Sign in to use this feature.

Years

Between: -

Subjects

remove_circle_outline
remove_circle_outline
remove_circle_outline
remove_circle_outline
remove_circle_outline
remove_circle_outline
remove_circle_outline

Journals

remove_circle_outline
remove_circle_outline
remove_circle_outline

Article Types

Countries / Regions

remove_circle_outline
remove_circle_outline
remove_circle_outline
remove_circle_outline

Search Results (577)

Search Parameters:
Keywords = modification biosynthesis

Order results
Result details
Results per page
Select all
Export citation of selected articles as:
17 pages, 1269 KB  
Review
Ethylene-Triggered Rice Root System Architecture Adaptation Response to Soil Compaction
by Yuxiang Li, Bingkun Ge, Chunxia Yan, Zhi Qi, Rongfeng Huang and Hua Qin
Agriculture 2025, 15(19), 2071; https://doi.org/10.3390/agriculture15192071 - 2 Oct 2025
Abstract
Soil compaction is a major constraint on global agriculture productivity. It disrupts soil structure, reduces soil porosity and fertility, and increases mechanical impedance, thereby restricting root growth and crop yield. Recent studies on rice (Oryza sativa) reveal that the phytohormone ethylene [...] Read more.
Soil compaction is a major constraint on global agriculture productivity. It disrupts soil structure, reduces soil porosity and fertility, and increases mechanical impedance, thereby restricting root growth and crop yield. Recent studies on rice (Oryza sativa) reveal that the phytohormone ethylene serves as a primary signal and functions as a hub in orchestrating root response to soil compaction. Mechanical impedance promotes ethylene biosynthesis and compacted soil impedes ethylene diffusion, resulting in ethylene accumulation in root tissues and triggering a complex hormonal crosstalk network to orchestrate root system architectural modification to facilitate plant adaptation to compacted soil. This review summarizes the recent advances on rice root adaptation response to compacted soil and emphasizes the regulatory network triggered by ethylene, which will improve our understanding of the role of ethylene in root growth and development and provide a pathway for breeders to optimize crop performance under specific agronomic conditions. Full article
26 pages, 2123 KB  
Review
Cochlioquinones 1968–2024: Chemistry, Biosynthesis, and Biological Activities with Future Perspectives
by Huiqi Fang, Qi Li, Lin Chen and Gang Ding
J. Fungi 2025, 11(10), 712; https://doi.org/10.3390/jof11100712 - 30 Sep 2025
Abstract
Cochlioquinones are a member of meroterpenoids possessing a core 6/6/6/6 tetracyclic ring system, which originate from the polyketide-terpenoid hybrid biosynthesis. Up to date, there are eighty-one analogues with diverse post-modifications isolated from different fungi, most of which exhibit different biological activities, such as [...] Read more.
Cochlioquinones are a member of meroterpenoids possessing a core 6/6/6/6 tetracyclic ring system, which originate from the polyketide-terpenoid hybrid biosynthesis. Up to date, there are eighty-one analogues with diverse post-modifications isolated from different fungi, most of which exhibit different biological activities, such as phytotoxic, antibacterial, cytotoxic, and immunosuppressive effects. Structurally, cochlioquinones can be mainly categorized into two classes: benzoquinone-type and phenol-type cochlioquinones, respectively. In this review, chemistry and biology of cochlioquinones including the structures, NMR and MS features, bioactivities, and biosynthesis from 1968 to 2024 are systematically summarized, which might provide insights into the exploration and utilization of this group of meroterpenoids in the agricultural or pharmaceutical industry. Full article
(This article belongs to the Section Fungal Cell Biology, Metabolism and Physiology)
31 pages, 2915 KB  
Review
A Review of the Progress in the Microbial Biosynthesis of Prenylated Aromatic Compounds
by Min Tang, Wanze Zhang, Yanjie Tian, Jianjun Qiao, Xiaobing Li, Weiguo Li and Qinggele Caiyin
Molecules 2025, 30(19), 3931; https://doi.org/10.3390/molecules30193931 - 30 Sep 2025
Abstract
Prenylated aromatic compounds (PACs) are widely distributed in nature and have important applications in medicine, cosmetics, and food due to their antioxidant, anticancer, and anti-inflammatory activities as well as role in the prevention of neurological diseases. Traditional methods of PAC production such as [...] Read more.
Prenylated aromatic compounds (PACs) are widely distributed in nature and have important applications in medicine, cosmetics, and food due to their antioxidant, anticancer, and anti-inflammatory activities as well as role in the prevention of neurological diseases. Traditional methods of PAC production such as plant extraction and chemical synthesis remain constrained by the low content of these compounds in plants and the complexity of the chemical processes. PACs are synthesized from aromatic compound receptors and prenyl side chain donors, which are in turn synthesized via the shikimate pathway and 2-C-methyl-D-erythritol-4-phosphate/mevalonic acid pathways, respectively. Increasing exploration and research on prenyltransferases (PTs), the key enzymes involved in PAC biosynthesis, have facilitated the emergence of microbial synthesis of PACs as a promising alternative to industrial production. The microbial biosynthesis of PACs is summarized herein, mainly from the perspective of screening and modification of the key enzymes PTs, selection of suitable host systems, and engineering the modification of microbial cell factories to enhance the yields of PACs. The future prospects and challenges of PAC biosynthesis are also discussed. Full article
Show Figures

