Sign in to use this feature.

Years

Between: -

Subjects

remove_circle_outline
remove_circle_outline
remove_circle_outline
remove_circle_outline
remove_circle_outline
remove_circle_outline
remove_circle_outline
remove_circle_outline
remove_circle_outline

Journals

remove_circle_outline
remove_circle_outline
remove_circle_outline
remove_circle_outline
remove_circle_outline
remove_circle_outline
remove_circle_outline
remove_circle_outline
remove_circle_outline
remove_circle_outline
remove_circle_outline
remove_circle_outline
remove_circle_outline
remove_circle_outline

Article Types

Countries / Regions

remove_circle_outline
remove_circle_outline
remove_circle_outline
remove_circle_outline

Search Results (897)

Search Parameters:
Keywords = motion dynamics information

Order results
Result details
Results per page
Select all
Export citation of selected articles as:
21 pages, 2636 KB  
Article
Image-Based Visual Servoing of Quadrotor MAVs Using Model Predictive Control with Velocity Observation and State Update
by Jiansong Liu, Chunbo Xiu, Yanxin Yuan, Yue Zhou and Baoquan Li
Symmetry 2026, 18(5), 726; https://doi.org/10.3390/sym18050726 - 24 Apr 2026
Viewed by 65
Abstract
A model predictive control (MPC) strategy is proposed based on state observation and updating for image-based visual servoing (IBVS) tasks of micro aerial vehicles (MAVs). This control strategy enables precise pose adjustment of MAVs without relying on the global positioning system (GPS). Specifically, [...] Read more.
A model predictive control (MPC) strategy is proposed based on state observation and updating for image-based visual servoing (IBVS) tasks of micro aerial vehicles (MAVs). This control strategy enables precise pose adjustment of MAVs without relying on the global positioning system (GPS). Specifically, image features are first defined on a virtual image plane to decouple the translational motion of the MAV. Subsequently, a linear velocity observer is developed to provide high-quality real-time velocity information for the MAV during IBVS execution. Furthermore, the image dynamics on the virtual image plane are linearized using a first-order Taylor expansion, and a linear MPC controller is formulated to efficiently compute the optimal control inputs. Moreover, the state inputs to the MPC controller are updated at each control cycle to eliminate errors accumulated during the rolling optimization based on the linearized dynamics, thereby ensuring the precision of IBVS. Simulation and experimental results demonstrate the performance of the proposed observer and control strategy. Full article
(This article belongs to the Special Issue Symmetry and Nonlinear Control: Theory and Application)
22 pages, 2295 KB  
Article
Event-Triggered Torque Ripple Attenuation for Robotic Permanent Magnet Synchronous Motors with Immunity to Load Transients
by Yaofei Han, Xiaodong Qiao, Zhiyong Huang, Shaofeng Chen, Yawei Li and Bo Yang
Machines 2026, 14(5), 478; https://doi.org/10.3390/machines14050478 (registering DOI) - 24 Apr 2026
Viewed by 63
Abstract
The torque ripples of robotic permanent magnet synchronous motors (PMSMs) degrade motion smoothness and positioning accuracy of the system, while inevitable load transients in robotic tasks further complicate torque ripple attenuation. To address this issue, this paper develops an event-triggered torque ripple attenuation [...] Read more.
The torque ripples of robotic permanent magnet synchronous motors (PMSMs) degrade motion smoothness and positioning accuracy of the system, while inevitable load transients in robotic tasks further complicate torque ripple attenuation. To address this issue, this paper develops an event-triggered torque ripple attenuation method that explicitly distinguishes torque ripple from dynamic load transients. First, a sliding-mode torque observer is constructed to obtain real-time torque information, whose stability is rigorously analyzed using a Lyapunov function. Second, frequency-selective torque ripple extraction schemes are proposed to accurately isolate steady-state high-frequency torque ripple from the estimated torque signal. In particular, two specially designed filtering structures are developed and compared, one of which is selected to preserve ripple-related frequency content during test, ensuring robust and accurate ripple identification under varying operating conditions in robotics. Third, a torque-ripple-regulation-based compensation strategy is used within a vector-controlled PMSM drive, in which the extracted torque ripple is processed by a dedicated ripple regulator to generate voltage compensation signals. This strategy achieves effective steady-state torque ripple attenuation with low implementation complexity, while avoiding performance degradation during dynamic load transients. Finally, experimental results are provided to validate the effectiveness of the proposed methods. Full article
33 pages, 3365 KB  
Article
