Sign in to use this feature.

Years

Between: -

Subjects

remove_circle_outline
remove_circle_outline
remove_circle_outline
remove_circle_outline
remove_circle_outline
remove_circle_outline
remove_circle_outline
remove_circle_outline

Journals

Article Types

Countries / Regions

Search Results (49)

Search Parameters:
Keywords = nautical charting

Order results
Result details
Results per page
Select all
Export citation of selected articles as:
16 pages, 2394 KB  
Article
A TSS-Compliant Ship Automatic Route-Planning Algorithm
by Ning Zhang, Fang He, Lubin Chang and Jingwen Zong
Algorithms 2026, 19(3), 220; https://doi.org/10.3390/a19030220 - 15 Mar 2026
Viewed by 163
Abstract
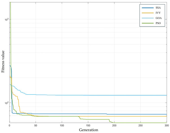
Aiming at solving the problem that existing automatic route-planning algorithms fail to consider the navigation rules in traffic separation scheme (TSS) zones, this paper proposes a ship automatic route-planning algorithm that fully considers TSS-zone navigation constraints. First, a formalized TSS-zone automatic planning module [...] Read more.
Aiming at solving the problem that existing automatic route-planning algorithms fail to consider the navigation rules in traffic separation scheme (TSS) zones, this paper proposes a ship automatic route-planning algorithm that fully considers TSS-zone navigation constraints. First, a formalized TSS-zone automatic planning module with a quadrilateral decomposition mechanism is designed, which realizes standardized processing of regular TSS zones and completes TSS-compliant route replanning through three core steps: invalid waypoint deletion, TSS-zone-traversal-order determination, and constrained route replanning. Second, a particle swarm optimization (PSO) algorithm is selected as the base global route-planning algorithm via a multi-algorithm comparative framework, considering the requirements of optimality, stability and real-time performance for ship-navigation. The TSS module is deeply integrated with the PSO algorithm, forming a unified global route-planning algorithm that balances TSS compliance and route optimality. Comparative experiments with four mainstream swarm intelligence algorithms (PSO/SSA/IVY/GOA) show that the PSO algorithm outperforms the others in terms of route length, stability and comprehensive efficiency, with an optimal route length of 57.71 and a low standard deviation of 3.42. Furthermore, the proposed algorithm is validated by real nautical chart data of Bohai Bay under single- and double-TSS-zone scenarios. The results indicate that the algorithm can stably generate TSS-compliant routes, with only a small increase in route length (0.6% and 4.4% for a single TSS zone, 1.1% and 1.8% for two TSS zones) and computational time and can automatically adjust the traversal strategy according to the start–end point settings. The designed TSS module has good scalability and can be integrated with other optimization algorithms, providing a feasible technical solution for an intelligent ship navigation system to realize automatic and compliant route planning in TSS zones with dense traffic. Full article
Show Figures

Figure 1

32 pages, 4122 KB  
Article
Navigating the Seas of AI: Effectiveness of Small Language Models on Edge Devices for Maritime Applications
by Nicolò Guainazzo, Giorgio Delzanno, Davide Ancona and Daniele D’Agostino
Sensors 2026, 26(5), 1590; https://doi.org/10.3390/s26051590 - 3 Mar 2026
Viewed by 569
Abstract
This paper explores the feasibility of employing small language models (SLMs) on edge devices powered by batteries in environments with limited/no internet connectivity. SLMs in fact offer significant advantages in such scenarios due to their lower resource requirements with respect to large language [...] Read more.
This paper explores the feasibility of employing small language models (SLMs) on edge devices powered by batteries in environments with limited/no internet connectivity. SLMs in fact offer significant advantages in such scenarios due to their lower resource requirements with respect to large language models. The use case in this study is maritime navigation—in particular, the documentation on Sailing Directions (Enroutd) of the World Port Index (WPI) provided by the National Geospatial-Intelligence Agency (NGA), which provides information that cannot be shown graphically on nautical charts and is not readily available elsewhere. In this environment, response immediacy is not critical, as users have sufficient time to query information while navigating and planning activities, making edge devices ideal for running these models. On the contrary, the response quality is fundamental. For this reason, given the constrained knowledge of SLMs in maritime contexts, we investigate the use of the retrieval-augmented generation (RAG) methodology, integrating external information from sailing directions. A comparative analysis is presented to evaluate the performance of various state-of-the-art SLMs, focusing on response quality, the effectiveness of the RAG component, and inference times. Full article
(This article belongs to the Special Issue Energy Harvesting and Machine Learning in IoT Sensors)
Show Figures