Figure 1

23 pages, 748 KB  
Review
Polyamine Induction of Secondary Metabolite Biosynthetic Genes in Fungi Is Mediated by Global Regulator LaeA and α-NAC Transcriptional Coactivator: Connection to Epigenetic Modification of Histones
by Juan F. Martín
Molecules 2025, 30(19), 3903; https://doi.org/10.3390/molecules30193903 - 27 Sep 2025
Abstract
Polyamines are polycationic compounds present in all living cells that exert functions at different levels in the metabolism. They bind to DNA and RNA and modulate DNA replication and gene expression. Some of these regulatory effects are exerted by promoting condensation of nucleosomes, [...] Read more.
Polyamines are polycationic compounds present in all living cells that exert functions at different levels in the metabolism. They bind to DNA and RNA and modulate DNA replication and gene expression. Some of these regulatory effects are exerted by promoting condensation of nucleosomes, a mechanism closely connected with epigenetic modification by histone methylation and acetylation. The polyamines 1,3-diaminopropane and spermidine induce expression of the global regulator LaeA and increase by several folds the formation of the α-NAC transcriptional co-activator, a subunit of the nascent polypeptide-associated complex. The global regulator LaeA controls the switch from primary growth to secondary metabolite production and differentiation when an essential nutrient in the growth medium becomes limiting. α-NAC exerts significant control over the biosynthesis of secondary metabolites and fungal pathogenicity on plants. When purified α-NAC protein is added to a tomato host plant, it induces plant resistance to fungal infections and triggers the development of system-acquired resistance in other plants. Spermidine extends the life of yeast cells and prolongs the half-life of penicillin gene transcripts in Penicillium chrysogenum. This article discusses advances in the basis of understanding the mechanism of plant–fungi interaction and the effect of small fungal metabolites and epigenetic modifiers in this interaction. Full article
(This article belongs to the Special Issue Natural Products Biosynthesis: Present and Perspectives)
Show Figures

