Parameter Estimation and Interval Assessment of the Collapse Capacity of Viscous-Damped Structures Under Degradation and Partial Failure Scenarios
Abstract
1. Introduction
2. Method
2.1. Scenario Definition and Analysis Setup
- (a)
- Prototype structure and the five damper-state scenarios considered in this study.
- (b)
- Representative ATC-63 far-field records (4 of 22 shown) used as common input motions for nonlinear time-history analyses.
- (c)
- Collapse event channel model based on binary collapse outcomes from IDA.
- (d)
- Drift-margin channel model based on illustrative IDA responses and the normalized, log-transformed drift margin derived from non-collapse responses.
- (e)
- Dual-channel fusion model based on weighted composite likelihood, followed by bootstrap interval estimation and derivation of the summary metrics.
2.2. The Collapse Event Channel Model, the Drift-Margin Channel Model, and the Dual-Channel Fusion Model
2.2.1. The Collapse Event Channel Model
2.2.2. The Drift-Margin Channel Model
2.2.3. The Dual-Channel Fusion Model and Weight Setting
2.2.4. Metric Calculation and Bootstrap Intervals
3. Results
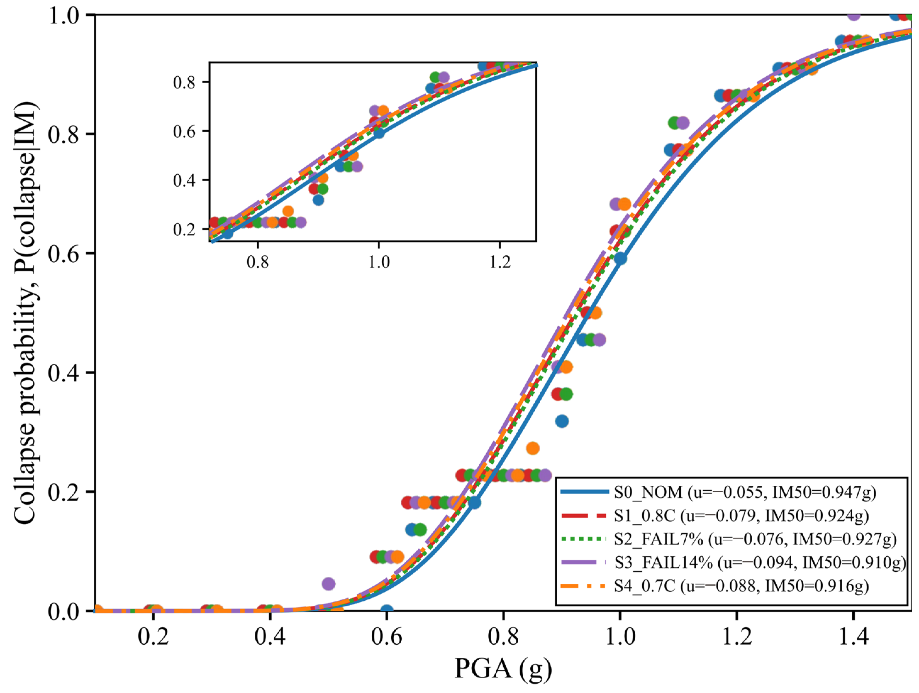
3.1. Collapse Fragility Fitting and Back-Calculation of the Median Collapse Intensity
3.2. Drift-Margin Modeling and Near-Collapse Identifiability
3.3. Scale Calibration and Composite-Likelihood Fusion
3.4. Bootstrap Intervals and Ranking Robustness
4. Discussion
4.1. Scope of the Study and Key Findings
4.2. Constraint Differences Between Collapse Decisions and Continuous Deformation Information and Parameter Identifiability
4.3. Linkage to Prior Studies and Methodological Advancements
4.4. Practical Implications and Extensions of the Parameterized Results
5. Conclusions
- (1)
- This study establishes five representative damper-state scenarios, including a baseline case, global degradation cases, and local failure cases, and conducts cross-scenario collapse-capacity assessments under a unified IDA protocol. This setup enables direct comparison of collapse capacity across scenarios on a consistent intensity scale and ensures the comparability of the results.
- (2)
- This study develops three complementary frameworks—the collapse event channel model, the drift-margin channel model, and the dual-channel fusion model—which are based on binary collapse outcomes, continuous deformation information from non-collapse records, and their joint constraints, respectively. These frameworks are used to estimate the scenario-specific capacity scale parameter μm and to report interval results, thereby explicitly accounting for the uncertainty induced by the limited sample size.
