031. [Google Scholar] [CrossRef]
- Athmann, M.; Sondermann, J.; Kautz, T.; Köpke, U. Comparing Macropore Exploration by Faba Bean, Wheat, Barley and Oilseed Rape Roots Using in Situ Endoscopy. J. Soil Sci. Plant Nutr. 2019, 19, 689–700. [Google Scholar] [CrossRef]
- Sainju, U.M.; Lenssen, A.W.; Allen, B.L.; Stevens, W.B.; Jabro, J.D. Soil Residual Nitrogen under Various Crop Rotations and Cultural Practices. J. Plant Nutr. Soil Sci. 2017, 180, 187–198. [Google Scholar] [CrossRef]
- Kane, D.A.; Snapp, S.S.; Davis, A.S. Ridge Tillage Concentrates Potentially Mineralizable Soil Nitrogen, Facilitating Maize Nitrogen Uptake. Soil Sci. Soc. Am. J. 2015, 79, 81–88. [Google Scholar] [CrossRef]
- Li, B.; Chen, X.; Shi, X.; Liu, J.; Wei, Y.; Xiong, F. Effects of Ridge Tillage and Straw Mulching on Cultivation the Fresh Faba Beans. Agron. J. 2021, 11, 1054. [Google Scholar] [CrossRef]
- Zhang, T.; Jiku, M.A.S.; Li, L.; Ren, Y.; Li, L.; Zeng, X.; Colinet, G.; Sun, Y.; Huo, L.; Su, S. Soil Ridging Combined with Biochar or Calcium-Magnesium-Phosphorus Fertilizer Application: Enhanced Interaction with Ca, Fe and Mn in New Soil Habitat Reduces Uptake of As and Cd in Rice. Environ. Pollut. 2023, 332, 121968. [Google Scholar] [CrossRef] [PubMed]
- Aeppli, M.; Vranic, S.; Kaegi, R.; Kretzschmar, R.; Brown, A.R.; Voegelin, A.; Hofstetter, T.B.; Sander, M. Decreases in Iron Oxide Reducibility during Microbial Reductive Dissolution and Transformation of Ferrihydrite. Environ. Sci. Technol. 2019, 53, 8736–8746. [Google Scholar] [CrossRef]
- Pan, Z.; Wu, C.; Xing, Y.; Man, Y.; Jiang, T.; Ustiatik, R.; Niazi, N.K.; Wang, J.; Feng, X. Mitigating Methylmercury in Rice through Ridge Tillage: A Sustainable Solution for Mercury-Polluted Paddy Fields in Populated Regions. Environ. Pollut. 2025, 375, 126347. [Google Scholar] [CrossRef]
- Tsunemitsu, Y.; Yamaji, N.; Ma, J.F.; Kato, S.; Iwasaki, K.; Ueno, D. Rice Reduces Mn Uptake in Response to Mn Stress. Plant Signal. Behav. 2018, 13, e1422466. [Google Scholar] [CrossRef]
- Minamikawa, K.; Sakai, N. The Effect of Water Management Based on Soil Redox Potential on Methane Emission from Two Kinds of Paddy Soils in Japan. Agric. Ecosyst. Environ. 2005, 107, 397–407. [Google Scholar] [CrossRef]
- Huang, C.; Yang, W.; Chen, Y.; Han, X.; Khan, S.; Gao, Z.; Yang, Z. Ridge-furrow and Film-mulching Sowing Practices Enhance Enzyme Activity and Alter Fungi Communities. Agron. J. 2020, 112, 4775–4787. [Google Scholar] [CrossRef]
- Zhang, J.; Li, Y.; Yuan, J.; Wang, L.; Wei, G.; Liang, Z. Optimizing Maize Production and Soil Microbiome Structure through Reduced Chemical Nitrogen Supplemented with Organic Fertilizer. Plants 2025, 14, 2275. [Google Scholar] [CrossRef]
- Ren, B.; Hu, J.; Liu, P.; Zhao, B.; Zhang, J. Responses of Nitrogen Efficiency and Antioxidant System of Summer Maize to Waterlogging Stress under Different Tillage. PeerJ 2021, 9, e11834. [Google Scholar] [CrossRef]
- Guermazi-Toumi, S.; Chouari, R.; Sghir, A. Molecular Analysis of Methanogen Populations and Their Interactions within Anaerobic Sludge Digesters. Environ. Technol. 2019, 40, 2864–2879. [Google Scholar] [CrossRef]
