Sign in to use this feature.

Years

Between: -

Subjects

remove_circle_outline
remove_circle_outline
remove_circle_outline
remove_circle_outline
remove_circle_outline
remove_circle_outline
remove_circle_outline

Journals

Article Types

Countries / Regions

Search Results (12)

Search Parameters:
Keywords = nitro chalcone

Order results
Result details
Results per page
Select all
Export citation of selected articles as:
17 pages, 2464 KB  
Article
Microwave-Assisted Catalytic Transfer Hydrogenation of Chalcones: A Green, Fast, and Efficient One-Step Reduction Using Ammonium Formate and Pd/C
by Wender Alves Silva, Sayuri Cristina Santos Takada, Felipe Marques Nogueira and Luiz Arthur Ramos Almeida
Organics 2025, 6(3), 40; https://doi.org/10.3390/org6030040 - 3 Sep 2025
Viewed by 1659
Abstract
Catalytic transfer hydrogenation (CTH) and microwave-assisted organic synthesis (MAOS) have each advanced the sustainability of reduction chemistry; however, their combined application to conjugated enones remains largely unexplored. To the best of our knowledge, no unified protocol has been reported for the rapid, one-pot [...] Read more.
Catalytic transfer hydrogenation (CTH) and microwave-assisted organic synthesis (MAOS) have each advanced the sustainability of reduction chemistry; however, their combined application to conjugated enones remains largely unexplored. To the best of our knowledge, no unified protocol has been reported for the rapid, one-pot conversion of chalcones into saturated alcohols under microwave irradiation. Herein, we report a concise and green method that integrates MAOS with Pd/C-catalyzed CTH, employing inexpensive ammonium formate in ethanol. In contrast to state-of-the-art hydrogenations that require pressurized H2 or costly metal complexes, our strategy (i) achieves complete conversion within 20 min at 60 °C, (ii) tolerates both electron-rich and electron-poor substrates, (iii) reduces nitro-substituted chalcones in a single step, and (iv) consumes < 0.005 kWh per reaction—an approximately 250-fold energy saving relative to conventional procedures. These results position microwave-driven CTH as a scalable alternative for synthesizing pharmacologically relevant saturated alcohol scaffolds from readily available chalcones. Full article
Show Figures

Graphical abstract

22 pages, 10199 KB  
Article
Novel Benzimidazole-Endowed Chalcones as α-Glucosidase and α-Amylase Inhibitors: An Insight into Structural and Computational Studies
by Prashasthi V. Rai, Ramith Ramu, P. Akhileshwari, Sudharshan Prabhu, Nupura Manish Prabhune, P. V. Deepthi, P. T. Anjana, D. Ganavi, A. M. Vijesh, Khang Wen Goh, Mohammad Z. Ahmed and Vasantha Kumar
Molecules 2024, 29(23), 5599; https://doi.org/10.3390/molecules29235599 - 27 Nov 2024
Cited by 6 | Viewed by 2341
Abstract
In search of novel antidiabetic agents, we synthesized a new series of chalcones with benzimidazole scaffolds by an efficient ‘one-pot’ nitro reductive cyclization method and evaluated their α-glucosidase and α-amylase inhibition studies. The ‘one-pot’ nitro reductive cyclization method offered a simple route for [...] Read more.
In search of novel antidiabetic agents, we synthesized a new series of chalcones with benzimidazole scaffolds by an efficient ‘one-pot’ nitro reductive cyclization method and evaluated their α-glucosidase and α-amylase inhibition studies. The ‘one-pot’ nitro reductive cyclization method offered a simple route for the preparation of benzimidazoles with excellent yield and higher purity compared to the other conventional acid- or base-catalyzed cyclization methods. 1H, 13C NMR, IR, and mass spectrum data were used to characterize the compounds. Single-crystal XRD data confirmed the 3D structure of compound 7c, which was crystalized in the P1¯ space group of the triclinic crystal system. Hirshfeld surface analysis validates the presence of O-H..O, O-H…N, and C-H…O intermolecular hydrogen bonds. From the DFT calculations, the energy gap between the frontier molecular orbitals in 7c was found to be 3.791 eV. From the series, compound 7l emerged as a potent antidiabetic agent with IC50 = 22.45 ± 0.36 µg/mL and 20.47 ± 0.60 µg/mL against α-glucosidase and α-amylase enzymes, respectively. The in silico molecular docking studies revealed that compound 7l has strong binding interactions with α-glucosidase and α-amylase proteins. Molecular dynamics studies also revealed the stability of compound 7l with α-glucosidase and α-amylase proteins. Full article
(This article belongs to the Section Medicinal Chemistry)
Show Figures