Figure 1

20 pages, 4640 KB  
Article
Probing the Cardiovascular Toxic Effects of Long-Term Exposure to Dibutyl Phthalate in Sprague-Dawley Rats Based on Oxidative Inflammation and Metabolic Pathways: Implications for the Heart and Blood Vessel
by Xiao Liang, Qi Huang, Yang Wu, Deyu Zhu, Zhuangzhuang Wei, Qing Feng, Ping Ma, Xu Yang, Cuiyu Bao and Xinyu Bao
Toxics 2025, 13(10), 815; https://doi.org/10.3390/toxics13100815 - 25 Sep 2025
Abstract
Background: Dibutyl phthalate (DBP) is a prevalent environmental pollutant that can accumulate in organisms, becoming amplified after the food cycle and ultimately affecting human health. Recent studies have provided evidence suggesting a potential association between exposure to DBP and cardiovascular diseases (CVDs). Objectives: [...] Read more.
Background: Dibutyl phthalate (DBP) is a prevalent environmental pollutant that can accumulate in organisms, becoming amplified after the food cycle and ultimately affecting human health. Recent studies have provided evidence suggesting a potential association between exposure to DBP and cardiovascular diseases (CVDs). Objectives: This study’s objective is to investigate the toxic cardiovascular effects of long-term exposure to DBP, particularly its impact on the heart and blood vessels. To be specific, we hypothesized and verified the potential mechanisms underlying DBP-induced cardiac and vascular injuries, focusing on oxidative stress, pyroptosis, inflammatory responses, and metabolic pathways. Methods: The rats were divided into 5 groups: Control group, DBP-Low group, DBP-Medium group, DBP-High group, and DBP-High + Vitamin E group. The entire experimental period lasted 12 weeks. We conducted examinations on echocardiography, histopathology, oxidative stress biomarkers, pyroptosis-related biomarkers, and inflammatory cytokine biomarkers. Additionally, we carried out serum metabolomics analysis. Result: Our research findings indicate that long-term exposure to DBP can cause significant toxic effects on the cardiovascular system. Specifically, DBP leads to changes in oxidative stress indicators (ROS and an increase in MDA levels, alongside a decrease in GSH levels) and protein levels related to pyroptosis (NLRP3, Caspase-1 and GSDMD levels increase) in cardiac and vascular tissues, triggering oxidative inflammatory responses (IL-1β and IL-18 levels increase), damaging the heart and blood vessels (organizational structure deformation and collagen fiber infiltration) and ultimately affecting their functions (abnormalities in cardiac function and hemodynamics). Additionally, the results of metabolomics studies suggest that metabolic pathways (Biotin metabolism, TCA cycle, Vitamin B6 metabolism, Pantothenate and CoA biosynthesis, and Riboflavin metabolism) and metabolites may also be of great significance. Conclusion: Long-term exposure to DBP can induce cardiovascular toxicity in rats, manifesting as cardiac and vascular damage, as well as alterations in organ function. This process is characterized by oxidative stress, activation of the pyroptosis pathway, inflammatory responses, and modifications to metabolic pathways. Full article
Show Figures

Figure 1

11 pages, 499 KB  
Article
High Salivary 3-Nitrotyrosine Levels in Periodontitis
by Leonardo Lorente, Esther Hernández Marrero, Pedro Abreu González, Angel Daniel Lorente Martín, Agustín F. González-Rivero, María José Marrero González, Carmen Hernández Marrero, Olga Hernández Marrero, Alejandro Jiménez and Cándido Manuel Hernández Padilla
J. Clin. Med. 2025, 14(19), 6785; https://doi.org/10.3390/jcm14196785 - 25 Sep 2025
Abstract
Background: Tyrosine, a non-essential amino acid involved in protein biosynthesis, can undergo oxidative modification upon exposure to reactive species like the peroxynitrite radical (ONOO), resulting in the formation of 3-nitrotyrosine (3-NT). High concentrations of 3-NT have been found in the periodontal [...] Read more.
Background: Tyrosine, a non-essential amino acid involved in protein biosynthesis, can undergo oxidative modification upon exposure to reactive species like the peroxynitrite radical (ONOO), resulting in the formation of 3-nitrotyrosine (3-NT). High concentrations of 3-NT have been found in the periodontal tissues of rats with periodontitis and in one study involving twelve patients with periodontitis; further, a correlation between 3-NT concentrations in periodontal tissues and clinical indices of periodontitis was found in 24 patients with periodontitis. The objectives of our study were to compare salivary 3-NT concentrations in subjects with and without periodontitis, to determine whether an association exists between salivary 3-NT concentrations and periodontitis, and to evaluate the potential of salivary 3-NT concentrations for the diagnosis of periodontitis. Material and Methods: This prospective study involved the measurement of salivary 3-NT concentrations in individuals diagnosed with periodontitis—defined by the presence of periodontal tissue loss—and in individuals without periodontitis, characterized by either periodontal health or localized gingivitis affecting fewer than 30% of sites. A total of 66 participants without periodontitis and 60 with periodontitis were included. To identify variables independently linked to periodontitis, multivariate logistic regression was applied. Additionally, a receiver operating characteristic (ROC) analysis was carried out to assess the ability of salivary 3-NT levels to discriminate between the two groups. Results: Multivariate logistic regression analysis showed that the variables independently associated with periodontitis were salivary 3-NT concentrations > 4.25 ng/mL (OR = 3.22; 95% CI = 1.180–8.789; p value = 0.02), age (years) (OR = 1.12; 95% CI = 1.064–1.168; p value < 0.001), and being a never smoker (OR = 0.36; 95% CI = 0.129–0.989; p value = 0.048). The area under the curve (AUC) of salivary 3-NT concentrations for the diagnosis of periodontitis was 62% (95% CI = 53–70%; p value = 0.02). Conclusions: Our findings showed that salivary 3-NT concentrations were higher in subjects with periodontitis than in those without, that there is an association between high salivary 3-NT concentrations and periodontitis, and that salivary 3-NT concentrations may be useful for diagnosing periodontitis. Full article
(This article belongs to the Section Dentistry, Oral Surgery and Oral Medicine)
Show Figures

