Sign in to use this feature.

Years

Between: -

Subjects

remove_circle_outline
remove_circle_outline
remove_circle_outline
remove_circle_outline
remove_circle_outline
remove_circle_outline

Journals

Article Types

Countries / Regions

Search Results (13)

Search Parameters:
Keywords = multi-phase flow and mass transfer problems

Order results
Result details
Results per page
Select all
Export citation of selected articles as:
27 pages, 9572 KB  
Article
Multi-Objective Optimization Research Based on NSGA-II and Experimental Study of Triplex-Tube Phase Change Thermal Energy Storage System
by Yi Zhang, Haoran Yu, Yingzhen Hou and Neng Zhu
Energies 2025, 18(8), 2129; https://doi.org/10.3390/en18082129 - 21 Apr 2025
Viewed by 1587
Abstract
Energy storage technology is crucial for promoting the replacement of traditional energy with renewable energy and regulating the energy supply–demand relationship. This paper investigates a triplex-tube thermal energy unit storage to solve the intermediate heat storage and heat transfer problem of hot water [...] Read more.
Energy storage technology is crucial for promoting the replacement of traditional energy with renewable energy and regulating the energy supply–demand relationship. This paper investigates a triplex-tube thermal energy unit storage to solve the intermediate heat storage and heat transfer problem of hot water supply and demand in clean heating systems. A multi-objective optimization method based on the elitist non-dominated sorting genetic algorithm (NSGA-II) was utilized to optimize the geometric dimensions (inner tube radius r1, casing tube radius r2, and outer tube radius r3), focusing on heat transfer efficiency (ε), heat storage rate (Pt), and mass (M). On this basis, the influence of the optimization variables was analyzed. The optimized configuration (r1=0.014 m, r2=0.041 m, and r3=0.052 m) was integrated into a modular design, achieving a 2.12% improvement in heat transfer efficiency and a 73.23% increase in heat storage rate. Experimental results revealed that higher heat transfer fluid (HTF) temperatures significantly reduce heat storage time, while HTF flow rate has a minimal impact. Increasing the heat release temperature extends the phase change material (PCM) heat release duration, with the flow rate showing negligible effects. The system’s thermal supply capacity is susceptible to heat release temperature. Full article
(This article belongs to the Section J1: Heat and Mass Transfer)
Show Figures

Figure 1

17 pages, 8831 KB  
Article
Investigations of the Mass Transfer and Flow Field Disturbance Regulation of the Gas–Liquid–Solid Flow of Hydropower Stations
by Qing Yan, Xinghua Fan, Lin Li and Gaoan Zheng
J. Mar. Sci. Eng. 2024, 12(1), 84; https://doi.org/10.3390/jmse12010084 - 30 Dec 2023
Cited by 21 | Viewed by 2044
Abstract
With the continuous depletion of fossil fuels, all countries attach importance to clean and sustainable development. The real-time state monitoring of multiphase flows is vital for enhancing hydropower station energy conversion. However, the material mass transfer mechanism and flow field disturbance regulation strategy [...] Read more.
With the continuous depletion of fossil fuels, all countries attach importance to clean and sustainable development. The real-time state monitoring of multiphase flows is vital for enhancing hydropower station energy conversion. However, the material mass transfer mechanism and flow field disturbance regulation strategy faces significant challenges. To solve these problems, a computational fluid mechanics and discrete element method (CFD-DEM) coupling modeling and solution method based on a particle porosity model was proposed, and the mass transfer mechanism of gas–liquid–solid mixing flows was obtained under dynamic whirl intensity regulations. Combined with the user-defined function (UDF), the interphase forces and void ratios of fluids and particles were calculated to obtain the material mass transfer laws under dynamic disturbance regulations. The evolution characteristics of the particle flow pattern were tracked during the material mixing process. The results show that the mixed flow field had a high material transport efficiency under intensive whirl regulation, especially for the particle aggregation in the center of the reaction vessel. The maximum peak velocity and energy values of the particle transport process were 3.30 m/s and 0.27 × 10−3 m2·s−2. The higher whirl regulation improved the material transport process and conveying efficiency and enhanced the particle mixing effect in the reaction space. Relevant research results can provide theoretical references for material mass transfer mechanisms, dynamic regulation strategies, and particle flow pattern identifications and can also provide technical support for hydropower energy conversion. Full article
(This article belongs to the Section Ocean Engineering)
Show Figures

