Sign in to use this feature.

Years

Between: -

Subjects

remove_circle_outline
remove_circle_outline
remove_circle_outline
remove_circle_outline
remove_circle_outline
remove_circle_outline
remove_circle_outline
remove_circle_outline
remove_circle_outline

Journals

remove_circle_outline
remove_circle_outline
remove_circle_outline
remove_circle_outline
remove_circle_outline
remove_circle_outline
remove_circle_outline
remove_circle_outline
remove_circle_outline
remove_circle_outline
remove_circle_outline
remove_circle_outline

Article Types

Countries / Regions

remove_circle_outline
remove_circle_outline
remove_circle_outline
remove_circle_outline
remove_circle_outline

Search Results (1,347)

Search Parameters:
Keywords = multi-level governance

Order results
Result details
Results per page
Select all
Export citation of selected articles as:
22 pages, 2486 KB  
Article
Operational Management of Multi-Vendor Wi Fi Networks in Smart Campus Environments
by Weerapatr Ta-Armart and Charuay Savithi
Technologies 2026, 14(4), 204; https://doi.org/10.3390/technologies14040204 (registering DOI) - 30 Mar 2026
Abstract
Digital transformation in higher education increasingly hinges on the robustness and governability of Information and Communication Technology (ICT) infrastructures, with campus Wi-Fi networks serving as the operational backbone of digital learning, research collaboration, and administrative services. In large universities, these networks typically evolve [...] Read more.
Digital transformation in higher education increasingly hinges on the robustness and governability of Information and Communication Technology (ICT) infrastructures, with campus Wi-Fi networks serving as the operational backbone of digital learning, research collaboration, and administrative services. In large universities, these networks typically evolve into heterogeneous, multi-vendor environments, introducing ongoing challenges in monitoring coherence, configuration governance, and cross-platform performance diagnosis. Despite the centrality of these issues, smart campus scholarship has paid limited attention to day-to-day operational management. This study examines the design and operational performance of a dual-platform Wi-Fi network management architecture implemented at Mahasarakham University, Thailand. The architecture strategically integrates SolarWinds and LibreNMS to combine centralized network-wide visibility with fine-grained, device-level diagnostics across a multi-vendor infrastructure. An engineering-oriented mixed-method approach was employed, drawing on production monitoring logs and semi-structured interviews with campus network engineers. Findings indicate that SolarWinds strengthens configuration oversight and campus-level situational awareness, whereas LibreNMS enhances detailed performance analytics and accelerates fault isolation. Their coordinated deployment improves operational stability, diagnostic clarity, and long-term maintainability of campus Wi-Fi systems. The study provides practical architectural guidance for managing heterogeneous ICT infrastructures in smart campus and enterprise-scale environments. Full article
(This article belongs to the Section Information and Communication Technologies)
36 pages, 813 KB  
Article
Digitalizing Urban Planning Governance: Empirical Evidence from Yerevan and a Multi-Layer Framework for Data-Driven City Management
by Khoren Mkhitaryan, Anna Sanamyan, Hasmik Hambardzumyan, Armenuhi Ordyan and Gor Harutyunyan
Urban Sci. 2026, 10(4), 183; https://doi.org/10.3390/urbansci10040183 - 29 Mar 2026
Abstract
The rapid digitalization of cities is reshaping urban planning practices; however, significant gaps persist between technological investments and institutional governance capacity, particularly in transition economies. This study investigates how digital tools can be systematically embedded within planning processes to improve decision-making quality, coordination, [...] Read more.
The rapid digitalization of cities is reshaping urban planning practices; however, significant gaps persist between technological investments and institutional governance capacity, particularly in transition economies. This study investigates how digital tools can be systematically embedded within planning processes to improve decision-making quality, coordination, and administrative efficiency. Drawing on urban governance theory and an empirical implementation study conducted in Yerevan, Armenia (population 1.1 million) between 2019 and 2023, the paper develops and operationalizes a multi-layer governance framework that aligns digital instruments—including geospatial information systems, performance dashboards, and decision-support platforms—with strategic, tactical, and operational levels of city management. The framework is evaluated through institutional analysis of municipal policy documents, planning databases, and semi-structured interviews with planning officials. The results reveal substantial governance barriers, including data fragmentation, organizational silos, and limited digital capacity. Framework-based implementation produced measurable improvements: planning decision cycles shortened by 43%, GIS utilization increased from 18% to 68% of eligible projects, inter-agency data sharing rose sixfold, and annual cost savings of approximately $1.2 million were achieved through reduced duplication and faster approvals. By combining conceptual design with empirical validation, the study advances digital urban governance research and offers a transferable, evidence-based model for implementing resilient and efficient data-driven planning systems in resource-constrained contexts. Full article
(This article belongs to the Special Issue Advances in Urban Planning and the Digitalization of City Management)
18 pages, 1305 KB  
Perspective
Reintegrating the Human in Health: A Triadic Blueprint for Whole-Person Care in the Age of AI
by Azizi A. Seixas and Debbie P. Chung
Int. J. Environ. Res. Public Health 2026, 23(4), 426; https://doi.org/10.3390/ijerph23040426 (registering DOI) - 29 Mar 2026
Abstract
Modern healthcare remains structurally and conceptually fragmented, with profound clinical and policy implications. At its root lies an ontological fracture: the prevailing biomedical model reduces patients to discrete biological systems (organs, biomarkers, and symptoms) detached from the psychological, social, and ecological contexts in [...] Read more.
Modern healthcare remains structurally and conceptually fragmented, with profound clinical and policy implications. At its root lies an ontological fracture: the prevailing biomedical model reduces patients to discrete biological systems (organs, biomarkers, and symptoms) detached from the psychological, social, and ecological contexts in which health and illness are experienced. This is compounded by epistemological fragmentation, where medical knowledge is compartmentalized into increasingly narrow specialties, limiting holistic understanding. These philosophical divisions manifest in downstream operational, informational, financial, and policy dysfunctions duplicative testing, misaligned incentives, disconnected care pathways, and population health failures. To address these multilevel fractures, we propose a unified architecture grounded in three interlocking components. First, the Precision and Personalized Population Health (P3H) framework offers a principle-based realignment toward care that is integrated, personalized, proactive, and population wide. P3H addresses the conceptual shortcomings of fragmented care by focusing on the full human trajectory across time, systems, and determinants. Second, General Purpose Technologies including artificial intelligence, biosensors, mobile diagnostics, and multimodal data systems enable the operationalization of whole-person care at scale, especially in low-resource settings. Third, the AI-WHOLE policy framework (Alignment, Integration, Workflow, Holism, Outcomes, Learning, and Equity) provides governance principles to guide ethical, equitable, and context-specific implementation. We argue that this triadic blueprint is particularly critical for Global South nations, where the lack of legacy infrastructure offers an opportunity for leapfrogging toward integrated, intelligent systems of care. Early models illustrate how policy-aligned, technology-enabled care rooted in whole-person principles can yield improvements in continuity, cost-efficiency, and chronic disease outcomes. This manuscript offers a systems-level strategy to overcome fragmentation and reimagine healthcare delivery, not only by refining clinical tools, but by redefining what it means to care for the human being in full. Full article
(This article belongs to the Special Issue Perspectives in Health Care Sciences)
Show Figures