Figure 1

16 pages, 1507 KB  
Review
Mechanism of Melatonin in Alleviating Aluminum Toxicity in Plants: A Review
by Feige Wang, Xiaoli Li, Can Chen, Le Zhao and Yunmin Wei
Biology 2025, 14(10), 1316; https://doi.org/10.3390/biology14101316 - 23 Sep 2025
Viewed by 83
Abstract
Aluminum (Al) toxicity is a major limiting factor for plant growth and development in acidic soils. Melatonin, a plant growth regulator and signaling molecule, enhances resistance to multiple stresses. Recent studies show that melatonin alleviates Al toxicity through several complementary mechanisms. Here, we [...] Read more.
Aluminum (Al) toxicity is a major limiting factor for plant growth and development in acidic soils. Melatonin, a plant growth regulator and signaling molecule, enhances resistance to multiple stresses. Recent studies show that melatonin alleviates Al toxicity through several complementary mechanisms. Here, we first outline the physiological and molecular impacts of Al stress and the external and internal strategies plants use to cope with it. We then summarize melatonin biosynthesis and its broader roles in stress adaptation. We focus on recent advances in melatonin-mediated mitigation of Al toxicity, highlighting four principal mechanisms: (i) the activation of antioxidant defense systems, (ii) the stimulation of organic acid anion exudation that chelates Al in the rhizosphere, (iii) the modification of cell wall composition to reduce Al binding sites, and (iv) the promotion of intracellular Al sequestration. We also discuss the crosstalk between melatonin and nitric oxide, as well as interactions with phytohormone signaling. Collectively, this review comprehensively synthesizes the current understanding regarding the role of melatonin in alleviating Al toxicity in plants, offering a promising strategy for crop production in acidic environments. Full article
(This article belongs to the Section Plant Science)
Show Figures

Figure 1

31 pages, 2887 KB  
Review
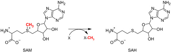
Mechanistic Insights into SAM-Dependent Methyltransferases: A Review of Computational Approaches
by Mateusz Jędrzejewski, Łukasz Szeleszczuk and Dariusz Maciej Pisklak
Int. J. Mol. Sci. 2025, 26(18), 9204; https://doi.org/10.3390/ijms26189204 - 20 Sep 2025
Viewed by 189
Abstract
Methylation reactions catalyzed by S-adenosylmethionine (SAM)-dependent methyltransferases are essential to numerous biological functions, including gene expression regulation, epigenetic modifications, and biosynthesis of natural products. Dysregulation of these enzymes is associated with diseases, including cancer and neurodevelopmental disorders, making them attractive drug targets. This [...] Read more.
Methylation reactions catalyzed by S-adenosylmethionine (SAM)-dependent methyltransferases are essential to numerous biological functions, including gene expression regulation, epigenetic modifications, and biosynthesis of natural products. Dysregulation of these enzymes is associated with diseases, including cancer and neurodevelopmental disorders, making them attractive drug targets. This review explores the contribution of computational methods, particularly quantum chemical calculations and molecular dynamics (MD) simulations, in elucidating the mechanisms of SAM-dependent methyltransferases. These techniques enable detailed characterization of transition states and reaction pathways, often inaccessible by experimental methods. The review discusses molecular modeling approaches such as the quantum chemical cluster approach (QM-cluster) and hybrid QM/MM methods, emphasizing their applications in studying methyl group transfer, substrate specificity, and the roles of water molecules and metal ions in catalysis. Additionally, dynamic aspects of enzyme function are addressed using classical MD and QM/MM MD simulations. Case studies demonstrate how computational predictions align with experimental data and enable rational design of selective inhibitors and engineered enzymes with altered specificity. Overall, computational chemistry offers a powerful, atomistic view of SAM-dependent methyltransferases, not only complementing experimental studies but also providing a foundation for the design of future experiments in this field. Full article
(This article belongs to the Special Issue Protein Methyltransferases in Human Health and Diseases)
Show Figures

