Sign in to use this feature.

Years

Between: -

Subjects

remove_circle_outline
remove_circle_outline
remove_circle_outline
remove_circle_outline
remove_circle_outline
remove_circle_outline
remove_circle_outline

Journals

Article Types

Countries / Regions

Search Results (66)

Search Parameters:
Keywords = microwave supported synthesis

Order results
Result details
Results per page
Select all
Export citation of selected articles as:
17 pages, 4609 KB  
Article
Faster Microwave-Assisted Synthesis of Microspherical Carbons from Commercial and Biomass-Derived Carbohydrates
by Aroldo J. Romero-Anaya, M. Dolores González, Judith Granados-Reyes, Leví E. Arrieche-Hernández and Yolanda Cesteros
Catalysts 2025, 15(9), 885; https://doi.org/10.3390/catal15090885 - 15 Sep 2025
Viewed by 303
Abstract
Carbon microspheres were prepared by microwave-assisted hydrothermal treatment, at 180 °C, of commercial carbohydrates (saccharose, glucose, and xylose) and xylose extract obtained from almond shells with varying synthesis parameters. When 1.6 M aqueous solutions of commercial carbohydrates were used, 2–10 μm carbon microspheres [...] Read more.
Carbon microspheres were prepared by microwave-assisted hydrothermal treatment, at 180 °C, of commercial carbohydrates (saccharose, glucose, and xylose) and xylose extract obtained from almond shells with varying synthesis parameters. When 1.6 M aqueous solutions of commercial carbohydrates were used, 2–10 μm carbon microspheres were obtained from saccharose after 15 min, while a longer amount of time (60 min) and the addition of acid medium (1% v/v H2SO4, 1% v/v H3PO4) were needed to obtain carbon microspheres from commercial xylose and glucose (≤ 1 μm). The higher reactivity of saccharose could be related to the formation, during heating, of fructose, which is more reactive than glucose and xylose. An increase in the acid concentration and in the carbohydrate concentration increased the formation and size of the microspheres. Comparative experiments with conventional heating did not produce a solid. Interestingly, when xylose extract obtained from almond shells was used, small carbon microspheres (1–3 μm) were obtained at a much lower concentration (0.2 M) and time (15 min) than with commercial xylose. This could be related to the acid medium used during extraction of xylose from the biomass. Activation of microspheres with CO2 resulted in high-surface area materials (243–326 m2/g) with great potential as catalytic supports. Full article
Show Figures

Graphical abstract

16 pages, 1328 KB  
Article
Low-Frequency Noise Characteristics of Graphene/h-BN/Si Junctions
by Justinas Glemža, Ingrida Pliaterytė, Jonas Matukas, Rimantas Gudaitis, Andrius Vasiliauskas, Šarūnas Jankauskas and Šarūnas Meškinis
Crystals 2025, 15(9), 747; https://doi.org/10.3390/cryst15090747 - 22 Aug 2025
Viewed by 731
Abstract
Graphene/h-BN/Si heterostructures show considerable potential for future use in infrared detection and photovoltaic technologies due to their adjustable electrical behavior and well-matched interfacial structure. The near-lattice match between graphene and hexagonal boron nitride (h-BN) enables the deposition of low-defect-density graphene on h-BN surfaces. [...] Read more.
Graphene/h-BN/Si heterostructures show considerable potential for future use in infrared detection and photovoltaic technologies due to their adjustable electrical behavior and well-matched interfacial structure. The near-lattice match between graphene and hexagonal boron nitride (h-BN) enables the deposition of low-defect-density graphene on h-BN surfaces. This study presents a thorough exploration of the low-frequency electrical noise behavior of graphene/h-BN/Si heterojunctions under both forward and reverse bias conditions at room temperature. Graphene nanolayers were directly grown on h-BN films using microwave plasma-enhanced CVD. The h-BN layers were formed by reactive high-power impulse magnetron sputtering (HIPIMS). Four h-BN thicknesses were examined: 1 nm, 3 nm, 5 nm, and 15 nm. A reference graphene/Si junction (without h-BN) prepared under identical synthesis conditions was also studied for comparison. Low-frequency noise analysis enabled the identification of dominant charge transport mechanisms in the different device structures. Our results demonstrate that grain boundaries act as dominant defects contributing to increased noise intensity under high forward bias. Statistical analysis of voltage noise spectral density across multiple samples, supported by Raman spectroscopy, reveals that hydrogen-related defects significantly contribute to 1/f noise in the linear region of the junction’s current–voltage characteristics. This study provides the first in-depth insight into the impact of h-BN interlayers on low-frequency noise in graphene/Si heterojunctions. Full article
(This article belongs to the Special Issue Recent Advances in Graphene and Other Two-Dimensional Materials)
Show Figures