Figure 1

48 pages, 6734 KB  
Review
Fluid Flow in Helically Coiled Pipes
by Leonardo Di G. Sigalotti, Carlos E. Alvarado-Rodríguez and Otto Rendón
Fluids 2023, 8(12), 308; https://doi.org/10.3390/fluids8120308 - 27 Nov 2023
Cited by 10 | Viewed by 12714
Abstract
Helically coiled pipes are widely used in many industrial and engineering applications because of their compactness, larger heat transfer area per unit volume and higher efficiency in heat and mass transfer compared to other pipe geometries. They are commonly encountered in heat exchangers, [...] Read more.
Helically coiled pipes are widely used in many industrial and engineering applications because of their compactness, larger heat transfer area per unit volume and higher efficiency in heat and mass transfer compared to other pipe geometries. They are commonly encountered in heat exchangers, steam generators in power plants and chemical reactors. The most notable feature of flow in helical pipes is the secondary flow (i.e., the cross-sectional circulatory motion) caused by centrifugal forces due to the curvature. Other important features are the stabilization effects of turbulent flow and the higher Reynolds number at which the transition from a laminar to a turbulent state occurs compared to straight pipes. A survey of the open literature on helical pipe flows shows that a good deal of experimental and theoretical work has been conducted to derive appropriate correlations to predict frictional pressure losses under laminar and turbulent conditions as well as to study the dependence of the flow characteristics and heat transfer capabilities on the Reynolds number, the Nusselt number and the geometrical parameters of the helical pipe. Despite the progress made so far in understanding the flow and heat transfer characteristics of helical pipe flow, there is still much work to be completed to address the more complex problem of multiphase flows and the impact of pipe deformation and corrugation on single- and multiphase flow. The aim of this paper is to provide a review on the state-of-the-art experimental and theoretical research concerning the flow in helically coiled pipes. Full article
(This article belongs to the Special Issue Pipe Flow: Research and Applications)
Show Figures

Figure 1

8 pages, 1982 KB  
Proceeding Paper
Numerical Simulations on Heat Transfer Enhancement of Nanofluids in Microchannel Using Vortex Generator
by Yong-Bin Lee and Chuan-Chieh Liao
Eng. Proc. 2023, 38(1), 68; https://doi.org/10.3390/engproc2023038068 - 29 Jun 2023
Cited by 1 | Viewed by 1333
Abstract
Vortex-induced vibration (VIV) is the periodic motion of a bluff body caused by fluid flow and is widely discussed in the engineering field. With the advancement of science and technology, miniaturization and integration have become the mainstream trends in biomedical chips and electronic [...] Read more.
Vortex-induced vibration (VIV) is the periodic motion of a bluff body caused by fluid flow and is widely discussed in the engineering field. With the advancement of science and technology, miniaturization and integration have become the mainstream trends in biomedical chips and electronic systems, resulting in higher heat dissipation requirements per unit area. Therefore, the improvement of the heat dissipation effect of movable structures in the flow channel has been widely discussed. Among them, adding VIV motion in the microchannel generates a vortex structure, which improves heat transfer efficiency. Different from the direct displacement method of active vibration, the passive displacement of VIV is a multi-physics problem. It needs to integrate the flow field and the spring-mass system of the object for fluid–solid coupling, which greatly increases the difficulty of analysis. In this study, the Immersed-boundary method (IBM) combined with the equation of motion is used to numerically study a vortex generator that is elastically installed in a microfluidic channel and is then used to enhance the convective heat transfer of nanofluids in the channel. Unlike the common body-fitted mesh, IBM greatly reduces the computational resources required for mesh regeneration when simulating the problem of object movement in fluid–structure interaction. In addition, Buongiorno’s two-phase mixing model is used to simulate the convective heat transfer of nanofluids in microchannels by considering the Brownian motion and thermophoretic diffusion of nanoparticles in the carrier liquid. By changing the important parameters such as nanofluid concentration, Reynolds number, mass ratio, and Ur, the influence of the response characteristics of vortex-induced vibration on the heat flow field in the microfluidic channel is discussed, and the key factors for enhancing heat transfer are found out. Full article
Show Figures