Figure 1

25 pages, 1899 KB  
Article
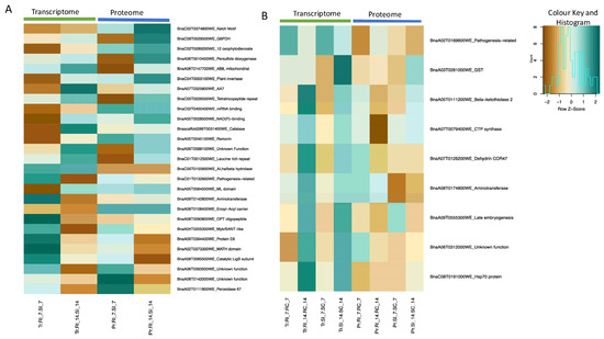
Proteomics Integrated with Transcriptomics of Clubroot Resistant and Susceptible Brassica napus in Response to Plasmodiophora brassicae Infection
by Kawalpreet Kaur, Dinesh Adhikary, Nat N. V. Kav, Sabine Scandola, R. Glen Uhrig and Habibur Rahman
Int. J. Mol. Sci. 2025, 26(18), 9157; https://doi.org/10.3390/ijms26189157 - 19 Sep 2025
Viewed by 160
Abstract
Clubroot disease, caused by Plasmodiophora brassicae, is a threat to Brassica crops; therefore, understanding of host-resistance is important for developing clubroot-resistant cultivars. Using multi-omics analysis of clubroot-resistant (CR) and -susceptible (CS) near-isogenic lines (NILs) of B. napus, carrying the resistance of [...] Read more.
Clubroot disease, caused by Plasmodiophora brassicae, is a threat to Brassica crops; therefore, understanding of host-resistance is important for developing clubroot-resistant cultivars. Using multi-omics analysis of clubroot-resistant (CR) and -susceptible (CS) near-isogenic lines (NILs) of B. napus, carrying the resistance of turnip (B. rapa var. rapifera), we characterized the host resistance mechanisms. Through proteome analysis, we identified 6626 differentially abundant proteins (DAPs) (2353 in CR-NILs, 4273 in CS-NILs) (q < 0.05), of which 50 in CR- and 62 in CS-NILs were detected across the disease developmental stages. Notable proteins included those involved in reactive oxygen species scavenging (BnaA09T0647200WE)], cell-wall modifications (BnaA04T0244300WE) and glucosinolate biosynthesis (BnaA01T0266700WE) in the CR-NILs. Additionally, disease-resistance proteins like ENHANCED DISEASE RESISTANCE 2-like (BnaA03T0055600WE) and hairpin-induced family protein YLS9 (BnaA08T0237900WE) showed increased abundance in CR-NILs. In contrast, CS-NILs exhibited decreased abundance of defense-related proteins, including proteins containing CUPIN domain (BnaA09T0578800WE) and LACCASE (BnaA02T0019200WE). Integration of proteome data with transcriptome data revealed 33 genes in CR- and 32 in CS-NILs showing a consistent pattern, including the genes related to PLANT INVERTASE/PECTIN METHYLESTERASE INHIBITOR (BnaC04T0003100WE), KELCH MOTIF (BnaC02T0374800WE), LACCASE (BnaA02T0019200WE), and antioxidant-related transcripts [GLUTATHIONE S-TRANSFERASES (BnaA03T0280900WE) and 4-HYDROXYPHENYLPYRUVATE DIOXYGENASE (BnaA09T0641500WE)]. Our findings offer valuable new targets for breeding clubroot-resistant B. napus. Full article
(This article belongs to the Section Molecular Genetics and Genomics)
Show Figures