Figure 1

20 pages, 6334 KB  
Article
Local Erosion–Deposition Changes and Their Relationships with the Hydro-Sedimentary Environment in the Nearshore Radial Sand-Ridge Area off Dongtai, Northern Jiangsu
by Ning Zhuang, Liwen Yan, Yanxia Liu, Xiaohui Wang, Jingyuan Cao and Jiyang Jiang
J. Mar. Sci. Eng. 2026, 14(2), 205; https://doi.org/10.3390/jmse14020205 - 20 Jan 2026
Viewed by 351
Abstract
The radial sand-ridge field off the Jiangsu coast is a distinctive landform in a strongly tide-dominated environment, where sediment supply and geomorphic patterns have been profoundly altered by Yellow River course changes, reduced Yangtze-derived sediment, and large-scale reclamation. Focusing on a typical nearshore [...] Read more.
The radial sand-ridge field off the Jiangsu coast is a distinctive landform in a strongly tide-dominated environment, where sediment supply and geomorphic patterns have been profoundly altered by Yellow River course changes, reduced Yangtze-derived sediment, and large-scale reclamation. Focusing on a typical nearshore sector off Dongtai, this study integrates multi-source data from 1979 to 2025, including historical nautical charts, high-precision engineering bathymetry, full-tide hydro-sediment observations, and surficial sediment samples, to quantify seabed erosion–deposition over 46 years and clarify linkages among tidal currents, suspended-sediment transport, and surface grain-size patterns. Surficial sediments from Maozhusha to Jiangjiasha channel systematically fine from north to south: sand-ridge crests are dominated by sandy silt, whereas tidal channels and transition zones are characterized by silty sand and clayey silt. From 1979 to 2025, Zhugensha and its outer flank underwent multi-meter accretion and a marked accretion belt formed between Gaoni and Tiaozini, while the Jiangjiasha channel and adjacent deep troughs experienced persistent scour (local mean rates up to ~0.25 m/a), forming a striped “ridge accretion–trough erosion” pattern. Residual and potential maximum currents in the main channels enhance scour and offshore export of fines, whereas relatively strong depth-averaged flow and near-bed shear on inner sand-ridge flanks favor frequent mobilization and short-range trapping of coarser particles. Suspended-sediment concentration and median grain size are generally positively correlated, with suspension coarsening in high-energy channels but dominated by fine grains on nearshore flats and in deep troughs. These findings refine understanding of muddy-coast geomorphology under strong tides and may inform offshore wind-farm foundation design, navigation-channel maintenance, and coastal-zone management. Full article
(This article belongs to the Section Coastal Engineering)
Show Figures

