Sign in to use this feature.

Years

Between: -

Subjects

remove_circle_outline
remove_circle_outline
remove_circle_outline
remove_circle_outline
remove_circle_outline
remove_circle_outline
remove_circle_outline
remove_circle_outline
remove_circle_outline

Journals

Article Types

Countries / Regions

Search Results (92)

Search Parameters:
Keywords = monosodium crystals

Order results
Result details
Results per page
Select all
Export citation of selected articles as:
11 pages, 460 KB  
Article
Distinct Characteristics of Patients with Gout and an Underweight or Normal Body Mass Index: A Single-Center Retrospective Cross-Sectional Study
by Sung Soo Ahn, Jiyoung Agatha Kim, Soorack Ryu, Yagop Shin, Sung Hoon Choi, Ka Young Choi and Kunhyung Bae
Life 2025, 15(12), 1876; https://doi.org/10.3390/life15121876 - 8 Dec 2025
Viewed by 336
Abstract
Gout is an inflammatory arthritis triggered by monosodium urate crystal deposition, especially in obese patients. However, distinctions between the characteristics of obese and non-obese patients with gout remain unclear. We aimed to investigate the clinical differences by body mass index (BMI) with gout. [...] Read more.
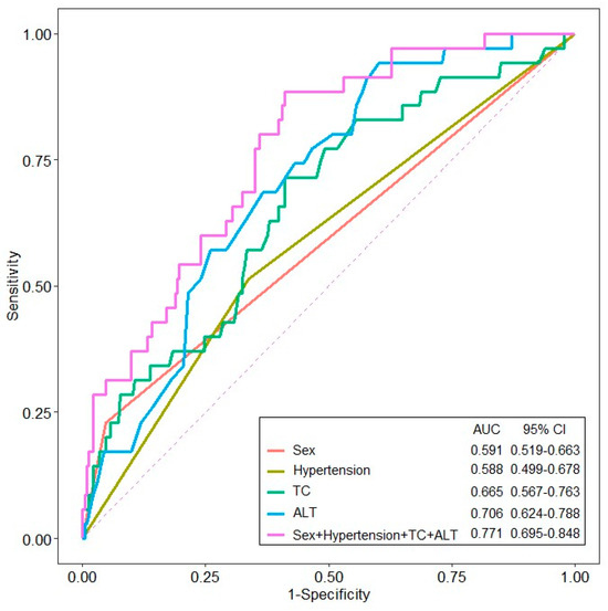
Gout is an inflammatory arthritis triggered by monosodium urate crystal deposition, especially in obese patients. However, distinctions between the characteristics of obese and non-obese patients with gout remain unclear. We aimed to investigate the clinical differences by body mass index (BMI) with gout. We conducted a single-center retrospective cross-sectional study of 269 patients with gout from March 2020 to May 2024. Patients were classified into two groups: underweight/normal BMI and overweight/obesity. Baseline demographics, laboratory data, and clinical outcomes were compared between these groups. Stepwise logistic regression analysis was performed to identify predictors of underweight/normal BMI in gout patients. The underweight/normal BMI group included 35 patients (13.0%), characterized by older age, a higher proportion of females, and a lower prevalence of hypertension and alcohol consumption. This group also demonstrated lower uric acid, lipid profile, and alanine aminotransferase (ALT) levels but had a higher erythrocyte sedimentation rate. Logistic regression analysis identified female sex (odds ratio [OR] 3.831, 95% confidence interval [CI] 1.254–11.705, p = 0.018), presence of hypertension (OR 0.367, 95% CI 0.166–0.809, p = 0.013), total cholesterol (OR 0.990, 95% CI 0.982–0.999, p = 0.031), and ALT (OR 0.967, 95% CI 0.941–0.995, p = 0.019) as significant predictors of underweight/normal BMI gout. Understanding these characteristics may improve the identification of underweight/normal BMI subgroups, leading to improved approaches for gout management. Full article
(This article belongs to the Special Issue Musculoskeletal Medicine in Rheumatic Diseases)
Show Figures