Figure 1

23 pages, 2713 KB  
Review
Phase Separation-Regulated Fungal Growth, Sexual Development, Adaptation and Synthetic Biology Applications
by Xinxin Tong, Daixi Zhang and Zhenhong Zhu
J. Fungi 2025, 11(9), 680; https://doi.org/10.3390/jof11090680 - 17 Sep 2025
Viewed by 349
Abstract
Liquid–liquid phase separation (LLPS) is a fundamental biophysical process in which proteins and nucleic acids dynamically demix from the cellular milieu to form membraneless organelles (MLO) with liquid-like properties. Environmental cues, such as light, temperature fluctuations, and pathogen interactions, induce LLPS of fungal [...] Read more.
Liquid–liquid phase separation (LLPS) is a fundamental biophysical process in which proteins and nucleic acids dynamically demix from the cellular milieu to form membraneless organelles (MLO) with liquid-like properties. Environmental cues, such as light, temperature fluctuations, and pathogen interactions, induce LLPS of fungal proteins with intrinsically disordered regions (IDRs) or multimerization domains, thereby regulating fungal hyphal growth, sexual reproduction, pathogenesis, and adaptation. Recently, LLPS has emerged as a powerful tool for biomolecular research, innovative biotechnological application, biosynthesis and metabolic engineering. This review focuses on the current advances in environmental cue-triggered fungal condensates assembled by LLPS, with a focus on their roles in regulating the fungal physical biology and cellular processes including transcription, RNA modification, translation, posttranslational modification process (PTM), transport, and stress response. It further discusses the strategies of engineering synthetic biomolecular condensates in microbial cell factories to enhance production and metabolic efficiency. Full article
Show Figures

Figure 1

16 pages, 1475 KB  
Review
Redox Regulation of Endogenous Gasotransmitters in Vascular Health and Disease
by Giang-Huong Vu and Cuk-Seong Kim
Int. J. Mol. Sci. 2025, 26(18), 9037; https://doi.org/10.3390/ijms26189037 - 17 Sep 2025
Viewed by 329
Abstract
Hydrogen sulfide (H2S), nitric oxide (NO), and carbon monoxide (CO) are now recognized as key gasotranmitters that regulate vascular function, contributing to vasodilation, angiogenesis, inflammation control, and oxidative balance. Initially regarded as toxic gases, they are produced on demand by specific [...] Read more.
Hydrogen sulfide (H2S), nitric oxide (NO), and carbon monoxide (CO) are now recognized as key gasotranmitters that regulate vascular function, contributing to vasodilation, angiogenesis, inflammation control, and oxidative balance. Initially regarded as toxic gases, they are produced on demand by specific enzymes, including cystathionine γ-lyase (CSE), endothelial nitric oxide synthase (eNOS), and heme oxygenase-1 (HO-1). Their activity is tightly controlled by redox-sensitive pathways. Reactive oxygen species (ROS), particularly superoxide and hydrogen peroxide, modulate gasotransmitter biosynthesis at the transcriptional and post-translational levels. Moreover, ROS affect gasotransmitter availability through oxidative modifications, including thiol persulfidation, nitrosative signaling, and carbonylation. This redox regulation ensures a tightly coordinated response to environmental and metabolic cues within the vascular system. This review synthesizes the current understanding of redox–gasotransmitter interactions, highlighting how ROS modulate the vascular roles of H2S, NO, and CO. Understanding these interactions provides critical insights into the pathogenesis of cardiovascular diseases and offers potential redox-targeted therapies. Full article
(This article belongs to the Collection Advances in Cell and Molecular Biology)
Show Figures

Figure 1

23 pages, 4376 KB  
Article
Integrated Metabolomics and Transcriptomics Reveals Metabolic Pathway Changes in Common Carp Muscle Under Oxidative Stress
by Yongxiang Liu, Bing Li, Yiran Hou, Linjun Zhou, Qiqin Yang, Chengfeng Zhang, Hongwei Li, Jian Zhu and Rui Jia
Antioxidants 2025, 14(9), 1115; https://doi.org/10.3390/antiox14091115 - 14 Sep 2025
Viewed by 562
Abstract
Hydrogen peroxide (H2O2), a ubiquitous reactive oxygen species in aquatic ecosystems, has been shown to induce toxicological effects in aquatic animals. However, the molecular mechanisms underlying H2O2-mediated alterations in muscle quality and metabolic homeostasis remain [...] Read more.
Hydrogen peroxide (H2O2), a ubiquitous reactive oxygen species in aquatic ecosystems, has been shown to induce toxicological effects in aquatic animals. However, the molecular mechanisms underlying H2O2-mediated alterations in muscle quality and metabolic homeostasis remain largely unexplored. In this study, we performed integrated metabolomic and transcriptomic analyses to characterize the molecular mechanisms underlying H2O2-induced oxidative stress in fish muscle tissue. Common carp (Cyprinus carpio) were randomized into two groups: a control group (0.0 mM H2O2) and an H2O2-treated group (1.0 mM H2O2) for a 14-day exposure. Following the exposure, comprehensive analyses, including fatty acid composition, amino acid profiles, and multi-omics sequencing, were conducted to elucidate the metabolic responses to oxidative stress. The results showed neither the amino acid nor the fatty acid composition exhibited significant modifications following H2O2 exposure. Metabolomic profiling identified 83 upregulated and 89 downregulated metabolites, predominantly comprising organic acids and derivatives, lipids and lipid-like molecules. These differential metabolites were associated with histidine and purine-derived alkaloid biosynthesis, glyoxylate and dicarboxylate metabolism pathways. Transcriptomic analysis identified 470 upregulated and 451 downregulated differentially expressed genes (DEGs). GO enrichment analysis revealed that these DEGs were significantly enriched in muscle tissue development and transcriptional regulatory activity. KEGG analysis revealed significant enrichment in oxidative phosphorylation, adipocytokine signaling, and PPAR signaling pathways. The elevated oxidative phosphorylation activity and upregulated adipocytokine/PPAR signaling pathways collectively indicate H2O2-induced metabolic dysregulation in carp muscle. Through the integration of metabolomics and transcriptomics, this study offers novel insights into the toxicity of H2O2 in aquatic environments, elucidates adaptive mechanisms of farmed fish to oxidative stress, and provides a theoretical basis for developing antioxidant strategies. Full article
(This article belongs to the Special Issue Natural Antioxidants and Aquatic Animal Health—2nd Edition)
Show Figures

