Sign in to use this feature.

Years

Between: -

Subjects

remove_circle_outline
remove_circle_outline
remove_circle_outline
remove_circle_outline
remove_circle_outline
remove_circle_outline
remove_circle_outline
remove_circle_outline
remove_circle_outline

Journals

remove_circle_outline
remove_circle_outline
remove_circle_outline
remove_circle_outline
remove_circle_outline
remove_circle_outline
remove_circle_outline
remove_circle_outline
remove_circle_outline
remove_circle_outline
remove_circle_outline
remove_circle_outline
remove_circle_outline
remove_circle_outline
remove_circle_outline
remove_circle_outline
remove_circle_outline
remove_circle_outline

Article Types

Countries / Regions

remove_circle_outline
remove_circle_outline
remove_circle_outline
remove_circle_outline
remove_circle_outline
remove_circle_outline
remove_circle_outline

Search Results (1,192)

Search Parameters:
Keywords = nitrate solutions

Order results
Result details
Results per page
Select all
Export citation of selected articles as:
21 pages, 4159 KB  
Article
The Key Role of Carbon Materials in the Biological and Photocatalytic Reduction of Nitrates for the Sustainable Management of Wastewaters
by Luisa M. Pastrana-Martínez, Sergio Morales-Torres and Francisco J. Maldonado-Hódar
Catalysts 2025, 15(10), 958; https://doi.org/10.3390/catal15100958 (registering DOI) - 6 Oct 2025
Abstract
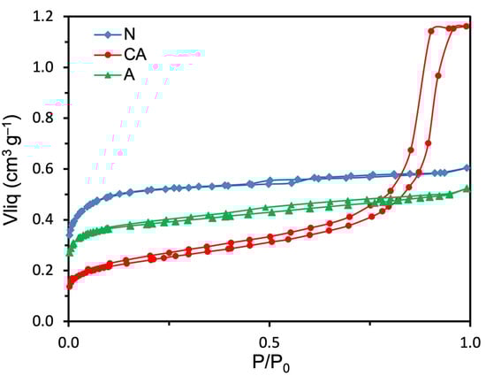
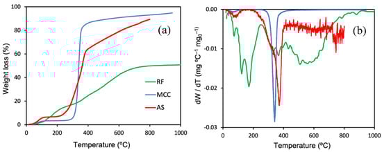
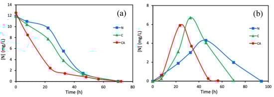
This work explores the influence of material properties and experimental conditions on both biological and photocatalytic nitrate reduction processes. For the biological route, results demonstrate that carbon supports, specifically carbon gels, with open porosity, slight acidity, and high purity enhance E. coli adhesion [...] Read more.
This work explores the influence of material properties and experimental conditions on both biological and photocatalytic nitrate reduction processes. For the biological route, results demonstrate that carbon supports, specifically carbon gels, with open porosity, slight acidity, and high purity enhance E. coli adhesion and promote the formation of highly active bacterial colonies. However, carbon supports of bacteria, produced from waste biomass, emerge as a sustainable and cost-effective alternative, improving scalability and environmental value. The complete conversion of nitrates to nitrites, followed by full nitrite reduction, is achieved under optimized conditions. Photocatalytic nitrate reduction under solar radiation is also proposed as a promising and ecofriendly upgrade method to conventional wastewater treatment. Graphene oxide (GO) was used to enhance the photocatalytic activity of TiO2 nanoparticles for the degradation of nitrates. The efficiency of nitrate reduction is found to be highly sensitive to solution pH and the physicochemical nature of the photocatalyst surface, which governs nitrate interactions through electrostatic forces. TiO2–GO composites achieved up to 80% nitrate removal within 1 h and complete removal of 50 mg/L nitrate within 15 min under optimized conditions. The screening of hole scavengers revealed that formic acid, in combination with the TiO2–GO composite, delivered exceptional performance, achieving complete nitrate reduction in just 15 min under batch conditions at an acidic pH. Full article
(This article belongs to the Special Issue Advances in Photocatalytic Wastewater Purification, 2nd Edition)
Show Figures