Figure 1

32 pages, 1792 KB  
Article
A Hybrid Systems Framework for Electric Vehicle Adoption: Microfoundations, Networks, and Filippov Dynamics
by Pascal Stiefenhofer and Jing Qian
Complexities 2026, 2(2), 8; https://doi.org/10.3390/complexities2020008 - 29 Mar 2026
Abstract
Electric vehicle(EV) diffusion exhibits nonlinear, path-dependent dynamics shaped by interacting economic, technological, and social constraints. This paper develops a unified hybrid systems framework that captures these complexities by integrating microfounded household choice, capacity-constrained firm behavior, local network spillovers, and multi-level policy intervention within [...] Read more.
Electric vehicle(EV) diffusion exhibits nonlinear, path-dependent dynamics shaped by interacting economic, technological, and social constraints. This paper develops a unified hybrid systems framework that captures these complexities by integrating microfounded household choice, capacity-constrained firm behavior, local network spillovers, and multi-level policy intervention within a Filippov differential-inclusion structure. Households face heterogeneous preferences, liquidity limits, and network-mediated moral and informational influences; firms invest irreversibly under learning-by-doing and profitability thresholds; and national and local governments implement distinct financial and infrastructure policies subject to budget constraints. The resulting aggregate adoption dynamics feature endogenous switching, sliding modes at economic bottlenecks, network-amplified tipping, and hysteresis arising from irreversible investment. We establish conditions for the existence of Filippov solutions, derive network-dependent tipping thresholds, characterize sliding regimes at capacity and liquidity constraints, and show how network structure magnifies hysteresis and shapes the effectiveness of local versus national policy. Optimal-control analysis further demonstrates that national subsidies follow bang–bang patterns and that network-targeted local interventions minimize the fiscal cost of achieving regional tipping. Beyond theoretical characterization, the framework is structurally calibrated to match the order-of-magnitude effects reported in leading empirical and simulation-based studies, including network diffusion models, agent-based simulations, bass-type specifications, and fuel-price shock analyses. The hybrid formulation reproduces short-run percentage-point subsidy effects, long-run forecast dispersion under alternative network assumptions, and policy-induced equilibrium shifts observed in the applied literature while providing a unified geometric interpretation of these heterogeneous results through explicit basin boundaries and regime switching. The framework provides a complex systems perspective on sustainable mobility transitions and clarifies why identical national policies can generate asynchronous regional outcomes. These results offer theoretical foundations for designing coordinated, cost-effective, and network-aware EV transition strategies. Full article
Show Figures