Graphical abstract

18 pages, 4776 KB  
Article
The Impacts of Essential Gcp/TsaD Protein on Cell Morphology, Virulence Expression, and Antibiotic Susceptibility in Staphylococcus aureus
by Haiyong Guo, Ting Lei, Junshu Yang, Lin Han, Yue Wang and Yinduo Ji
Microorganisms 2025, 13(9), 2111; https://doi.org/10.3390/microorganisms13092111 - 10 Sep 2025
Viewed by 325
Abstract
Our previous studies identified the Gcp/TsaD protein as essential for Staphylococcus aureus survival and implicated it in tRNA modification. Here, we demonstrate its broader role in bacterial physiology. Through a morphological analysis, RNA sequencing, network-based bioinformatics, and antibiotic susceptibility testing, we show that [...] Read more.
Our previous studies identified the Gcp/TsaD protein as essential for Staphylococcus aureus survival and implicated it in tRNA modification. Here, we demonstrate its broader role in bacterial physiology. Through a morphological analysis, RNA sequencing, network-based bioinformatics, and antibiotic susceptibility testing, we show that Gcp/TsaD influences cell morphology, cell wall integrity, transcriptional regulation, virulence, and antibiotic response. Gcp/TsaD depletion caused reduced cell size and increased cell wall thickness, suggesting its roles in cell division and peptidoglycan biosynthesis. The kinetic transcriptomic analysis revealed widespread changes in gene expression, particularly in the translation and amino acid biosynthesis pathways, supporting its function in maintaining translational fidelity via tRNA modification. Its depletion also upregulated the genes involved in cell envelope biosynthesis, including capsule formation, enhancing resistance to antimicrobial peptides, while downregulating the key virulence genes, indicating a role in pathogenicity. Functionally, the Gcp/TsaD-deficient cells were more susceptible to fosfomycin, reinforcing its importance in cell wall integrity. Together, these findings highlight the multifaceted contribution of Gcp/TsaD to S. aureus physiology and underscore its potential as a therapeutic target, particularly against antibiotic-resistant strains. Full article
(This article belongs to the Section Medical Microbiology)
Show Figures