Search-Information-Driven Collaborative Task Planning for Multi-UUV Systems
by Peng Chang, Yintao Wang, Dong Li, Qingliang Shen and Zhengqing Han
J. Mar. Sci. Eng. 2026, 14(9), 775; https://doi.org/10.3390/jmse14090775 - 23 Apr 2026
Viewed by 121
Abstract
To address the problems of unreasonable task allocation and low target search efficiency in the collaborative search of multiple unmanned undersea vehicles (UUVs) in complex marine environments, this paper proposes a search-information-driven collaborative task planning method for multi-UUV systems, and constructs a systematic [...] Read more.
To address the problems of unreasonable task allocation and low target search efficiency in the collaborative search of multiple unmanned undersea vehicles (UUVs) in complex marine environments, this paper proposes a search-information-driven collaborative task planning method for multi-UUV systems, and constructs a systematic and integrated multi-UUV collaborative task planning framework. Considering the spatial characteristics of the complex underwater environment and sonar detection rules, an underwater task environment grid model and an active sonar instantaneous detection model are constructed as the environmental and detection foundation of the framework. Within the framework, the Gaussian Mixture Model (GMM) is adopted to realize dynamic division of task regions, and reasonable resource allocation among multiple UUVs is achieved by defining scientific area allocation indicators. A search information map consisting of target probability distribution and environmental uncertainty is established, and a receding horizon planning framework is introduced to balance short-term detection effectiveness and long-term search value. Furthermore, a motion-coded Grey Wolf Optimization (GWO) algorithm is proposed to generate continuous UUV paths, which avoids path discontinuity caused by discrete grids and ensures the convergence efficiency of the algorithm. Simulation results verify that compared with traditional methods, the proposed method improves the total probability benefit by 19.87% and the number of discovered targets by 18.29%, demonstrating better search performance and environmental adaptability. Full article
(This article belongs to the Special Issue Autonomous Marine Vehicle Operations—3rd Edition)
24 pages, 2768 KB  
Article
Enhancing Wearable-Based Elderly Activity Recognition Through a Hybrid Deep Residual Network
by Sakorn Mekruksavanich and Anuchit Jitpattanakul
Mach. Learn. Knowl. Extr. 2026, 8(4), 107; https://doi.org/10.3390/make8040107 - 18 Apr 2026
Viewed by 125
Abstract
The rapid growth of the elderly population worldwide demands reliable activity recognition technologies to support independent living and continuous health supervision. However, conventional wearable sensor-based human activity recognition (HAR) techniques often fail to capture the complex temporal behaviour and subtle motion patterns characteristic [...] Read more.
The rapid growth of the elderly population worldwide demands reliable activity recognition technologies to support independent living and continuous health supervision. However, conventional wearable sensor-based human activity recognition (HAR) techniques often fail to capture the complex temporal behaviour and subtle motion patterns characteristic of the elderly. To address these limitations, this study introduces a hybrid deep residual architecture—CNN-CBAM-BiGRU—that integrates convolutional neural networks (CNNs), the convolutional block attention module (CBAM), and bidirectional gated recurrent units (BiGRUs) to improve activity recognition using inertial measurement unit (IMU) data. In the proposed CNN-CBAM-BiGRU framework, CNN layers automatically derive representative features from raw sensor signals, CBAM applies adaptive channel and spatial attention to highlight informative patterns, and BiGRU captures long-range temporal relationships within activity sequences. The approach was evaluated on three benchmark datasets designed for elderly populations—HAR70+, HARTH, and SisFall—covering daily activities and fall events. The proposed model consistently outperforms existing methods across all datasets, achieving accuracies exceeding 96%, F1-scores above 93%, and a fall detection recall of 93.74%, confirming its robustness and suitability for safety-critical monitoring applications. Class-level evaluation indicates excellent recognition of static postures and consistent performance for dynamic actions. Convergence analysis further confirms efficient learning with limited overfitting across datasets. The proposed framework thus provides a robust and accurate solution for wearable-based elderly activity recognition, with strong potential for deployment in fall detection, health monitoring, and ambient assisted living systems. Full article
(This article belongs to the Special Issue Sustainable Applications for Machine Learning—2nd Edition)
Show Figures