Graphical abstract

19 pages, 4020 KB  
Article
Position Matters: Effect of Nitro Group in Chalcones on Biological Activities and Correlation via Molecular Docking
by Alam Yair Hidalgo, Nancy Romero-Ceronio, Carlos Ernesto Lobato-García, Maribel Herrera-Ruiz, Romario Vázquez-Cancino, Omar Aristeo Peña-Morán, Miguel Ángel Vilchis-Reyes, Ammy Joana Gallegos-García, Eric Jaziel Medrano-Sánchez, Oswaldo Hernández-Abreu and Abraham Gómez-Rivera
Sci. Pharm. 2024, 92(4), 54; https://doi.org/10.3390/scipharm92040054 - 8 Oct 2024
Cited by 6 | Viewed by 3878
Abstract
A series of nine nitro group-containing chalcones were synthesized to investigate their anti-inflammatory and vasorelaxant activities via in vivo, ex vivo, and in silico studies. The anti-inflammatory effects of the compounds were evaluated via a TPA-induced mouse ear edema model, and the vasorelaxant [...] Read more.
A series of nine nitro group-containing chalcones were synthesized to investigate their anti-inflammatory and vasorelaxant activities via in vivo, ex vivo, and in silico studies. The anti-inflammatory effects of the compounds were evaluated via a TPA-induced mouse ear edema model, and the vasorelaxant effects were evaluated via an isolated organ model in addition to molecular docking studies. The compounds with the highest anti-inflammatory activity were 2 (71.17 ± 1.66%), 5 (80.77 ± 2.82%), and 9 (61.08 ± 2.06%), where the nitro group is located at the ortho position in both rings, as confirmed by molecular docking with COX-1 and COX-2. The compounds with the highest vasorelaxant activity were 1 (81.16 ± 7.55%), lacking a nitro group, and 7 (81.94 ± 2.50%), where the nitro group is in the para position of the B ring; both of these compounds interact with the eNOS enzyme during molecular docking. These results indicate that the position of the nitro group in the chalcone plays an important role in these anti-inflammatory and vasorelaxant activities. Full article
Show Figures

Figure 1

29 pages, 9114 KB  
Article
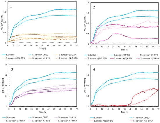
The Influence of Flavonoids with -Br, -Cl Atoms and -NO2, -CH3 Groups on the Growth Kinetics and the Number of Pathogenic and Probiotic Microorganisms
by Martyna Perz, Daria Szymanowska and Edyta Kostrzewa-Susłow
Int. J. Mol. Sci. 2024, 25(17), 9269; https://doi.org/10.3390/ijms25179269 - 27 Aug 2024
Cited by 2 | Viewed by 1473
Abstract
The pursuit of novel or modified substances based on a natural origin, like flavonoids, is essential in addressing the increasing number of diseases and bacterial resistance to antibiotics, as well as in maintaining intestinal balance and enhancing overall gut health. The primary goal [...] Read more.
The pursuit of novel or modified substances based on a natural origin, like flavonoids, is essential in addressing the increasing number of diseases and bacterial resistance to antibiotics, as well as in maintaining intestinal balance and enhancing overall gut health. The primary goal of this research was to evaluate the impact of specific flavonoid compounds—chalcones, flavanones, and flavones—substituted with -Br, -Cl, -CH3, and -NO2 on both pathogenic and probiotic microorganisms. Additionally, this study aimed to understand these compounds’ influence on standardized normal and pathologically altered intestinal microbiomes. 8-Bromo-6-chloroflavone 4′-O-β-D-(4″-O-methyl)-glucopyranoside and 8-bromo-6-chloroflavanone showed the most promising results as bactericidal agents. They significantly limited or inhibited the growth of pathogenic bacteria without adversely affecting the probiotic’s growth. Digestion in vitro studies indicated that 6-methyl-8-nitroflavone and 8-bromo-6-chloroflavone positively modulated the gut microbiome by increasing beneficial bacteria and reducing potentially pathogenic microbes. This effect was most notable in microbiomes characteristic of older individuals and those recovering from chemotherapy or antibiotic treatments. This study underscores the therapeutic potential of flavonoid compounds, particularly those with specific halogen and nitro substitutions, in enhancing gut health. Full article
(This article belongs to the Section Bioactives and Nutraceuticals)
Show Figures