- (3)
- Under all three frameworks, the relative ranking and overall ordering of IM50,m for each scenario remain consistent. Rank uncertainty is mainly concentrated in adjacent scenarios with similar capacities, manifesting as natural overlap in resampling, with no overall shift in ranking observed.
- (4)
- The median shift δm is defined as μm − μ0 with respect to the baseline scenario, and the multi-scenario effects are summarized using b = mean(δm) and σdamper = sd(δm), with interval estimates provided. The results show that the main impact of performance deviations on collapse capacity is a systematic downward shift in the median capacity, with the median collapse intensity reduced by approximately 2.4% to 2.9%. The differences between degradation pathways are of secondary magnitude and can be bounded by the interval estimates. The dual-channel fusion model maintains stability in key outputs under varying weight w. Therefore, this study provides parameterized collapse capacity results that can be directly recalculated, which can be used for updating collapse fragility under degradation conditions, as well as for unified parameter input and uncertainty expression in collapse-related risk and reliability quantification.
Author Contributions
Funding
Data Availability Statement
Conflicts of Interest
Abbreviations
| IDA | Incremental Dynamic Analysis |
References
- Zhou, Y.; Sebaq, M.S.; Xiao, Y. Energy dissipation demand and distribution for multi-story buildings with fluid viscous dampers. Eng. Struct. 2022, 253, 113813. [Google Scholar] [CrossRef]
- Pollini, N. Fail-safe optimization of viscous dampers for seismic retrofitting. Earthq. Eng. Struct. Dyn. 2020, 49, 1599–1618. [Google Scholar] [CrossRef]
- Makris, N.; Constantinou, M.C. Fractional-derivative Maxwell model for viscous dampers. J. Struct. Eng. 1991, 117, 2708–2724. [Google Scholar] [CrossRef]
- Makris, N.; Constantinou, M. Spring-viscous damper systems for combined seismic and vibration isolation. Earthq. Eng. Struct. Dyn. 1992, 21, 649–664. [Google Scholar] [CrossRef]
- Lee, D.; Taylor, D.P. Viscous damper development and future trends. Struct. Des. Tall Build. 2001, 10, 311–320. [Google Scholar] [CrossRef]
- Makris, N.; Zhang, J. Seismic response analysis of a highway overcrossing equipped with elastomeric bearings and fluid dampers. J. Struct. Eng. 2004, 130, 830–845. [Google Scholar] [CrossRef]
- Priestley, M.; Grant, D. Viscous damping in seismic design and analysis. J. Earthq. Eng. 2005, 9, 229–255. [Google Scholar] [CrossRef]
- Kalfas, K.N.; Makris, N.; El Shamy, U. Assessment of the effect of design parameters of pressurized sand dampers from component testing. J. Eng. Mech. 2023, 149, 04023072. [Google Scholar] [CrossRef]
- Kalfas, K.N.; Vaiana, N.; Makris, N. A Rate-Independent phenomenological model for the characterization of pressurized sand dampers. J. Eng. Mech. 2025, 151, 04025007. [Google Scholar] [CrossRef]
- Scozzese, F.; Gioiella, L.; Dall’Asta, A.; Ragni, L.; Tubaldi, E. Influence of viscous dampers ultimate capacity on the seismic reliability of building structures. Struct. Saf. 2021, 91, 102096. [Google Scholar] [CrossRef]
- Kazemi, F.; Mohebi, B.; Jankowski, R. Predicting the seismic collapse capacity of adjacent SMRFs retrofitted with fluid viscous dampers in pounding condition. Mech. Syst. Signal Process. 2021, 161, 107939. [Google Scholar] [CrossRef]