Graphical abstract

18 pages, 4266 KB  
Article
Global Calibration of a Collaborative Multi-Line-Scan Camera Measurement System
by Yuanshen Xie, Nanhui Wu, Yueqiao Hou, Weixin Xu, Jiangjie Yu, Zichao Yin and Dapeng Tan
Sensors 2026, 26(8), 2498; https://doi.org/10.3390/s26082498 - 17 Apr 2026
Viewed by 189
Abstract
Multi-line-scan camera systems provide high-frequency sampling and wide field-of-view coverage, making them valuable for three-dimensional measurement and dynamic reconstruction. However, their one-dimensional projection property introduces scale ambiguity and strong parameter coupling during calibration, which limits the consistency and stability of local optimization in [...] Read more.
Multi-line-scan camera systems provide high-frequency sampling and wide field-of-view coverage, making them valuable for three-dimensional measurement and dynamic reconstruction. However, their one-dimensional projection property introduces scale ambiguity and strong parameter coupling during calibration, which limits the consistency and stability of local optimization in multi-camera systems. To address this issue, this paper proposes a global calibration method based on physical constraints and hierarchical optimization. A unified imaging and motion model is constructed by incorporating physical scale constraints and structural priors, and geometric scale information is introduced into the joint optimization to reduce scale ambiguity and parameter coupling. Parameter normalization and staged optimization are further adopted to improve numerical stability for variables of different magnitudes and enable consistent estimation of multi-camera parameters within a unified framework. Simulation and experimental results show that the method achieves stable convergence under focal-length initialization perturbation, baseline deviation, and noise interference, with a three-dimensional reconstruction error below 0.67 mm and a convergence probability of at least 99.7%. These results indicate that the proposed method effectively reduces calibration uncertainty in multi-line-scan camera systems and supports high-precision online measurement and dynamic three-dimensional perception. Full article
(This article belongs to the Section Sensing and Imaging)
Show Figures

Figure 1

29 pages, 10011 KB  
Article
Method for Controlling the Movement of an AUV Follower Based on Visual Information About the Position of the AUV Leader Using Reinforcement Learning Methods
by Evgenii Norenko, Vadim Kramar and Aleksey Kabanov
Drones 2026, 10(4), 282; https://doi.org/10.3390/drones10040282 - 14 Apr 2026
Viewed by 331
Abstract
This paper considers the problem of controlling the motion of an autonomous underwater vehicle (AUV) following a leader in a leader–follower scheme based on visual information about the leader’s position. It is assumed that the leader is equipped with a system of light [...] Read more.
This paper considers the problem of controlling the motion of an autonomous underwater vehicle (AUV) following a leader in a leader–follower scheme based on visual information about the leader’s position. It is assumed that the leader is equipped with a system of light markers with known geometry, and the follower determines its relative position based on data from an onboard camera without using a hydroacoustic communication channel or direct exchange of navigation information. To synthesize the control law, a reinforcement learning method based on the Proximal Policy Optimization algorithm is used. Policy learning is performed in a simulation environment, taking into account the dynamic model of the agent in the horizontal plane and observation noise. A structure of state space, actions, and reward function is proposed, aimed at minimizing the error in relative position and orientation. Additionally, Bayesian optimization of the weight coefficients of the reward function is performed. Bayesian optimization of the reward function weights reduces the RMS tracking error from 0.24 m to 0.09 m and demonstrates that heading regulation has a significantly stronger impact on stability than position penalties. The results of modeling, testing in the Webots environment, and experiments on MiddleAUV class devices confirm the feasibility and scalability of the approach. It is shown that a single trained policy ensures stable formation maintenance when the number of follower agents and initial conditions change without additional retraining. Full article
(This article belongs to the Special Issue Intelligent Cooperative Technologies of UAV Swarm Systems)
Show Figures