Figure 1

22 pages, 775 KB  
Review
Bioactive Compounds, Technological Advances, and Sustainable Applications of Avocado (Persea americana Mill.): A Critical Review
by Amanda Priscila Silva Nascimento, Maria Elita Martins Duarte, Ana Paula Trindade Rocha and Ana Novo Barros
Foods 2025, 14(15), 2746; https://doi.org/10.3390/foods14152746 - 6 Aug 2025
Cited by 1 | Viewed by 1190
Abstract
Avocado (Persea americana), originally from Mesoamerica, has emerged as a focus of intense scientific and industrial interest due to its unique combination of nutritional richness, bioactive potential, and technological versatility. Its pulp, widely consumed across the globe, is notably abundant in [...] Read more.
Avocado (Persea americana), originally from Mesoamerica, has emerged as a focus of intense scientific and industrial interest due to its unique combination of nutritional richness, bioactive potential, and technological versatility. Its pulp, widely consumed across the globe, is notably abundant in monounsaturated fatty acids, especially oleic acid, which can comprise over two-thirds of its lipid content. In addition, it provides significant levels of dietary fiber, fat-soluble vitamins such as A, D, E and K, carotenoids, tocopherols, and phytosterols like β-sitosterol. These constituents are consistently associated with antioxidant, anti-inflammatory, glycemic regulatory, and cardioprotective effects, supported by a growing body of experimental and clinical evidence. This review offers a comprehensive and critical synthesis of the chemical composition and functional properties of avocado, with particular emphasis on its lipid profile, phenolic compounds, and phytosterols. It also explores recent advances in environmentally sustainable extraction techniques, including ultrasound-assisted and microwave-assisted processes, as well as the application of natural deep eutectic solvents. These technologies have demonstrated improved efficiency in recovering bioactives while aligning with the principles of green chemistry. The use of avocado-derived ingredients in nanostructured delivery systems and their incorporation into functional foods, cosmetics, and health-promoting formulations is discussed in detail. Additionally, the potential of native cultivars and the application of precision nutrition strategies are identified as promising avenues for future innovation. Taken together, the findings underscore the avocado’s relevance as a high-value matrix for sustainable development. Future research should focus on optimizing extraction protocols, clarifying pharmacokinetic behavior, and ensuring long-term safety in diverse applications. Full article
(This article belongs to the Special Issue Feature Review on Nutraceuticals, Functional Foods, and Novel Foods)
Show Figures

Figure 1

13 pages, 1750 KB  
Article
Mineral-Based Synthesis of CuFe2O4 Nanoparticles via Co-Precipitation and Microwave Techniques Using Leached Copper Solutions from Mined Minerals
by Carolina Venegas Abarzúa, Mauricio J. Morel, Gabriela Sandoval-Hevia, Thangavel Kavinkumar, Natarajan Chidhambaram, Sathish Kumar Kamaraj, Nagarajan Dineshbabu and Arun Thirumurugan
Minerals 2025, 15(8), 819; https://doi.org/10.3390/min15080819 - 1 Aug 2025
Viewed by 514
Abstract
Environmental sustainability and responsible resource utilization are critical global challenges. In this work, we present a sustainable and circular-economy-based approach for synthesizing CuFe2O4 nanoparticles by directly utilizing copper oxide minerals sourced from Chilean mining operations. Copper sulfate (CuSO4) [...] Read more.
Environmental sustainability and responsible resource utilization are critical global challenges. In this work, we present a sustainable and circular-economy-based approach for synthesizing CuFe2O4 nanoparticles by directly utilizing copper oxide minerals sourced from Chilean mining operations. Copper sulfate (CuSO4) was extracted from these minerals through acid leaching and used as a precursor for nanoparticle synthesis via both chemical co-precipitation and microwave-assisted methods. The influence of different precipitating agents—NaOH, Na2CO3, and NaF—was systematically evaluated. XRD and FESEM analyses revealed that NaOH produced the most phase-pure and well-dispersed nanoparticles, while NaF resulted in secondary phase formation. The microwave-assisted method further improved particle uniformity and reduced agglomeration due to rapid and homogeneous heating. Electrochemical characterization was conducted to assess the suitability of the synthesized CuFe2O4 for supercapacitor applications. Cyclic voltammetry (CV) and galvanostatic charge–discharge (GCD) measurements confirmed pseudocapacitive behavior, with a specific capacitance of up to 1000 F/g at 2 A/g. These findings highlight the potential of CuFe2O4 as a low-cost, high-performance electrode material for energy storage. This study underscores the feasibility of converting primary mined minerals into functional nanomaterials while promoting sustainable mineral valorization. The approach can be extended to other critical metals and mineral residues, including tailings, supporting the broader goals of a circular economy and environmental remediation. Full article
Show Figures