- Wang, L.; Ge, J.; Feng, L.; Liu, Y.; Li, Y.; Wang, J.; Xiao, X.; Zhang, Z. The Synergism between Methanogens and Methanotrophs and the Nature of Their Contributions to the Seasonal Variation of Methane Fluxes in a Wetland: The Case of Dajiuhu Subalpine Peatland. Adv. Atmos. Sci. 2022, 39, 1375–1385. [Google Scholar] [CrossRef]
- Shu, C.; Liu, B.; Li, Y.; Chen, Q.; Li, L.; Shi, Y.; Xie, H.; Wang, Z.; Liao, Q.; Cheng, Q.; et al. Returning Low C/N Crop Straw to the Paddy Field Can Achieve the Dual Benefits of Reduced Methane Emissions and Enhanced Yield Stability. Agric. Ecosyst. Environ. 2025, 393, 109857. [Google Scholar] [CrossRef]
- Roy Chowdhury, T.; Mitsch, W.J.; Dick, R.P. Seasonal Methanotrophy across a Hydrological Gradient in a Freshwater Wetland. Ecol. Eng. 2014, 72, 116–124. [Google Scholar] [CrossRef]
- Schmitz, R.A.; Peeters, S.H.; Mohammadi, S.S.; Berben, T.; van Erven, T.; Iosif, C.A.; van Alen, T.; Versantvoort, W.; Jetten, M.S.M.; Op den Camp, H.J.M.; et al. Simultaneous Sulfide and Methane Oxidation by an Extremophile. Nat. Commun. 2023, 14, 2974. [Google Scholar] [CrossRef]
- Cai, M.; Yin, X.; Tang, X.; Zhang, C.; Zheng, Q.; Li, M. Metatranscriptomics Reveals Different Features of Methanogenic Archaea among Global Vegetated Coastal Ecosystems. Sci. Total Environ. 2022, 802, 149848. [Google Scholar] [CrossRef] [PubMed]
- Conrad, R.; Klose, M. Dynamics of the Methanogenic Archaeal Community in Anoxic Rice Soil upon Addition of Straw. Eur. J. Soil Sci. 2006, 57, 476–484. [Google Scholar] [CrossRef]
- Cui, J.; Zhao, J.; Wang, Z.; Cao, W.; Zhang, S.; Liu, J.; Bao, Z. Diversity of Active Root-Associated Methanotrophs of Three Emergent Plants in a Eutrophic Wetland in Northern China. AMB Express 2020, 10, 48. [Google Scholar] [CrossRef]
- Sengupta, A.; Stegen, J.C.; Meira Neto, A.A.; Wang, Y.; Neilson, J.W.; Tatarin, T.; Hunt, E.; Dontsova, K.; Chorover, J.; Troch, P.A.; et al. Assessing Microbial Community Patterns during Incipient Soil Formation from Basalt. J. Geophys. Res.- Biogeosci. 2019, 124, 941–958. [Google Scholar] [CrossRef]
- Tripathi, B.M.; Stegen, J.C.; Kim, M.; Dong, K.; Adams, J.M.; Lee, Y.K. Soil pH Mediates the Balance between Stochastic and Deterministic Assembly of Bacteria. ISME J. 2018, 12, 1072–1083. [Google Scholar] [CrossRef]
- Li, X.; Ye, F.; Xiang, H.; Hong, Y.; Wu, J.; Deng, M.; Wang, Y. Stochastic Processes Drive the Diversity and Composition of Methanogenic Community in a Natural Mangrove Ecosystem. Mar. Environ. Res. 2024, 195, 106373. [Google Scholar] [CrossRef] [PubMed]
- Jiao, S.; Lu, Y. Abundant Fungi Adapt to Broader Environmental Gradients than Rare Fungi in Agricultural Fields. Global Change Biol. 2020, 26, 4506–4520. [Google Scholar] [CrossRef] [PubMed]
- Ni, L.; Wu, J.; Dang, H.; Duarte, C.M.; Feng, K.; Deng, Y.; Zheng, D.; Zhang, D. Stand Age-Related Effects of Mangrove on Archaeal Methanogenesis in Sediments: Community Assembly and Co-Occurrence Patterns. Sci. Total Environ. 2024, 954, 176596. [Google Scholar] [CrossRef] [PubMed]