Figure 1

16 pages, 629 KB  
Article
Length of Monosodium Urate Crystals in Synovial Fluid Based on Ultrasound Articular Deposits: Advancements in Crystallization Process
by Elena Sansano-Muñoz, María-del-Carmen López-González, Cristina Rodríguez-Alvear, Irene Calabuig, Agustín Martínez-Sanchis, Carlos Rodríguez-Navarro, Eliseo Pascual and Mariano Andrés
Gout Urate Cryst. Depos. Dis. 2025, 3(4), 21; https://doi.org/10.3390/gucdd3040021 - 3 Nov 2025
Viewed by 1027
Abstract
Objective: Monosodium urate (MSU) crystallization in human joints is poorly understood. This study aimed to investigate whether the length of MSU crystals varies in relation to organized ultrasound deposits, which may lead to longer crystals. Methods: Observational, cross-sectional study analyzing MSU [...] Read more.
Objective: Monosodium urate (MSU) crystallization in human joints is poorly understood. This study aimed to investigate whether the length of MSU crystals varies in relation to organized ultrasound deposits, which may lead to longer crystals. Methods: Observational, cross-sectional study analyzing MSU crystals from synovial fluid samples of patients with crystal-proven gout. Using light microscopy, we measured crystal lengths (in µm) and noted the presence of long crystals, defined by cutoffs at the 66th, 75th, and 90th percentiles. We evaluated their association with two ultrasound-defined crystal deposition models: (1) grade 2–3 double-contour (DC) sign, tophi, and/or aggregates; and (2) grade 2–3 DC sign and/or tophi. Results: In a total of 1076 MSU crystals from 28 joints, median length was 23.3 µm (95% confidence interval 22.1–24.5). MSU crystal length was similar regardless of ultrasound deposition: in model 1 (20 joints, 71.4%), 22.5 µm in joints with deposits vs. 21.7 µm without; p = 0.42; in model 2 (15 joints, 53.6%), 22.8 µm vs. 21.2 µm, respectively; p = 0.12. Joints fulfilling model 2 criteria had more long crystals (>66th percentile), both in absolute and relative terms. Long crystals mildly correlated with serum urate levels and were numerically more frequent in patients with tophaceous gout. Conclusions: Most MSU crystals in synovial fluid gathered around a common length, regardless of ultrasound deposition. Long crystals were more common in joints with DC signs or tophi. Our finding is in keeping with two different mechanisms of MSU crystallization in humans. Full article
Show Figures

Figure 1

13 pages, 1814 KB  
Article
Gout Risk Allele Regulating IRF5 Expression Is Associated with Enhanced IL-1β Production in Response to Palmitate and Monosodium Urate Crystals
by Valentin Nica, Orsolya Gaal, Medeea Badii, Georgiana Cabău, Andreea-Manuela Mirea, Ioana Hotea, Cristina Pamfil, Simona Rednic, Radu A. Popp, Mihai G. Netea, Tania O. Crișan, Leo A. B. Joosten and HINT Consortium
Int. J. Mol. Sci. 2025, 26(20), 9930; https://doi.org/10.3390/ijms26209930 - 12 Oct 2025
Viewed by 893
Abstract
Interferon Regulatory Factor 5 plays an important role in the regulation of innate immune responses by amplifying the Nuclear Factor κB response, which is critical in gout inflammation. Furthermore, the rs4728141 polymorphism C allele was associated with both increased IRF5 expression and susceptibility [...] Read more.
Interferon Regulatory Factor 5 plays an important role in the regulation of innate immune responses by amplifying the Nuclear Factor κB response, which is critical in gout inflammation. Furthermore, the rs4728141 polymorphism C allele was associated with both increased IRF5 expression and susceptibility to gout. We examine the association between rs4728141 and cytokine production in response to various Toll-Like Receptor ligands and describe the transcriptomic and proteomic changes observed in patients with gout and controls in relation to this polymorphism. We examine the transcriptome of freshly isolated peripheral blood mononuclear cells (PBMCs) from 93 normouricemic donors and 63 gout patients as well as serum inflammatory proteome in 197 control and 195 gout samples. Stimulation experiments of freshly isolated human PBMCs were performed over 24 h, followed by RNA-sequencing in gout patients and cytokine production measurement by ELISA in normouricemic donors and gout patients. The rs4728141 C allele was associated with increased IL-1β expression in unstimulated PBMCs of controls, but not in gout. No association between the polymorphism and serum inflammatory proteome was found. As expected, an increased IRF5 expression was observed in stimulated PBMCs of rs4728141 C allele carriers in response to several stimulations. Interestingly, IL-1β production was specifically enhanced in association to the rs4728141 C allele when cells were stimulated with palmitate with or without monosodium urate crystals. This pattern of cytokine production shows a functional impact of rs4728141 in gout through altered IL-1β production. Full article
(This article belongs to the Section Molecular Immunology)
Show Figures