Figure 1

44 pages, 4143 KB  
Review
Condensation Reactions of 2-Aminothiophenoles to Afford 2-Substituted Benzothiazoles of Biological Interest: A Review (2020–2024)
by Itzia I. Padilla-Martínez, Alejandro Cruz, Efrén V. García-Báez, Jessica E. Mendieta-Wejebe and Martha C. Rosales-Hernández
Int. J. Mol. Sci. 2025, 26(12), 5901; https://doi.org/10.3390/ijms26125901 - 19 Jun 2025
Viewed by 1797
Abstract
Several benzothiazole (BT) derivatives have recently been explored in medicinal chemistry, and they are frequently reported in the literature. The interest in this kind of heterocyclic compounds and their structural hybrids has been increasing, as shown by several reviews reported over the last [...] Read more.
Several benzothiazole (BT) derivatives have recently been explored in medicinal chemistry, and they are frequently reported in the literature. The interest in this kind of heterocyclic compounds and their structural hybrids has been increasing, as shown by several reviews reported over the last decade. In this context, we found that about 70 articles related to the synthesis of BT derivatives that studied their biological activities were published in the last five years. From this, we prepared a review on the synthesis and biological activity studies about this topic. In this bibliographic review it was found that medicinal chemists also explore BT derivatives in search of anticancer and anti-Alzheimer’s candidates. This review comprehends 70 articles, published between 2020 and 2024, related to the synthesis of BT derivatives with the purpose of assessing their biological activities. On the other hand, BT derivatives have been explored as molecular species that perform two or more biological actions, called multifunctional drugs. Some accounts related to the structure–activity relationship which provide a framework for drug discovery and design are also discussed. The synthetic methods of BT synthesis include the use of biocatalysts, solvent-free conditions, photocatalysts, and catalysts supported on nanoparticles. Studies also explore renewable energy sources such as microwave, UV, and visible-light and mechanochemical sources. Full article
(This article belongs to the Special Issue Advances in Organic Synthesis in Drug Discovery)
Show Figures

Figure 1

19 pages, 1415 KB  
Article
Green and Efficient Synthetic Protocol for 1,3,5-Triazine Derivatives with Anticancer Potential Against Colorectal Cancer
by Julia Chrzan, Anna Karolina Drabczyk, Izabela Siemińska, Monika Baj-Krzyworzeka, Katarzyna Ewa Greber, Jolanta Jaśkowska, Damian Kułaga and Krzesimir Ciura
Molecules 2025, 30(11), 2437; https://doi.org/10.3390/molecules30112437 - 2 Jun 2025
Viewed by 3408
Abstract
Colorectal cancer (CRC) remains a major global health challenge, necessitating the development of more effective and environmentally sustainable treatments. This study presents a novel green synthetic protocol for 1,3,5-triazine derivatives with anticancer potential, employing both microwave-assisted and ultrasound-assisted methods. The synthesis was optimized [...] Read more.
Colorectal cancer (CRC) remains a major global health challenge, necessitating the development of more effective and environmentally sustainable treatments. This study presents a novel green synthetic protocol for 1,3,5-triazine derivatives with anticancer potential, employing both microwave-assisted and ultrasound-assisted methods. The synthesis was optimized using 4-chloro-N-(2-chlorophenyl)-6-(morpholin-4-yl)-1,3,5-triazin-2-amine as the key intermediate, with sodium carbonate, TBAB, and DMF providing optimal yields under microwave conditions. To enhance sustainability, a modified sonochemical method was also developed, enabling efficient synthesis in aqueous media with a minimal use of organic solvents. A series of nine morpholine-functionalized derivatives were synthesized and evaluated for cytotoxic activity against SW480 and SW620 colorectal cancer cell lines. Compound 11 demonstrated superior antiproliferative activity (IC₅₀ = 5.85 µM) compared to the reference drug 5-fluorouracil, while compound 5 showed promising dual-line activity. In silico ADME analysis supported the drug likeness of the synthesized compounds, and biomimetic chromatography analysis confirmed favorable physicochemical properties, including lipophilicity and membrane affinity. These results underscore the potential of the developed protocol to produce bioactive triazine derivatives through an efficient, scalable, and environmentally friendly process, offering a valuable strategy for future anticancer drug development. Full article
(This article belongs to the Section Medicinal Chemistry)
Show Figures