Figure A1

26 pages, 5644 KB  
Article
Interpretable Performance Prediction for Wet Scrubbers Using Multi-Gene Genetic Programming: An Application-Oriented Study
by Linling Zhu, Ruhua Zhu, Jun Zhou, Huiqing Luo, Xiaochuan Li and Tao Wei
Mathematics 2026, 14(7), 1142; https://doi.org/10.3390/math14071142 - 29 Mar 2026
Abstract
The removal efficiency of wet scrubbers is governed by complex nonlinear interactions among operating parameters such as liquid level, airflow velocity, and dust concentration, making accurate real-time prediction challenging, which in turn leads to operational instability, increased energy consumption, and excessive emissions. To [...] Read more.
The removal efficiency of wet scrubbers is governed by complex nonlinear interactions among operating parameters such as liquid level, airflow velocity, and dust concentration, making accurate real-time prediction challenging, which in turn leads to operational instability, increased energy consumption, and excessive emissions. To address this bottleneck, we first introduce multi-gene genetic programming (MGGP) to develop interpretable models quantifying multi-parameter coupling and predicting removal efficiency for PM1, PM2.5, PM10, and TSP. Key input variables, including liquid level height, inlet airflow velocity, system pressure, and inlet dust concentration, were identified via correlation analysis. Explicit mathematical models were derived. Global sensitivity analysis using the elementary effect test (EET) identified inlet airflow velocity as most influential. Uncertainty quantification via quantile regression (QR) confirmed the model’s reliability with narrow prediction intervals and high coverage probabilities. MGGP offers a favorable balance of accuracy, generalization, and interpretability compared to extreme gradient boosting (XGBoost) and multiple nonlinear regression (MNR). Its explicit form quantifies parameter interactions, enabling efficient on-site monitoring with low computational cost. This study provides an interpretable prediction tool for intelligent wet scrubber operation, supporting cleaner production and refined control in complex industrial processes. Full article
Show Figures