Figure 1

16 pages, 4990 KB  
Article
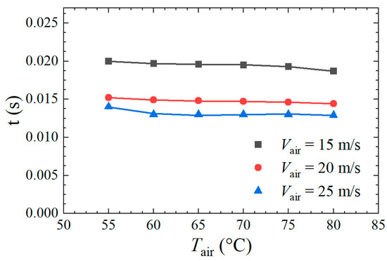
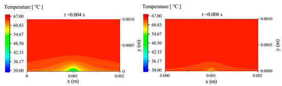
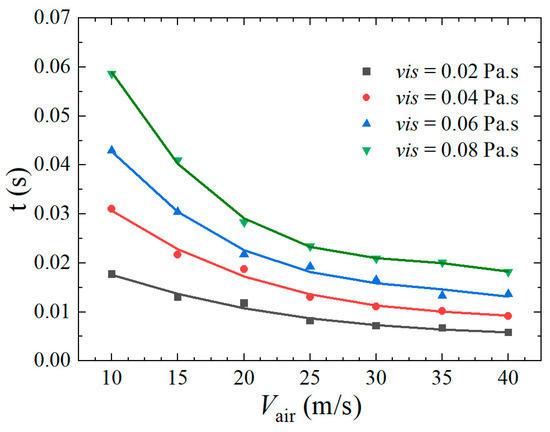
Numerical Simulation of Impinging Jet Drying Multiphase Flow in Gravure Printing Water-Based Ink Based on the Volume of Fluid Method
by Hongjuan Zhu, Jiefang Xing, Wanjun Zhu and Xiaomin Guan
Processes 2023, 11(3), 847; https://doi.org/10.3390/pr11030847 - 12 Mar 2023
Cited by 3 | Viewed by 2698
Abstract
Gravure printing is widely used in food, pharmaceutical, and other packaging industries. As a green printing material, water-based ink has problems such as non-volatile and poor drying on non-absorbent packaging substrates, which has a great impact on its application. To solve these difficulties, [...] Read more.
Gravure printing is widely used in food, pharmaceutical, and other packaging industries. As a green printing material, water-based ink has problems such as non-volatile and poor drying on non-absorbent packaging substrates, which has a great impact on its application. To solve these difficulties, this study adopts the volume of fluid (VOF) method and user-defined function (UDF) to establish a multiphase flow impinging air jets drying model of water-based ink in the gravure printing process, taking a water-based ink droplet as an example. The model was used to simulate the ink drying state in the impinging air jets region and analyze the effects of impinging air jets’ temperature and velocity, as well as ink viscosity and thickness, on the ink drying efficiency. Meanwhile, the heat and mass transfer mechanism between impinging air jets and water-based ink was investigated. The results show that the higher impinging air jet temperature and velocity, the faster the drying rate of the ink; a lower viscosity and thinner thickness of ink can also enhance the drying efficiency of the ink. The multiphase impinging air jets drying model based on the computational fluid dynamics (CFD) method provides a new research idea for the analysis of drying characteristics of water-based ink on non-absorbent substrates, and the research results provide theoretical support to promote its application. Full article
Show Figures

Figure 1

17 pages, 4715 KB  
Article
Fluid-Solid Coupling-Based Vibration Generation Mechanism of the Multiphase Vortex
by Gaoan Zheng, Jilin Shi, Lin Li, Qihan Li, Zeheng Gu, Weixin Xu, Bin Lu and Chengyan Wang
Processes 2023, 11(2), 568; https://doi.org/10.3390/pr11020568 - 13 Feb 2023
Cited by 27 | Viewed by 3153
Abstract
Multiphase vortices are widely present in the metallurgical pouring processes, chemical material extraction, hydroelectric power plant energy conversion, and other engineering fields. Its critical state detection is of great significance in improving product yield and resource utilization. However, the multiphase vortex is a [...] Read more.
Multiphase vortices are widely present in the metallurgical pouring processes, chemical material extraction, hydroelectric power plant energy conversion, and other engineering fields. Its critical state detection is of great significance in improving product yield and resource utilization. However, the multiphase vortex is a complex dynamics problem with highly nonlinear features, and its fluid-induced vibration-generation mechanism faces significant challenges. A fluid-solid coupling-based modeling method is proposed to explore mass transfer process with the vorticity distribution and vibration-generation mechanism. A vibration-processing method is utilized to discuss the four flow-state transition features. A fluid-induced vibration experiment platform is established to verify the numerical results. It is found that the proposed modeling method can better reveal the vibration-evolution regularities of the fluid-solid coupling process. The flow field has a maximum value in the complex water–oil–gas coupled flow process, and induces a pressure pulsation phenomenon, and its frequency amplitude is much larger than that of the water phase and water–oil two-phase flow states. In the critical generation state, the increasing amplitude and nonlinear step structure of high-frequency bands (45 Hz~50 Hz) and random pulse components can be used for the online detection of multiphase-coupling states. Full article
Show Figures