Figure 1

24 pages, 7018 KB  
Article
Robust Multi-Object Tracking in Dense Swarms with Query Propagation and Adaptive Attention
by Sen Zhang, Weilin Du, Zheng Li and Junmin Rao
Drones 2026, 10(4), 280; https://doi.org/10.3390/drones10040280 - 14 Apr 2026
Viewed by 318
Abstract
The query propagation paradigm provides a unified theoretical framework for end-to-end multi-object tracking, yet it still faces challenges in complex scenarios involving multi-scale variations, dense interactions, and trajectory fragmentation, including insufficient query initialization quality, imprecise feature alignment, and difficult identity recovery. Building upon [...] Read more.
The query propagation paradigm provides a unified theoretical framework for end-to-end multi-object tracking, yet it still faces challenges in complex scenarios involving multi-scale variations, dense interactions, and trajectory fragmentation, including insufficient query initialization quality, imprecise feature alignment, and difficult identity recovery. Building upon MOTRv2, this paper proposes three core improvements. First, we design a geometric prior injection strategy based on sine–cosine encoding, which explicitly encodes target location and scale information into detection queries, providing high-quality initialization for tracking queries. Second, we propose a width–height-modulated deformable attention mechanism that dynamically adjusts the sampling range of deformable convolution according to target size, enabling fine-grained feature matching for multi-scale targets. Third, we construct a motion-direction-consistency-based trajectory re-association module that leverages motion continuity to efficiently recover lost trajectories without introducing additional appearance models. Furthermore, we introduce a progressive joint training strategy that optimizes detection and tracking modules in stages, effectively mitigating gradient competition in multi-task learning. Extensive quantitative and qualitative experiments on the BEE24, UAVSwarm, and VTMOT infrared datasets validate the effectiveness of the proposed method. On the UAVSwarm dataset, our method achieves state-of-the-art performance with 52.4% HOTA, 72.1% MOTA, and only 51 identity switches. Ablation studies further reveal the synergistic enhancement mechanism among the proposed modules. Full article
(This article belongs to the Section Artificial Intelligence in Drones (AID))
Show Figures

Figure 1

32 pages, 19812 KB  
Article
A Grammar-Based Criterion for Learning Sufficiency in Motion Modeling
by Herlindo Hernandez-Ramirez, Jorge-Luis Perez-Ramos, Daniel Canton-Enriquez, Ana Marcela Herrera-Navarro and Hugo Jimenez-Hernandez
Modelling 2026, 7(2), 72; https://doi.org/10.3390/modelling7020072 - 10 Apr 2026
Viewed by 215
Abstract
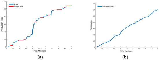
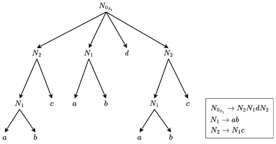
The integration of automated learning and video analysis enables the development of intelligent systems that can operate effectively in uncertain scenarios. These systems can autonomously identify dominant motion dynamics, depending on the theoretical framework used for representation and the learning process used for [...] Read more.
The integration of automated learning and video analysis enables the development of intelligent systems that can operate effectively in uncertain scenarios. These systems can autonomously identify dominant motion dynamics, depending on the theoretical framework used for representation and the learning process used for pattern identification. Current literature offers a state-based approach to describe the key temporal and spatial relationships required to understand motion dynamics. An important aspect of this approach is determining when the number of positively learned rules from a given information source is sufficient to detect dominant motion in automatic surveillance scenarios. This is crucial, as it affects both the variability of movements that monitored subjects can exhibit within the camera’s field of view and the resources needed for effective implementation. This study addresses these gaps through a grammar-based sufficiency criterion, which posits that learning is complete when production rule growth stabilizes, under the assumption of system stationarity. The stability criterion evaluates whether the most probable rules are learned over time, and whenever a high-growth rule is added, it is used to update the criterion. We outline several benefits of having a formal criterion for determining when a symbolic surveillance system has a robust model that explains the observed motion dynamics. Our hypothesis is that a correct model can consistently account for the majority of motion dynamics over time in an automated learning process. The proposed approach is evaluated by modeling motion dynamics in several scenarios using the SEQUITUR algorithm as input and computing the probability of stability along the learning curve, which indicates when the model reaches a steady state of consistent learning. Experimental validation was conducted in real-world scenarios under varying acquisition conditions. The results show that the proposed method achieves robust modeling performance, with accuracy values ranging from 83.56% to 95.92% in dynamic environments. Full article
Show Figures