Figure 1

24 pages, 7393 KB  
Article
Research on the IMOACO Path Planning Algorithm for Rescue AUVs
by Zhongchao Deng, Yuang Gao, Shilin Han, Xiaokai Mu, Guiqiang Bai, Yifan Xue, Zhongben Zhu and Hongde Qin
J. Mar. Sci. Eng. 2026, 14(1), 13; https://doi.org/10.3390/jmse14010013 - 21 Dec 2025
Viewed by 371
Abstract
To address the challenges faced by autonomous underwater vehicles (AUVs) in search and rescue missions—specifically, vulnerability to ocean current interference and low task efficiency in complex marine environments—this paper proposes an Improved Multi-objective Ant Colony Optimization (IMOACO) algorithm. By incorporating ocean current dynamics [...] Read more.
To address the challenges faced by autonomous underwater vehicles (AUVs) in search and rescue missions—specifically, vulnerability to ocean current interference and low task efficiency in complex marine environments—this paper proposes an Improved Multi-objective Ant Colony Optimization (IMOACO) algorithm. By incorporating ocean current dynamics and energy constraints, a current-guided multi-objective evaluation function and state transition function are constructed to guide AUVs to preferentially follow downstream paths. On this basis, the entropy weight method is integrated to enhance the heuristic function and pheromone update strategy of the Ant Colony Optimization (ACO), and a dynamic priority strategy is employed to optimize the traversal sequence of multiple objectives. Grid-based simulations using real nautical charts and field trials with the “Xinghai 300R” AUV demonstrate that the proposed method significantly improves path smoothness and mission efficiency, with the IMOACO algorithm achieving a 34.7% increase in multi-objective search efficiency. The results indicate that this method is well-suited for multi-objective search and rescue missions in environments with strong ocean current disturbances, offering strong potential for practical engineering applications. Full article
(This article belongs to the Section Ocean Engineering)
Show Figures

Graphical abstract

20 pages, 5170 KB  
Article
Bathymetric Changes in the Submerged Delta of the Jucar River (Spain, Western Mediterranean) from the 19th Century to the Present
by Irene Montoya-Blázquez, Ana Rodríguez-Pérez, Borja Martínez-Clavel and Ana María Blázquez
J. Mar. Sci. Eng. 2025, 13(11), 2152; https://doi.org/10.3390/jmse13112152 - 13 Nov 2025
Viewed by 940
Abstract
The Jucar is a perennial river with a high sedimentary load which has transferred sediment to the continental shelf in the form of a deltaic lobe since pre-historic times. The aim of this study is to analyze the changes that have occurred in [...] Read more.
The Jucar is a perennial river with a high sedimentary load which has transferred sediment to the continental shelf in the form of a deltaic lobe since pre-historic times. The aim of this study is to analyze the changes that have occurred in the submerged delta of the Jucar since the nineteenth century. With this aim in mind, five nautical charts were georeferenced, covering the period from 1893 to the present day, from which Digital Elevation Models were generated and compared using Geographic Information Systems. The results indicate that the large-scale contributions of the nineteenth century caused the submerged delta to grow during the cold, dry period of the Little Ice Age. In the mid-twentieth century, the flow and solid load of the river were reduced by the construction of dams, leading to the stabilization of the delta. The bursting of the Tous Dam in 1982 and the ensuing ordinary floods that occurred until its reconstruction, led to large amounts of sediment that counteracted the anthropic action generated by the sediment trap of the dams. The climate of the twenty-first century, characterized by frequent extreme weather events, has allowed the deltaic lobe to continue to grow until the present day since these events increased sediment input to the shelf. Coastal erosion is also observed. Full article
(This article belongs to the Section Geological Oceanography)
Show Figures

Figure 1

21 pages, 18006 KB  
Article
Shallow Bathymetry from Hyperspectral Imagery Using 1D-CNN: An Innovative Methodology for High Resolution Mapping
by Steven Martínez Vargas, Sibila A. Genchi, Alejandro J. Vitale and Claudio A. Delrieux
Remote Sens. 2025, 17(21), 3584; https://doi.org/10.3390/rs17213584 - 30 Oct 2025
Viewed by 1051
Abstract
The combined application of machine or deep learning algorithms and hyperspectral imagery for bathymetry estimation is currently an emerging field with widespread uses and applications. This research topic still requires further investigation to achieve methodological robustness and accuracy. In this study, we introduce [...] Read more.
The combined application of machine or deep learning algorithms and hyperspectral imagery for bathymetry estimation is currently an emerging field with widespread uses and applications. This research topic still requires further investigation to achieve methodological robustness and accuracy. In this study, we introduce a novel methodology for shallow bathymetric mapping using a one-dimensional convolutional neural network (1D-CNN) applied to PRISMA hyperspectral images, including refinements to enhance mapping accuracy, together with the optimization of computational efficiency. Four different 1D-CNN models were developed, incorporating pansharpening and spectral band optimization. Model performance was rigorously evaluated against reference bathymetric data obtained from official nautical charts provided by the Servicio de Hidrografía Naval (Argentina). The BoPsCNN model achieved the best testing accuracy with a coefficient of determination of 0.96 and a root mean square error of 0.65 m for a depth range of 0–15 m. The implementation of band optimization significantly reduced computational overhead, yielding a time-saving efficiency of 31–38%. The resulting bathymetric maps exhibited a coherent depth gradient from nearshore to offshore zones, with enhanced seabed morphology representation, particularly in models using pansharpened data. Full article
Show Figures