Graphical abstract

24 pages, 3339 KB  
Article
Mesostructured Silica–Zirconia–Tungstophosphoric Acid Composites as Catalyst in Calcium Channel Blocker Nifedipine Synthesis
by Edna X. Aguilera, Ángel G. Sathicq, Alexis Sosa, Marcelo C. Murguía, José J. Martínez, Luis R. Pizzio and Gustavo P. Romanelli
Catalysts 2025, 15(6), 537; https://doi.org/10.3390/catal15060537 - 28 May 2025
Viewed by 776
Abstract
This work studies the effect of mesostructured silica–zirconia–tungstophosphoric acid (SiO2-ZrO2-TPA) composites used as catalysts in the synthesis of nifedipine by the Hantzsch methodology. The selectivity for nifedipine is determined, along with that of secondary products that may form depending [...] Read more.
This work studies the effect of mesostructured silica–zirconia–tungstophosphoric acid (SiO2-ZrO2-TPA) composites used as catalysts in the synthesis of nifedipine by the Hantzsch methodology. The selectivity for nifedipine is determined, along with that of secondary products that may form depending on the reaction conditions. The materials were synthesized via the sol–gel method and characterized by N2 adsorption–desorption isotherms, infrared spectroscopy (FT-IR), 31P solid-state nuclear magnetic resonance (NMR-MAS), X-ray diffraction (XRD), thermogravimetric analysis (TGA), X-ray photoelectron spectra (XPS), and potentiometric titration. The characterization results from the XPS spectra showed that as the Si/Zr ratio drops, the Si-O-Si signal size decreases, while the Zr-O signal size increases. Characterization by titration indicated that an increase in the total acidity of the material, resulting from support modification with tungstophosphoric acid (H3PW12O40, TPA), enhances the reaction yield. The catalytic activity in the solvent-free Hantzsch reaction was evaluated under thermal heating and microwave irradiation. The experiments conducted at 80 °C achieved a maximum yield of 57% after 4 h of reaction using the Si20Zr80TPA30 catalyst (50 mg), while by microwave heating, the yield significantly improved, reaching 77% in only 1 h of reaction. This catalyst exhibited stability and reusability without significant loss of activity up to the third cycle. Depending on the type of material and the reaction conditions, it is possible to modify the selectivity of the reaction, obtaining a 1,2-dihydropyridine isomeric to nifedipine. Reaction intermediates and other minor secondary products that may be formed in the process were also evaluated. Full article
Show Figures

Graphical abstract

14 pages, 4463 KB  
Article
Green Carbon Dots from Pinecones and Pine Bark for Amoxicillin and Tetracycline Detection: A Circular Economy Approach
by Saheed O. Sanni, Ajibola A. Bayode, Hendrik G. Brink, Nils H. Haneklaus, Lin Fu, Jianping Shang and Hua-Jun Shawn Fan
J. Xenobiot. 2025, 15(2), 43; https://doi.org/10.3390/jox15020043 - 11 Mar 2025
Viewed by 1384
Abstract
Over the years, the abuse of antibiotics has increased, leading to their presence in the environment. Therefore, a sustainable method for detecting these substances is crucial. Researchers have explored biomass-based carbon dots (CDs) to detect various contaminants, due to their low cost, environmental [...] Read more.
Over the years, the abuse of antibiotics has increased, leading to their presence in the environment. Therefore, a sustainable method for detecting these substances is crucial. Researchers have explored biomass-based carbon dots (CDs) to detect various contaminants, due to their low cost, environmental friendliness, and support of a circular economy. In our study, we reported the synthesis of CDs using pinecones (PCs) and pinebark (PB) through a sustainable microwave method. We characterized the PCCDs and PBCDs using X-ray diffraction, Raman spectroscopy, Transmission Electron Microscope, and Fourier transform infrared, Ultraviolet-visible, and photoluminescence (PL) spectroscopy. The PCCDs and PBCDs were tested for the detection of amoxicillin (AMX) and tetracycline (TC). The results indicated that the sizes of the PCCDs and PBCDs were 19.2 nm and 18.39 nm, respectively, and confirmed the presence of the 002 plane of the graphitic carbon structure. They exhibited excitation wavelength dependence, good stability, and quantum yields ranging from 6% to 11%. PCCDs and PBCDs demonstrated “turn-off” detection for TC and AMX. The limits of detection (LOD) for TC across a broader concentration range were found to be 0.062 µM for PCCDs and 0.2237 µM for PBCDs. For AMX detection, PBCDs presented an LOD of 0.49 µM. Full article
Show Figures