Figure 1

17 pages, 2776 KB  
Article
Atherosclerotic Plaque Crystals Induce Endothelial Dysfunction
by Jishamol Thazhathveettil, Sherin Aloysius Gomez, Deborah Olaoseeji, Rongrong Wu, Allan Sirsjö and Geena Varghese Paramel
Int. J. Mol. Sci. 2025, 26(19), 9758; https://doi.org/10.3390/ijms26199758 - 7 Oct 2025
Viewed by 1006
Abstract
Endothelial dysfunction is an early driver of atherosclerosis, yet the direct impact of endogenous crystals such as cholesterol crystals and monosodium urate on endothelial activation remains incompletely understood. In this study, we examine how crystalline stimuli modulate human umbilical vein endothelial cells by [...] Read more.
Endothelial dysfunction is an early driver of atherosclerosis, yet the direct impact of endogenous crystals such as cholesterol crystals and monosodium urate on endothelial activation remains incompletely understood. In this study, we examine how crystalline stimuli modulate human umbilical vein endothelial cells by assessing inflammatory signaling, mitochondrial respiration, and neutrophil recruitment. Using dose- and time-controlled experiments, we show that CC and MSU are internalized by endothelial cells, activating NF-κB and STAT3 signaling pathways and inducing a robust pro-inflammatory cytokine profile. Notably, CC caused marked mitochondrial dysfunction, evidenced by impaired respiratory capacity and loss of membrane potential, revealing a novel bioenergetic vulnerability in endothelial cells. Both direct crystal stimulation and exposure to crystal-primed conditioned media triggered endothelial adhesion molecule expression and promoted neutrophil adhesion, indicating that soluble mediators released upon crystal stimulation can propagate vascular inflammation. These findings demonstrate that crystalline stimuli are potent vascular danger signals capable of driving endothelial inflammation, mitochondrial impairment, and immune cell engagement, which are hallmarks of early atherogenesis. By elucidating these multifaceted endothelial responses, this study provides important mechanistic insights into how crystal-induced signals may contribute to vascular dysfunction and the early stages of atherogenesis. Full article
(This article belongs to the Special Issue Endothelial Dysfunction and Cardiovascular Diseases)
Show Figures

Figure 1

18 pages, 8074 KB  
Article
Auranofin Ameliorates Gouty Inflammation by Suppressing NLRP3 Activation and Neutrophil Migration via the IL-33/ST2–CXCL1 Axis
by Hyeyeon Yoo, Ahyoung Choi, Minjun Kim, Yongseok Gye, Hyeonju Jo, Seung-Ki Kwok, Youngjae Park and Jennifer Jooha Lee
Cells 2025, 14(19), 1541; https://doi.org/10.3390/cells14191541 - 2 Oct 2025
Cited by 1 | Viewed by 1338
Abstract
Gout is a form of sterile inflammatory arthritis in which monosodium urate (MSU) crystals deposit and provoke a neutrophil-predominant response, primarily driven by activation of the NACHT, leucine-rich repeat, and pyrin domain-containing protein 3 (NLRP3) inflammasome. Here, we show that auranofin, a Food [...] Read more.
Gout is a form of sterile inflammatory arthritis in which monosodium urate (MSU) crystals deposit and provoke a neutrophil-predominant response, primarily driven by activation of the NACHT, leucine-rich repeat, and pyrin domain-containing protein 3 (NLRP3) inflammasome. Here, we show that auranofin, a Food and Drug Administration (FDA)-approved anti-rheumatic agent, exerts anti-inflammatory effects in both in vitro and in vivo models of gout. Auranofin inhibited NLRP3 inflammasome activation in human THP-1 cells and murine macrophages, leading to reduced cleavage of caspase-1, interleukin-1β (IL-1β), and interleukin-18 (IL-18). In MSU crystal-induced mouse models, auranofin treatment reduced paw swelling, serum cytokine levels, and tissue inflammation. Notably, auranofin suppressed neutrophil migration and decreased expression of C-X-C motif chemokine ligand 1 (CXCL1) in inflamed foot tissue and air-pouch exudates. Mechanistically, auranofin disrupted the interleukin-33 (IL-33)/suppression of tumorigenicity 2 (ST2) axis, a key signaling pathway promoting neutrophil recruitment. Overexpression of IL-33 abolished the anti-inflammatory effects of auranofin, highlighting the central role of IL-33 in gout pathogenesis. Together, our findings suggest that auranofin alleviates MSU-induced inflammation by concurrently inhibiting NLRP3 inflammasome activation and IL-33-mediated neutrophil recruitment, supporting its potential as a dual-action therapeutic candidate for gout. Full article
(This article belongs to the Section Cellular Immunology)
Show Figures