Figure 1

20 pages, 8881 KB  
Review
Gravitational Surface Vortex Formation and Suppression Control: A Review from Hydrodynamic Characteristics
by Gaoan Zheng, Zeheng Gu, Weixin Xu, Bin Lu, Qihan Li, Yunfeng Tan, Chengyan Wang and Lin Li
Processes 2023, 11(1), 42; https://doi.org/10.3390/pr11010042 - 25 Dec 2022
Cited by 37 | Viewed by 5446
Abstract
The energy-conversion stability of hydropower is critical to satisfy the growing demand for electricity. In low-head hydropower plants, a gravitational surface vortex is easily generated, which causes irregular shock vibrations that damage turbine performance and input-flow stability. The gravitational surface vortex is a [...] Read more.
The energy-conversion stability of hydropower is critical to satisfy the growing demand for electricity. In low-head hydropower plants, a gravitational surface vortex is easily generated, which causes irregular shock vibrations that damage turbine performance and input-flow stability. The gravitational surface vortex is a complex fluid dynamic problem with high nonlinear features. Here, we thoroughly investigate its essential hydrodynamic properties, such as Ekman layer transport, heat/mass transfer, pressure pulsation, and vortex-induced vibration, and we note some significant scientific issues as well as future research directions and opportunities. Our findings show that the turbulent Ekman layer analytical solution and vortex multi-scale modeling technology, the working condition of the vortex across the scale heat/mass transfer mechanism, the high-precision measurement technology for high-speed turbulent vortexes, and the gas–liquid–solid three-phase vortex dynamics model are the main research directions. The vortex-induced vibration transition mechanism of particle flow in complex restricted pipelines, as well as the improvement of signal processing algorithms and a better design of anti-spin/vortex elimination devices, continue to draw attention. The relevant result can offer a helpful reference for fluid-induced vibration detection and provide a technical solution for hydropower energy conversion. Full article
Show Figures

Figure 1

19 pages, 2719 KB  
Article
Mathematical Modeling of Gas Hydrates Dissociation in Porous Media with Water-Ice Phase Transformations Using Differential Constrains
by Natalia Alekseeva, Viktoriia Podryga, Parvin Rahimly, Richard Coffin and Ingo Pecher
Mathematics 2022, 10(19), 3470; https://doi.org/10.3390/math10193470 - 23 Sep 2022
Cited by 3 | Viewed by 1807
Abstract
2D numerical modeling algorithms of multi-component, multi-phase filtration processes of mass transfer in frost-susceptible rocks using nonlinear partial differential equations are a valuable tool for problems of subsurface hydrodynamics considering the presence of free gas, free water, gas hydrates, ice formation and phase [...] Read more.
2D numerical modeling algorithms of multi-component, multi-phase filtration processes of mass transfer in frost-susceptible rocks using nonlinear partial differential equations are a valuable tool for problems of subsurface hydrodynamics considering the presence of free gas, free water, gas hydrates, ice formation and phase transitions. In this work, a previously developed one-dimensional numerical modeling approach is modified and 2D algorithms are formulated through means of the support-operators method (SOM) and presented for the entire area of the process extension. The SOM is used to generalize the method of finite difference for spatially irregular grids case. The approach is useful for objects where a lithological heterogeneity of rocks has a big influence on formation and accumulation of gas hydrates and therefore it allows to achieve a sufficiently good spatial approximation for numerical modeling of objects related to gas hydrates dissociation in porous media. The modeling approach presented here consistently applies the method of physical process splitting which allows to split the system into dissipative equation and hyperbolic unit. The governing variables were determined in flow areas of the hydrate equilibrium zone by applying the Gibbs phase rule. The problem of interaction of a vertical fault and horizontal formation containing gas hydrates was investigated and test calculations were done for understanding of influence of thermal effect of the fault on the formation fluid dynamic. Full article
Show Figures