Graphical abstract

20 pages, 5116 KB  
Article
Design of Portable Water Quality Spectral Detector and Study on Nitrogen Estimation Model in Water
by Hongfei Lu, Hao Zhou, Renyong Cao, Delin Shi, Chao Xu, Fangfang Bai, Yang Han, Song Liu, Minye Wang and Bo Zhen
Processes 2025, 13(10), 3161; https://doi.org/10.3390/pr13103161 - 3 Oct 2025
Abstract
A portable spectral detector for water quality assessment was developed, utilizing potassium nitrate and ammonium chloride standard solutions as the subjects of investigation. By preparing solutions with differing concentrations, spectral data ranging from 254 to 1275 nm was collected and subsequently preprocessed using [...] Read more.
A portable spectral detector for water quality assessment was developed, utilizing potassium nitrate and ammonium chloride standard solutions as the subjects of investigation. By preparing solutions with differing concentrations, spectral data ranging from 254 to 1275 nm was collected and subsequently preprocessed using methods such as multiple scattering correction (MSC), Savitzky–Golay filtering (SG), and standardization (SS). Estimation models were constructed employing modeling algorithms including Support Vector Machine-Multilayer Perceptron (SVM-MLP), Support Vector Regression (SVR), random forest (RF), RF-Lasso, and partial least squares regression (PLSR). The research revealed that the primary variation bands for NH4+ and NO3 are concentrated within the 254–550 nm and 950–1275 nm ranges, respectively. For predicting ammonium chloride, the optimal model was found to be the SVM-MLP model, which utilized spectral data reduced to 400 feature bands after SS processing, achieving R2 and RMSE of 0.8876 and 0.0883, respectively. For predicting potassium nitrate, the optimal model was the 1D Convolutional Neural Network (1DCNN) model applied to the full band of spectral data after SS processing, with R2 and RMSE of 0.7758 and 0.1469, respectively. This study offers both theoretical and technical support for the practical implementation of spectral technology in rapid water quality monitoring. Full article
Show Figures

Figure 1

22 pages, 4095 KB  
Article
Ecosynthesis and Optimization of Nano rGO/Ag-Based Electrode Materials for Superior Supercapacitor Coin Cell Devices
by Belen Orellana, Leonardo Vivas, Carolina Manquian, Tania P. Brito and Dinesh P. Singh
Int. J. Mol. Sci. 2025, 26(19), 9578; https://doi.org/10.3390/ijms26199578 - 1 Oct 2025
Abstract
In the shift toward sustainable energy, there is a strong demand for efficient and durable energy storage solutions. Supercapacitors, in particular, are a promising technology, but they require high-performance materials that can be produced using simple, eco-friendly methods. This has led researchers to [...] Read more.
In the shift toward sustainable energy, there is a strong demand for efficient and durable energy storage solutions. Supercapacitors, in particular, are a promising technology, but they require high-performance materials that can be produced using simple, eco-friendly methods. This has led researchers to investigate new materials and composites that can deliver high energy and power densities, along with long-term stability. Herein, we report a green synthesis approach to create a composite material consisting of reduced graphene oxide and silver nanoparticles (rGO/Ag). The method uses ascorbic acid, a natural compound found in fruits and vegetables, as a non-toxic agent to simultaneously reduce graphene oxide and silver nitrate. To enhance electrochemical performance, the incorporation of silver nanoparticles into the rGO structures is optimized. In this study, different molar concentrations of silver nitrate (1.0, 0.10, and 0.01 M) are used to control silver nanoparticle loading during the synthesis and reduction process. A correlation between silver concentration, defect density in rGO, and the resulting capacitive behavior was assessed by systematically varying the silver molarity. The synthesized materials exhibited excellent performance as supercapacitor electrodes in a three-electrode configuration, with the rGO/Ag 1.0 M composite showing the best performance, reaching a maximum specific capacitance of 392 Fg−1 at 5 mVs−1. Furthermore, the performance of this optimized electrode material was investigated in a two-electrode configuration as a coin cell device, which demonstrates a maximum areal-specific capacitance of 22.63 mFcm−2 and a gravimetric capacitance of 19.00 Fg−1, which is within the range of commercially viable devices and a significant enhancement, outperforming low-level graphene-based devices. Full article
(This article belongs to the Special Issue Innovative Nanomaterials from Functional Molecules)
Show Figures