- Cucuzza, R.; Domaneschi, M.; Greco, R.; Marano, G.C. Numerical models comparison for fluid-viscous dampers: Performance investigations through genetic algorithm. Comput. Struct. 2023, 288, 107122. [Google Scholar] [CrossRef]
- Hu, S.; Hao, H.; Meng, D.; Yang, M. Theoretical and numerical study of the thermo-mechanical coupling effect on the fluid viscous damper. J. Sound Vib. 2025, 597, 118846. [Google Scholar] [CrossRef]
- Lak, H.; Zahrai, S.M.; Mirhosseini, S.M.; Zeighami, E. Application of computational fluid dynamics in design of viscous dampers-CFD modeling and full-scale dynamic testing. Earthq. Eng. Eng. Vib. 2023, 22, 1065–1080. [Google Scholar] [CrossRef]
- Hu, S.; Yang, M.; Meng, D.; Hu, R. Damping performance of the degraded fluid viscous damper due to oil leakage. Structures 2023, 48, 1609–1619. [Google Scholar] [CrossRef]
- Iervolino, I. Estimation uncertainty for some common seismic fragility curve fitting methods. Soil Dyn. Earthq. Eng. 2022, 152, 107068. [Google Scholar] [CrossRef]
- Hariri-Ardebili, M.A.; Sattar, S. Uncertainty and bias in generic ground motion sets used for PBEE. Structures 2023, 57, 105088. [Google Scholar] [CrossRef]
- Bodenmann, L.; Baker, J.W.; Stojadinović, B. Accounting for ground-motion uncertainty in empirical seismic fragility modeling. Earthq. Spectra 2024, 40, 2456–2474. [Google Scholar] [CrossRef]
- Vamvatsikos, D.; Cornell, C.A. Incremental dynamic analysis. Earthq. Eng. Struct. Dyn. 2002, 31, 491–514. [Google Scholar] [CrossRef]
- Shinozuka, M.; Feng, M.Q.; Lee, J.; Naganuma, T. Statistical analysis of fragility curves. J. Eng. Mech. 2000, 126, 1224–1231. [Google Scholar] [CrossRef]
- Grigoriu, M.; Radu, A. Are seismic fragility curves fragile? Probabilistic Eng. Mech. 2021, 63, 103115. [Google Scholar] [CrossRef]
- Šipčić, N.; de Quevedo Iñarritu, P.G.; Kohrangi, M.; Vamvatsikos, D.; Bazzurro, P. Practical approach to Hazard-Consistent fragility curve estimates using Bayesian updating. Nucl. Eng. Des. 2025, 437, 114029. [Google Scholar] [CrossRef]
- Crowley, H.; Polidoro, B.; Pinho, R.; Van Elk, J. Framework for developing fragility and consequence models for local personal risk. Earthq. Spectra 2017, 33, 1325–1345. [Google Scholar] [CrossRef]
- Silva, V.; Akkar, S.; Baker, J.; Bazzurro, P.; Castro, J.M.; Crowley, H.; Dolsek, M.; Galasso, C.; Lagomarsino, S.; Monteiro, R. Current challenges and future trends in analytical fragility and vulnerability modeling. Earthq. Spectra 2019, 35, 1927–1952. [Google Scholar] [CrossRef]
- Martins, L.; Silva, V. Development of a fragility and vulnerability model for global seismic risk analyses. Bull. Earthq. Eng. 2021, 19, 6719–6745. [Google Scholar] [CrossRef]
- Applied Technology Council. Quantification of Building Seismic Performance Factors (ATC-63 Project Report); Applied Technology Council: Redwood City, CA, USA, 2009. [Google Scholar]
- Aquib, T.A.; Sivasubramonian, J.; Mai, P.M. Analysis of ground motion intensity measures and selection techniques for estimating building response. Appl. Sci. 2022, 12, 12089. [Google Scholar] [CrossRef]
- Liu, H.; Yuan, F.; Zhang, Z.; Zhou, M. Systematic Selection of Ground Motion Intensity Measures Satisfying the Probabilistic Seismic Demand Analysis. Buildings 2025, 15, 4273. [Google Scholar] [CrossRef]
- CECS 392-2014; Code for Anti-Collapse Design of Building Structures. China Planning Press: Beijing, China, 2014.
