Sign in to use this feature.

Years

Between: -

Subjects

remove_circle_outline
remove_circle_outline
remove_circle_outline
remove_circle_outline
remove_circle_outline
remove_circle_outline
remove_circle_outline
remove_circle_outline
remove_circle_outline

Journals

Article Types

Countries / Regions

Search Results (71)

Search Parameters:
Keywords = mold temperature evolution

Order results
Result details
Results per page
Select all
Export citation of selected articles as:
13 pages, 5040 KB  
Article
Study on the Fabrication and Dynamic Performance of Polypropylene Fiber Laminates with Built-In Heat Source
by Fuwei Gu, Hu Xiao, Zhiyang Chen, Xinpeng Li and Kang Su
Processes 2026, 14(4), 716; https://doi.org/10.3390/pr14040716 - 21 Feb 2026
Viewed by 187
Abstract
To investigate the dynamic behavior of smart composite structures with embedded heat sources over a wide temperature range, this study employed thermoplastic polypropylene as the matrix, combined with glass/carbon fiber prepregs and Ni80Cr20 alloy heating wires, and fabricated functional laminated specimens with integrated [...] Read more.
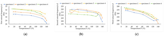
To investigate the dynamic behavior of smart composite structures with embedded heat sources over a wide temperature range, this study employed thermoplastic polypropylene as the matrix, combined with glass/carbon fiber prepregs and Ni80Cr20 alloy heating wires, and fabricated functional laminated specimens with integrated heating elements via a prepreg molding process. Using a self-developed variable-temperature cantilever beam vibration testing system, the evolution of natural frequencies and damping ratios from room temperature to 140 °C was systematically examined. Results indicate that temperature-induced thermal softening of the polypropylene matrix reduces the effective bending stiffness of the composites, leading to a decline in natural frequencies across all modes. For example, the first-order natural frequency of the sample decreased from approximately 30.8 Hz at room temperature to about 28.3 Hz at 140 °C, representing a reduction of approximately 8.12%. The second-order reduction reached about 8.99%, and the third-order reduction was approximately 9.65%. Carbon fiber-reinforced specimens exhibited relatively smaller frequency reductions due to the high modulus of the fibers. Concurrently, elevated temperatures enhance molecular chain mobility and interfacial viscoelastic dissipation at the fiber–matrix interface, causing a sharp increase in damping ratios at high temperatures (>100 °C). For instance, the damping ratio of the first-order mode increased significantly from approximately 1.02% at room temperature to about 2.9% at 140 °C. By comparatively analyzing carbon fiber and glass fiber systems, the study elucidated the distinct mechanisms underlying the “fiber-dominated” stiffness retention effect and the “resin/interface-dominated” damping dissipation effect under thermal influence. These findings provide critical experimental data and theoretical references for the active thermal regulation of structural performance in thermoplastic composite structures with integrated heat sources, thereby mitigating damage caused by external disturbances. Full article
(This article belongs to the Section Materials Processes)
Show Figures

Figure 1

19 pages, 2842 KB  
Article
Integrating Experimental Crystallization Kinetics into Autodesk Moldflow: Validation and Crystallinity Prediction for iPP and POM
by Vito Speranza, Valentina Volpe, Rita Salomone and Roberto Pantani
Polymers 2026, 18(4), 482; https://doi.org/10.3390/polym18040482 - 14 Feb 2026
Viewed by 263
Abstract
An accurate prediction of the final properties of injection-molded semi-crystalline parts requires models that capture crystallization kinetics during processing. This work presents two practical strategies to incorporate experimentally derived crystallization behaviors into Autodesk Moldflow, addressing cases where kinetics differ from the software’s native [...] Read more.
An accurate prediction of the final properties of injection-molded semi-crystalline parts requires models that capture crystallization kinetics during processing. This work presents two practical strategies to incorporate experimentally derived crystallization behaviors into Autodesk Moldflow, addressing cases where kinetics differ from the software’s native Avrami–Hoffman–Lauritzen formulation. We apply these methods to isotactic polypropylene (iPP T30G) displaying heterogeneous nucleation with a low-temperature plateau, and to polyoxymethylene (POM) exhibiting combined heterogeneous and homogeneous nucleation. The parameters for Moldflow were obtained by matching isothermal half-crystallization times (t0.5) and by tuning flow-induced nucleation terms. Validation against isothermal and non-isothermal injection tests shows agreement between calculated and expected crystallinity evolution and reproduces measured spherulite diameters. Full article
Show Figures