Figure 1

43 pages, 41548 KB  
Article
Spatiotemporal Evolution and Dynamic Driving Mechanisms of Synergistic Rural Revitalization in Topographically Complex Regions: A Case Study of the Qinba Mountains, China
by Haozhe Yu, Jie Wu, Ning Cao, Lijuan Li, Lei Shi and Zhehao Su
Sustainability 2026, 18(7), 3307; https://doi.org/10.3390/su18073307 - 28 Mar 2026
Abstract
In ecologically fragile and geomorphologically complex mountainous regions, ensuring a smooth transition from poverty alleviation to multidimensional sustainable rural development remains a key issue in regional governance. Focusing on the Qinba Mountains, a typical former contiguous poverty-stricken region in China covering 18 prefecture-level [...] Read more.
In ecologically fragile and geomorphologically complex mountainous regions, ensuring a smooth transition from poverty alleviation to multidimensional sustainable rural development remains a key issue in regional governance. Focusing on the Qinba Mountains, a typical former contiguous poverty-stricken region in China covering 18 prefecture-level cities in six provinces, this study uses 2009–2023 prefecture-level panel data to examine the spatiotemporal evolution and driving mechanisms of coordinated rural revitalization. An integrated framework of “multi-dimensional evaluation–spatiotemporal tracking–attribution diagnosis” is developed by combining the improved AHP–entropy-weight TOPSIS method, the Coupling Coordination Degree (CCD) model, spatial Markov chains, spatial autocorrelation, and the Geodetector. The results show pronounced subsystem asynchrony. Livelihood and Well-being Security (U5) improves steadily, while Level of Industrial Development (U1), Civic Virtues and Cultural Vibrancy (U3), and Rural Governance (U4) also rise but with clear spatial differentiation; by contrast, Quality of Human Settlements (U2) fluctuates in stages under ecological fragility. Overall, the coupling coordination level advances from the Verge of Imbalance to Intermediate Coordination, yet the regional pattern remains uneven, with eastern basin cities leading and western deep mountainous cities lagging. State transitions display both policy responsiveness and path dependence: the probability of retaining the original state ranges from 50.0% to 90.5%; low-level neighborhoods reduce the upward transition probability to 25%, whereas medium-to-high-level neighborhoods raise the upward transition probability of low-level cities from 36.36% to 53.33%. Spatial dependence is also evident, with Global Moran’s I increasing, with fluctuations, from 0.331 in 2009 to 0.536 in 2023; high-value clusters extend along the Guanzhong Plain–Han River Valley corridor, while low-value clusters remain relatively locked in mountainous border areas. Driving mechanisms show clear stage-wise succession. At the single-factor level, the explanatory power of Road Network Density (F6) declines from 0.639 to 0.287, whereas Terrain Relief Amplitude (F1) becomes the dominant background constraint in the later stage (q = 0.772). Multi-factor interactions are generally enhanced. In particular, the traditional infrastructure-led pathway weakens markedly, with F1 ∩ F6 = 0.055 in 2023, while the interaction between terrain and consumer market vitality becomes dominant, with F1 ∩ F7 = 0.987 in 2023. On this basis, three major pathways are identified: government fiscal intervention and transportation accessibility improvement, capital agglomeration and market demand stimulation, and human–earth system adaptation and ecological value realization. These findings provide quantitative evidence for breaking spatial lock-in and improving cross-regional resource allocation in ecologically constrained mountainous regions. Full article
(This article belongs to the Section Sustainable Urban and Rural Development)
Show Figures

Figure 1

18 pages, 1994 KB  
Article
Urban Experimentation as a Driver of Climate Adaptation: A European Review of Climate Shelter in National Adaptation Policies and Practices
by Ombretta Caldarice, Francesca Abastante, Beatrice Mecca, Zeynep Ozeren, Bruna Pincegher and Evelin Priscila Raico Torrel
Sustainability 2026, 18(7), 3300; https://doi.org/10.3390/su18073300 - 28 Mar 2026
Viewed by 70
Abstract
This paper investigates how climate shelter initiatives implemented in European cities interact with National Adaptation Strategies (NAS) and National Adaptation Plans (NAP), assessing the degree of vertical integration between local practices and national climate adaptation frameworks. As urban heat increasingly threatens public health [...] Read more.
This paper investigates how climate shelter initiatives implemented in European cities interact with National Adaptation Strategies (NAS) and National Adaptation Plans (NAP), assessing the degree of vertical integration between local practices and national climate adaptation frameworks. As urban heat increasingly threatens public health and exacerbates socio-spatial inequalities, climate shelters, conceived as networks of safe, accessible public spaces providing thermal comfort and social support, have emerged as innovative adaptation tools; however, their recognition within national policy architectures remains uneven across the EU. This study adopts a qualitative–comparative design structured in three phases: (i) a systematic review of NAS and NAP in the 27 EU Member States through keyword screening and classification of references as explicit, implicit, or absent; (ii) a mapping of climate shelter initiatives across 244 NUTS-2 capital cities; and (iii) an integrative cross-analysis of national frameworks and local implementation patterns. According to our results, only 4 Member States explicitly refer to climate shelters, 11 include implicit references, and 12 show no recognition, while 88 cities implement 97 initiatives, predominantly based on Nature-based Solutions and schoolyard transformations; 5 recurring governance configurations reveal bottom-up, top-down, and hybrid dynamics, demonstrating that local experimentation can anticipate, complement, and potentially reshape national adaptation policies. Full article
(This article belongs to the Section Sustainable Urban and Rural Development)
Show Figures