Figure 1

32 pages, 13439 KB  
Article
From Motion to Form: Systematizing Motion-Data Processing for Architectural Generative Design
by Hee-Sung An, Nari Yoon and Sung-Wook Kim
Buildings 2026, 16(8), 1492; https://doi.org/10.3390/buildings16081492 - 10 Apr 2026
Viewed by 266
Abstract
This study systematizes the form generation process using machine learning-driven motion-tracking data and investigates the interrelationships between the characteristics of generated data and forms generated according to data-processing methods. Through the vision-based machine learning motion estimation (VideoPose3D) algorithm, 3D motion data are extracted [...] Read more.
This study systematizes the form generation process using machine learning-driven motion-tracking data and investigates the interrelationships between the characteristics of generated data and forms generated according to data-processing methods. Through the vision-based machine learning motion estimation (VideoPose3D) algorithm, 3D motion data are extracted from 2D video and categorized into point (joint), curve (bone), and boundary (range of motion) types. Furthermore, this study analyzes the form generation characteristics and limitations associated with each type of motion-tracking data derived from dynamic-to-dynamic physical activities with postural transitions. A data-processing methodology based on artistic practice from prior research is applied. The characteristics of generated data and the morphological characteristics of generated forms are then analyzed according to non-processed and processed methods. Results suggest a potential correlative tendency between the characteristics and generated forms of each type of motion data value information. A bidirectional complementary relationship exists between non-processed and processed motion-tracking data. The data-based form generation methodology demonstrates potential applicability in architectural design. This study expands design possibilities by supporting decisions early in the architectural design process and immediately generating diverse alternatives; it also proposes a standardized framework for a universal data-centric design process applicable to diverse data types, including motion data. Full article
(This article belongs to the Section Architectural Design, Urban Science, and Real Estate)
Show Figures

Figure 1

43 pages, 8388 KB  
Article
Adaptive Algorithmic Structure for Managing Accuracy and Reliability in Dynamic Electro-Hydraulic Systems
by Dimitar Dichev, Iliya Zhelezarov, Borislav Georgiev, Tsanko Karadzhov, Hristo Hristov, Lyubomir Lazov and Thushal Kalupahana
Appl. Sci. 2026, 16(7), 3563; https://doi.org/10.3390/app16073563 - 6 Apr 2026
Viewed by 253
Abstract
This article proposes an integrated adaptive algorithm to control the accuracy and reliability of linear motion in electrohydraulic systems operating in dynamic modes and external loads. This algorithm has a multilevel parallel structure in which the physical model, extended measurement information, internal adaptive [...] Read more.
This article proposes an integrated adaptive algorithm to control the accuracy and reliability of linear motion in electrohydraulic systems operating in dynamic modes and external loads. This algorithm has a multilevel parallel structure in which the physical model, extended measurement information, internal adaptive parameters, and the current of measurement and model uncertainties are combined and synchronized within a single loop. The proposed structure allows the real-time extraction of information about hard-to-determine dynamic characteristics of the electrohydraulic process, which is used to maintain consistency between the mathematical model and the actual behavior of the system, including in the case of rapidly changing modes and load variations. In addition, a functional observation layer for assessing the quality of measurement information is introduced, through which the sensitivity of adaptive mechanisms is managed, and the stability of the algorithm is maintained under degraded measurement conditions. Experimental results demonstrate a significant reduction in dynamic error and a sustainable improvement in the quality of tracking relative to a basic electrohydraulic system without algorithmic correction. This confirms the applicability of the proposed approach to real energy and industrial systems. Full article
Show Figures