Graphical abstract

26 pages, 8811 KB  
Article
Influence of Vibration-Assisted Dynamic Solidification on Microstructure and Mechanical Properties of Permanent Mold Cast Aluminum Alloy 2024 with Conformal Cooling
by Muhammad Waqas Ali Khan, Rauf Ahmad, Syed Masood Arif Bukhari, Muhammad Sultan, Naveed Husnain, Muhammad Tuoqeer Anwar, Umer Bin Nooman, Hassan Raza, Abid Latif, Sajjad Ahmad and Khurram Hasnain Bukhari
J. Manuf. Mater. Process. 2025, 9(12), 416; https://doi.org/10.3390/jmmp9120416 - 18 Dec 2025
Viewed by 530
Abstract
Aluminum alloy 2024 (AA2024) is widely used in the aerospace sector, where a fine, uniform, and equiaxed grain structure is crucial for achieving enhanced mechanical properties. This study examines the effect of dynamic solidification, assisted by mechanical vibrations and conformal cooling, on the [...] Read more.
Aluminum alloy 2024 (AA2024) is widely used in the aerospace sector, where a fine, uniform, and equiaxed grain structure is crucial for achieving enhanced mechanical properties. This study examines the effect of dynamic solidification, assisted by mechanical vibrations and conformal cooling, on the microstructural evolution and mechanical properties of permanent mold-cast AA2024. Mechanical vibrations were applied during solidification in the frequency range of 15–45 Hz and acceleration of 0.5–1.5 g. Process parameters, including pouring temperature, die temperature, vibration frequency, and acceleration, were optimized using an L9 orthogonal array based on the Taguchi method. Analysis of variance (ANOVA) was performed to determine the significance of the aforementioned process parameters. In addition, the alloy’s microstructure was observed through a microscope, which revealed a transition from dendritic to non-dendritic microstructure due to dynamic solidification. The average grain size of the alloy was significantly reduced by 40.9%. Moreover, the values of hardness and Ultimate Tensile Strength (UTS) of the alloy were improved by 13.5% and 10.6%, respectively. Optimal results were obtained at a pouring temperature of 750 °C, die temperature of 150 °C, frequency of 45 Hz, and acceleration of 1.0 g. Moreover, uncertainty analysis for all three responses was also performed. Full article
Show Figures

Graphical abstract

17 pages, 2859 KB  
Article
Investigation of Processing Conditions and Product Geometry in Out-Mold Decoration and Their Effects on Film Adhesion and Deformation
by Hui-Li Chen, Po-Wei Huang, Sheng-Hsun Hsu and Jhong-Sian Wu
Polymers 2025, 17(24), 3239; https://doi.org/10.3390/polym17243239 - 5 Dec 2025
Viewed by 443
Abstract
The growing demand for high-quality decorative polymer surfaces has increased interest in Out Mold Decoration (OMD), yet the combined influence of processing conditions and product geometry on film adhesion and deformation remains insufficiently defined. This study establishes an integrated framework that connects OMD [...] Read more.
The growing demand for high-quality decorative polymer surfaces has increased interest in Out Mold Decoration (OMD), yet the combined influence of processing conditions and product geometry on film adhesion and deformation remains insufficiently defined. This study establishes an integrated framework that connects OMD process parameters with geometry-dependent deformation behavior using polycarbonate films printed with an ink grid. Adhesion and surface quality were evaluated using 2.5D specimens, while 3D models with varied fillet radii, slopes, and heights enabled quantitative assessment of grid-spacing evolution and thickness distribution. Results show that preheating smooths the film without improving adhesion, whereas increasing the forming environment temperature enhances both bonding and surface quality within the material’s thermal tolerance. Vacuum pressure strengthens film–substrate contact but requires moderation to prevent overstretching. An optimized condition of 100 °C preheating, 90 °C forming temperature, and 2.5 kg vacuum pressure provides a balanced performance. Geometric factors exert strong control over deformation, with small radii, steep slopes, and tall features producing greater strain and nonuniform thinning. These findings establish practical processing windows and geometry guidelines for achieving reliable OMD components that integrate high visual quality with stable adhesion performance. Full article
(This article belongs to the Special Issue Advances in Polymer Processing Technologies: Injection Molding)
Show Figures