Graphical abstract

16 pages, 4310 KB  
Article
Development of Novel Mussel-Shell-Derived CaO-Based Transition Metal Catalysts for Efficient Microwave-Assisted Biodiesel Production
by Basem Al Alwan, Shahd Alamri, Atef El Jery, Mumtaj Shah and Taher Sahlabji
Processes 2025, 13(2), 522; https://doi.org/10.3390/pr13020522 - 13 Feb 2025
Cited by 3 | Viewed by 1628
Abstract
This study introduces an innovative way to use calcium oxide (CaO) derived from mussel shells as a catalyst support for biodiesel production. Several transition metals, including Ni, Ag, Mo, Co, and W were loaded on the aforementioned support to synthesize mono-metallic and bi-metallic [...] Read more.
This study introduces an innovative way to use calcium oxide (CaO) derived from mussel shells as a catalyst support for biodiesel production. Several transition metals, including Ni, Ag, Mo, Co, and W were loaded on the aforementioned support to synthesize mono-metallic and bi-metallic catalysts using the wet impregnation method. Microwave technology was utilized to accelerate reactions and improve efficiency. Characterization techniques such as BET, SEM/EDX, and XRD confirmed the successful incorporation of metals into the catalyst structure. The prepared catalysts, Mussel(Ni), Mussel(Ni-W), Mussel(Ni-Ag), Mussel(Ni-Mo), and Mussel(Ni-Co), were evaluated to investigate the catalytic performance for biodiesel production from corn oil under different conditions such as microwave powers, catalyst loadings, reaction times, and methanol-to-oil ratios. The combination of mussel-derived catalysts with microwave technology resulted in reduced reaction times and 100% selectivity under conditions of 1.5% catalyst loading, 10 min reaction time, and a methanol-to-oil ratio of 15:1, showcasing the synergistic effects of transition metals. This study highlights the potential of mussel-shell-derived catalysts as a cost-effective and sustainable solution for biodiesel production. By reducing reliance on conventional methods, these findings contribute to clean energy advancements and offer a scalable, environmentally friendly pathway for renewable fuel synthesis. Full article
(This article belongs to the Section Catalysis Enhanced Processes)
Show Figures

Figure 1

14 pages, 3578 KB  
Article
Exploring Efficient and Energy-Saving Microwave Chemical and Material Processes Using Amplitude-Modulated Waves: Pd-Catalyzed Reaction and Ag Nanoparticle Synthesis
by Satoshi Horikoshi, Tomohiko Mitani and Nick Serpone
Molecules 2025, 30(3), 598; https://doi.org/10.3390/molecules30030598 - 28 Jan 2025
Cited by 1 | Viewed by 972
Abstract
This study investigated the impact of a 10 kHz amplitude-modulation (AM) wave from a semiconductor microwave generator on the heating of ultrapure water and electrolyte aqueous solutions containing NaCl. It also examined the effects of AM waves on the yields of 4-methylbiphenyl (4-MBP) [...] Read more.
This study investigated the impact of a 10 kHz amplitude-modulation (AM) wave from a semiconductor microwave generator on the heating of ultrapure water and electrolyte aqueous solutions containing NaCl. It also examined the effects of AM waves on the yields of 4-methylbiphenyl (4-MBP) in the heterogeneous Suzuki–Miyaura coupling reaction, which was conducted in the presence of palladium nanoparticles supported on activated carbon (Pd/AC), as well as their influence on the growth rate during silver nanoparticle synthesis. Applying AM waves, typically used in telecommunications, enhanced heating efficiencies and improved product yields in both the chemical reaction and nanoparticle growth. Irradiating with microwaves under AM conditions allowed it to reduce power output while still achieving target yields and growth rates, even at the same temperatures without AM. This indicates the potential for highly efficient and energy-saving microwave processes in chemical reactions and material synthesis. Full article
(This article belongs to the Special Issue Research on Heterogeneous Catalysis—2nd Edition)
Show Figures