Figure 1

26 pages, 10016 KB  
Article
Hydrographic Objects’ Domains in Ship Route Planning in Restricted Areas
by Miroslaw Wielgosz, Zbigniew Pietrzykowski and Gerard Wawrzyniak
Electronics 2025, 14(21), 4240; https://doi.org/10.3390/electronics14214240 - 29 Oct 2025
Viewed by 470
Abstract
The basic requirement for ship voyage planning is to determine a safe route while meeting certain safety and economic criteria. ECDIS are a commonly used tool for this purpose. Route planning is normally accomplished by setting route cross track limit-XTE. The XTE value [...] Read more.
The basic requirement for ship voyage planning is to determine a safe route while meeting certain safety and economic criteria. ECDIS are a commonly used tool for this purpose. Route planning is normally accomplished by setting route cross track limit-XTE. The XTE value can be adjusted on individual sections of the planned route. As a complementary criterion, the own ship domain is proposed, understood as the area around the ship which is to remain free of other objects. The concept of a hydrographic object domain, analogous to the vessel domain, is proposed. The proposed domain complements existing safety criteria, particularly the criterion of a safe passing distance, and can also be used to define the safe cross-track error (XTE) limit. Different types of these objects are considered, and their classification is proposed. A methodology for determining such domains is presented, consisting of a vessel track analysis method (based on AIS data) and specific methods for determining domains for different types of hydrographic objects. Based on actual recorded Automatic Identification System (AIS) data for conventional ships, domains of fixed objects and navigational hazards have been determined. The domains of hydrographic objects may be applied to the delineation of ‘NoGo areas’ around them in nautical charts. Full article
(This article belongs to the Special Issue Autonomous and Connected Vehicles)
Show Figures

Figure 1

35 pages, 72103 KB  
Review
Submarine Terrain Generalization in Nautical Charts: A Survey of Traditional Methods and Graph Neural Network Solutions
by Taoning Dong, Ruifu Wang, Pengxv Chen, Chenyue Sun, Chaohua Gan, Jiayi Liu and Anmin Zhang
ISPRS Int. J. Geo-Inf. 2025, 14(7), 257; https://doi.org/10.3390/ijgi14070257 - 30 Jun 2025
Cited by 2 | Viewed by 1699
Abstract
The generalization of nautical charts remains crucial in geographic information science and cartography. Traditional geometry-based methods have contributed to the advancement of automated generalization to a certain extent, but they still exhibit significant limitations in handling complex marine spatial relationships. This paper proposes [...] Read more.
The generalization of nautical charts remains crucial in geographic information science and cartography. Traditional geometry-based methods have contributed to the advancement of automated generalization to a certain extent, but they still exhibit significant limitations in handling complex marine spatial relationships. This paper proposes the Graph Neural Network (GNN) as a transformative solution. GNN excels at processing non-Euclidean geospatial data, addressing the following three critical problems in the generalization of submarine terrain data: geographic feature representation, data processing, and the generalization process. The review first systematically outlines the main operators and fundamental methods of chart generalization. It analyzes their specific performance in various elements such as soundings, depth contours, islands, and coastlines. Subsequently, the potential of GNN is explored in addressing the limitations of traditional generalization methods. Although GNN is not a panacea, it shows advantages through horizontal and vertical comparisons. Finally, the challenges encountered in applying GNN to cartographic generalization are discussed. Full article
Show Figures