Figure 1

17 pages, 3850 KB  
Article
Effect of Cryogenic Treatment on Microstructural Evolution and Tribological Properties of Ni-Co-Cr/SiC Nanocomposite Coatings
by Xinyi Yuan, Rongcheng Sheng, Yizhe Du, Dengfu Chen, Mujun Long and Huamei Duan
Metals 2025, 15(12), 1320; https://doi.org/10.3390/met15121320 - 29 Nov 2025
Viewed by 465
Abstract
To address the demands of modern high-speed and high-quality continuous casting production, depositing high-performance coatings on the surface of mold copper plates is critically important for extending the service life of continuous casting molds. To this end, a Ni-Co-Cr/SiC nanocomposite coating was developed, [...] Read more.
To address the demands of modern high-speed and high-quality continuous casting production, depositing high-performance coatings on the surface of mold copper plates is critically important for extending the service life of continuous casting molds. To this end, a Ni-Co-Cr/SiC nanocomposite coating was developed, and cryogenic treatment was applied to further improve its hardness and wear resistance. This work systematically investigates the microstructural evolution and performance enhancement of the Ni-Co-Cr/SiC nanocomposite coating under different cryogenic treatment parameters, with special emphasis on the effects of treatment temperature on the coating’s microstructure, hardness, wear resistance, and adhesion to the substrate. The results demonstrate that decreasing the cryogenic treatment temperature and extending the holding time effectively refine the grains of the coating while simultaneously promoting the accumulation of microstrain and dislocation density. These changes lead to significant improvements in hardness, wear resistance, and interfacial bonding performance. Specifically, after direct immersion at −196 °C for 16 h, the coating reached a hardness value of 946.5 HV, and the wear rate was reduced to 0.032 mm3·(N·m)−1, representing only 54.6% of that of the untreated coating. The dominant wear mechanism transitioned to a mixed mode of abrasive wear and oxidative wear. Moreover, the cryogenic treatment enhanced the stability of the coating-substrate adhesion. Full article
(This article belongs to the Special Issue Surface Treatments and Coating of Metallic Materials)
Show Figures

Figure 1

12 pages, 5179 KB  
Article
Effect of the Cooling Rate on the Solidification Structure and Phase of a 2:17 Samarium–Cobalt Alloy
by Zhi Zhu, Yikun Fang, Wei Wu and Bo Zhao
Alloys 2025, 4(4), 23; https://doi.org/10.3390/alloys4040023 - 21 Oct 2025
Cited by 1 | Viewed by 666
Abstract
Understanding the way samarium–cobalt alloys solidify at varying cooling rates and the regularities in alloying element distribution is crucial for optimizing subsequent homogenization and annealing processes, leading to an enhancement in the overall quality of the product. The study investigates the effects of [...] Read more.
Understanding the way samarium–cobalt alloys solidify at varying cooling rates and the regularities in alloying element distribution is crucial for optimizing subsequent homogenization and annealing processes, leading to an enhancement in the overall quality of the product. The study investigates the effects of rapid water-cooled copper mold (600 °C/min), medium-speed copper mold (100 °C/min), and slow furnace cooling (10 °C/min) on the microstructural evolution, element distribution, and phase transformation of samarium–cobalt (Sm-Co) alloys. The results of the research show that the phase transition temperatures obtained via differential scanning calorimetry (DSC) closely matched those observed in situ by high-temperature laser scanning confocal microscopy (HT-LSCM). Higher cooling rates resulted in notable dendritic refinement and reduced precipitate size. Elemental analysis revealed that Co and Fe exhibited negative segregation, whereas Sm, Cu, and Zr showed positive segregation, with segregation intensity increasing alongside the cooling rate. The principal phases identified included Cu-rich and Zr-rich constituents, the matrix phase, and a gray phase morphologically distinct from the matrix. These correspond to the (Sm, Co, Fe, Cu, Zr)5 phase, (Sm, Zr)(Co, Fe, Cu)3 phase, Sm2(Co, Fe, Cu, Zr)17 phase, and Sm(Co, Fe, Cu, Zr)7 phase. The phase constitution remained consistent across different cooling rates. Full article
Show Figures