Graphical abstract

29 pages, 10893 KB  
Article
Analysis of Driving Factors of Groundwater Chemical Characteristics at Different Depths and Health Effects of Nitrate Exposure in Zhengzhou City, China
by Chunyan Zhang, Xujing Liu, Shuailing Zhang, Guizhang Zhao, Jingru Zhi, Lulu Jia, Wenhui Liu and Dantong Lin
Water 2025, 17(19), 2851; https://doi.org/10.3390/w17192851 - 30 Sep 2025
Abstract
Groundwater is a vital water source for human survival and regulates the hydrological cycle within the uppermost strata. Through the processes of recharge and discharge, as well as solute exchange, it interacts with surface water systems in Zhengzhou, e.g., the Yellow River and [...] Read more.
Groundwater is a vital water source for human survival and regulates the hydrological cycle within the uppermost strata. Through the processes of recharge and discharge, as well as solute exchange, it interacts with surface water systems in Zhengzhou, e.g., the Yellow River and the Jialu River. Therefore, systematically assessing its hydrochemical characteristics, driving factors, and health risks is crucial for ensuring the safety of public drinking water and regional development. This study focuses on shallow (45~55 m), medium-deep (80~350 m), deep (350~800 m), and ultra-deep (800~1200 m) groundwater in Zhengzhou City. A descriptive statistical analysis was employed to identify the primary chemical constituents of groundwater at various depths within the study area. Piper diagrams and the Shukarev classification method were employed to determine the hydrochemical types of the groundwater. Additionally, Gibbs diagrams, correlation coefficient methods, ion ratio coefficient methods and chlorine–alkali indices were employed to investigate the formation mechanisms of the chemical components of the groundwater, and the health risks in the study area were evaluated. Results: Ca2+ dominates the shallow/medium-deep groundwater, Na+ dominates the deep/ultra-deep groundwater; HCO3 (70~82%) is the dominant anion. Water chemistry shifts from HCO3-Ca to HCO3-Na with depth. Solubilisation, cation exchange, counter-cation exchange, and mixed processes primarily govern the formation of the groundwater’s chemical composition in the study area. Nitrate health risk assessments indicate significant differences in non-carcinogenic risks across four population groups (infants, children, young adults, and adults). Medium-depth groundwater poses a potential risk to all groups, while shallow and deep groundwater threaten only infants. Ultra-deep groundwater carries the lowest risk. Full article
(This article belongs to the Section Hydrogeology)
Show Figures

Graphical abstract

11 pages, 2935 KB  
Article
A New Approach to the Synthesis of Micron-Sized Single-Crystal Silver Plates
by Shilong Li, Xionghui Cai, Aixia Zhai, Tianmeng Zhang, Hui Liu and Jibing Chen
Micromachines 2025, 16(10), 1103; https://doi.org/10.3390/mi16101103 - 28 Sep 2025
Abstract
This article describes a novel, non-solvothermal, “citrate-free” method for synthesizing micron-sized, single-crystal silver plates. Transparent hexagonal and truncated triangular single-crystals, mainly enclosed by silver {111} planes, are synthesized by directly adding Iron (II) sulfate heptahydrate solution into silver nitrate solution with appropriate sulfuric [...] Read more.
This article describes a novel, non-solvothermal, “citrate-free” method for synthesizing micron-sized, single-crystal silver plates. Transparent hexagonal and truncated triangular single-crystals, mainly enclosed by silver {111} planes, are synthesized by directly adding Iron (II) sulfate heptahydrate solution into silver nitrate solution with appropriate sulfuric acid at an agitation speed of 150 rpm at 8 °C. The mean edge lengths of them range from 4 μm to 16 μm. It is found that the high concentration of silver nitrate and low concentration of Iron (II) sulfate heptahydrate are favorable for the formation of thin silver plates. There was an optimum amount of sulfuric acid and reaction temperature for the preparation of single-crystal silver plates using this method. Sulfuric acid plays an important role in the formation of regular geometric-shaped silver plates. Especially, H ions play the key roles in silver plates to form regular shapes. Full article
(This article belongs to the Special Issue Functional Materials for Energy and Electronic Applications)
Show Figures