Figure 1

20 pages, 3653 KB  
Article
Constrained Multibody Dynamic Modeling and Power Benchmarking of a Three-Omni-Wheel Mobile Robot
by Iosif-Adrian Maroșan, Sever-Gabriel Racz, Radu-Eugen Breaz, Alexandru Bârsan, Claudia-Emilia Gîrjob, Mihai Crenganiș, Cristina-Maria Biriș and Anca-Lucia Chicea
Machines 2026, 14(4), 398; https://doi.org/10.3390/machines14040398 - 5 Apr 2026
Viewed by 407
Abstract
Omnidirectional mobile robots are increasingly used in industrial and service applications due to their high maneuverability and ability to perform combined translational and rotational motions in confined spaces. However, these locomotion advantages are often accompanied by additional wheel–ground interaction losses, making power consumption [...] Read more.
Omnidirectional mobile robots are increasingly used in industrial and service applications due to their high maneuverability and ability to perform combined translational and rotational motions in confined spaces. However, these locomotion advantages are often accompanied by additional wheel–ground interaction losses, making power consumption an important design criterion in the design of efficient mobile platforms. This study presents a dynamic modeling and experimental-power benchmarking framework for a modular mobile robot equipped with three omnidirectional wheels, using a four-omni-wheel configuration as a baseline reference for comparison. A CAD-consistent multibody dynamic model of the three-wheel architecture is developed in the MATLAB/Simulink–Simscape Multibody R2024benvironment to estimate motor currents and electrical-power demand during motion. Experimental validation is carried out on the physical prototype using Hall-effect current sensors integrated into the drive modules, enabling real-time current acquisition for each motor. Both the simulation and experiments are performed on a standardized 1 m square-path benchmark at a constant 12 V supply. The results show that the proposed three-omni-wheel configuration reaches a total measured power of 14.43 W and a simulated power of 12.72 W, corresponding to a robot-level deviation of 11.85%. By comparison, the four-omni-wheel baseline exhibits a total measured power of 25.75 W and a simulated power of 24.92 W. Therefore, the proposed three-wheel architecture reduces the measured power demand by approximately 43.96% relative to the baseline, while the four-wheel configuration provides higher model fidelity. The proposed methodology supports power-oriented evaluation and informed design selection of omnidirectional locomotion architectures for modular mobile robots intended for industrial applications. Full article
(This article belongs to the Special Issue New Trends in Industrial Robots)
Show Figures

Figure 1

17 pages, 5235 KB  
Article
An Effective Non-Rigid Registration Approach for Ultrasound Images Based on the Improved Variational Model of Intensity, Local Phase Information and Descriptor Matching
by Kun Zhang, Jinming Xing and Qingtai Xiao
J. Imaging 2026, 12(4), 156; https://doi.org/10.3390/jimaging12040156 - 3 Apr 2026
Viewed by 330
Abstract
Ultrasound images have some limitations, such as low signal-to-noise ratio (SNR), speckle noise, lower dynamic range, blurred boundaries, and shadowing; therefore, ultrasound image registration is an important task for estimating tissue motion and analyzing tissue mechanical properties. In this paper, an effective non-rigid [...] Read more.
Ultrasound images have some limitations, such as low signal-to-noise ratio (SNR), speckle noise, lower dynamic range, blurred boundaries, and shadowing; therefore, ultrasound image registration is an important task for estimating tissue motion and analyzing tissue mechanical properties. In this paper, an effective non-rigid ultrasound image registration method is proposed. By integrating intensity, local phase information, and descriptor matching under a variational framework, we can find and track the non-rigid transformation of each pixel under diffeomorphism between the source and target images based on the warping technique. Experiments using simulation and in vivo ultrasound images of the human carotid artery are conducted to demonstrate the advantages of the proposed algorithm, which will act as an important supplement to current ultrasound image registration. Full article
(This article belongs to the Section Image and Video Processing)
Show Figures

Figure 1

30 pages, 1249 KB  
Article
Frequency-Based Examination of Tire-Specific Slips and Wheelbase Impact on Lateral Guidance Performance
by Gaël Atheupe, Gordan Kongue Meli, Valentin Carvalho and Anton Van Wyk
Vehicles 2026, 8(4), 78; https://doi.org/10.3390/vehicles8040078 - 3 Apr 2026
Viewed by 489
Abstract
Contemporary vehicle development, particularly for overactuated platforms, demands design methodologies that bridge the gap between high-level performance targets and hardware selection. Existing physics-based models, while essential, offer limited utility for this systems-level design task. This paper introduces a novel analytical framework for vehicle [...] Read more.
Contemporary vehicle development, particularly for overactuated platforms, demands design methodologies that bridge the gap between high-level performance targets and hardware selection. Existing physics-based models, while essential, offer limited utility for this systems-level design task. This paper introduces a novel analytical framework for vehicle lateral dynamics, predicated on a reformulated single-track model that integrates the concept of tire-specific slip. The derived specific slip-based bicycle model enables a comprehensive frequency-domain analysis of handling characteristics, articulated through three fundamental metrics: the front and rear axle specific slips and the vehicle wheelbase. Our results quantify the influence of these parameters on key handling attributes, including stability, responsiveness, and roll susceptibility. This work provides a constitutive tool for the model-based design of next-generation vehicles, enabling the a priori selection and optimization of chassis hardware to meet predefined performance objectives and informing the synthesis of advanced motion control systems. Full article
(This article belongs to the Special Issue Vehicle Design Processes, 3rd Edition)
Show Figures