Figure 1

138 pages, 31774 KB  
Review
Green Ammonia, Nitric Acid, Advanced Fertilizer and Electricity Production with In Situ CO2 Capture and Utilization by Integrated Intensified Nonthermal Plasma Catalytic Processes: A Technology Transfer Review for Distributed Biorefineries
by Galip Akay
Catalysts 2025, 15(2), 105; https://doi.org/10.3390/catal15020105 - 22 Jan 2025
Cited by 3 | Viewed by 4428
Abstract
An Integrated Process Intensification (IPI) technology-based roadmap is proposed for the utilization of renewables (water, air and biomass/unavoidable waste) in the small-scale distributed production of the following primary products: electricity, H2, NH3, HNO3 and symbiotic advanced (SX) fertilizers [...] Read more.
An Integrated Process Intensification (IPI) technology-based roadmap is proposed for the utilization of renewables (water, air and biomass/unavoidable waste) in the small-scale distributed production of the following primary products: electricity, H2, NH3, HNO3 and symbiotic advanced (SX) fertilizers with CO2 mineralization capacity to achieve negative CO2 emission. Such a production platform is an integrated intensified biorefinery (IIBR), used as an alternative to large-scale centralized production which relies on green electricity and CCUS. Hence, the capacity and availability of the renewable biomass and unavoidable waste were examined. The critical elements of the IIBR include gasification/syngas production; syngas cleaning; electricity generation; and the conversion of clean syngas (which contains H2, CO, CH4, CO2 and N2) to the primary products using nonthermal plasma catalytic reactors with in situ NH3 sequestration for SA fertilizers. The status of these critical elements is critically reviewed with regard to their techno-economics and suitability for industrial applications. Using novel gasifiers powered by a combination of CO2, H2O and O2-enhanced air as the oxidant, it is possible to obtain syngas with high H2 concentration suitable for NH3 synthesis. Gasifier performances for syngas generation and cleaning, electricity production and emissions are evaluated and compared with gasifiers at 50 kWe and 1–2 MWe scales. The catalyst and plasma catalytic reactor systems for NH3 production with or without in situ reactive sequestration are considered in detail. The performance of the catalysts in different plasma reactions is widely different. The high intensity power (HIP) processing of perovskite (barium titanate) and unary/binary spinel oxide catalysts (or their combination) performs best in several syntheses, including NH3 production, NOx from air and fertigation fertilizers from plasma-activated water. These catalysts can be represented as BaTi1−vO3−x{#}yNz (black, piezoelectric barium titanate, bp-{BTO}) and M(1)3−jM(2)kO4−m{#}nNr/SiO2 (unary (k = 0) or a binary (k > 0) silane-coated SiO2-supported spinel oxide catalyst, denoted as M/Si = X) where {#} infers oxygen vacancy. HIP processing in air causes oxygen vacancies, nitrogen substitution, the acquisition of piezoelectric state and porosity and chemical/morphological heterogeneity, all of which make the catalysts highly active. Their morphological evaluation indicates the generation of dust particles (leading to porogenesis), 2D-nano/micro plates and structured ribbons, leading to quantum effects under plasma catalytic synthesis, including the acquisition of high-energy particles from the plasma space to prevent product dissociation as a result of electron impact. M/Si = X (X > 1/2) and bp-{BTO} catalysts generate plasma under microwave irradiation (including pulsed microwave) and hence can be used in a packed bed mode in microwave plasma reactors with plasma on and within the pores of the catalyst. Such reactors are suitable for electric-powered small-scale industrial operations. When combined with the in situ reactive separation of NH3 in the so-called Multi-Reaction Zone Reactor using NH3 sequestration agents to create SA fertilizers, the techno-economics of the plasma catalytic synthesis of fertilizers become favorable due to the elimination of product separation costs and the quality of the SA fertilizers which act as an artificial root system. The SA fertilizers provide soil fertility, biodiversity, high yield, efficient water and nutrient use and carbon sequestration through mineralization. They can prevent environmental damage and help plants and crops to adapt to the emerging harsh environmental and climate conditions through the formation of artificial rhizosphere and rhizosheath. The functions of the SA fertilizers should be taken into account when comparing the techno-economics of SA fertilizers with current fertilizers. Full article
(This article belongs to the Special Issue Catalysis for CO2 Conversion, 2nd Edition)
Show Figures