Figure 1

25 pages, 2296 KB  
Article
Land-Use and Flood Risk Assessment Under Uncertainty: A Monte Carlo Approach in Hunan Province, China
by Qiong Li, Xinying Huang, Fei Pan, Qiang Hu and Xinran Xu
Land 2026, 15(4), 541; https://doi.org/10.3390/land15040541 - 26 Mar 2026
Viewed by 129
Abstract
Climate change and rapid urbanization are intensifying flood risks in China, particularly in regions with complex terrain and dense populations. Traditional risk assessment methods often lack the flexibility to handle uncertainties in multi-dimensional risk systems. This study proposes a probabilistic flood risk assessment [...] Read more.
Climate change and rapid urbanization are intensifying flood risks in China, particularly in regions with complex terrain and dense populations. Traditional risk assessment methods often lack the flexibility to handle uncertainties in multi-dimensional risk systems. This study proposes a probabilistic flood risk assessment framework integrating Monte Carlo simulation with a composite indicator system from the perspective of disaster system theory. Taking Hunan Province as a case study, we constructed a hierarchical indicator system encompassing environmental susceptibility, hazard intensity, exposure vulnerability, and mitigation capacity. The analytic hierarchy process (AHP) and coefficient of variation (CV) methods were combined for indicator weighting, and Monte Carlo simulation was employed to quantify uncertainties and classify risk levels. Results reveal significant spatial heterogeneity in flood risk across the province, with high-risk areas concentrated in regions exhibiting intense rainfall, dense river networks, and insufficient mitigation infrastructure. The study provides a transferable, data-driven approach for spatially explicit flood risk zoning, offering evidence-based insights for land-use planning, resilient infrastructure development, and sustainable flood governance. This research contributes to the integration of probabilistic modeling into land system science, supporting disaster risk reduction and climate adaptation strategies aligned with SDG 11. This study also provides policy-relevant insights for regional flood governance by supporting risk-informed land-use planning, targeted infrastructure investment, and adaptive flood management strategies, thereby contributing to more resilient and sustainable land system development under increasing climate uncertainty. Full article
(This article belongs to the Section Land Systems and Global Change)
Show Figures

Figure 1

26 pages, 12944 KB  
Article
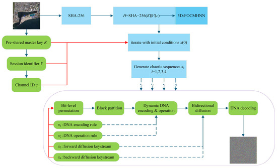
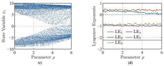
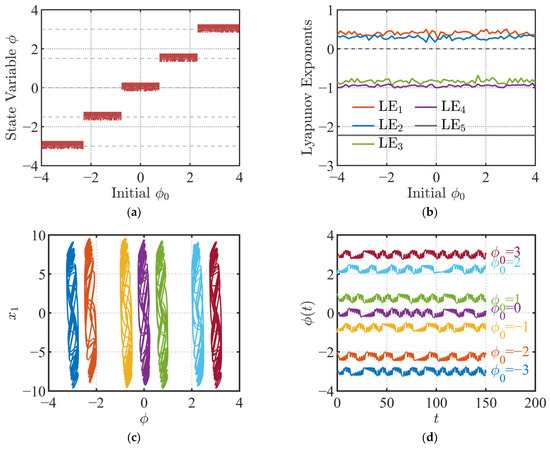
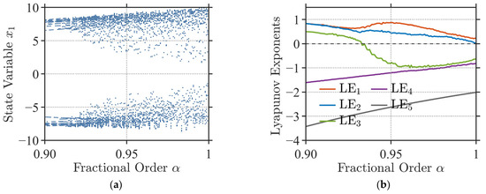
A 5D Fractional-Order Memristive Neural Network for Satellite Image Encryption Using Dynamic DNA Encoding and Bidirectional Diffusion
by Jinghui Ding, Yanping Zhu, Weiquan Yin, Dazhe He, Fayu Wan and Gangyi Tu
Fractal Fract. 2026, 10(4), 216; https://doi.org/10.3390/fractalfract10040216 - 26 Mar 2026
Viewed by 214
Abstract
To address the high redundancy and weak security inherent in satellite image transmission, this paper proposes an image encryption algorithm founded on a novel five-dimensional fractional-order cosine memristive Hopfield neural network (5D-FOCMHNN). The constructed hyperchaotic system exhibits long-term memory and multistability, capable of [...] Read more.
To address the high redundancy and weak security inherent in satellite image transmission, this paper proposes an image encryption algorithm founded on a novel five-dimensional fractional-order cosine memristive Hopfield neural network (5D-FOCMHNN). The constructed hyperchaotic system exhibits long-term memory and multistability, capable of generating reconfigurable multi-scroll attractors. A multivariate bit-level scrambling strategy effectively disrupts pixel correlations using neuron state sequences. Furthermore, the system’s chaotic output dynamically governs DNA encoding rules, while a bidirectional diffusion mechanism ensures strong randomization and resistance to differential attacks. Comprehensive experiments demonstrate that the 5D-FOCMHNN-based scheme provides a key space of 2256, has an information entropy approaching the ideal value of 8, and exhibits robust resilience against cropping, noise, and statistical cryptanalysis, thereby providing a highly secure solution for satellite image transmission. Full article
Show Figures