Figure 1

27 pages, 8669 KB  
Article
Cerium Phosphate Nanoparticles: Synthesis, Characterization, Biocompatibility, Regenerative Potential, and Antioxidant Activity
by Ekaterina V. Silina, Victor A. Stupin, Natalia E. Manturova, Elena L. Chuvilina, Akhmedali A. Gasanov, Olga I. Andreeva, Elena V. Korobko, Natalia V. Andreeva, Svetlana A. Dodonova, Daria D. Tkachenko, Dmitry Y. Izmailov, Natalia Y. Tabachkova and Yulia G. Suzdaltseva
Molecules 2025, 30(19), 3916; https://doi.org/10.3390/molecules30193916 - 28 Sep 2025
Abstract
The aim of this study was to synthesize, characterize, and investigate the biomedical effects of nanoscale cerium phosphate obtained via different synthesis techniques, as well as to evaluate the influence of various CePO4 concentrations on cells involved in skin structure regeneration (human [...] Read more.
The aim of this study was to synthesize, characterize, and investigate the biomedical effects of nanoscale cerium phosphate obtained via different synthesis techniques, as well as to evaluate the influence of various CePO4 concentrations on cells involved in skin structure regeneration (human mesenchymal stem cells, keratinocytes, and fibroblasts) and establish their antioxidant properties. Methods and Results: Cerium(III) orthophosphate was obtained by precipitation with ammonium dihydrogen phosphate from a nitrate solution. By changing the initial concentrations of the solutions and the drying and annealing temperatures, the best conditions for obtaining nanosized phosphate powders were established. The structure of rhabdophane was obtained by X-ray diffraction analysis, and the particle sizes were measured by transmission electron microscopy. The particle sizes ranged from 2 to 10 nm in the transverse direction and 20 to 50 nm in the longitudinal direction. Studies on cell lines have shown a high level of safety, as well as the regenerative potential of CePO4 nanoparticles, which have a stimulating effect on the proliferation of MSCs at concentrations of 10−2 to 10−3 M for 48 h after application and stimulate the metabolism of human keratinocytes and fibroblasts at a wide range of concentrations (10−3 to 10−5 M). A dose-dependent antioxidant effect of small CePO4 nanoparticles at a concentration of 10−2 to 10−5 has been established, which is stronger than ascorbic acid. Conclusions: A method for obtaining cerium phosphate nanoparticles with beneficial biomedical effects was developed. The non-cytotoxicity and regenerative potential of CePO4 were established at a wide range of concentrations on different cell lines that are involved in the healing of skin wounds, as were their antioxidant properties. Full article
Show Figures

Figure 1

17 pages, 8683 KB  
Article
Activation of Persulfate by Sulfide-Modified Nanoscale Zero-Valent Iron Supported on Biochar for 2,4-Dichlorophenol Degradation: Efficiency, Sustainability, and Mechanism Investigation
by Mu Wang, Yan Zhao, Zongsheng An and Changming Dou
Sustainability 2025, 17(19), 8721; https://doi.org/10.3390/su17198721 - 28 Sep 2025
Abstract
The activation of persulfate (PS) to oxidize and degrade 2,4-dichlorophenol (2,4-DCP) in aqueous solution represents a prevalent advanced oxidation technology. This study established a PS activation system using sulfide-modified nanoscale zero-valent iron supported on biochar (S-nZVI@BC). The optimal conditions included a PS:2,4-DCP mass [...] Read more.
The activation of persulfate (PS) to oxidize and degrade 2,4-dichlorophenol (2,4-DCP) in aqueous solution represents a prevalent advanced oxidation technology. This study established a PS activation system using sulfide-modified nanoscale zero-valent iron supported on biochar (S-nZVI@BC). The optimal conditions included a PS:2,4-DCP mass ratio of 70:1 and S-nZVI@BC:PS of 1.5:1. The activator had excellent stability after being reused five times, which lead to high cost-effectiveness and sustainable usability. This system exhibited broad pH adaptability (3–11), with enhanced efficiency under acidic/neutral conditions. Chloride ion, nitrate, and carbonate had effects during the degradation. During the initial degradation phase, S-nZVI@BC played a primary role, with a greater contribution rate of adsorption than reduction. Fe0 played a dominant role in the PS activation process; reactive species—including HO•, SO4, and O2—were identified as key agents in subsequent degradation stages. The overall degradation processes comprised three distinct stages: dechlorination, ring-opening, and mineralization. Full article
(This article belongs to the Topic Advanced Oxidation Processes for Wastewater Purification)
Show Figures