Figure 1

19 pages, 5939 KB  
Article
Antimicrobial Properties of Flavonoid Derivatives with Bromine, Chlorine, and Nitro Group Obtained by Chemical Synthesis and Biotransformation Studies
by Martyna Perz, Daria Szymanowska, Tomasz Janeczko and Edyta Kostrzewa-Susłow
Int. J. Mol. Sci. 2024, 25(10), 5540; https://doi.org/10.3390/ijms25105540 - 19 May 2024
Cited by 12 | Viewed by 2420
Abstract
The search for new substances of natural origin, such as flavonoids, is necessary in the fight against the growing number of diseases and bacterial resistance to antibiotics. In our research, we wanted to check the influence of flavonoids with chlorine or bromine atoms [...] Read more.
The search for new substances of natural origin, such as flavonoids, is necessary in the fight against the growing number of diseases and bacterial resistance to antibiotics. In our research, we wanted to check the influence of flavonoids with chlorine or bromine atoms and a nitro group on pathogenic and probiotic bacteria. We synthesized flavonoids using Claisen–Schmidt condensation and its modifications, and through biotransformation via entomopathogenic filamentous fungi, we obtained their glycoside derivatives. Biotransformation yielded two new flavonoid glycosides: 8-amino-6-chloroflavone 4′-O-β-D-(4″-O-methyl)-glucopyranoside and 6-bromo-8-nitroflavone 4′-O-β-D-(4″-O-methyl)-glucopyranoside. Subsequently, we checked the antimicrobial properties of the aforementioned aglycon flavonoid compounds against pathogenic and probiotic bacteria and yeast. Our studies revealed that flavones have superior inhibitory effects compared to chalcones and flavanones. Notably, 6-chloro-8-nitroflavone showed potent inhibitory activity against pathogenic bacteria. Conversely, flavanones 6-chloro-8-nitroflavanone and 6-bromo-8-nitroflavanone stimulated the growth of probiotic bacteria (Lactobacillus acidophilus and Pediococcus pentosaceus). Our research has shown that the presence of chlorine, bromine, and nitro groups has a significant effect on their antimicrobial properties. Full article
(This article belongs to the Special Issue New Research on Bioactive Natural Products)
Show Figures