Figure 1

17 pages, 4457 KB  
Article
The Genetic Loci Associated with Fiber Development in Upland Cotton (Gossypium hirsutum L.) Were Mapped by the BSA-Seq Technique
by Yanlong Yang, Fenglei Sun, Xin Wei, Zhengzheng Wang, Jun Ma, Dawei Zhang, Chunping Li, Chengxia Lai, Guoyong Fu and Youzhong Li
Plants 2025, 14(17), 2804; https://doi.org/10.3390/plants14172804 - 7 Sep 2025
Cited by 1 | Viewed by 559
Abstract
Cotton fiber quality improvement remains a fundamental challenge in breeding programs due to the complex genetic architecture underlying fiber development. The narrow genetic base of upland cotton (Gossypium hirsutum L.) and the quantitative nature of fiber quality traits necessitate innovative approaches for [...] Read more.
Cotton fiber quality improvement remains a fundamental challenge in breeding programs due to the complex genetic architecture underlying fiber development. The narrow genetic base of upland cotton (Gossypium hirsutum L.) and the quantitative nature of fiber quality traits necessitate innovative approaches for identifying and incorporating superior alleles from related species. We developed a BC6F2 population by introgressing chromosome segments from the sea island cotton variety Xinhai 36 (G. barbadense) into the upland cotton variety Xinluzhong 60 (G. hirsutum). Based on fiber strength phenotyping, we constructed two DNA bulks representing extreme phenotypes (20 superior and 12 inferior individuals) for bulked segregant analysis sequencing (BSA-Seq). High-throughput sequencing generated 225.13 Gb of raw data with average depths of 20× for parents and 30× for bulks. SNP calling and annotation were performed using GATK and ANNOVAR against the upland cotton reference genome (TM-1). BSA-Seq analysis identified 13 QTLs primarily clustered within a 1.6 Mb region (20.6–22.2 Mb) on chromosome A10. Within this region, we detected nonsynonymous mutation genes involving a total of six genes. GO and KEGG enrichment analyses revealed significant enrichment for carbohydrate metabolic processes, protein modification, and secondary metabolite biosynthesis pathways. Integration with transcriptome data prioritized GH_A10G1043, encoding a β-amylase family protein, as the key candidate gene. Functional validation through overexpression and RNAi knockdown in Arabidopsis thaliana demonstrated that GH_A10G1043 significantly regulates starch content and β-amylase activity, though without visible morphological alterations. This study successfully identified potential genomic regions and candidate genes associated with cotton fiber strength using chromosome segment substitution lines combined with BSA-Seq. The key candidate gene GH_A10G1043 provides a valuable target for marker-assisted selection in cotton breeding programs. Our findings establish a foundation for understanding the molecular mechanisms of fiber quality formation and offer genetic resources for developing superior cotton varieties with enhanced fiber strength. Full article
(This article belongs to the Section Plant Genetics, Genomics and Biotechnology)
Show Figures

Figure 1

32 pages, 1343 KB  
Review
Long Noncoding RNAs as Emerging Regulators of Seed Development, Germination, and Senescence
by Adrian Motor, Marta Puchta-Jasińska, Paulina Bolc and Maja Boczkowska
Int. J. Mol. Sci. 2025, 26(17), 8702; https://doi.org/10.3390/ijms26178702 - 6 Sep 2025
Viewed by 1170
Abstract
Long noncoding RNAs (lncRNAs) have emerged as key regulators of gene expression during seed development and physiology. This review examines the diverse roles of lncRNAs in key stages of seed development, including embryogenesis, maturation, dormancy, germination, and aging. It integrates the current understanding [...] Read more.
Long noncoding RNAs (lncRNAs) have emerged as key regulators of gene expression during seed development and physiology. This review examines the diverse roles of lncRNAs in key stages of seed development, including embryogenesis, maturation, dormancy, germination, and aging. It integrates the current understanding of the biogenesis and classification of lncRNAs, emphasizing their functional mechanisms in seeds, particularly those acting in cis and trans. These mechanisms include the scaffolding of polycomb and SWI/SNF chromatin remodeling complexes, the guidance of RNA-directed DNA methylation, the ability to function as molecular decoys, and the modulation of small RNA pathways via competitive endogenous RNA activity. This review highlights the regulatory influence of lncRNAs on abscisic acid (ABA) and gibberellin (GA) signaling pathways, as well as light-responsive circuits that control dormancy and embryonic root formation. Endosperm imprinting processes that link parental origin to seed size and storage are also discussed. Emerging evidence for epitranscriptomic modifications, such as m6A methylation, and the formation of LncRNA–RNA-binding protein condensates that maintain resting states and coordinate reserve biosynthesis are also reviewed. Advances in methodologies, including single-cell and spatial transcriptomics, nascent transcription, direct RNA sequencing, and RNA–chromatin interaction mapping, are expanding the comprehensive lncRNA landscape during seed development and germination. These advances facilitate functional annotation. Finally, possible translational research applications are explored, with a focus on developing lncRNA-based biomarkers for seed vigor and longevity. Full article
(This article belongs to the Collection Advances in Cell and Molecular Biology)
Show Figures

Figure 1

Back to TopTop