Graphical abstract

20 pages, 1144 KB  
Article
Responses of Soilless-Cultivated Golden Thistle to the Total Salt and Nitrogen Concentrations in the Nutrient Solution
by Filippa Maniou, Dimitrios M. Papadimitriou, Evangelos Giannothanasis, Theodora Ntanasi, Panagiotis Kalozoumis, Thrassyvoulos Manios, Georgia Ntatsi and Dimitrios Savvas
Agronomy 2025, 15(10), 2287; https://doi.org/10.3390/agronomy15102287 - 26 Sep 2025
Abstract
Golden thistle (Scolymus hispanicus L.) is a wild edible green of high nutritional value, used in the traditional Mediterranean diet. Nowadays, there is an increasing demand from consumers for golden thistle and concomitantly an increasing interest in integrating it into modern cultivation [...] Read more.
Golden thistle (Scolymus hispanicus L.) is a wild edible green of high nutritional value, used in the traditional Mediterranean diet. Nowadays, there is an increasing demand from consumers for golden thistle and concomitantly an increasing interest in integrating it into modern cultivation systems. Soilless culture is a promising cultivation option that can maximize yield and quality of golden thistle. The aim of this study was to examine the combined effect of electrical conductivity (EC) and nitrogen (N) supply level on growth and nutritional quality of golden thistle grown on a substrate in a soilless cropping system. The two experimental factors were examined in a 2-factorial experiment with two EC levels, a low (2.2 dS m−1) and high (2.8 dS m−1), combined with two total-N (NO3 + NH4+) supply levels, low (13.30 mmol L−1) and high (17.30 mmoL L−1), in the supplied nutrient solution. Root fresh and dry weight (commercial yield) were unaffected by treatments; however, high EC significantly reduced shoot fresh and dry biomass by 21 and 28% compared to low EC. High EC increased K+ concentrations in shoots and roots but decreased shoot Ca2+ level. Nitrate concentration in the drainage solution and plant tissues was primarily driven by N supply, with high N increasing leaf NO3 by up to 45% without surpassing the regulatory safety limit. Water productivity did not differ among treatments, but low EC improved agronomic efficiency of K+, Ca2+, Mg2+, and S, while low N enhanced N agronomic efficiency by 44%. Overall, low EC promoted vegetative growth and nutrient use efficiency, while increasing N above 13.3 mmol L−1 offered no yield benefit and raised tissue nitrate levels. For optimal yield and quality, a nutrient solution with low EC and N supply is recommended for the soilless cultivation of golden thistle. Full article
(This article belongs to the Section Horticultural and Floricultural Crops)
Show Figures

Figure 1

16 pages, 3745 KB  
Article
Differences in Soil Solution Chemistry and Their Vertical Variation Between Moso Bamboo Forests and Japanese Cedar Plantations in Western Japan
by Dongchuan Fu and Masaaki Chiwa
Forests 2025, 16(10), 1519; https://doi.org/10.3390/f16101519 - 26 Sep 2025
Abstract
Bamboo invasion into adjacent forests highlights the need to clarify its ecological impacts, particularly on soil solution chemistry, which influences forest nutrient availability and downstream water quality. This study examined how bamboo invasion alters base cations and anion concentrations, their vertical distribution, and [...] Read more.
Bamboo invasion into adjacent forests highlights the need to clarify its ecological impacts, particularly on soil solution chemistry, which influences forest nutrient availability and downstream water quality. This study examined how bamboo invasion alters base cations and anion concentrations, their vertical distribution, and the distinct ionic compositions maintaining charge balance in soil solution by comparing Moso bamboo (BF) and adjacent Japanese cedar (CF) forests. In surface soil solution (5 cm), most ion concentrations were significantly higher in CF than in BF, likely attributable to a greater interception of atmospheric nitrogen resulting from taller tree height in CF. In vertical distribution, CF showed generally higher ion concentrations in surface soil solution than at 50 cm, whereas in BF, this phenomenon was observed only for NO3, NH4+, and K+, consistent with bamboo’s high demand for macronutrients. Significant correlations between the concentration of NO3 and those of Ca2+ and Mg2+ were absent only in BF soil leachate. Conversely, a deficit of strong anions showed a significant correlation with the concentration of Ca2+ and Mg2+ in BF soil leachate, with HCO3 identified as a potentially major component. Our findings provide insights into the concomitant-ion relationships between base cations and NO3 across forest types and soil depths. Full article
(This article belongs to the Section Forest Soil)
Show Figures