Figure 1

12 pages, 1672 KB  
Article
Antidepressant Activities of Synthesized Benzodiazepine Analogues in Mice
by Faizan Ul Haq, Mohammad Shoaib, Syed Wadood Ali Shah, Haya Hussain, Muhammad Zahoor, Riaz Ullah, Ahmed Bari, Amal Alotaibi and Muhammad Faisal Hayat
Brain Sci. 2023, 13(3), 523; https://doi.org/10.3390/brainsci13030523 - 21 Mar 2023
Cited by 5 | Viewed by 3931
Abstract
Depression is a serious psychological disorder which negatively affects human feelings and actions. The use of antidepressants is the therapy of choice while treating depression. However, such drugs are associated with severe side effects. There is a need for efficient and harmless drugs. [...] Read more.
Depression is a serious psychological disorder which negatively affects human feelings and actions. The use of antidepressants is the therapy of choice while treating depression. However, such drugs are associated with severe side effects. There is a need for efficient and harmless drugs. In this connection, the present study was designed to synthesize several substituted benzodiazepine derivatives and explore their antidepressant potentials in an animal model. The chalcone backbone was initially synthesized, which was then converted into several substituted benzodiazepine derivatives designated as 16. The synthesized compounds were identified using spectroscopic techniques. The experimental animals (mice) after acclimatation were subjected to forced swim test (FST) and tail suspension test (TST) after oral administration of the synthesized compounds to evaluate their antidepressant potentials. At the completion of the mentioned test, the animals were sacrificed to determine GABA level in their brain hippocampus. The chloro-substituent compound (2) significantly reduced the immobility time (80.81 ± 1.14 s; p < 0.001 at 1.25 mg/kg body weight and 75.68 ± 3.73 s with p < 0.001 at 2.5 mg/kg body weight dose), whereas nitro-substituent compound (5) reduced the immobility time to 118.95 ± 1.31 and 106.69 ± 3.62 s (p < 0.001), respectively, at the tested doses (FST). For control groups, the recorded immobility time recorded was 177.24 ± 1.82 s. The standard drug diazepam significantly reduced immobility time to 70.13 ± 4.12 s while imipramine reduced it to 65.45 ± 2.81 s (p < 0.001). Similarly, in the TST, the compound 2 reduced immobility time to 74.93 ± 1.14 s (p < 0.001) and 70.38 ± 1.43 s (p < 0.001), while compound 5 reduced it to 88.23 ± 1.89 s (p < 0.001) and 91.31 ± 1.73 s (p < 0.001) at the tested doses, respectively, as compared to the control group immobility time (166.13 ± 2.18 s). The compounds 1, 3, 4, and 6 showed weak antidepressant responses as compared to compounds 2 and 5. The compounds 2 and 5 also significantly enhanced the GABA level in the brain’s hippocampus of experimental animals, indicating the possible involvement of GABAergic mechanism in alleviating the depression which is evident from the significant increase in mRNA levels for the α subunit of the GABAA receptors in the prefrontal cortex of mice as well. From the results, it can be concluded that compound 2 and 5 could be used as alternative drugs of depression. However, further exploration in this connection is needed in other animal models in order to confirm the observed results in this study. Full article
(This article belongs to the Special Issue Cognitive Impairment and Depression)
Show Figures

Figure 1

21 pages, 4839 KB  
Article
Heteroleptic Copper(II) Complexes Containing 2′-Hydroxy-4-(Dimethylamino)Chalcone Show Strong Antiproliferative Activity
by Zdeněk Trávníček, Tomáš Malina, Ján Vančo, Marek Šebela and Zdeněk Dvořák
Pharmaceutics 2023, 15(2), 307; https://doi.org/10.3390/pharmaceutics15020307 - 17 Jan 2023
Cited by 3 | Viewed by 2773
Abstract
A series of six heteroleptic copper(II) complexes with 2′-hydroxy-4-(dimethylamino)chalcone (HL) with the composition [Cu(N-N)(L)]NO3 (16), where N-N stands for dmbpy = 5,5′-dimethyl-2,2′-bipyridine (1), bphen = 4,7-diphenyl-1,10-phenanthroline (2), dbbpy = 4,4′-di-tert-butyl-2,2′-bipyridine (3 [...] Read more.
A series of six heteroleptic copper(II) complexes with 2′-hydroxy-4-(dimethylamino)chalcone (HL) with the composition [Cu(N-N)(L)]NO3 (16), where N-N stands for dmbpy = 5,5′-dimethyl-2,2′-bipyridine (1), bphen = 4,7-diphenyl-1,10-phenanthroline (2), dbbpy = 4,4′-di-tert-butyl-2,2′-bipyridine (3), nphen = 5-nitro-1,10-phenanthroline (4), bpy = 2,2′-bipyridine, (5), and dpa = 2,2′-dipyridylamine (6), was prepared and thoroughly characterized. The in vitro cytotoxicity screening on eight human cancer cell lines identified complex 2, containing the bulkiest N-donor ligands (bphen) as highly cytotoxic against cancer cells, with IC50 values ranking from 1.0 to 2.3 μM, with good selectivity and low toxicity against healthy human fetal lung fibroblasts MRC-5. The cell-based assays, involving the most effective complex 2 in A2780 cancer cells, revealed its strong pro-apoptotic effects based on the effective activation of caspases 3/7, ROS overproduction, and autophagy in the A2780 cells while not impeding the cell cycle and mitochondrial membrane functions. The cellular uptake studies in A2780 and 22Rv1 cells uncovered no intracellular transport of the cationic complex 2, supporting the hypothesis that the in vitro anticancer effects of complex 2 are based on the combined extrinsic activation of apoptosis and autophagy induction. Full article
Show Figures