- Li, J.; Arif, M.; Li, C. Rare Methanotrophs Adapt to Broader Environmental Gradients than Abundant Methanotrophs in the Riparian Zone of the Three Gorges Reservoir. Land Degrad. Dev. 2024, 35, 249–263. [Google Scholar] [CrossRef]
- Ding, C.; Liu, Y.; Dumont, M.G.; Pan, H.; Zhao, K.; Li, Y.; Zhang, Q.; Luo, Y.; Jiao, S.; Di, H.; et al. Mean Annual Precipitation Modulates the Assembly of High-Affinity Methanotroph Communities and Methane Oxidation Activity across Grasslands. Agric. Ecosyst. Environ. 2024, 360, 108796. [Google Scholar] [CrossRef]
- Ayala-Ortiz, C.; Freire-Zapata, V.; Tfaily, M.M. Stochastic Assembly and Metabolic Network Reorganization Drive Microbial Resilience in Arid Soils. Commun. Earth Environ. 2025, 6, 647. [Google Scholar] [CrossRef]
- Cao, W.; Zhao, J.; Cai, Y.; Mo, Y.; Ma, J.; Zhang, G.; Jiang, X.; Jia, Z. Ridge with No-Tillage Facilitates Microbial N2 Fixation Associated with Methane Oxidation in Rice Soil. Sci. Total Environ. 2024, 923, 171172. [Google Scholar] [CrossRef]
- Wang, P.; Pang, S.; Xu, M.; Liu, W.; Zhang, Z.; Ji, B.; Zhang, X. Disturbances Consistently Restrain the Role of Random Migration in Grassland Soil Microbial Community Assembly. Global Ecol. Conserv. 2021, 26, e01452. [Google Scholar] [CrossRef]
- Li, D.; Ni, H.; Jiao, S.; Lu, Y.; Zhou, J.; Sun, B.; Liang, Y. Coexistence Patterns of Soil Methanogens Are Closely Tied to Methane Generation and Community Assembly in Rice Paddies. Microbiome 2021, 9, 20. [Google Scholar] [CrossRef]
- Zhou, L.; Wang, Z.; Li, P.; Sa, R.; Wang, Z.; Wang, N.; Xie, Y.; Yang, X. Microbial Inoculation Influences Bacterial and Autotrophic Community Assembly in Cow Dung–Cotton Straw Composting to Promote Carbon Sequestration and Humification. Environ. Technol. Innov. 2025, 39, 104290. [Google Scholar] [CrossRef]
- Wu, D.; Zhao, C.; Bai, H.; Feng, F.; Sui, X.; Sun, G. Characteristics and Metabolic Patterns of Soil Methanogenic Archaea Communities in the High-latitude Natural Forested Wetlands of China. Ecol. Evol. 2021, 11, 10396–10408. [Google Scholar] [CrossRef]
- Ji, W.; Ren, L.; Zhou, Z.; Yang, J.; Yang, Z.; Zhang, N.; Sun, J.; Chen, K.; Chai, W. Characteristics of Methanotrophic Communities and Their Physicochemical Driving Mechanisms in Estuarine and Nearshore Wetlands of Qinghai Lake. iScience 2025, 28, 113040. [Google Scholar] [CrossRef]
- Yuan, Z.; Zhou, Y.; Zou, L.; Chen, Z.; Gustave, W.; Duan, D.; Kappler, A.; Tang, X.; Xu, J. pH Dependence of Arsenic Speciation in Paddy Soils: The Role of Distinct Methanotrophs. Environ. Pollut. 2023, 318, 120880. [Google Scholar] [CrossRef] [PubMed]
- Husson, O. Redox Potential (Eh) and pH as Drivers of Soil/Plant/Microorganism Systems: A Transdisciplinary Overview Pointing to Integrative Opportunities for Agronomy. Plant Soil 2013, 362, 389–417. [Google Scholar] [CrossRef]
- Wen, X.; Yang, S.; Horn, F.; Winkel, M.; Wagner, D.; Liebner, S. Global Biogeographic Analysis of Methanogenic Archaea Identifies Community-Shaping Environmental Factors of Natural Environments. Front. Microbiol. 2017, 8, 1339. [Google Scholar] [CrossRef] [PubMed]