Figure 1

13 pages, 621 KB  
Article
5-Hydroxymethylfurfural: A Particularly Harmful Molecule Inducing Toxic Lipids and Proteins?
by Joachim Greilberger, Georg Feigl, Matthias Greilberger, Simona Bystrianska and Michaela Greilberger
Molecules 2025, 30(19), 3897; https://doi.org/10.3390/molecules30193897 - 26 Sep 2025
Abstract
Introduction: 5-HMF is a molecule found in carbohydrate-rich foods that is associated not only with cancer and anaphylactic reactions, but also with anti-oxidant properties. Questions arose as to whether 5-HMF exhibited a catalytic effect in relation to lipid peroxidation and lipoprotein oxidation in [...] Read more.
Introduction: 5-HMF is a molecule found in carbohydrate-rich foods that is associated not only with cancer and anaphylactic reactions, but also with anti-oxidant properties. Questions arose as to whether 5-HMF exhibited a catalytic effect in relation to lipid peroxidation and lipoprotein oxidation in presence of metals and/or radicals. Methods: Peroxynitrite (ONOO)-induced chemiluminescence and ONOO nitration of tyrosine residues on BSA using anti-nitro-tyrosine-antibodies were used to measure the protection of 5-HMF against peroxides or nitration compared to vitamin C (VitC). The reductive potential of 5-HMF or VitC on Cu2+ or Fe3 was estimated using the bicinchoninic acid (BCA) or Fenton-complex method. Human plasma was used to measure the generation of malondialdehyde (MDA), 4-hydroxynonenal (HNE), and total thiols after Fe2+/H2O2 oxidation in the presence of different concentrations of 5-HMF or VitC. Finally, Cu2+ oxidation of LDL after 4 h was carried out with 5-HMF or VitC, measuring the concentration of MDA in LDL with the thiobarbituric assay (TBARS). Results: VitC was 4-fold more effective than 5-HMF in scavenging ONOO to nearly 91.5% at 4 mM, with the exception of 0.16 mM, where the reduction of ONOO by VitC was 3.3-fold weaker compared to 0.16 mM 5-HMF. VitC or 5-HMF at a concentration of 6 mM inhibited the nitration of tyrosine residues on BSA to nearly 90% with a similar course. While 5-HMF reduced free Fe3+ in presence of phenanthroline, forming Fe2+ (phenantroleine)3 [Fe2+(phe)3] or complexed Cu2+(BCA)4 to Cu+(BCA)4 weakly, VitC was 7- to 19-fold effective in doing so over all the used concentrations (0–25 mM). A Fe2+—H2O2 solution mixed with human plasma showed a 6–10 times higher optical density (OD) of MDA or HNE in the presence of 5-HMF compared to VitC. The level of thiols was significantly decreased in the presence of higher VitC levels (1 mM: 198.4 ± 7.7 µM; 2 mM: 160.0 ± 13.4 µM) compared to equal 5-HMF amounts (2562 ± 7.8 µM or 242.4 ± 2.5 µM), whereas the usage of lower levels at 0.25 µM 5-HMF resulted in a significant decrease in thiols (272.4 ± 4.0 µM) compared to VitC (312.3 ± 19.7 µM). Both VitC and 5-HMF accelerated copper-mediated oxidation of LDL equally: while the TBARS levels from 4 h oxidized LDL reached 137.7 ± 12.3 nmol/mg, it was 1.7-fold higher using 6 mM VitC (259.9 ± 10.4 nmol/mg) or 6 mM 5-HMF (239.3 ± 10.2 nmol/mg). Conclusions: 5-HMF appeared to have more pro-oxidative potential compared to VitC by causing lipid peroxidation as well as protein oxidation. Full article
Show Figures

Figure 1

21 pages, 2235 KB  
Article
Root Growth and Branching of Two Cycas Species Are Influenced by Form of Nitrogen Fertilizer
by Thomas E. Marler
Agronomy 2025, 15(10), 2280; https://doi.org/10.3390/agronomy15102280 - 26 Sep 2025
Abstract
Horticultural research into the group of plants known as cycads has been deficient, and this includes the study of root growth and function. The form of nitrogen (N) available to plants is known to influence root growth and morphology. The response of cycad [...] Read more.
Horticultural research into the group of plants known as cycads has been deficient, and this includes the study of root growth and function. The form of nitrogen (N) available to plants is known to influence root growth and morphology. The response of cycad roots to N has not been studied to date. Cycas revoluta and Cycas edentata seedlings were grown in hydroponic culture and provided urea, nitrate, or ammonium forms of N. Solutions with all three forms of N increased root growth and branching when compared with nutrient solution devoid of N, with ammonium eliciting the greatest increases. Ammonium increased lateral root length 210% for C. revoluta and 164% for C. edentata. Ammonium decreased specific root length 38% for C. revoluta and 39% for C. edentata. The influence of the N source on stem and leaf growth was minimal. Ammonium increased the root-to-shoot ratio 15% for C. revoluta and 51% for C. edentata, but urea and nitrate did not influence this plant trait. A mixture of nitrate and ammonium generated plant responses that were no different from ammonium alone. The plants supplied with N in the solution produced coralloid root growth that was 14% of the no-N plants for C. revoluta and 22% of the no-N plants for C. edentata. This initial determination of the cycad plant response to the N form indicated that root plasticity was considerable and ammonium stimulated root growth more so than urea or nitrate. Long-term growth studies in mineral soils and nursery container medium are needed to determine if these findings from the hydroponic culture of small seedlings translate to general recommendations for the preferential use of ammonium for cycad culture. Full article
(This article belongs to the Section Soil and Plant Nutrition)
Show Figures