Figure 1

30 pages, 935 KB  
Article
Intelligent Manufacturing Demonstration Projects Driving Corporate ESG Ratings: An Analysis Based on Innovation Efficiency and Cost Management
by Guangxing Hu and Bin Li
Systems 2026, 14(4), 347; https://doi.org/10.3390/systems14040347 - 25 Mar 2026
Viewed by 260
Abstract
This study examines whether China’s Intelligent Manufacturing Demonstration Projects (IMDPs, 2015–2018) can improve firms’ environmental, social, and governance (ESG) performance and thereby strengthen the quality of green transformation in manufacturing. Exploiting the staggered rollout of IMDPs as a quasi-natural experiment, we combine propensity [...] Read more.
This study examines whether China’s Intelligent Manufacturing Demonstration Projects (IMDPs, 2015–2018) can improve firms’ environmental, social, and governance (ESG) performance and thereby strengthen the quality of green transformation in manufacturing. Exploiting the staggered rollout of IMDPs as a quasi-natural experiment, we combine propensity score matching with a multi-period difference-in-differences design using panel data on Chinese listed manufacturing firms from 2009 to 2022. We find that IMDP participation increases ESG ratings by approximately 0.14 rating levels relative to comparable non-participating firms. Mechanism analyses suggest that the effect operates through higher innovation efficiency and improved cost management, consistent with a channel of capability upgrading and resource reallocation toward sustainability-related activities. The effect is stronger for firms under intense competitive pressure, at the growth stage, and in capital-scarce industries, indicating that industrial policy can be particularly valuable where market frictions constrain green investment. Importantly, we go beyond ESG scores by constructing measures of greenwashing and ESG rating uncertainty, and show that IMDPs reduce greenwashing and lower ESG uncertainty. These results imply that intelligent manufacturing policies can generate economically meaningful benefits by improving firms’ sustainability performance and the credibility of ESG information, which are central to capital allocation and the effectiveness of green governance. Full article
(This article belongs to the Section Systems Practice in Social Science)
Show Figures

Figure 1

29 pages, 7741 KB  
Article
How Do Multi-Actor Environmental Sentiment Tendencies Affect the Green Transformation of Chinese Energy Companies? The Moderating Role of Economic and Climate Policy Uncertainty
by Jiaqi Wang, Chengping Wang, Tingqiang Chen and Maodi Tong
Sustainability 2026, 18(7), 3190; https://doi.org/10.3390/su18073190 - 24 Mar 2026
Viewed by 168
Abstract
Existing research on green transformation predominantly emphasizes “hard constraints” such as carbon taxes and environmental regulations, while neglecting “soft constraints” shaped by environmental sentiment expressions from key actors such as the public, financial institutions, media, and government. In particular, the collective influence of [...] Read more.
Existing research on green transformation predominantly emphasizes “hard constraints” such as carbon taxes and environmental regulations, while neglecting “soft constraints” shaped by environmental sentiment expressions from key actors such as the public, financial institutions, media, and government. In particular, the collective influence of these multi-actor environmental sentiments remains insufficiently explored. This study fills that gap by constructing a collaborative governance framework using multi-source heterogeneous data from China spanning 2013–2023, including 330 provincial government work reports, 1862 bank annual reports, 2472 newspaper articles, and 68,519 Weibo posts, matched to 4708 firm-year observations of Chinese A-share energy companies. We quantify environmental sentiment tendencies through natural language processing, calculating the index as (negative word frequency − positive word frequency)/total word frequency at the province-year level, thus higher index value indicates more negative sentiment tendency, while green transformation is proxied by ln(green patent applications + 1). The results reveal the following: (1) More negative environmental sentiment tendencies from financial institutions, media, public, and government significantly promote green transformation in energy enterprises, with stronger effects observed from financial institutions and government. (2) Economic and climate policy uncertainty selectively weaken the impact of financial institutions’ sentiment, while the moderating effects for other actors are statistically insignificant. (3) The effect of multi-actor environmental sentiment is more pronounced for firms located in eastern China, operating under high competition or stricter environmental regulations. This study provides a novel, quantified approach to assessing multi-actor environmental sentiment tendencies, affirms the effectiveness of informal governance, and highlights the importance of stable policy in guiding corporate green transformation in emerging economies. Full article
(This article belongs to the Section Economic and Business Aspects of Sustainability)
Show Figures