Graphical abstract

12 pages, 2897 KB  
Article
Synthesis, Crystal Structures, and Molecular Properties of Three Nitro-Substituted Chalcones
by Alam Yair Hidalgo, Manuel Velasco, Eduardo Sánchez-Lara, Abraham Gómez-Rivera, Miguel A. Vilchis-Reyes, Cuauhtémoc Alvarado, Maribel Herrera-Ruiz, Ricardo López-Rodríguez, Nancy Romero-Ceronio and Carlos E. Lobato-García
Crystals 2021, 11(12), 1589; https://doi.org/10.3390/cryst11121589 - 20 Dec 2021
Cited by 8 | Viewed by 6456
Abstract
Three functionalized chalcones containing combinations of nitro functional groups have been synthesized via Claisen-Schmidt condensation between 2-nitroacetophenone and nitrobenzaldehyde, and the crystal structures obtained ((E)-1,3-bis(2-nitrophenyl)prop-2-en-1-one, 1a, (E)-1-(2-nitrophenyl)-3-(3-nitrophenyl)prop-2-en-1-one, 1b and (E)-1-(2-nitrophenyl)-3-(4-nitrophenyl)prop-2-en-1-one, 1c), C15H10 [...] Read more.
Three functionalized chalcones containing combinations of nitro functional groups have been synthesized via Claisen-Schmidt condensation between 2-nitroacetophenone and nitrobenzaldehyde, and the crystal structures obtained ((E)-1,3-bis(2-nitrophenyl)prop-2-en-1-one, 1a, (E)-1-(2-nitrophenyl)-3-(3-nitrophenyl)prop-2-en-1-one, 1b and (E)-1-(2-nitrophenyl)-3-(4-nitrophenyl)prop-2-en-1-one, 1c), C15H10N2O5, are reported. Compounds 1a and 1c crystallized in the triclinic centrosymmetric space group P1¯, whereas compound 1b crystallized in the orthorhombic space group Pbca. The X-ray analysis reveals that structures 1a and 1b exhibits s-trans conformation, whereas structure 1c exists in s-cis conformation, concerning the olefinic double bonds. In addition, the results show that the position of the nitro substituent attached to the aromatic B-ring has a direct effect on the molecular coplanarity of these compounds. The Hirshfeld surface analysis suggests that the non-covalent π-π stacking interactions are the most important contributors for the crystal packing of 1a and 1b. In 1c, the crystal packing is mainly stabilized by weak intermolecular C―H···O interactions due to the planar nature of the molecule. Full article
(This article belongs to the Section Organic Crystalline Materials)
Show Figures