Graphical abstract

16 pages, 932 KB  
Review
Hyperuricemia in Chronic Kidney Disease: Emerging Pathophysiology and a Novel Therapeutic Strategy
by Tomoaki Takata, Yukari Mae, Shotaro Hoi, Takuji Iyama and Hajime Isomoto
Int. J. Mol. Sci. 2025, 26(18), 9000; https://doi.org/10.3390/ijms26189000 - 16 Sep 2025
Viewed by 5384
Abstract
Hyperuricemia has been increasingly recognized as a modifiable contributor to chronic kidney disease (CKD) progression. Although the traditional classification of hyperuricemia distinguished between renal underexcretion and renal overload types, recent studies suggest that hyperuricemia in patients with CKD can result from heterogeneous excretory [...] Read more.
Hyperuricemia has been increasingly recognized as a modifiable contributor to chronic kidney disease (CKD) progression. Although the traditional classification of hyperuricemia distinguished between renal underexcretion and renal overload types, recent studies suggest that hyperuricemia in patients with CKD can result from heterogeneous excretory defects, including glomerular under-filtration and tubular over-reabsorption. These distinct phenotypes may drive divergent renal injury mechanisms. Experimental and clinical data reveal that monosodium urate crystals and soluble uric acid independently induce renal damage through oxidative stress, inflammasome activation, and endothelial dysfunction. Furthermore, clinical investigations showed inconsistent associations between serum uric acid levels and renal outcomes, suggesting that serum levels alone may not fully reflect urate-related renal risk. This has prompted increasing interest in uricosuric agents, particularly the selective urate reabsorption inhibitors (SURIs), which target tubular urate handling. Urate transporter 1 inhibitors have shown promise in enhancing urinary uric acid excretion and potentially preserving kidney function, especially in patients with CKD. In this review, we summarize the current evidence linking the emerging pathophysiological classification of hyperuricemia, mechanisms or urate-induced kidney injury, and therapeutic interventions. These insights may inform individualized approaches to urate-lowering therapy in CKD and support future research into phenotype-guided treatment strategies. Full article
(This article belongs to the Special Issue Molecular Advances in Glomerular Diseases)
Show Figures

Figure 1

20 pages, 1008 KB  
Review
Follow the Molecule from Crystal Arthropathy to Comorbidities: The 2024 G-CAN Gold Medal Award Awardee Lecture
by Robert Terkeltaub
Gout Urate Cryst. Depos. Dis. 2025, 3(3), 17; https://doi.org/10.3390/gucdd3030017 - 2 Sep 2025
Viewed by 1264
Abstract
Gout and calcium pyrophosphate crystal deposition disease (CPPD) are frequently associated with comorbid disorders, including coronary artery disease and osteoarthritis, in which ectopic calcification with basic calcium phosphate crystals commonly affects arteries and articular cartilage, respectively. Accepting the 2024 G-CAN Gold Medal, I [...] Read more.
Gout and calcium pyrophosphate crystal deposition disease (CPPD) are frequently associated with comorbid disorders, including coronary artery disease and osteoarthritis, in which ectopic calcification with basic calcium phosphate crystals commonly affects arteries and articular cartilage, respectively. Accepting the 2024 G-CAN Gold Medal, I review my research philosophy for translational etiopathogenesis investigation in gout and CPPD, atherosclerosis, responses to arterial injury, and osteoarthritis. Since molecular homeostasis points to pathophysiology and vice versa, I have followed selected molecular players and pathways to phenotypes. Typically, behind each disease target is another target. Illuminating passageways between etiopathogenic pathways is especially productive when using approaches beyond conventional “omics” to reveal the impact of specific post-translational protein modifications, and changes in protein conformation, complex assembly, and interactomes. Highlighting these concepts, I review my past studies on specific molecular pathways, and current perspectives for the following: (i) PPi, NPP1, ANKH, and transglutaminase 2 (TG2); (ii) relationships between NPP1, ANKH, Vanin-1 Pantetheinase, and ectopic chondrogenesis; (iii) intersections between adenosine, AMPK, CXCL8 and its receptor CXCR2, the receptor for advanced glycation endproducts (RAGE) and chondrocyte hypertrophy; (iv) lubricin homeostasis and proteolysis; (v) receptor for advanced glycation endproducts (RAGE) and TG2-catalyzed post-translational calgranulin modification; (vi) complement activation and C5b-9 assembly, and the nucleotide-bound conformation of TG2. The inescapable conclusion is that these molecular pathways tightly knit crystal arthropathy with both arterial and osteoarthritis comorbidity. Full article
Show Figures