- Baraschino, R.; Baltzopoulos, G.; Iervolino, I. R2R-EU: Software for fragility fitting and evaluation of estimation uncertainty in seismic risk analysis. Soil Dyn. Earthq. Eng. 2020, 132, 106093. [Google Scholar] [CrossRef]
- Qiu, W.; Wen, H.; Gong, C.; Zhang, Z.; Li, W.; Li, S. Seismic Fragility and Loss Assessment of a Multi-Story Steel Frame with Viscous Damper in a Corrosion Environment. Buildings 2025, 15, 2515. [Google Scholar] [CrossRef]
- Dong, S.; Pan, W.; Ye, L.; Wang, J. Design of displacement-based viscous damper damping structures. Sci. Rep. 2025, 15, 11742. [Google Scholar] [CrossRef] [PubMed]
- De Domenico, D.; Hajirasouliha, I. Multi-level performance-based design optimisation of steel frames with nonlinear viscous dampers. Bull. Earthq. Eng. 2021, 19, 5015–5049. [Google Scholar] [CrossRef]
- Zhang, Y.; Xu, W.; Wang, S.; Du, D.; Geng, Y. Mechanical modeling of viscous fluid damper with temperature and pressure coupling effects. Machines 2024, 12, 366. [Google Scholar] [CrossRef]
- Zhang, X.; Zhao, S.; Jierula, A.; Liu, Q. Numerical Simulation-Based Study on Influence of Different Connection Configurations of Viscous Dampers on Seismic Performance. Buildings 2025, 15, 1827. [Google Scholar] [CrossRef]
- Zhang, Y.; Ding, Y.; Xu, G. Limit states of impact-buffered viscous dampers: A new model and the implications for the seismic fragility of bridges subjected to near-fault pulse-like ground motions. Soil Dyn. Earthq. Eng. 2025, 195, 109416. [Google Scholar] [CrossRef]
- Zucconi, M.; Romano, F.; Ferracuti, B. Typological fragility curves for RC buildings: Influence of damage index and building sample selection. Eng. Struct. 2022, 266, 114627. [Google Scholar] [CrossRef]
- Ruggieri, S.; Calò, M.; Cardellicchio, A.; Uva, G. Analytical-mechanical based framework for seismic overall fragility analysis of existing RC buildings in town compartments. Bull. Earthq. Eng. 2022, 20, 8179–8216. [Google Scholar] [CrossRef]
- Nguyen, H.D.; Lee, Y.-J.; LaFave, J.M.; Shin, M. Seismic fragility analysis of steel moment frames using machine learning models. Eng. Appl. Artif. Intell. 2023, 126, 106976. [Google Scholar] [CrossRef]











| Model | β Setting | B (Point) | b (Bootstrap 95% CI) | σdamper (Point) | σdamper (Bootstrap 95% CI) |
|---|---|---|---|---|---|
| Event | Shared | −0.02966 | [−0.04317, −0.01860] | 0.00855 | [0.00401, 0.02037] |
| Event | Free | −0.02779 | [−0.04026, −0.01437] | 0.00837 | [0.00382, 0.01586] |
| Margin | Shared | −0.02658 | [−0.03152, −0.02100] | 0.00757 | [0.00570, 0.00987] |
| Margin | Free | −0.02598 | [−0.03176, −0.02065] | 0.00749 | [0.00567, 0.00980] |
| Fusion | Shared | −0.02464 | [−0.03118, −0.01722] | 0.00714 | [0.00542, 0.00920] |
| Fusion | Free | −0.02408 | [−0.03104, −0.01679] | 0.00707 | [0.00528, 0.00917] |
Disclaimer/Publisher’s Note: The statements, opinions and data contained in all publications are solely those of the individual author(s) and contributor(s) and not of MDPI and/or the editor(s). MDPI and/or the editor(s) disclaim responsibility for any injury to people or property resulting from any ideas, methods, instructions or products referred to in the content. |
© 2026 by the authors. Licensee MDPI, Basel, Switzerland. This article is an open access article distributed under the terms and conditions of the Creative Commons Attribution (CC BY) license.
Share and Cite
Zhao, X.; Pan, W. Parameter Estimation and Interval Assessment of the Collapse Capacity of Viscous-Damped Structures Under Degradation and Partial Failure Scenarios. Buildings 2026, 16, 1271. https://doi.org/10.3390/buildings16061271
Zhao X, Pan W. Parameter Estimation and Interval Assessment of the Collapse Capacity of Viscous-Damped Structures Under Degradation and Partial Failure Scenarios. Buildings. 2026; 16(6):1271. https://doi.org/10.3390/buildings16061271
Chicago/Turabian StyleZhao, Xi, and Wen Pan. 2026. "Parameter Estimation and Interval Assessment of the Collapse Capacity of Viscous-Damped Structures Under Degradation and Partial Failure Scenarios" Buildings 16, no. 6: 1271. https://doi.org/10.3390/buildings16061271
APA StyleZhao, X., & Pan, W. (2026). Parameter Estimation and Interval Assessment of the Collapse Capacity of Viscous-Damped Structures Under Degradation and Partial Failure Scenarios. Buildings, 16(6), 1271. https://doi.org/10.3390/buildings16061271