Graphical abstract

17 pages, 2127 KB  
Article
Novel Insights into the Mode of Action of Vasorelaxant Synthetic Polyoxygenated Chalcones
by Samuel Legeay, Kien Trân, Yannick Abatuci, Sébastien Faure and Jean-Jacques Helesbeux
Int. J. Mol. Sci. 2020, 21(5), 1609; https://doi.org/10.3390/ijms21051609 - 26 Feb 2020
Cited by 3 | Viewed by 2988
Abstract
Polyphenols consumption has been associated with a lower risk of cardiovascular diseases (CVDs) notably through nitric oxide (NO)- and estrogen receptor α (ERα)-dependent pathways. Among polyphenolic compounds, chalcones have been suggested to prevent endothelial dysfunction and hypertension. However, the involvement of both the [...] Read more.
Polyphenols consumption has been associated with a lower risk of cardiovascular diseases (CVDs) notably through nitric oxide (NO)- and estrogen receptor α (ERα)-dependent pathways. Among polyphenolic compounds, chalcones have been suggested to prevent endothelial dysfunction and hypertension. However, the involvement of both the NO and the ERα pathways for the beneficial vascular effects of chalcones has never been demonstrated. In this study, we aimed to identify chalcones with high vasorelaxation potential and to characterize the signaling pathways in relation to ERα signaling and NO involvement. The evaluation of vasorelaxation potential was performed by myography on wild-type (WT) and ERα knock-out (ERα-KO) mice aorta in the presence or in absence of the eNOS inhibitor Nω-nitro-L-arginine methyl ester (L-NAME). Among the set of chalcones that were synthesized, four (3, 8, 13 and 15) exhibited a strong vasorelaxant effect (more than 80% vasorelaxation) while five compounds (6, 10, 11, 16, 17) have shown a 60% relief of the pre-contraction and four compounds (12, 14, 18, 20) led to a lower vasorelaxation. We were able to demonstrate that the vasorelaxant effect of two highly active chalcones was either ERα-dependent and NO-independent or ERα-independent and NO-dependent. Thus some structure-activity relationships (SAR) were discussed for an optimized vasorelaxant effect. Full article
Show Figures

Figure 1

20 pages, 3386 KB  
Article
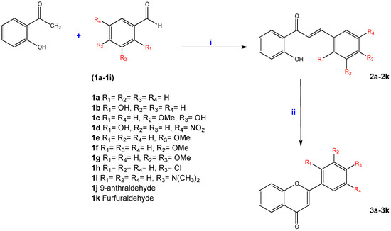
Synthesis, Biological Evaluation and Docking Studies of Chalcone and Flavone Analogs as Antioxidants and Acetylcholinesterase Inhibitors
by Laura Díaz-Rubio, Rufina Hernández-Martínez, Arturo Estolano-Cobián, Daniel Chávez-Velasco, Ricardo Salazar-Aranda, Noemí Waksman de Torres, Ignacio A. Rivero, Víctor García-González, Marco A. Ramos and Iván Córdova-Guerrero
Appl. Sci. 2019, 9(3), 410; https://doi.org/10.3390/app9030410 - 26 Jan 2019
Cited by 20 | Viewed by 10516
Abstract
Several oxidative processes are related to a wide range of human chronic and degenerative diseases, like Alzheimer’s disease, which also has been related to cholinergic processes. Therefore, search for new or improved antioxidant molecules with acetylcholinesterase activity is essential to offer alternative chemotherapeutic [...] Read more.
Several oxidative processes are related to a wide range of human chronic and degenerative diseases, like Alzheimer’s disease, which also has been related to cholinergic processes. Therefore, search for new or improved antioxidant molecules with acetylcholinesterase activity is essential to offer alternative chemotherapeutic agents to support current drug therapies. A series of chalcone (2a2k) and flavone (3a3k) analogs were synthesized, characterized, and evaluated as acetylcholinesterase (AChE) inhibitors, and antioxidant agents using 1,1-diphenyl-2-picrylhydrazyl (DPPH•), 2-2′-azino-bis-(3-ethylbenzothiazoline-6-sulfonate) (ABTS•), and β-carotene/linoleic acid bleaching assay. Compounds more active were 3j and 2k in DPPH with EC50 of 1 × 10−8 and 5.4 × 10−3 μg/mL, respectively; 2g and 3i in ABTS (1.14 × 10−2 and 1.9 × 10−3 μg/mL); 2e, 2f, 3f, 2j, and 3j exceeded the α-tocopherol control in the β-carotene assay (98–99% of antioxidant activity). At acetylcholinesterase inhibition assay, flavones were more active than chalcones; the best results were compounds 2d and 3d (IC50 21.5 and 26.8 µg/mL, respectively), suggesting that the presence of the nitro group enhances the inhibitory activity. The docking of these two structures were made to understand their interactions with the AChE receptor. Although further in vivo testing must be performed, our results represent an important step towards the identification of improved antioxidants and acetylcholinesterase inhibitors. Full article
(This article belongs to the Section Chemical and Molecular Sciences)
Show Figures