Figure 1

14 pages, 287 KB  
Review
NET Formation Drives Tophaceous Gout
by Yuqi Wang, Jinshuo Han, Jasmin Knopf, Lingjiang Zhu, Yi Zhao, Lei Liu and Martin Herrmann
Gout Urate Cryst. Depos. Dis. 2025, 3(3), 16; https://doi.org/10.3390/gucdd3030016 - 29 Aug 2025
Viewed by 1458
Abstract
Gout is a chronic inflammatory disease characterized by the deposition of monosodium urate (MSU) crystals within joints, leading to recurrent acute flares and long-term tissue damage. While various hypotheses have been proposed to explain the self-limiting nature of acute gout attacks, we posit [...] Read more.
Gout is a chronic inflammatory disease characterized by the deposition of monosodium urate (MSU) crystals within joints, leading to recurrent acute flares and long-term tissue damage. While various hypotheses have been proposed to explain the self-limiting nature of acute gout attacks, we posit that aggregated neutrophil extracellular traps (aggNETs) play a central role in this process. This review focuses on the mechanisms underlying MSU crystal-induced formation of neutrophil extracellular traps (NETs) and explores their dual role in the clinical progression of gout. During the initial phase of acute flares, massive NET formation is accompanied by the release of preformed inflammatory mediators, which is a condition that amplifies inflammatory cascades. As neutrophil recruitment reaches a critical threshold, the NETs tend to form high-order aggregates (aggNETs). The latter encapsulate MSU crystals and further pro-inflammatory mediators within their three-dimensional scaffold. High concentrations of neutrophil serine proteases (NSPs) within the aggNETs facilitate the degradation of soluble inflammatory mediators and eventually promote the resolution of inflammation in a kind of negative inflammatory feedback loop. In advanced stages of gout, MSU crystal deposits are often visible via dual-energy computed tomography (DECT), and the formation of palpable tophi is frequently observed. Based on the mechanisms of resolution of inflammation and the clinical course of the disease, building on the traditional static model of “central crystal–peripheral fibrous encapsulation,” we have expanded the NETs component and refined the overall concept, proposing a more dynamic, multilayered, multicentric, and heterogeneous model of tophus maturation. Notably, in patients with late-stage gout, tophi exist in a stable state, referred to as “silent” tophi. However, during clinical tophus removal, the disruption of the structural or functional stability of “silent” tophi often leads to the explosive reactivation of inflammation. Considering these findings, we propose that future therapeutic strategies should focus on the precise modulation of NET dynamics, aiming to maintain immune equilibrium and prevent the recurrence of gout flares. Full article
Show Figures

Graphical abstract

24 pages, 587 KB  
Review
Uric Acid and Preeclampsia: Pathophysiological Interactions and the Emerging Role of Inflammasome Activation
by Celia Arias-Sánchez, Antonio Pérez-Olmos, Virginia Reverte, Isabel Hernández, Santiago Cuevas and María Teresa Llinás
Antioxidants 2025, 14(8), 928; https://doi.org/10.3390/antiox14080928 - 29 Jul 2025
Cited by 2 | Viewed by 3320
Abstract
Preeclampsia (PE) is a multifactorial hypertensive disorder unique to pregnancy and a leading cause of maternal and fetal morbidity and mortality worldwide. Its pathogenesis involves placental dysfunction and an exaggerated maternal inflammatory response. Uric acid (UA), traditionally regarded as a marker of renal [...] Read more.
Preeclampsia (PE) is a multifactorial hypertensive disorder unique to pregnancy and a leading cause of maternal and fetal morbidity and mortality worldwide. Its pathogenesis involves placental dysfunction and an exaggerated maternal inflammatory response. Uric acid (UA), traditionally regarded as a marker of renal impairment, is increasingly recognized as an active contributor to the development of PE. Elevated UA levels are associated with oxidative stress, endothelial dysfunction, immune activation, and reduced renal clearance. Clinically, UA is measured in the second and third trimesters to assess disease severity and guide obstetric management, with higher levels correlating with early-onset PE and adverse perinatal outcomes. Its predictive accuracy improves when combined with other clinical and biochemical markers, particularly in low-resource settings. Mechanistically, UA and its monosodium urate crystals can activate the NLRP3 inflammasome, a cytosolic multiprotein complex of the innate immune system. This activation promotes the release of IL-1β and IL-18, exacerbating placental, vascular, and renal inflammation. NLRP3 inflammasome activation has been documented in placental tissues, immune cells, and kidneys of women with PE and is associated with hypertension, proteinuria, and endothelial injury. Experimental studies indicate that targeting UA metabolism or inhibiting NLRP3 activation, using agents such as allopurinol, metformin, or MCC950, can mitigate the clinical and histopathological features of PE. These findings support the dual role of UA as both a biomarker and a potential therapeutic target in the management of the disease. Full article
Show Figures