Figure 1

20 pages, 3654 KB  
Article
Simulation Analysis of Temperature Change in FDM Process Based on ANSYS APDL and Birth–Death Element Technology
by Yuehua Mi and Seyed Hamed Hashemi Sohi
Micromachines 2025, 16(10), 1181; https://doi.org/10.3390/mi16101181 - 19 Oct 2025
Cited by 1 | Viewed by 1703
Abstract
During the Fused Deposition Modeling (FDM) molding process, temperature changes are nonlinear and instantaneous, which is a key parameter affecting FDM printing efficiency, molding accuracy, warpage deformation, and other factors. This study presents a finite element simulation framework that integrates ANSYS Parametric Design [...] Read more.
During the Fused Deposition Modeling (FDM) molding process, temperature changes are nonlinear and instantaneous, which is a key parameter affecting FDM printing efficiency, molding accuracy, warpage deformation, and other factors. This study presents a finite element simulation framework that integrates ANSYS Parametric Design Language (APDL) with birth–death element technology to investigate the temperature evolution and thermomechanical behavior during the FDM process. The framework enables dynamic simulation of the complete printing and cooling cycle, capturing the layer-by-layer material deposition and subsequent thermal history. Results indicate that temperature distribution follows a gradient pattern along the printing path, with rapid heat dissipation at the periphery and heat accumulation in the central regions. Thermomechanical coupling analysis reveals significant stress concentration at the part bottom (310 MPa) and progressive strain increase from bottom (3.68 × 10−5 m) to top (2.95 × 10−4 m). Experimental validation demonstrates strong agreement with numerical predictions, showing maximum temperature deviations below 8% and strain distribution errors within 5%. This integrated approach provides an effective tool for predicting thermal-induced deformations and optimizing FDM process parameters to enhance part quality. Full article
(This article belongs to the Section D3: 3D Printing and Additive Manufacturing)
Show Figures