Figure 1

14 pages, 3616 KB  
Article
Experimental Investigation on the Heat Transfer Characteristics of Multi-Point Heating Microchannels for Simulating Solar Cell Cooling
by Qi Yang, Yanpei Huang, Zitian Niu, Yuandong Guo, Qi Wu and Jianyin Miao
Energies 2022, 15(15), 5315; https://doi.org/10.3390/en15155315 - 22 Jul 2022
Cited by 1 | Viewed by 2404
Abstract
Concentrating photovoltaic power generation technology is a highly efficient way of utilizing solar energy resources with the efficiency limited by cell cooling conditions. For the heat dissipation problem from multi-point solar cell cooling, a microchannel heat sink is used to resolve the issue. [...] Read more.
Concentrating photovoltaic power generation technology is a highly efficient way of utilizing solar energy resources with the efficiency limited by cell cooling conditions. For the heat dissipation problem from multi-point solar cell cooling, a microchannel heat sink is used to resolve the issue. Ammonia is chosen as the working fluid and two diamond microchannel heat sinks in series for the 16 simulated solar cells cooling with typical size. The heat sink consists of 31 triangular microchannels, each with a hydraulic diameter of 237 μm and a flow path length of 40 mm. It is experimentally verified that the diamond microchannel heat sink has excellent multi-point heat source heat dissipation capability. The surface temperature of the heat source can be controlled below 65.9 °C under the heat flux of 351.5 W/cm2, and the maximum temperature difference between the multi-point heat sources is only 1.4 °C. The effects of heat flux, mass flux and inlet state on the flow boiling heat transfer capacity within the series heat sinks were investigated and the ranges of the operating conditions are as follows: heat flux 90.8–351.5 W/cm2, mass flux 108–611 kg/(m2s), saturation temperature 15–23 °C and inlet temperature 15–21 °C. The results show that within the range of experimental conditions, the flow boiling heat transfer capacity of the series heat sink increases with the increase of heat flux and is less influenced by the mass flux, showing the typical two-phase heat transfer characteristics dominated by the nucleation boiling mechanism. Between the upstream and downstream heat sinks, the thermal resistance of the upstream heat sink is larger and the temperature uniformity of the downstream heat sink is poor because of the difference of the inlet state. Full article
(This article belongs to the Special Issue Application of Nanotechnology in Solar Energy and Solar Radiation)
Show Figures

Figure 1

24 pages, 5025 KB  
Review
Research on Oil Mist Leakage of Bearing in Hydropower Station: A Review
by Jie Sun, Yuquan Zhang, Bin Liu, Xinfeng Ge, Yuan Zheng and Emmanuel Fernandez-Rodriguez
Energies 2022, 15(7), 2632; https://doi.org/10.3390/en15072632 - 4 Apr 2022
Cited by 5 | Viewed by 6784
Abstract
Hydropower is a clean and renewable energy, fundamental to the attainment of a sustainable society. Despite its efficacy and success, there is a need to address the hydroelectric stations’ oil throwing and mist leakage, resulting in the deterioration of the generating units, water, [...] Read more.
Hydropower is a clean and renewable energy, fundamental to the attainment of a sustainable society. Despite its efficacy and success, there is a need to address the hydroelectric stations’ oil throwing and mist leakage, resulting in the deterioration of the generating units, water, and biodiversity. The conventional engineering measures to deal with oil mist leakage include: the reduction in the operating pad and oil temperature, optimization of the oil circulation loop in the oil tank, improvement of the sealing performance, and design of the oil mist emission device. However, the problem of oil mist leakage of bearings is complex, intractable, and cannot be solved by only one method. Numerical simulation can help to solve the oil mist problem and make up for the shortage of engineering measures. Yet, the mass transfer, involving multi-component and multi-phase flow, becomes a limitation for many numerical studies. As a result, this paper seeks to integrate the solutions by reviewing two influences: the global measures of oil mist leakage proof in the oil tank of bearings in the past 40 years, and the views and experiences of engineering practices. These findings offer some relevant insights into the effectiveness of the applied methods and solving of the oil mist leakage problem. Full article
(This article belongs to the Collection Electric and Hybrid Vehicles Collection)
Show Figures