Graphical abstract

9 pages, 441 KB  
Article
Persistence of Monosodium Urate Crystals and Calcium Pyrophosphate Crystals in Synovial Fluid Samples After Two Weeks of Storage at 4 °C and −20 °C: A Longitudinal Analysis
by Kanon Jatuworapruk, Jassdakorn Suaypring, Natrawee Ngamprasertsith and Nattawat Watcharajittanont
Gout Urate Cryst. Depos. Dis. 2025, 3(3), 12; https://doi.org/10.3390/gucdd3030012 - 3 Jul 2025
Viewed by 2422
Abstract
Objectives: Identification of monosodium urate (MSU) and calcium pyrophosphate (CPP) crystals in synovial fluid should ideally be performed within 24 h to ensure optimal diagnostic accuracy for gout and CPP arthritis. However, crystal identification is often delayed in community-based healthcare facilities due to [...] Read more.
Objectives: Identification of monosodium urate (MSU) and calcium pyrophosphate (CPP) crystals in synovial fluid should ideally be performed within 24 h to ensure optimal diagnostic accuracy for gout and CPP arthritis. However, crystal identification is often delayed in community-based healthcare facilities due to limited access to specialists or necessary equipment. This study aimed to determine whether MSU and CPP crystals remain detectable in synovial fluid after two weeks of storage at 4 °C and −20 °C. Methods: Anonymized synovial fluid samples were obtained from Thammasat University Hospital between February and March 2024. All samples underwent an initial round of crystal identification using compensated polarized light microscopy, conducted by two experienced examiners blinded to the clinical diagnosis. Following the initial analysis, each sample was divided into two equal portions and placed in ethylenediaminetetraacetic acid (EDTA)-coated tubes. One portion was stored at 4 °C, while the other was frozen at −20 °C. After two weeks, all samples underwent a second round of crystal identification. Results: Forty-nine samples were included for the first evaluation; MSU and CPP crystals were identified in 14 and 6 samples, respectively. On the second examination, MSU crystals were detectable in 13/14 (92.8%) samples stored at 4 °C and 12/14 (85.7%) samples stored at −20 °C. However, CPP crystals were detectable in 2/6 (33.3%) samples stored at both temperatures. No new crystal formation in initially negative samples was observed. Conclusion: MSU crystals remain detectable in synovial fluid for up to two weeks when stored in a standard refrigerator or freezer. However, the identification rate of CPP crystals tends to decline over this period. These findings may help inform best practices for handling synovial fluid samples in cases where immediate access to a specialist or necessary equipment is unavailable. Full article
Show Figures

Figure 1

7 pages, 349 KB  
Brief Report
Inter-Critical Gout, Not Hyperuricemia or Asymptomatic Urate Crystal Deposition, Is Associated with Systemic Inflammation
by Gabriela Sandoval-Plata, Kevin Morgan Morgan, Michael Doherty and Abhishek Abhishek
Gout Urate Cryst. Depos. Dis. 2025, 3(3), 11; https://doi.org/10.3390/gucdd3030011 - 2 Jul 2025
Viewed by 1498
Abstract
Objectives: (1) To compare cytokine levels in participants with serum urate (SU) < 360 µmol/L, SU ≥ 360 µmol/L with and without monosodium urate (MSU) crystal deposition, respectively, and inter-critical gout. (2) To explore the association of IL-1β, IL-6 and high-sensitivity (hs) CRP [...] Read more.
Objectives: (1) To compare cytokine levels in participants with serum urate (SU) < 360 µmol/L, SU ≥ 360 µmol/L with and without monosodium urate (MSU) crystal deposition, respectively, and inter-critical gout. (2) To explore the association of IL-1β, IL-6 and high-sensitivity (hs) CRP with disease duration and the frequency of self-reported gout flares. Methods: Samples and data from 184 participants from studies conducted at Academic Rheumatology, Nottingham City Hospital, were included. Serum high-sensitivity CRP and cytokines involved in the pathogenesis of gouty inflammation were measured. MANCOVA and multivariate linear regression were used, as appropriate, and were adjusted for age, sex, body mass index and self-reported comorbidities. p values were adjusted for multiple testing using a 5% false-discovery rate. Results: Participants with inter-critical gout had greater levels of IL-1β (pcorr = 0.009), IL-18 (pcorr = 0.02), IL-6 (pcorr < 0.0001), IP-10 (pcorr < 0.0001), TNF-α (pcorr < 0.0001), GRO-α (pcorr = 0.0006) and hsCRP (pcorr = 0.009) compared to other groups in multivariate analyses and after correcting for multiple testing. There were no differences in cytokine and hsCRP levels in participants with SU < 360 µmol/L and in participants with SU ≥ 360 µmol/L with or without MSU crystal deposition. There was a statistically non-significant trend for association between IL-6 levels and number of self-reported gout flares. Conclusions: Our findings suggest that gout is a chronic inflammatory condition. The pre-clinical phases of gout were not associated with systemic inflammation, potentially due to the modest sample size. Further research is required to understand whether treating gout by targeting the complete dissolution of MSU crystals would reduce systemic inflammation in inter-critical gout. Full article
Show Figures