Figure 1

18 pages, 7555 KB  
Article
Considering γ’ and Dislocation in Constitutive Modeling of Hot Compression Behavior of Nickel-Based Powder Superalloy
by Liwei Xie, Jinhe Shi, Jiayu Liang, Dechong Li, Lei Zhao, Qian Bai, Kailun Zheng and Yaping Wang
Materials 2025, 18(20), 4680; https://doi.org/10.3390/ma18204680 - 12 Oct 2025
Viewed by 869
Abstract
The deformation mechanism during the hot compression of PM nickel-based superalloy FGH99 and its micro-structural evolution, especially the evolution of γ’ phases, are the key factors affecting the final molding quality of aero-engine hot forged turbine disks. In this study, a new constitutive [...] Read more.
The deformation mechanism during the hot compression of PM nickel-based superalloy FGH99 and its micro-structural evolution, especially the evolution of γ’ phases, are the key factors affecting the final molding quality of aero-engine hot forged turbine disks. In this study, a new constitutive model of viscoplasticity with micro-structures as physical internal parameters were developed to simulate the hot compression behavior of FGH99 by incorporating the strengthening effect of the γ’ phase. The mechanical behavior of high-temperature (>1000 K) compressive deformation of typical superalloys under a wide strain rate (0.001~1 s−1) is investigated using the Gleeble thermal-force dynamic simulation tester. The micro-structure after the hot deformation was characterized using EBSD and TEM. Work hardening as well as dynamic softening were observed in the hot compression tests. Based on the mechanical responses and micro-structural features, the model considered the coupled effects of dislocation density, DRX, and γ’ phase during hot flow. The model is programmed into a user subroutine based on the Fortran language and called in the simulation of the DEFORM-3D V6.1 software, thus realizing the multiscale predictive simulation of FGH99 alloy by combining macroscopic deformation and micro-structural evolution. The established viscoplastic constitutive model shows a peak discrepancy of 10.05% between its predicted hot flow stresses and the experimental values. For the average grain size of FGH99, predictions exhibit an error below 7.20%. These results demonstrate the high accuracy of the viscoplastic constitutive model developed in this study. Full article
Show Figures

Figure 1

24 pages, 4205 KB  
Article
Mechanism and Data-Driven Grain Condition Information Perception Method for Comprehensive Grain Storage Monitoring
by Yunshandan Wu, Ji Zhang, Xinze Li, Yaqiu Zhang, Wenfu Wu and Yan Xu
Foods 2025, 14(19), 3426; https://doi.org/10.3390/foods14193426 - 5 Oct 2025
Viewed by 921
Abstract
Conventional grain monitoring systems often rely on isolated data points (e.g., point-based temperature measurements), limiting holistic condition assessment. This study proposes a novel Mechanism and Data Driven (MDD) framework that integrates physical mechanisms with real-time sensor data. The framework quantitatively analyzes solar radiation [...] Read more.
Conventional grain monitoring systems often rely on isolated data points (e.g., point-based temperature measurements), limiting holistic condition assessment. This study proposes a novel Mechanism and Data Driven (MDD) framework that integrates physical mechanisms with real-time sensor data. The framework quantitatively analyzes solar radiation and external air temperature effects on silo boundaries and introduces a novel interpolation-optimized model parameter initialization technique to enable comprehensive grain condition perception. Rigorous multidimensional validation confirms the method’s accuracy: The novel initialization technique achieved high precision, demonstrating only 1.89% error in Day-2 low-temperature zone predictions (27.02 m2 measured vs. 26.52 m2 simulated). Temperature fields were accurately reconstructed (≤0.5 °C deviation in YOZ planes), capturing spatiotemporal dynamics with ≤0.45 m2 maximum low-temperature zone deviation. Cloud map comparisons showed superior simulation fidelity (SSIM > 0.97). Further analysis revealed a 22.97% reduction in total low-temperature zone area (XOZ plane), with Zone 1 (near south exterior wall) declining 27.64%, Zone 2 (center) 25.30%, and Zone 3 20.35%. For dynamic evolution patterns, high-temperature zones exhibit low moisture (<14%), while low-temperature zones retain elevated moisture (>14%). A strong positive correlation between temperature and relative humidity fields; temperature homogenization drives humidity uniformity. The framework enables holistic monitoring, providing actionable insights for smart ventilation control, condensation risk warnings, and mold prevention. It establishes a robust foundation for intelligent grain storage management, ultimately reducing post-harvest losses. Full article
Show Figures