Figure 1

32 pages, 3916 KB  
Article
An Automated Detection Method for Motor Vehicles Encroaching on Non-Motorized Lanes Based on Unmanned Aerial Vehicle Imagery and Civilized Behavior Monitoring
by Zichan Tan, Yin Tan, Peijing Lin, Wenjie Su, Tian He and Weishen Wu
Sensors 2026, 26(7), 2027; https://doi.org/10.3390/s26072027 - 24 Mar 2026
Viewed by 123
Abstract
Motor vehicle encroachment into non-motorized lanes is a common but hard-to-verify violation in urban intersections, especially when monitored from unmanned aerial vehicles (UAVs) or high-mounted overhead views. Existing rule-based solutions built on horizontal bounding boxes and center-point/line-crossing criteria are sensitive to perspective distortion, [...] Read more.
Motor vehicle encroachment into non-motorized lanes is a common but hard-to-verify violation in urban intersections, especially when monitored from unmanned aerial vehicles (UAVs) or high-mounted overhead views. Existing rule-based solutions built on horizontal bounding boxes and center-point/line-crossing criteria are sensitive to perspective distortion, occlusion, and frame-to-frame jitter, resulting in unstable decisions and low evidential value. This paper presents a cascaded UAV-view system that closes the loop from perception to evidence output through detection–segmentation–recognition–decision. First, we adopt a two-stage detection cascade: a lightweight vehicle detector localizes vehicles using axis-aligned bounding boxes, and a dedicated YOLOv5n-based oriented bounding box (OBB) license plate detector, constructed via architecture grafting and weight transfer, is then applied within each vehicle region of interest (ROI) to localize rotated license plates under large pose variation and small-target conditions. Second, a U-Net lane region segmentation module provides pixel-level spatial constraints to define an enforceable lane occupancy region. Third, a perspective rectification step is integrated with the PP-OCRv4 optical character recognition (OCR) framework to improve license plate recognition reliability for tilted plates. Finally, an area ratio criterion and an N-frame temporal counter are used to suppress transient misdetections and stabilize alarms. On a representative 100-sample controlled encroachment benchmark, the proposed system improves detection accuracy from 67.0% to 92.0% and reduces the false positive rate from 32.35% to 5.88% compared with a baseline horizontal bounding box (HBB)-based rule. The system outputs both violation alarms and license plate evidence, supporting practical deployment for multi-view traffic governance. Full article
(This article belongs to the Section Vehicular Sensing)
Show Figures

Figure 1

22 pages, 6206 KB  
Article
Parameter Estimation and Interval Assessment of the Collapse Capacity of Viscous-Damped Structures Under Degradation and Partial Failure Scenarios
by Xi Zhao and Wen Pan
Buildings 2026, 16(6), 1271; https://doi.org/10.3390/buildings16061271 - 23 Mar 2026
Viewed by 187
Abstract
In-service deviations of viscous dampers can reduce the collapse safety margin of viscous-damped structures under strong earthquakes. This study examines two representative mechanisms: global degradation of the damper group and local failure of a subset of dampers. Incremental dynamic analyses are conducted for [...] Read more.
In-service deviations of viscous dampers can reduce the collapse safety margin of viscous-damped structures under strong earthquakes. This study examines two representative mechanisms: global degradation of the damper group and local failure of a subset of dampers. Incremental dynamic analyses are conducted for five damper-state scenarios using the 22 far-field ground-motion records recommended by ATC-63. To support reliability-oriented, uncertainty-aware collapse-capacity comparison with limited records, three complementary probabilistic inference frameworks are developed: an event-based fragility model using binary collapse indicators, a drift-margin model leveraging continuous deformation information from non-collapse responses, and a fusion model that combines both sources via a weighted composite likelihood with fusion strength governed by the weight w. For each scenario, the capacity scale parameter μm is reported as IM50,m, and record-level bootstrap resampling is used to construct interval estimates. Multi-scenario effects are further summarized by the ensemble mean reduction b and inter-path dispersion σdamper, offering compact measures of systematic shift and pathway-to-pathway variability. Results indicate a dominant systematic downward shift in median collapse capacity, with IM50,m reduced by approximately 2.4–2.9% overall, whereas differences among degradation pathways are secondary and bounded by the intervals. Scenario rankings remain consistent across the three frameworks; fusion outputs show weak sensitivity to w and yield tighter interval constraints on σdamper than the event-only baseline. The resulting interval-based parameters enable risk- and reliability-informed interpretation of degradation effects and provide a consistent basis for uncertainty quantification in probabilistic performance comparisons across scenarios. Full article
(This article belongs to the Special Issue Reliability and Risk Assessment of Building Structures)
Show Figures