- Shukla, P.N.; Pandey, K.D.; Mishra, V.K. Environmental Determinants of Soil Methane Oxidation and Methanotrophs. Crit. Rev. Environ. Sci. Technol. 2013, 43, 1945–2011. [Google Scholar] [CrossRef]
- Guerrero-Cruz, S.; Cremers, G.; van Alen, T.A.; Op den Camp, H.J.M.; Jetten, M.S.M.; Rasigraf, O.; Vaksmaa, A. Response of the Anaerobic Methanotroph “Candidatus Methanoperedens Nitroreducens” to Oxygen Stress. Appl. Environ. Microbiol. 2018, 84, e01832-18. [Google Scholar] [CrossRef]
- Mohanty, S.R.; Kollah, B.; Sharma, V.K.; Singh, A.B.; Singh, M.; Rao, A.S. Methane Oxidation and Methane Driven Redox Process during Sequential Reduction of a Flooded Soil Ecosystem. Ann. Microbiol. 2014, 64, 65–74. [Google Scholar] [CrossRef]








| Genes | Primers | Sequences | Sizes (bq) | Reference |
|---|---|---|---|---|
| mcrA | ME1 | GCMATGCARATHGGWATGTC | 760 | [19] |
| ME2 | TCATKGCRTAGTTDGGRTAGT | |||
| pmoA | PmoA-A189F | GGNGACTGGGACTTCTGG | 493 | [20] |
| PmoA-A682F | GAASGCGAGAAGAASGC |
| Treatment | 2019 Crop Yield | 2020 Crop Yield | 2021 Crop Yield | ||||||
|---|---|---|---|---|---|---|---|---|---|
| Rice | Oilseed Rape | Faba Bean | Rice | Oilseed Rape | Faba Bean | Rice | Oilseed Rape | Faba Bean | |
| R1 | 7.55 ± 0.09 a | 2.35 ± 0.17 a | — | 9.46 ± 0.03 a | 2.42 ± 0.07 a | — | 7.48 ± 0.06 a | 2.43 ± 0.13 a | — |
| R2 | 7.55 ± 0.09 a | — | 2.98 ± 0.12 a | 9.11 ± 0.05 b | — | 2.85 ± 0.11 a | 7.33 ± 0.08 b | — | 2.82 ± 0.11 a |
| F1 | 7.11 ± 0.05 b | 2.15 ± 0.14 a | — | 8.63 ± 0.09 c | 2.08 ± 0.08 a | — | 7.07 ± 0.05 c | 2.22 ± 0.09 b | — |
| F2 | 7.11 ± 0.05 b | — | 2.55 ± 0.06 b | 8.47 ± 0.07 d | — | 2.44 ± 0.07 b | 7.00 ± 0.06 b | — | 2.48 ± 0.09 b |
| Two-way ANOVA | |||||||||
| Tillage | ** | — | — | ** | — | — | ** | — | — |
| Rotation | ns | — | — | ** | — | — | * | — | — |
| Tillage × Rotation | ns | — | — | ns | — | — | ns | — | — |
| Treatment | pH | SOM (g·kg−1) | TN (g·kg−1) | AP (mg·kg−1) | AK (mg·kg−1) | NH4+-N (mg·kg−1) | NO3−-N (mg·kg−1) |
|---|---|---|---|---|---|---|---|
| R1 | 5.4 ± 0.03 b | 19.23 ± 0.20 a | 0.99 ± 0.05 a | 60.42 ± 0.35 b | 62.47 ± 0.81 c | 38.34 ± 0.54 b | 10.78 ± 0.24 b |
| R2 | 5.6 ± 0.05 a | 19.21 ± 0.32 a | 0.93 ± 0.08 b | 74.42 ± 0.83 a | 95.36 ± 1.86 a | 41.14 ± 0.88 a | 11.53 ± 0.48 a |
| F1 | 5.2 ± 0.03 c | 17.05 ± 0.24 b | 0.95 ± 0.07 b | 48.09 ± 0.39 c | 58.89 ± 1.38 d | 37.84 ± 0.62 c | 10.14 ± 0.31 c |
| F2 | 5.6 ± 0.05 a | 19.17 ± 0.22 a | 0.87 ± 0.03 c | 61.42 ± 0.35 b | 83.02 ± 1.73 b | 40.04 ± 0.58 b | 10.81 ± 0.45 b |
| Two-way ANOVA | |||||||
| Tillage | ** | ** | ** | ** | ** | ** | ** |
| Rotation | ** | ** | ** | ** | ** | ** | ** |
| Tillage × Rotation | ** | ** | ns | ns | ** | ns | ns |
| Treatment | Eh (mV) | TRS (cmol·kg−1) | ARS (cmol·kg−1) | Fe2+ (cmol·kg−1) | Mn2+ (mg·L−1) |
|---|---|---|---|---|---|
| R1 | 44.33 ± 3.21 a | 4.81 ± 0.05 d | 0.91 ± 0.03 d | 0.30 ± 0.01 d | 154.97 ± 1.43 c |
| R2 | 43.0 ± 3.61 a | 5.41 ± 0.03 b | 1.29 ± 0.08 b | 0.42 ± 0.01 b | 166.07 ± 2.23 a |
| F1 | 14.67 ± 4.16 b | 5.30 ± 0.04 c | 1.01 ± 0.02 c | 0.40 ± 0.01 c | 160.17 ± 1.38 b |