Figure 1

23 pages, 1670 KB  
Review
Could Sodium-Glucose Co-Transporter-2 Inhibitors and Glucagon-like Peptide-1 Receptor Agonists Play a Role in Gout Treatment?
by Dan Kaufmann and Naomi Schlesinger
Pharmaceutics 2025, 17(7), 865; https://doi.org/10.3390/pharmaceutics17070865 - 30 Jun 2025
Viewed by 2253
Abstract
Gout, a metabolic and autoinflammatory disease, is the most common form of inflammatory arthritis worldwide. Hyperuricemia may result in monosodium urate (MSU) crystals forming and depositing in joints and surrounding tissues, triggering an autoinflammatory response. Effective urate-lowering therapies, as well as anti-inflammatory medications, [...] Read more.
Gout, a metabolic and autoinflammatory disease, is the most common form of inflammatory arthritis worldwide. Hyperuricemia may result in monosodium urate (MSU) crystals forming and depositing in joints and surrounding tissues, triggering an autoinflammatory response. Effective urate-lowering therapies, as well as anti-inflammatory medications, are used to treat gout. Over the past few decades, new antihyperglycemic drug classes with different modes of action have been added to treat hyperglycemia in type 2 diabetes mellitus (T2DM). Two of these drug classes, sodium–glucose co-transporter-2 (SGLT2) inhibitors and glucagon-like peptide-1 (GLP-1) receptor agonists (RAs), have reduced cardiovascular and renal events and mortality. Several clinical studies have demonstrated that SGLT2 inhibitors possess urate-lowering properties, which may be beneficial for treating gout patients, particularly those with comorbid T2DM. Regarding SGLT2 inhibitors, some researchers have suggested that their benefits are partly explained by their ability to reduce serum urate (SU) levels, probably through increased urinary uric acid excretion. The effect of GLP-1 RA on SU levels and urinary excretion of uric acid in humans is unclear. This paper reviews the mechanisms of action of SGLT2 inhibitors and GLP-1RA, both approved and in development. Additionally, it examines what is known about their structure–activity relationships, uricosuric effects, pharmacokinetic profiles, and adverse effects. Full article
(This article belongs to the Special Issue Recent Advances in Inhibitors for Targeted Therapies)
Show Figures

Figure 1

11 pages, 1135 KB  
Article
Pharmacokinetics and Ex Vivo Activity of 7-Methylxanthine, an Inhibitor of Monosodium Urate Crystallization
by Miguel D. Ferrer, Jaume Dietrich, Bernat Isern, Maria del Mar Pérez-Ferrer, Joan Albertí, Félix Grases and Antònia Costa-Bauzà
Biomedicines 2025, 13(6), 1411; https://doi.org/10.3390/biomedicines13061411 - 9 Jun 2025
Viewed by 1654
Abstract
Background/Objectives: 7-Methylxanthine (7-MX) is a naturally occurring metabolite of caffeine and theobromine that can inhibit the crystallization of monosodium urate (MSU) and may be useful for the prevention or treatment of gout. However, the pharmacokinetics and ex vivo activity of 7-MX remain poorly [...] Read more.
Background/Objectives: 7-Methylxanthine (7-MX) is a naturally occurring metabolite of caffeine and theobromine that can inhibit the crystallization of monosodium urate (MSU) and may be useful for the prevention or treatment of gout. However, the pharmacokinetics and ex vivo activity of 7-MX remain poorly characterized. Methods: The present study assessed the pharmacokinetics of 7-MX in Sprague Dawley rats following a single oral dose (30 mg/kg), and the ex vivo inhibition of MSU crystallization by 7-MX in rat plasma after the repeated administration of oral 7-MX. Results: The pharmacokinetic analysis showed that 7-MX reached peak plasma concentration (Cmax ≈ 30 µM) at 30 min after administration (tmax), the terminal half-life was approximately 1.4 h, and there was no evidence of accumulation after repeated daily dosing. After repeated administration, the relationship between dose (30 or 60 mg/kg) and plasma concentration was proportional. In vitro and ex vivo crystallization assays demonstrated that 7-MX inhibited MSU crystallization in a concentration-dependent manner. The in vitro studies showed that 100 µM 7-MX inhibited up to 74% of MSU crystallization under supersaturated conditions (400 mg/L urate). The ex vivo experiments indicated that plasma from rats that received 30 or 60 mg/kg of 7-MX had 41.4% and 52.6% inhibition of crystallization, consistent with the measured plasma concentrations. Conclusions: These findings confirm that oral administration of 7-MX to rats led to a plasma level that was sufficient to decrease MSU crystallization in plasma, and there were no observable toxicities. These results support the potential of 7-MX as a safe oral treatment for gout, especially in combination with urate-lowering therapies, such as allopurinol. Further clinical investigations are warranted to confirm the therapeutic potential of 7-MX in humans. Full article
(This article belongs to the Special Issue Pathogenesis, Diagnostics, and Therapeutics for Rheumatic Diseases)
Show Figures