Figure 1

21 pages, 2907 KB  
Article
Sharp Interface Capturing in Compressible Multi-Material Flows with a Diffuse Interface Method
by Shambhavi Nandan, Christophe Fochesato, Mathieu Peybernes, Renaud Motte and Florian De Vuyst
Appl. Sci. 2021, 11(24), 12107; https://doi.org/10.3390/app112412107 - 19 Dec 2021
Cited by 1 | Viewed by 3883
Abstract
Compressible multi-materialflows are encountered in a wide range of natural phenomena and industrial applications, such as supernova explosions in space, high speed flows in jet and rocket propulsion, underwater explosions, and vapor explosions in post accidental situations in nuclear reactors. In the numerical [...] Read more.
Compressible multi-materialflows are encountered in a wide range of natural phenomena and industrial applications, such as supernova explosions in space, high speed flows in jet and rocket propulsion, underwater explosions, and vapor explosions in post accidental situations in nuclear reactors. In the numerical simulations of these flows, interfaces play a crucial role. A poor numerical resolution of the interfaces could make it difficult to account for the physics, such as material separation, location of the shocks and contact discontinuities, and transfer of the mass, momentum and heat between different materials/phases. Owing to such importance, sharp interface capturing remains an active area of research in the field of computational physics. To address this problem in this paper we focus on the Interface Capturing (IC) strategy, and thus we make use of a newly developed Diffuse Interface Method (DIM) called Multidimensional Limiting Process-Upper Bound (MLP-UB). Our analysis shows that this method is easy to implement, can deal with any number of material interfaces, and produces sharp, shape-preserving interfaces, along with their accurate interaction with the shocks. Numerical experiments show good results even with the use of coarse meshes. Full article
Show Figures

Figure 1

9 pages, 214 KB  
Editorial
Special Issue on Symmetry and Fluid Mechanics
by Rahmat Ellahi
Symmetry 2020, 12(2), 281; https://doi.org/10.3390/sym12020281 - 13 Feb 2020
Cited by 3 | Viewed by 2399
Abstract
This Special Issue invited researchers to contribute their original research work and review articles on “Symmetry and Fluid Mechanics” that either advances the state-of-the-art mathematical methods through theoretical or experimental studies or extends the bounds of existing methodologies with new contributions related to [...] Read more.
This Special Issue invited researchers to contribute their original research work and review articles on “Symmetry and Fluid Mechanics” that either advances the state-of-the-art mathematical methods through theoretical or experimental studies or extends the bounds of existing methodologies with new contributions related to the symmetry, asymmetry, and lie symmetries of differential equations proposed as mathematical models in fluid mechanics, thereby addressing current challenges. In response to the call for papers, a total of 42 papers were submitted for possible publication. After comprehensive peer review, only 25 papers qualified for acceptance for final publication. The rest of the papers could not be accommodated. The submissions may have been technically correct but were not considered appropriate for the scope of this Special Issue. The authors are from geographically distributed countries such as the USA, Australia, China, Saudi Arabia, Iran, Pakistan, Malaysia, Abu Dhabi, UAE, South Africa, and Vietnam. This reflects the great impact of the proposed topic and the effective organization of the guest editorial team of this Special Issue. Full article
(This article belongs to the Special Issue Symmetry and Fluid Mechanics)
22 pages, 742 KB  
Article
Splitting Triglycerides with a Counter-Current Liquid–Liquid Spray Column: Modeling, Global Sensitivity Analysis, Parameter Estimation and Optimization
by Mark Nicholas Jones, Hector Forero-Hernandez, Alexandr Zubov, Bent Sarup and Gürkan Sin
Processes 2019, 7(12), 881; https://doi.org/10.3390/pr7120881 - 26 Nov 2019
Cited by 3 | Viewed by 10625
Abstract
In this work we present the model of a counter-current spray column in which a triglyceride (tripalmitic triglyceride) is hydrolyzed by water and leads to fatty acid (palmitic acid) and glycerol. A finite volume model (FVM) of the column was developed to describe [...] Read more.
In this work we present the model of a counter-current spray column in which a triglyceride (tripalmitic triglyceride) is hydrolyzed by water and leads to fatty acid (palmitic acid) and glycerol. A finite volume model (FVM) of the column was developed to describe the reactive extraction process with a two-phase system and validated with an analytical model from the literature with the given data set encompassing six experimental runs. Global, variance-based (Sobol) sensitivity analysis allowed assessment of the sensitivity of the sweet water glycerol content in respect to liquid density, overall mass-transfer coefficient, reaction rate coefficient and the equilibrium ratio to rank them accordingly. Furthermore, parameter estimation with a differential evolution (DE) algorithm was performed to obtain among others the mass transfer, backmixing and reaction rate coefficients. The model was used to formulate and solve a process design problem regarding economic and sustainable performance. Multi-criteria optimization was applied via DE to minimize total annual cost (TAC) and the Eco99 indicator by varying the steam inlet flow rate and distribution over the two steam inlets as the independent variables. The model and analysis was implemented in Fortran and Python where the Fortran model can also be embedded in a process simulator such as PRO/II or Aspen. Full article
(This article belongs to the Special Issue Advanced Methods in Process and Systems Engineering)
Show Figures

Figure 1

Back to TopTop