Figure 1

23 pages, 15884 KB  
Article
Controlling Residual Stress and Microstructure Distribution in an Invar Alloy Joint Fabricated by Oscillating Laser Welding
by Yi Jiang, Xing Liu, Suming Chen, Kun Zhou, Yanqiu Zhao and Xiaohong Zhan
Materials 2025, 18(17), 4099; https://doi.org/10.3390/ma18174099 - 1 Sep 2025
Viewed by 997
Abstract
The efficient and high-quality welding for joining Invar alloy parts is imperative for the fabrication of composite material forming molds. The residual stress distributions and microstructural evolution during oscillating welding of Invar alloy remain inadequately characterized in the current literature, necessitating further comprehensive [...] Read more.
The efficient and high-quality welding for joining Invar alloy parts is imperative for the fabrication of composite material forming molds. The residual stress distributions and microstructural evolution during oscillating welding of Invar alloy remain inadequately characterized in the current literature, necessitating further comprehensive investigation. In this paper, laser oscillating welding with circle mode is carried out for 5 mm thick plates of Invar alloy. A finite element model for the laser oscillation welding process of Invar alloy has been established. The numerical simulations and experimental methodologies are synthetically carried out to investigate the influence of oscillating parameters on temperature field, residual stress field, and microstructure characteristics. Furthermore, the microstructural evolution of laser oscillating-welded Invar alloy is elucidated by correlating it with the characteristic distribution of the temperature field. Simulation results showed that the residual stress significantly decreases under the action of the oscillating laser. The increasing of the oscillation frequency and amplitude results in a more uniform distribution of the residual stress, and the stress peak shows a downward trend. It is indicated that the oscillation of the beam resulted in the formation of numerous fragmented fine crystals within the weld seam. Consequently, the tensile strength and elongation of the oscillating welded joint exhibit respective enhancements of 15.0% and 36.6% compared to the non-oscillating condition. Full article
(This article belongs to the Special Issue Advanced Laser Welding Technology of Metallic Materials)
Show Figures

Figure 1

12 pages, 3093 KB  
Article
Deformation Behavior of Ti48Zr18V12Cu5Be17 Semi-Solid Amorphous Composites
by Xinhua Huang, Junnan Li, Guang Wang, Bin Chen, Chenhao Wei and Yuejun Ouyang
Crystals 2025, 15(9), 749; https://doi.org/10.3390/cryst15090749 - 23 Aug 2025
Viewed by 679
Abstract
In the light of increasing research into amorphous composites and their applications, as-cast specimens of multicomponent Ti48Zr18V12Cu5Be17 amorphous composites were prepared via water-cooled copper mold suction casting. Subsequently, the as-cast specimens were subjected to [...] Read more.
In the light of increasing research into amorphous composites and their applications, as-cast specimens of multicomponent Ti48Zr18V12Cu5Be17 amorphous composites were prepared via water-cooled copper mold suction casting. Subsequently, the as-cast specimens were subjected to semi-solid isothermal treatment to obtain semi-solid specimens. Taking the semi-solid specimens as the research object, room temperature compressive deformation behavior was investigated by analyzing the shear band characteristics on the side surfaces of the compressed specimens. The evolution of shear bands at various stages of plastic deformation was investigated via scanning electron microscopy (SEM). Additionally, significant work hardening was observed after yielding. Surface deformation morphologies indicate that the work-hardening behavior is associated with plastic deformation, interactions between shear bands, and interactions between shear bands and β-Ti crystals. Experiments have demonstrated that at a specific deformation extent, shear bands preferentially initiate at the crystal–amorphous matrix interface. In the final stage of plastic deformation, shear bands propagate through work-hardened β-Ti crystals into the amorphous matrix, with their propagation retarded by the β-Ti crystals. When shear bands in the amorphous matrix are obstructed by β-Ti crystals and can no longer propagate, some evolve into cracks. These cracks then propagate exponentially, leading to eventual fracturing of the specimens and termination of plastic deformation. The research findings provide a theoretical basis for analyzing the deformation capacities of various amorphous composites. Full article
Show Figures