Graphical abstract

28 pages, 2500 KB  
Review
The Advanced Role of Carbon Quantum Dots in Nano-Food Science: Applications, Bibliographic Analysis, Safety Concerns, and Perspectives
by Abdul Majid, Khurshid Ahmad, Liju Tan, Waqas Niaz, Wang Na, Li Huiru and Jiangtao Wang
C 2025, 11(1), 1; https://doi.org/10.3390/c11010001 - 24 Dec 2024
Cited by 6 | Viewed by 4910
Abstract
Carbon quantum dots (CQDs) are innovative carbon-based nanomaterials that can be synthesized from organic and inorganic sources using two approaches: “top-down” (laser ablation, arc discharge, electrochemical, and acidic oxidation) and “bottom-up” (hydrothermal, ultrasound-assisted, microwave, and thermal decomposition). Among these, hydrothermal synthesis stands out [...] Read more.
Carbon quantum dots (CQDs) are innovative carbon-based nanomaterials that can be synthesized from organic and inorganic sources using two approaches: “top-down” (laser ablation, arc discharge, electrochemical, and acidic oxidation) and “bottom-up” (hydrothermal, ultrasound-assisted, microwave, and thermal decomposition). Among these, hydrothermal synthesis stands out as the best option as it is affordable and eco-friendly and can produce a high quantum yield. Due to their exceptional physical and chemical properties, CQDs are highly promising materials for diverse applications, i.e., medicine, bioimaging, and especially in food safety, which is one of the thriving fields of recent research worldwide. As an innovative sensing tool, CQDs with different surface functional groups enable them to detect food contaminants, i.e., food additives in processed food, drug residues in honey, and mycotoxins in beer and flour, based on different sensing mechanisms (IFE, PET, and FRET). This article discussed the sources, fabrication methods, advantages, and limitations of CQDs as a sensing for the detection of food contaminants. In addition, the cost-effectiveness, eco-friendliness, high quantum yield, safety concerns, and future research perspectives to enhance food quality and security were briefly highlighted. This review also explored recent advancements in CQD applications in food safety, supported by a bibliometric analysis (2014–2024) using the PubMed database. Full article
(This article belongs to the Special Issue Carbon Functionalization: From Synthesis to Applications)
Show Figures

Graphical abstract

22 pages, 2578 KB  
Review
Recent Advancements in Catalysts for Petroleum Refining
by Muhammad Saeed Akhtar, Sajid Ali and Wajid Zaman
Catalysts 2024, 14(12), 841; https://doi.org/10.3390/catal14120841 - 21 Nov 2024
Cited by 19 | Viewed by 10751
Abstract
In petroleum refining, catalysts are used to efficiently convert crude oil into valuable products such as fuels and petrochemicals. These catalysts are employed in a range of processes, including catalytic cracking, hydrotreating, and reforming to meet stringent fuel quality standards. This review explores [...] Read more.
In petroleum refining, catalysts are used to efficiently convert crude oil into valuable products such as fuels and petrochemicals. These catalysts are employed in a range of processes, including catalytic cracking, hydrotreating, and reforming to meet stringent fuel quality standards. This review explores recent advancements in refining catalysts, focusing on novel materials, enhanced synthesis methods, and their industrial applications. The development of nano-, hierarchically structured, and supported metal catalysts has led to significant improvements in catalyst selectivity, yield, and longevity. These innovations are particularly important for processes such as hydrocracking, fluid catalytic cracking, and catalytic reforming, where catalysts improve conversion rates, product quality, and environmental sustainability. Advances in synthesis techniques such as sol-gel processes, microwave-assisted synthesis, and atomic layer deposition have further optimized catalyst performance. Environmental considerations have also driven the development of catalysts that reduce harmful emissions, particularly sulfur oxides and nitrogen oxides while promoting green catalysis through the use of bio-based materials and recyclable catalysts. Despite these advancements, challenges remain, particularly in scaling novel materials for industrial use and integrating them with existing technologies. Future research should focus on the exploration of new catalytic materials, such as metal-organic frameworks and multi-functional catalysts, which promise to further revolutionize the refining industry. This review thus demonstrates the transformative potential of advanced catalysts in enhancing the efficiency and environmental sustainability of petroleum refining. Full article
(This article belongs to the Special Issue Feature Papers in "Industrial Catalysis" Section)
Show Figures