Figure 1

25 pages, 21975 KB  
Article
Toward Quantifying Interpolation Uncertainty in Set-Line Spacing Hydrographic Surveys
by Elias Adediran, Christos Kastrisios, Kim Lowell, Glen Rice and Qi Zhang
ISPRS Int. J. Geo-Inf. 2025, 14(2), 90; https://doi.org/10.3390/ijgi14020090 - 18 Feb 2025
Cited by 2 | Viewed by 2017
Abstract
The oceans remain one of Earth’s last great unknowns, with about 74% still unmapped to modern standards. Consequently, interpolation is employed to create seamless digital bathymetric models (DBMs) from incomplete hydrographic datasets, but this introduces unquantified depth uncertainties. This study aims to estimate [...] Read more.
The oceans remain one of Earth’s last great unknowns, with about 74% still unmapped to modern standards. Consequently, interpolation is employed to create seamless digital bathymetric models (DBMs) from incomplete hydrographic datasets, but this introduces unquantified depth uncertainties. This study aims to estimate and characterize uncertainties arising from set-line spacing hydrographic surveys, which are important for nautical charting, navigational safety, and many other applications. By sampling four distinct complete-coverage testbeds in United States waters that vary in slope and roughness at different line spacings, this study interpolates across entire testbed areas using Spline, Inverse Distance Weighting, and Linear interpolation. Uncertainty is calculated by comparing interpolated depths against the source depths for independent points. The resulting interpolation uncertainties are evaluated from both scientific and operational perspectives. Linear regression and machine learning techniques, specifically artificial neural networks and random forest, are used to model the relationship between these uncertainties and three ancillary predictors (distance to the nearest known measurement, slope, and roughness) for interpolation uncertainty quantification. The results show operational equivalence among the three interpolators, how line spacing and morphology impact uncertainty, and the statistical significance of the examined uncertainty predictors. However, the relationships between the combined ancillary predictors and interpolation uncertainty are weak. These findings suggest the potential presence of unaccounted-for factors influencing uncertainty yet provide a foundational understanding for improving uncertainty estimates in DBMs within operational settings. Full article
Show Figures

Figure 1

19 pages, 10185 KB  
Article
Research on Shallow Water Depth Remote Sensing Based on the Improvement of the Newton–Raphson Optimizer
by Yanran Li, Bei Liu, Xia Chai, Fengcheng Guo, Yongze Li and Dongyang Fu
Water 2025, 17(4), 552; https://doi.org/10.3390/w17040552 - 14 Feb 2025
Cited by 3 | Viewed by 1552
Abstract
The precise acquisition of water depth data in nearshore shallow waters bears considerable strategic significance for marine environmental monitoring, resource stewardship, navigational infrastructure development, and military security. Conventional bathymetric survey methodologies are constrained by their spatial and temporal limitations, thus failing to satisfy [...] Read more.
The precise acquisition of water depth data in nearshore shallow waters bears considerable strategic significance for marine environmental monitoring, resource stewardship, navigational infrastructure development, and military security. Conventional bathymetric survey methodologies are constrained by their spatial and temporal limitations, thus failing to satisfy the requirements of large-scale, real-time surveillance. While satellite remote sensing technologies present a novel approach to water depth inversion in shallow waters, attaining high-precision inversion in nearshore areas characterized by elevated levels of suspended sediments and diminished transparency remains a formidable challenge. To tackle this issue, this study introduces an enhanced XGBoost model grounded in the Newton–Raphson optimizer (NRBO–XGBoost) and successfully applies it to water depth inversion investigations in the nearshore shallow waters of the Beibu Gulf. The research amalgamates Sentinel-2B multispectral imagery, nautical chart data, and in situ water depth measurements. By ingeniously integrating the Newton–Raphson optimizer with the XGBoost framework, the study realizes the automatic configuration of model training parameters, markedly elevating inversion accuracy. The findings reveal that the NRBO–XGBoost model attains a coefficient of determination (R2) of 0.85 when compared to nautical chart water depth data, alongside a scatter index (SI) of 21%, substantially surpassing conventional models. Additional validation analyses indicate that the model achieves a coefficient of determination (R2) of 0.86 with field-measured data, a mean absolute error (MAE) of 1.60 m, a root mean square error (RMSE) of 2.13 m, and a scatter index (SI) of 13%. Moreover, the model exhibits exceptional performance in extended applications within the waters of Zhanjiang Port (R2 = 0.90), unequivocally affirming its dependability and practicality in intricate nearshore water environments. This study not only provides a fresh solution for remotely sensing water depth in complex nearshore water settings but also imparts valuable technical insights into the associated underwater surveys and marine resource exploitation. Full article
Show Figures