Figure 1

19 pages, 5661 KB  
Article
Coupled Temperature–Flow Field and Microstructure Numerical Simulation of the Solidification Process for Cu-3Ti-0.2Fe Alloy
by Jiangwei Hu, Qingjuan Wang, Kuaishe Wang, Wen Wang, Fengming Qiang and Longxin Li
Materials 2025, 18(11), 2478; https://doi.org/10.3390/ma18112478 - 25 May 2025
Cited by 2 | Viewed by 945
Abstract
This work investigates the time-dependent changes in temperature, flow, and solidification microstructure under various cooling conditions. The mechanism of the effects of different pouring temperatures on the morphology and evolution of the solidification microstructure is explored. During gradual cooling, the temperature distribution remained [...] Read more.
This work investigates the time-dependent changes in temperature, flow, and solidification microstructure under various cooling conditions. The mechanism of the effects of different pouring temperatures on the morphology and evolution of the solidification microstructure is explored. During gradual cooling, the temperature distribution remained consistent and the solid–liquid interface extended to its furthest extent. In contrast, water cooling generated the most pronounced temperature gradient at the solidification front, which was conducive to the development of columnar grains. Specifically, the maximum solidification rates at the center of the casting under the water-cooled copper mold, copper mold, and ceramic mold conditions were 2.71 mm/s, 1.45 mm/s, and 0.95 mm/s, respectively, with water cooling achieving the fastest rate. In the early stages of solidification, the flow velocity at the casting center was relatively high, and during slow cooling, the molten material tended to flow toward the surface. When air cooling was applied, the molten material at the center migrated outward, while under water cooling, the fluid moved in an upward direction. At a heat transfer coefficient of 100 W/(m2·K), the alloy primarily formed equiaxed grains; however, at 5000 W/(m2·K), the proportion of columnar grains increased significantly, and the average grain area expanded from 3.664 × 10−6 m2 to 4.441 × 10−6 m2. Additionally, as the pouring temperature increased from 1100 °C to 1200 °C, the number of grains decreased, while the average radius grew from 1.665 × 10−3 m to 1.820 × 10−3 m, resulting in a reduced fraction of equiaxed grains. This study provides valuable theoretical insights for optimizing the solidification process of this particular alloy. Full article
(This article belongs to the Section Materials Simulation and Design)
Show Figures

Figure 1

30 pages, 9711 KB  
Article
A Hybrid Artificial Neural Network Approach for Modeling the Behavior of Polyethylene Terephthalate (PET) Under Conditions Applicable to Stretch Blow Molding
by Fei Teng, Gary Menary, Shiyong Yan, James Nixon and John Boyet Stevens
Polymers 2025, 17(8), 1067; https://doi.org/10.3390/polym17081067 - 15 Apr 2025
Cited by 1 | Viewed by 880
Abstract
Stretch blow molding (SBM) is widely utilized in industrial applications, yet the deformation characteristics of materials during this process are intricate and challenging to precisely articulate. To accurately forecast the stress–strain response of polyethylene terephthalate (PET) in SBM, a hybrid Artificial Neural Network [...] Read more.
Stretch blow molding (SBM) is widely utilized in industrial applications, yet the deformation characteristics of materials during this process are intricate and challenging to precisely articulate. To accurately forecast the stress–strain response of polyethylene terephthalate (PET) in SBM, a hybrid Artificial Neural Network (ANN)-based constitutive model has been developed. The model has been created by combining a physical-based function for capturing the small-strain behavior in parallel with an ANN-based model for capturing the temperature-dependent large-strain nonlinear viscoelastic behavior. The architecture of the ANN has been designed to ensure stability in a load-controlled scenario, thus making it suitable for use in FEA simulations of stretch blow molding. Data for training the model have been generated by a new semi-automatic experimental rig which is able to produce 850 stress–strain curves over a wide range of process conditions (temperature range 95–115 °C and strain rates ranging from 1/s to 100/s) directly from blowing preforms using a combination of high-speed video, digital image correlation and sensors for pressure and force. The model has already been implemented in the commercial FEA package Abaqus via a VUMAT subroutine, with its performance validated by comparing the prediction of the evolution of preform shape during blowing vs. high-speed images. In conclusion, the developed hybrid ANN model, when integrated into Abaqus, offers a more accurate simulation of SBM processes, contributing to improved design efficiency and product quality. Full article
Show Figures