Graphical abstract

10 pages, 746 KB  
Article
Antimicrobial Activity of Xanthohumol and Its Selected Structural Analogues
by Monika Stompor and Barbara Żarowska
Molecules 2016, 21(5), 608; https://doi.org/10.3390/molecules21050608 - 11 May 2016
Cited by 63 | Viewed by 9385
Abstract
The objective of this study was to evaluate the antimicrobial activity of structural analogues of xanthohumol 1, a flavonoid compound found in hops (Humulus lupulus). The agar-diffusion method using filter paper disks was applied. Biological tests performed for selected strains of [...] Read more.
The objective of this study was to evaluate the antimicrobial activity of structural analogues of xanthohumol 1, a flavonoid compound found in hops (Humulus lupulus). The agar-diffusion method using filter paper disks was applied. Biological tests performed for selected strains of Gram-positive (Staphylococcus aureus) and Gram-negative (Escherichia coli) bacteria, fungi (Alternaria sp.), and yeasts (Rhodotorula rubra, Candida albicans) revealed that compounds with at least one hydroxyl group—all of them have it at the C-4 position—demonstrated good activity. Our research showed that the strain S. aureus was more sensitive to chalcones than to the isomers in which the heterocyclic ring C is closed (flavanones). The strain R. rubra was moderately sensitive to only one compound: 4-hydroxy-4’-methoxychalcone 8. Loss of the hydroxyl group in the B-ring of 4’-methoxychalcones or its replacement by a halogen atom (−Cl, −Br), nitro group (−NO2), ethoxy group (−OCH2CH3), or aliphatic substituent (−CH3, −CH2CH3) resulted in the loss of antimicrobial activity towards both R. rubra yeast and S. aureus bacteria. Xanthohumol 1, naringenin 5, and chalconaringenin 7 inhibited growth of S. aureus, whereas 4-hydroxy-4′-methoxychalcone 8 was active towards two strains: S. aureus and R. rubra. Full article
(This article belongs to the Special Issue Flavonoids: From Structure to Health Issues)
Show Figures

Graphical abstract

14 pages, 714 KB  
Article
Novel Pyrazine Analogs of Chalcones: Synthesis and Evaluation of Their Antifungal and Antimycobacterial Activity
by Marta Kucerova-Chlupacova, Jiri Kunes, Vladimir Buchta, Marcela Vejsova and Veronika Opletalova
Molecules 2015, 20(1), 1104-1117; https://doi.org/10.3390/molecules20011104 - 12 Jan 2015
Cited by 39 | Viewed by 7333
Abstract
Infectious diseases, such as tuberculosis and invasive mycoses, represent serious health problems. As a part of our long-term efforts to find new agents for the treatment of these diseases, a new series of pyrazine analogs of chalcones bearing an isopropyl group in position [...] Read more.
Infectious diseases, such as tuberculosis and invasive mycoses, represent serious health problems. As a part of our long-term efforts to find new agents for the treatment of these diseases, a new series of pyrazine analogs of chalcones bearing an isopropyl group in position 5 of the pyrazine ring was prepared. The structures of the compounds were corroborated by IR and NMR spectroscopy and their purity confirmed by elemental analysis. The susceptibility of eight fungal strains to the studied compounds was tested. The results have been compared with the activity of some previously reported propyl derivatives. The only strain that was susceptible to the studied compounds was Trichophyton mentagrophytes. It was found that replacing a non-branched propyl with a branched isopropyl did not have a decisive and unequivocal influence on the in vitro antifungal activity against T. mentagrophytes. In vitro activity against Trichophyton mentagrophytes comparable with that of fluconazole was exhibited by nitro-substituted derivatives. Unfortunately, no compound exhibited efficacy comparable with that of terbinafine, which is the most widely used agent for treating mycoses caused by dermatophytes. Some of the prepared compounds were assayed for antimycobacterial activity against M. tuberculosis H37Rv. The highest potency was also displayed by nitro-substituted compounds. The results of the present study are in a good agreement with our previous findings and confirm the positive influence of electron-withdrawing groups on the B-ring of chalcones on the antifungal and antimycobacterial activity of these compounds. Full article
(This article belongs to the Section Medicinal Chemistry)
Show Figures

Graphical abstract

Back to TopTop