Figure 1

24 pages, 13866 KB  
Article
Development of a Multidimensional Analysis and Integrated Visualization Method for Maritime Traffic Behaviors Using DBSCAN-Based Dynamic Clustering
by Daehan Lee, Daun Jang and Sanglok Yoo
Appl. Sci. 2025, 15(2), 529; https://doi.org/10.3390/app15020529 - 8 Jan 2025
Cited by 4 | Viewed by 2341
Abstract
Automatic Identification System (AIS) data offer essential insights into maritime traffic patterns; however, effective visualization tools for decision-making remain limited. This study presents an integrated visualization processing method to support ship operators by identifying maritime traffic behavior information, such as traffic density, direction, [...] Read more.
Automatic Identification System (AIS) data offer essential insights into maritime traffic patterns; however, effective visualization tools for decision-making remain limited. This study presents an integrated visualization processing method to support ship operators by identifying maritime traffic behavior information, such as traffic density, direction, and flow in specific sea navigational areas. We analyzed AIS dynamic data from a specific sea area, calculated ship density distributions across a grid lattice, and obtained visualizations of traffic-dense areas as heat maps. Using the density-based spatial clustering of applications with a noise algorithm, we detected traffic direction at each grid point, which was visualized in the form of directional arrows, and clustered ship trajectories to identify representative traffic flows. The visualizations were integrated and overlaid onto an S-57-based electronic nautical map for Mokpo’s entry and exit routes, revealing primary shipping lanes and critical inflection points within the target area. This integrated visualization method simultaneously displays traffic density, flow, and customary routes. It is adapted for the electronic nautical chart (S-101) under the next-generation hydrographic information standard (S-100), which can be used as a tool to support decision-making for ship operators. Full article
(This article belongs to the Special Issue Advances in Intelligent Maritime Navigation and Ship Safety)
Show Figures

Figure 1

27 pages, 7430 KB  
Article
Sensing in Inland Waters to Promote Safe Navigation: A Case Study in the Aveiro’s Lagoon
by Diogo Miguel Carvalho, João Miguel Dias and Jorge Ferraz de Abreu
Sensors 2024, 24(23), 7677; https://doi.org/10.3390/s24237677 - 30 Nov 2024
Cited by 1 | Viewed by 2333
Abstract
Maritime navigation safety relies on preventing accidents, such as collisions and groundings. However, several factors can exacerbate these risks, including inexistent or inadequate buoyage systems and nautical charts with outdated bathymetry. The International Hydrographic Organization (IHO) highlights high costs and traditional methods as [...] Read more.
Maritime navigation safety relies on preventing accidents, such as collisions and groundings. However, several factors can exacerbate these risks, including inexistent or inadequate buoyage systems and nautical charts with outdated bathymetry. The International Hydrographic Organization (IHO) highlights high costs and traditional methods as obstacles to updating bathymetric information, impacting both safety and socio-economic factors. Navigation in inland and coastal waters is particularly complex due to the presence of shallow intertidal zones that are not signaled, where navigation depends on tidal height, vessel draw, and local knowledge. To address this, recreational vessels can use electronic maritime sensors to share critical data with nearby vessels. This article introduces a low-cost maritime data sharing system using IoT technologies for both inland (e.g., Ria de Aveiro) and coastal waters. The system enables the collection and sharing of meteorological and oceanographic data, including depth, tide height, wind direction, and speed. Using a case study in the Ria de Aveiro lagoon, known for its navigational difficulties, the system was developed with a Contextual Design approach focusing on sailors’ needs. It allows for the real-time sharing of data, helping vessels to anticipate maneuvers for safer navigation. The results demonstrate the system’s potential to improve maritime safety in both inland and coastal areas. Full article
(This article belongs to the Special Issue Advanced Sensing Technologies for Marine Intelligent Systems)
Show Figures