| F2 | 15.0 ± 2.00 b | 5.76 ± 0.02 a | 1.42 ± 0.04 a | 0.46 ± 0.01 a | 169.91 ± 2.72 a |
| Two-way ANOVA | |||||
| Tillage | ** | ** | ** | * | * |
| Rotation | ns | ** | ** | ** | ** |
| Tillage × Rotation | ns | * | ns | * | ns |
| Treatment | SU (mg·g−1·d−1) | ACP (mg·g−1·d−1) | CAT (mg·g−1·d−1) | UR (mg·g−1·d−1) |
|---|---|---|---|---|
| Tillage | ** | ** | ** | ** |
| Rotation | * | ** | ** | * |
| Tillage × Rotation | ns | ns | ns | ns |
| Functional Gene | Treatment | Number of Nodes | Number of Edges | Positive (%) | Negative (%) | Average Degree | Network Density | Average Clustering Coefficient | Modularity |
|---|---|---|---|---|---|---|---|---|---|
| mcrA | F1 | 298 | 2432 | 74.8 | 25.2 | 16.3 | 0.06 | 0.98 | 0.72 |
| F2 | 299 | 4191 | 86.5 | 13.5 | 28.0 | 0.10 | 0.97 | 0.43 | |
| R1 | 341 | 7007 | 89.1 | 10.9 | 41.1 | 0.12 | 0.98 | 0.67 | |
| R2 | 359 | 4024 | 72.6 | 27.4 | 22.4 | 0.06 | 0.96 | 0.67 | |
| pmoA | F1 | 277 | 7646 | 90.3 | 9.7 | 55.2 | 0.20 | 1.00 | 0.50 |
| F2 | 172 | 3241 | 96.5 | 3.5 | 37.7 | 0.22 | 1.00 | 0.62 | |
| R1 | 307 | 11,195 | 97.5 | 2.5 | 73.0 | 0.24 | 1.00 | 0.52 | |
| R2 | 230 | 8392 | 89.2 | 10.8 | 73.0 | 0.32 | 1.00 | 0.32 |
Disclaimer/Publisher’s Note: The statements, opinions and data contained in all publications are solely those of the individual author(s) and contributor(s) and not of MDPI and/or the editor(s). MDPI and/or the editor(s) disclaim responsibility for any injury to people or property resulting from any ideas, methods, instructions or products referred to in the content. |
© 2026 by the authors. Licensee MDPI, Basel, Switzerland. This article is an open access article distributed under the terms and conditions of the Creative Commons Attribution (CC BY) license.
Share and Cite
Yin, X.; Chen, X.; You, L.; Zhang, X.; Wei, L.; Wang, Z.; Dai, W.; Gao, M. Raised Seedbed Cultivation with Annual Rice–Spring Crop Utilization Enhances Crop Yields and Reshapes Methane Functional Microbiome Assembly and Interaction Networks. Agronomy 2026, 16, 223. https://doi.org/10.3390/agronomy16020223
Yin X, Chen X, You L, Zhang X, Wei L, Wang Z, Dai W, Gao M. Raised Seedbed Cultivation with Annual Rice–Spring Crop Utilization Enhances Crop Yields and Reshapes Methane Functional Microbiome Assembly and Interaction Networks. Agronomy. 2026; 16(2):223. https://doi.org/10.3390/agronomy16020223
Chicago/Turabian StyleYin, Xuewei, Xinyu Chen, Lelin You, Xiaochun Zhang, Ling Wei, Zifang Wang, Wencai Dai, and Ming Gao. 2026. "Raised Seedbed Cultivation with Annual Rice–Spring Crop Utilization Enhances Crop Yields and Reshapes Methane Functional Microbiome Assembly and Interaction Networks" Agronomy 16, no. 2: 223. https://doi.org/10.3390/agronomy16020223
APA StyleYin, X., Chen, X., You, L., Zhang, X., Wei, L., Wang, Z., Dai, W., & Gao, M. (2026). Raised Seedbed Cultivation with Annual Rice–Spring Crop Utilization Enhances Crop Yields and Reshapes Methane Functional Microbiome Assembly and Interaction Networks. Agronomy, 16(2), 223. https://doi.org/10.3390/agronomy16020223