Figure 1

48 pages, 12849 KB  
Article
Analysis of the Functional Efficiency of a Prototype Filtration System Dedicated for Natural Swimming Ponds
by Wojciech Walczak, Artur Serafin, Tadeusz Siwiec, Jacek Mielniczuk and Agnieszka Szczurowska
Water 2025, 17(19), 2816; https://doi.org/10.3390/w17192816 - 25 Sep 2025
Abstract
Water treatment systems in swimming ponds support the natural self-cleaning capabilities of water based on the functions of repository macrophytes in their regeneration zone and the regulation of the internal metabolism of the reservoirs. As part of the project, a functional modular filtration [...] Read more.
Water treatment systems in swimming ponds support the natural self-cleaning capabilities of water based on the functions of repository macrophytes in their regeneration zone and the regulation of the internal metabolism of the reservoirs. As part of the project, a functional modular filtration chamber with system multiplication capabilities was designed and created. This element is dedicated to water treatment systems in natural swimming ponds. The prototype system consisted of modular filtration chambers and pump sections, as well as equipment adapted to the conditions prevailing in the eco-pool. An innovative solution for selective shutdown of the filtration chamber without closing the circulation circuit was also used, which forms the basis of a patent application. A verified high-performance adsorbent, Rockfos® modified limestone, was used in the filtration chamber. In order to determine the effective filtration rate for three small test ponds with different flow rates (5 m/h, 10 m/h and 15 m/h), the selected physicochemical parameters of water (temperature, pH, electrolytical conductivity, oxygen saturation, total hardness, nitrites, nitrates, and total phosphorus, including adsorption efficiency and bed absorption capacity) were researched before and after filtration. Tests were also carried out on the composition of fecal bacteria and phyto- and zooplankton. Based on high effective phosphorus filtration efficiency of 32.65% during the operation of the bed, the following were determined: no exceedances of the standards for the tested parameters in relation to the German standards for eco-pools (FLL—Forschungsgesellschaft Landschaftsentwicklung Landschaftsbau e. V., 2011); lower number of fecal pathogens (on average 393—coliform bacteria; 74—Escherichia coli; 34—fecal enterococci, most probably number/100 mL); the lowest share of problematic cyanobacteria in phytoplankton (<250,000 individuals/dm3 in number and <0.05 µg/dm3—biomass); low chlorophyll a content (2.2 µg/dm3—oligotrophy) and the presence of more favorable smaller forms of zooplankton, an effective filtration speed of 5 m/h. This velocity was recommended in the FLL standards for swimming ponds, which were adopted in this study as a reference for rapid filters. In testing the functional efficiency of a dedicated filtration system for a Type II test pond (50 m2—area and 33 m3—capacity), at a filtration rate of 5 m/h, an average effective phosphorus adsorption efficiency of 18.28–53.98% was observed under the bed work-in-progress conditions. Analyses of other physicochemical water parameters, with appropriate calculations and statistical tests, indicated progressive functional efficiency of the system under bathing conditions. Full article
(This article belongs to the Section Water Quality and Contamination)
Show Figures

Figure 1

21 pages, 2928 KB  
Article
Transforming Spent Railroad Ties into High-Value Biochar: A Sustainable Solution for Phosphorus and Nitrate Removal in Water Treatment
by Shariat Mobasser, Tosin O. Olanrewaju, Chad T. Jafvert, Cliff Johnston and Abigail S. Engelberth
Bioresour. Bioprod. 2025, 1(1), 5; https://doi.org/10.3390/bioresourbioprod1010005 - 23 Sep 2025
Viewed by 153
Abstract
The growing challenge of managing end-of-life creosote-treated railroad ties, along with the increasing demand for effective water treatment solutions, has highlighted the potential of converting railroad tie biomass into functional biochar through pyrolysis. Pyrolysis temperatures ranging from 250 °C to 700 °C were [...] Read more.
The growing challenge of managing end-of-life creosote-treated railroad ties, along with the increasing demand for effective water treatment solutions, has highlighted the potential of converting railroad tie biomass into functional biochar through pyrolysis. Pyrolysis temperatures ranging from 250 °C to 700 °C were evaluated to determine their influence on biochar yield, physicochemical properties, and adsorption performance for nitrate and phosphate. The findings revealed that increasing pyrolysis temperature enhanced biochar surface area and porosity, reaching 454.9 m2/g at 700 °C. Elemental analyses showed maximum carbonization at 550 °C, with carbon content peaking at 80%, reflecting the development of more stable aromatic structures. SEM and FTIR analyses confirmed these structural changes, including the emergence of extensive pore networks and aromatic frameworks. Biochar produced at 600 °C demonstrated high nitrate (80%) and phosphate (79%) removal efficiencies, following Freundlich isotherm models. Magnesium-modified biochar further improved nitrate adsorption, reaching 90% removal at 5 ppm. Importantly, polycyclic aromatic hydrocarbons in the biochar decreased significantly at higher temperatures, ensuring environmental safety. This work demonstrates the dual environmental benefits of converting hazardous railroad tie waste into value-added biochar for nutrient removal in water treatment applications, offering a sustainable and scalable solution for circular waste management. Full article
Show Figures