Graphical abstract

16 pages, 1299 KB  
Article
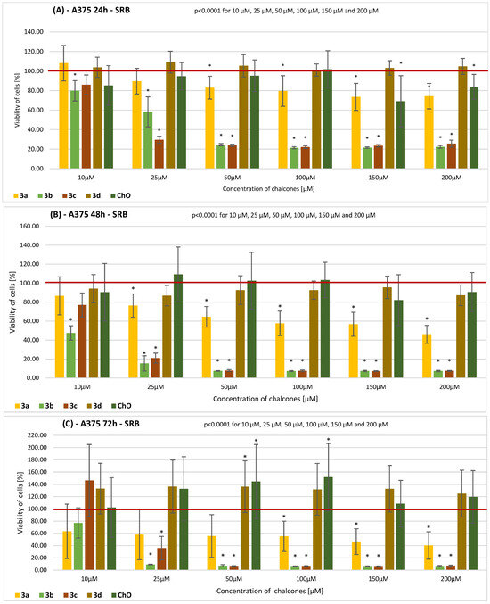
Synthesis of bis-Chalcones Based on Green Chemistry Strategies and Their Cytotoxicity Toward Human MeWo and A375 Melanoma Cell Lines
by Dorota Olender, Anna Pawełczyk, Anna Leśków, Katarzyna Sowa-Kasprzak, Lucjusz Zaprutko and Dorota Diakowska
Molecules 2024, 29(21), 5171; https://doi.org/10.3390/molecules29215171 - 31 Oct 2024
Cited by 2 | Viewed by 1578
Abstract
Chalcone is an aromatic ketone that forms the central core of many important biological compounds. Chalcone derivatives show various biological activities, especially anti-inflammatory, antibacterial, antioxidant, and anticancer activities, and also inhibit melanoma cell growth. In this study, we synthesized chalcone compounds with bis [...] Read more.
Chalcone is an aromatic ketone that forms the central core of many important biological compounds. Chalcone derivatives show various biological activities, especially anti-inflammatory, antibacterial, antioxidant, and anticancer activities, and also inhibit melanoma cell growth. In this study, we synthesized chalcone compounds with bis-chalcone’s chemical structure under microwave (MW) and microwave–ultrasound (MW-US) conditions and compared them to chalcones produced using the classical synthesis method. All bis-chalcones were synthesized with terephthalaldehyde and an appropriate aromatic ketone as substrates in Claisen–Schmidt condensation. All the obtained compounds were tested regarding their roles as potential anticancer agents. The cytotoxic effect of the bis-chalcones against human MeWo and A375 melanoma cell lines was investigated through colorimetric MTT and SRB assays. The data were analyzed statistically. In the case of the synthesis of bis-chalcones, it was determined that the use of green conditions supported by the MW or MW-US factors led to an increase in the yield of the final products and a reduction in the reaction time compared to the classic method. The biological results showed the high cytotoxic effect of bis-chalcones. The present results show the compounds’ high antiproliferative and cytotoxic potential, especially for the two selected bis-chalcone derivatives (3b and 3c), in particular, at concentrations of 50 μM–200 μM at 24, 48 h, and 72 h of incubation. The use of MW and US for the synthesis of bis-chalcones significantly improved the process compared to the classical method. The derivatives containing two hydroxy and two methoxy groups were the most effective against the tested cancer cells. Full article
Show Figures

Figure 1

15 pages, 5937 KB  
Article
Direct Hydrothermal Synthesis and Characterization of Zr–Ce-Incorporated SBA-15 Catalysts for the Pyrolysis Reaction of Algal Biomass
by Simona-Bianca Ghimiș, Florin Oancea, Monica-Florentina Raduly, Andreea-Luiza Mîrț, Bogdan Trică, Mihaela Cîlțea-Udrescu and Gabriel Vasilievici
Energies 2024, 17(15), 3765; https://doi.org/10.3390/en17153765 - 30 Jul 2024
Cited by 2 | Viewed by 1484
Abstract
In recent years, algae have emerged as a promising feedstock for biofuel production, due to their eco-friendly, sustainable, and renewable nature. Various methods, including chemical, biochemical, and thermochemical processes, are used to convert algal biomass into biofuels. Pyrolysis, a widely recognized thermochemical technique, [...] Read more.
In recent years, algae have emerged as a promising feedstock for biofuel production, due to their eco-friendly, sustainable, and renewable nature. Various methods, including chemical, biochemical, and thermochemical processes, are used to convert algal biomass into biofuels. Pyrolysis, a widely recognized thermochemical technique, involves high temperature and pressure to generate biochar and bio-oil from diverse algal sources. Various pyrolytic processes transform algal biomass into biochar and bio-oil, including low pyrolysis, fast pyrolysis, catalytic pyrolysis, microwave-assisted pyrolysis, and hydropyrolysis. These methods are utilized to convert a range of microalgae and cyanobacteria into biochar and bio-oil. In this publication, we will discuss catalytic pyrolysis using mesoporous materials, such as SBA-15. Mesoporous catalysts have earned significant attention for catalytic reactions, due to their high surface area, facilitating the better distribution of impregnated metal. Pyrolysis conducted in the presence of a mesoporous catalyst is viewed more as efficient, compared to reactions occurring within the smaller microporous cavities of traditional zeolites. SBA-15 supports with incorporated Zr and/or Ce were synthesized using the direct hydrothermal synthesis method. The catalyst was characterized using structural and morphological technical analysis and utilized for the pyrolysis reaction of the algal biomass. Full article
Show Figures

Figure 1

Back to TopTop