Figure 1

15 pages, 1680 KB  
Article
The Missing Structures of Pasteur’s Aspartates
by Damian J. C. Kersten and Martin Lutz
Crystals 2025, 15(6), 521; https://doi.org/10.3390/cryst15060521 - 29 May 2025
Viewed by 903
Abstract
In his crystallographic research on chiral separation, Louis Pasteur reported the crystals of the sodium salts of enantiopure and racemic aspartic acid. Their atomic structure remained unknown to this day. In the present article, the two crystal structures are reported. The X-ray diffraction [...] Read more.
In his crystallographic research on chiral separation, Louis Pasteur reported the crystals of the sodium salts of enantiopure and racemic aspartic acid. Their atomic structure remained unknown to this day. In the present article, the two crystal structures are reported. The X-ray diffraction of both crystals was severely affected by twinning. Their crystal packing is very similar and can be described as a three-dimensional coordination network. A decomposition of the structures into layers helps to explain the twinning as stacking faults. In the enantiopure crystal, the layers are parallel to (0,1,0) and in the racemic crystal parallel to (0,0,1). The sum formula of the two crystal structures is identical, representing the monohydrate of the monosodium aspartate. Full article
(This article belongs to the Section Organic Crystalline Materials)
Show Figures

Figure 1

13 pages, 2055 KB  
Article
Guava (Psidium guajava) Fruit Extract Ameliorates Monosodium Urate-Induced Inflammatory Response
by Hsiu-Man Lien, Chao-Lu Huang, Chih-Ho Lai, Chia-Chang Chen, Shiau-Huei Huang, Chin-Jui Tseng and Charng-Cherng Chyau
Chemistry 2025, 7(3), 73; https://doi.org/10.3390/chemistry7030073 - 1 May 2025
Cited by 1 | Viewed by 1895
Abstract
Hyperuricemia, induced by monosodium urate (MSU) crystals that accumulate in articular joints and periarticular soft tissues, can impair macrophages. Possible causes of macrophage injury include uric acid-induced oxidative stress or inflammation. This study examined the dried fruits of guava (DFG) as a complementary [...] Read more.
Hyperuricemia, induced by monosodium urate (MSU) crystals that accumulate in articular joints and periarticular soft tissues, can impair macrophages. Possible causes of macrophage injury include uric acid-induced oxidative stress or inflammation. This study examined the dried fruits of guava (DFG) as a complementary medicine with urate-lowering properties, utilizing THP-1 macrophages to determine if high uric acid-induced cellular damage could be mitigated through the reduction of oxidative stress and inflammation via treatment with a phytochemical extract. The active extract was prescreened using a xanthine oxidase (XO) inhibition assay coupled with fractionation and component analysis. The DFG extracts were used to identify, through an in vitro study of THP-1 cells. The results indicated that the DFG extracts with the highest total flavonoids (12.08 ± 0.81 mg/g DW) exhibited the XO inhibition activity. High-performance liquid chromatography–tandem mass spectrometry analysis showed that DFG extract contained 85.32% flavonoids, including quercetin and kaempferol derivatives. Furthermore, fractionation results of DFG extracts indicated a significant reduction in MSU-induced cytotoxicity in THP-1 cells obtained from the 75% ethanol-eluted fraction (Fr-75). Additionally, kaempferol, an active compound in Fr-75, effectively mitigated MSU-induced NF-κB and NLRP3 gene overexpression. These findings suggest that the prepared Fr-75 is a promising hyperuricemia therapeutic candidate. Full article
(This article belongs to the Section Food Science)
Show Figures

Figure 1

Back to TopTop