Figure 1

28 pages, 19500 KB  
Article
Empirical Evaluation and Simulation of GNSS Solutions on UAS-SfM Accuracy for Shoreline Mapping
by José A. Pilartes-Congo, Chase Simpson, Michael J. Starek, Jacob Berryhill, Christopher E. Parrish and Richard K. Slocum
Drones 2024, 8(11), 646; https://doi.org/10.3390/drones8110646 - 6 Nov 2024
Cited by 5 | Viewed by 2985 | Correction
Abstract
Uncrewed aircraft systems (UASs) and structure-from-motion/multi-view stereo (SfM/MVS) photogrammetry are efficient methods for mapping terrain at local geographic scales. Traditionally, indirect georeferencing using ground control points (GCPs) is used to georeference the UAS image locations before further processing in SfM software. However, this [...] Read more.
Uncrewed aircraft systems (UASs) and structure-from-motion/multi-view stereo (SfM/MVS) photogrammetry are efficient methods for mapping terrain at local geographic scales. Traditionally, indirect georeferencing using ground control points (GCPs) is used to georeference the UAS image locations before further processing in SfM software. However, this is a tedious practice and unsuitable for surveying remote or inaccessible areas. Direct georeferencing is a plausible alternative that requires no GCPs. It relies on global navigation satellite system (GNSS) technology to georeference the UAS image locations. This research combined field experiments and simulation to investigate GNSS-based post-processed kinematic (PPK) as a means to eliminate or reduce reliance on GCPs for shoreline mapping and charting. The study also conducted a brief comparison of real-time network (RTN) and precise point positioning (PPP) performances for the same purpose. Ancillary experiments evaluated the effects of PPK base station distance and GNSS sample rate on the accuracy of derived 3D point clouds and digital elevation models (DEMs). Vertical root mean square errors (RMSEz), scaled to the 95% confidence interval using an assumption of normally-distributed errors, were desired to be within 0.5 m to satisfy National Oceanic and Atmospheric Administration (NOAA) requirements for nautical charting. Simulations used a Monte Carlo approach and empirical tests to examine the influence of GNSS performance on the quality of derived 3D point clouds. RTN and PPK results consistently yielded RMSEz values within 10 cm, thus satisfying NOAA requirements for nautical charting. PPP did not meet the accuracy requirements but showed promising results that prompt further investigation. PPK experiments using higher GNSS sample rates did not always provide the best accuracies. GNSS performance and model accuracies were enhanced when using base stations located within 30 km of the survey site. Results without using GCPs observed a direct relationship between point cloud accuracy and GNSS performance, with R2 values reaching up to 0.97. Full article
Show Figures