Figure 1

26 pages, 1097 KB  
Article
Building Ethical Foundations for Economic Models: Ecological Restoration and Conservation in the Ecozoic
by Lizah Makombore, Joshua Farley, Julia Danielsen and Anna Claire Marchessault
Conservation 2026, 6(1), 37; https://doi.org/10.3390/conservation6010037 - 23 Mar 2026
Viewed by 207
Abstract
Scientists estimate that humanity has exceeded seven of nine planetary boundaries, threatening the entire planet with potentially catastrophic consequences for all species. We therefore have a moral imperative for future generations and other species to return to the safe side of those boundaries. [...] Read more.
Scientists estimate that humanity has exceeded seven of nine planetary boundaries, threatening the entire planet with potentially catastrophic consequences for all species. We therefore have a moral imperative for future generations and other species to return to the safe side of those boundaries. Threats to these boundaries take the form of social dilemmas, defined as situations in which individuals acting in their own interest undermine collective welfare, which can only be solved through cooperation. Western economic theory has conditioned us to believe that humans are inherently selfish. This assumption has led economists, scientists, and policymakers to increasingly pursue market-based solutions to conservation approaches, which have yielded limited success. In contrast, this article argues that humans are inherently cooperative. We employ Multi-Level Selection Theory (MLS) to depict the evolutionary advantages of cooperation and to define morality as putting the group ahead of the individual. We examine two examples of MLS in action: Territories of Life (TOL) and Ubuntu. The paper provides guidance for pathways of Ecozoic governance, planning, and restoration. Applied in a Western context in Burlington, Vermont, the philosophies hold true, showing that social norms and group identity already shape ecological behavior in Burlington residents’ lawn care practices. Ultimately, providing an alternative economic model built on these ethical foundations, we introduce the Neighbor’s Goodwill that reframes social dilemmas in a game theory context. The Neighbor’s Goodwill demonstrates how loyalty, reciprocity, and social belonging alter payoff structures. This research is founded on the fact that humans are inherently social and tend to make decisions in the interest of the whole group over their own. Full article
(This article belongs to the Special Issue Ethical Issues in Conservation)
Show Figures

Figure 1

28 pages, 4254 KB  
Article
Driving Green Technology Innovation via National Innovative City Policy—Evidence from a Combined DID, LSTM, and GRU Counterfactual Framework
by Yangxin Wang, Minghui Zhang, Yuxuan Zhang, Guangquan Cheng and Qiuyin Lou
Sustainability 2026, 18(6), 3129; https://doi.org/10.3390/su18063129 - 23 Mar 2026
Viewed by 160
Abstract
In the context of global climate governance, green technology innovation is essential for urban sustainable development. To address the limitations of traditional linear econometric models, this study investigates the impact of the National Innovative City Pilot Policy on green innovation using a novel [...] Read more.
In the context of global climate governance, green technology innovation is essential for urban sustainable development. To address the limitations of traditional linear econometric models, this study investigates the impact of the National Innovative City Pilot Policy on green innovation using a novel framework combining a Multi-period Difference-in-Differences model and Deep Learning Counterfactual Prediction. Analyzing panel data from 100 eastern Chinese cities between 2004 and 2023, the research reveals that the policy significantly and robustly enhances innovation levels in pilot cities. Furthermore, the policy operates through a dual-track synergistic governance mechanism, successfully combining government scientific and technological support with environmental regulation. Additionally, heterogeneity analysis reveals that the policy exerts a more pronounced driving effect on green innovation in small-to-medium-sized cities and regions with lower industrial upgrading levels. Finally, deep learning counterfactual trajectories demonstrate that the policy dividend exhibits a non-linear, long-term cumulative effect that expands over time—a dynamic that traditional linear models often underestimate. Ultimately, this study provides solid empirical evidence that a combined governance system of incentives and constraints effectively promotes innovation-driven, sustainable urban transitions. Full article
Show Figures

Figure 1

Back to TopTop