Figure 1

19 pages, 8725 KB  
Article
Force Feedback Method for Statically Indeterminate Steel Structure Construction Based on Staged Temperature Measurement
by Wei Lu, Xianwei Fang, Liming Liu, Chunfeng Ao, Weihua Hu, Jun Teng and Zhongcheng Huo
Sensors 2024, 24(24), 8073; https://doi.org/10.3390/s24248073 - 18 Dec 2024
Cited by 1 | Viewed by 977
Abstract
Structural design usually adopts uniform temperature action. However, during the actual construction of the structure, the temperature field acting on the structure is inhomogeneous. Therefore, the simulation of the construction of statically indeterminate steel structures considering only the uniform temperature field cannot truly [...] Read more.
Structural design usually adopts uniform temperature action. However, during the actual construction of the structure, the temperature field acting on the structure is inhomogeneous. Therefore, the simulation of the construction of statically indeterminate steel structures considering only the uniform temperature field cannot truly reflect the temperature action after structural molding and the evolution of the stress performance of the temporary stress system of structural construction. This paper proposes a force feedback method for the construction of statically indeterminate steel structures based on staged temperature measurements. In this method, the construction sequence and the measured temperature are taken into account, and the structural response under the action of temperature is obtained by using the first processing method in the matrix displacement method and the deformation coordination formula to obtain the deformation and stress values of the structure. The application results show that the structural forces calculated by the method proposed in this paper are closer to the measured data in the field, and the error is reduced by 10~40%. This paper provides a reference for the calculation of construction forces in statically indeterminate steel structures considering the effect of temperature inhomogeneity and provides a basis for construction safety assessment and schedule management. Full article
(This article belongs to the Section Physical Sensors)
Show Figures

Figure 1

15 pages, 6274 KB  
Article
New Refined Experimental Analysis of Fungal Growth in Degraded Bio-Based Materials
by Dmytro Kosiachevskyi, Kamilia Abahri, Isabelle Trinsoutrot-Gattin, Lisa Castel, Anne Daubresse, Mohend Chaouche and Rachid Bennacer
Processes 2024, 12(10), 2188; https://doi.org/10.3390/pr12102188 - 9 Oct 2024
Viewed by 1501
Abstract
When exposed to different building environmental conditions, bio-composite materials, such as hemp mortars, represent a risk of mold proliferation. This later plays a critical role in the biodeterioration of the materials when their physical properties are locally modified by the natural aging process. [...] Read more.
When exposed to different building environmental conditions, bio-composite materials, such as hemp mortars, represent a risk of mold proliferation. This later plays a critical role in the biodeterioration of the materials when their physical properties are locally modified by the natural aging process. The primary objectives of the present work are first to assess the evolution of the surface of contaminated mortar; second, to investigate an accurate DNA extraction method that could be used for both bio-composite mortars and their fiber sources collected in situ; then, to understand the process of the proliferation of mold strains on both hemp shives and hemp mortar; and finally, to compare mold strains present in these phases to show their relationship to mold contamination and their impact on human health. In situ hemp mortar contamination behavior was investigated in the region of Pau (France) two months after hemp mortar application in extreme conditions (high humidity, low temperature, no aeration), which did not match the standard conditions under which hemp mortar must be used. The SEM observations and FTIR and pH analyses highlighted the decrease in pH level and the presence of organic matter on the mortar surface. DNA sequencing results showed that hemp shives were the main source of fungal contamination of hemp mortar. A mold population analysis showed that the most dominant phylum was Ophistokonta, which represented 83.6% in hemp shives and 99.97% in hemp mortar. The Acrostalagmus genus representatives were the most abundant, with 42% in hemp shives and 96% in hemp mortar. The interconnection between the mold strain characteristics (particularly the ability to grow in extreme environments) and the presence of hemp mortar was emphasized. Full article
(This article belongs to the Topic Advances in Sustainable Materials and Products)
Show Figures

Figure 1

Back to TopTop