Figure 1

20 pages, 3255 KB  
Article
Seamless Indoor and Outdoor Navigation Using IMU-GNSS Sensor Data Fusion
by Bismark Kweku Asiedu Asante and Hiroki Imamura
Sensors 2026, 26(7), 2215; https://doi.org/10.3390/s26072215 - 3 Apr 2026
Viewed by 530
Abstract
Seamless localization across indoor and outdoor environments remains a fundamental challenge for wearable navigation systems, particularly those intended to assist visually impaired individuals. This challenge arises from the unreliability of GNSS signals in indoor and transitional spaces and the cumulative drift inherent to [...] Read more.
Seamless localization across indoor and outdoor environments remains a fundamental challenge for wearable navigation systems, particularly those intended to assist visually impaired individuals. This challenge arises from the unreliability of GNSS signals in indoor and transitional spaces and the cumulative drift inherent to IMU–based dead reckoning. To address these limitations, this paper proposes a physics-informed GNSS–IMU sensor fusion framework that enables robust, real-time wearable navigation across heterogeneous environments. The proposed system dynamically adapts to environmental context, employing GNSS dominant localization in outdoor settings and PINN enhanced IMU-based dead reckoning during GNSS denied indoor operation. At the core of the framework is a tightly coupled Physics-Informed Neural Network (PINN) and Extended Kalman Filter (EKF), where the PINN embeds kinematic motion constraints to correct inertial drift and suppress sensor noise, while the EKF performs probabilistic state estimation and sensor fusion. The framework is implemented on a compact, energy-efficient wearable platform and evaluated using real-world indoor–outdoor pedestrian trajectories. Experimental results demonstrate improved localization accuracy, significantly reduced drift during indoor navigation, and stable indoor–outdoor transitions compared to conventional GNSS–IMU fusion methods. The proposed approach offers a practical and reliable solution for wearable assistive navigation and has broader applicability in smart mobility and autonomous wearable systems. Full article
(This article belongs to the Topic AI Sensors and Transducers)
Show Figures

Figure 1

20 pages, 4199 KB  
Article
Parkour Learning for Quadrupeds via Terrain-Conditional Adversarial Motion Priors
by Shuomo Zhang, Wei Zou and Hu Su
Appl. Sci. 2026, 16(7), 3448; https://doi.org/10.3390/app16073448 - 2 Apr 2026
Viewed by 532
Abstract
Agile parkour in unstructured environments poses significant challenges for quadruped robots, requiring both dynamic motion generation and terrain adaptability. Recent advances such as Adversarial Motion Priors (AMP) have shown promise in learning dynamic behaviors through motion imitation, but the resulting policies are typically [...] Read more.
Agile parkour in unstructured environments poses significant challenges for quadruped robots, requiring both dynamic motion generation and terrain adaptability. Recent advances such as Adversarial Motion Priors (AMP) have shown promise in learning dynamic behaviors through motion imitation, but the resulting policies are typically specialized and struggle to generalize across varying terrains. However, existing AMP-based approaches largely lack explicit environmental awareness, leading to limited adaptability and revealing a clear gap in achieving general agile locomotion. To address this limitation, we propose a novel terrain-conditional AMP framework that extends adversarial motion priors by conditioning the discriminator on explicit terrain features, enabling the learning of terrain-aware motion representations adaptable to diverse environments. To improve practical applicability, we further leverage a vision-based policy distillation scheme, where a teacher policy with privileged terrain height information supervises a student policy operating only on forward-looking depth images. This enables agile, perception-driven locomotion in real time. To the best of our knowledge, this is the first work to integrate environmental information into adversarial motion priors and jointly learn a vision-based policy through policy distillation for agile quadruped locomotion. Experiments on terrains such as platforms, gaps, stairs, slopes, and debris show that the proposed method achieves more efficient training convergence and higher success rates compared to pure AMP-based and RL-based methods. These results highlight the effectiveness of the proposed framework and represent a step toward perception-driven agile locomotion for quadruped robots in complex environments. Full article
(This article belongs to the Special Issue Intelligent Control of Robotic System)
Show Figures

Figure 1

Back to TopTop