Figure 1

16 pages, 5721 KB  
Article
Dynamic Projection Method of Electronic Navigational Charts for Polar Navigation
by Chenchen Jiao, Xiaoxia Wan, Houpu Li and Shaofeng Bian
J. Mar. Sci. Eng. 2024, 12(4), 577; https://doi.org/10.3390/jmse12040577 - 28 Mar 2024
Cited by 4 | Viewed by 2563
Abstract
Electronic navigational charts (ENCs) are geospatial databases compiled in strict accordance with the technical specifications of the International Hydrographic Organization (IHO). Electronic Chart Display and Information System (ECDIS) is a Geographic Information System (GIS) operated by ENCs for real-time navigation at sea, which [...] Read more.
Electronic navigational charts (ENCs) are geospatial databases compiled in strict accordance with the technical specifications of the International Hydrographic Organization (IHO). Electronic Chart Display and Information System (ECDIS) is a Geographic Information System (GIS) operated by ENCs for real-time navigation at sea, which is one of the key technologies for intelligent ships to realize autonomous navigation, intelligent decision-making, and other functions. Facing the urgent demand for high-precision and real-time nautical chart products for polar navigation under the new situation, the projection of ENCs for polar navigation is systematically analyzed in this paper. Based on the theory of complex functions, we derive direct transformations of Mercator projection, polar Gauss-Krüger projection, and polar stereographic projection. A rational set of dynamic projection options oriented towards polar navigation is proposed with reference to existing specifications for the compilation of the ENCs. From the perspective of nautical users, rather than the GIS expert or professional cartographer, an ENCs visualization idea based on multithread-double buffering is integrated into Polar Region Electronic Navigational Charts software, which effectively solves the problem of large projection distortion in polar navigation applications. Taking the CGCS2000 reference ellipsoid as an example, the numerical analysis shows that the length distortion of the Mercator projection is less than 10% in the region up to 74°, but it is more than 80% at very high latitudes. The maximum distortion of the polar Gauss-Krüger projection does not exceed 10%. The degree of distortion of the polar stereographic projection is less than 1% above 79°. In addition, the computational errors of the direct conversion formulas do not exceed 109 m throughout the Arctic range. From the point of view of the computational efficiency of the direct conversion model, it takes no more than 0.1 s to compute nearly 8 million points at 1×1 resolution, which fully meets the demand for real-time nautical chart products under information technology conditions. Full article
Show Figures

Figure 1

22 pages, 21831 KB  
Article
A Convolutional Neural Network with Spatial Location Integration for Nearshore Water Depth Inversion
by Chunlong He, Qigang Jiang, Guofang Tao and Zhenchao Zhang
Sensors 2023, 23(20), 8493; https://doi.org/10.3390/s23208493 - 16 Oct 2023
Cited by 9 | Viewed by 2386
Abstract
Nearshore water depth plays a crucial role in scientific research, navigation management, coastal zone protection, and coastal disaster mitigation. This study aims to address the challenge of insufficient feature extraction from remote sensing data in nearshore water depth inversion. To achieve this, a [...] Read more.
Nearshore water depth plays a crucial role in scientific research, navigation management, coastal zone protection, and coastal disaster mitigation. This study aims to address the challenge of insufficient feature extraction from remote sensing data in nearshore water depth inversion. To achieve this, a convolutional neural network with spatial location integration (CNN-SLI) is proposed. The CNN-SLI is designed to extract deep features from remote sensing data by considering the spatial dimension. In this approach, the spatial location information of pixels is utilized as two additional channels, which are concatenated with the input feature image. The resulting concatenated image data are then used as the input for the convolutional neural network. Using GF-6 remote sensing images and measured water depth data from electronic nautical charts, a nearshore water depth inversion experiment was conducted in the waters near Nanshan Port. The results of the proposed method were compared with those of the Lyzenga, MLP, and CNN models. The CNN-SLI model demonstrated outstanding performance in water depth inversion, with impressive metrics: an RMSE of 1.34 m, MAE of 0.94 m, and R2 of 0.97. It outperformed all other models in terms of overall inversion accuracy and regression fit. Regardless of the water depth intervals, CNN-SLI consistently achieved the lowest RMSE and MAE values, indicating excellent performance in both shallow and deep waters. Comparative analysis with Kriging confirmed that the CNN-SLI model best matched the interpolated water depth, further establishing its superiority over the Lyzenga, MLP, and CNN models. Notably, in this study area, the CNN-SLI model exhibited significant performance advantages when trained with at least 250 samples, resulting in optimal inversion results. Accuracy evaluation on an independent dataset shows that the CNN-SLI model has better generalization ability than the Lyzenga, MLP, and CNN models under different conditions. These results demonstrate the superiority of CNN-SLI for nearshore water depth inversion and highlight the importance of integrating spatial location information into convolutional neural networks for improved performance. Full article
(This article belongs to the Section Remote Sensors)
Show Figures

Figure 1

Back to TopTop