Graphical abstract

20 pages, 13705 KB  
Article
Harnessing Hydrothermal Treatments to Control Magnesium Alloy Degradation for Bioresorbable Implants: A Comprehensive Evaluation of Bath Chemistry Effect
by Matteo Pavarini, Nadia Milanesi, Monica Moscatelli and Roberto Chiesa
Metals 2025, 15(9), 1056; https://doi.org/10.3390/met15091056 - 22 Sep 2025
Viewed by 227
Abstract
Magnesium alloys have been recently recognized as promising materials for temporary orthopedic applications, thanks to their biocompatibility, nontoxicity and biodegradability, combined with bone-like mechanical properties; nevertheless, their clinical viability is still hindered by their excessively rapid corrosion in physiological environments. In this context, [...] Read more.
Magnesium alloys have been recently recognized as promising materials for temporary orthopedic applications, thanks to their biocompatibility, nontoxicity and biodegradability, combined with bone-like mechanical properties; nevertheless, their clinical viability is still hindered by their excessively rapid corrosion in physiological environments. In this context, hydrothermal surface modification offers a simple and inexpensive option to form thick ceramic conversion films capable of protecting magnesium and delaying the initial stages of corrosion. In this study, magnesium samples were hydrothermally treated in various aqueous baths to systematically assess the influence of their chemistry on the resulting coating features. The obtained coatings were characterized in terms of physicochemical properties, electrochemical corrosion behavior in SBF, and long-term degradation with volumetric loss quantification by µ-CT. The results highlighted how corrosion resistance is dictated by coating uniformity rather than thickness. Moreover, XRD analyses revealed that all the best-performing coatings contained a stable magnesium oxide phase in addition to magnesium hydroxide, a feature absent in less protective films. A simple sodium nitrate solution was found to produce the most protective layer, showing the lowest volumetric losses after immersion testing. Full article
(This article belongs to the Special Issue Recent Advances in Surface Modification of Metallic Materials)
Show Figures

Figure 1

17 pages, 836 KB  
Article
Nanobubble- and Microbubble Aeration Affect Leaf Quality Without Changing Yield of Lettuce Grown in Floating Systems
by Leonardo Fiore, Mariateresa Cardarelli, José Carlos Laban Lliuya, Paolo Bonini, Piero Santelli and Giuseppe Colla
Horticulturae 2025, 11(9), 1141; https://doi.org/10.3390/horticulturae11091141 - 19 Sep 2025
Viewed by 340
Abstract
Dissolved oxygen (DO) concentration in nutrient solution is critical for maximizing yield and optimizing quality traits of lettuce plants grown in floating systems. This study evaluated the effects of two aeration systems—a Venturi system (V) and a Venturi system combined with a nanobubble [...] Read more.
Dissolved oxygen (DO) concentration in nutrient solution is critical for maximizing yield and optimizing quality traits of lettuce plants grown in floating systems. This study evaluated the effects of two aeration systems—a Venturi system (V) and a Venturi system combined with a nanobubble generator using electromagnetic waves (VN)—compared with a non-aerated control (C), on quali-quantitative traits of lettuce plants grown in a floating system over two consecutive harvests. Both aeration treatments significantly increased DO levels in the nutrient solution compared to C, with the VN treatment maintaining the highest value throughout the crop cycle. Although no significant differences in lettuce yield were observed, both aeration treatments enhanced the leaf concentration of P, Mn, Zn, and Cu in the second harvest, and Mg in both harvests. Moreover, the VN treatment lowered leaf nitrate concentration in both harvests compared to the other treatments. The increase in DO in the nutrient solution delayed leaf senescence, as evidenced by higher chlorophyll index and lower anthocyanin levels in the lettuce leaves harvested at the end of the trial for both aeration systems. These results suggest that aeration, particularly with nanobubbles, can be an effective and sustainable strategy to enhance the quality traits of lettuce grown in a floating system. Full article
(This article belongs to the Special Issue Productivity and Quality of Vegetable Crops under Climate Change)
Show Figures

Graphical abstract

Back to TopTop