Sign in to use this feature.

Years

Between: -

Subjects

remove_circle_outline
remove_circle_outline
remove_circle_outline
remove_circle_outline

Journals

Article Types

Countries / Regions

Search Results (10)

Search Parameters:
Keywords = microhydrodynamics

Order results
Result details
Results per page
Select all
Export citation of selected articles as:
28 pages, 6329 KB  
Article
Analytical and Experimental Research of Lubrication Load-Bearing Characteristics of Microtextured Meshing Interface
by Xigui Wang, Jiafu Ruan, Yongmei Wang and Weiqiang Zou
Materials 2025, 18(4), 845; https://doi.org/10.3390/ma18040845 - 14 Feb 2025
Cited by 4 | Viewed by 656
Abstract
The excellent lubrication and load-bearing synergistic modulation of the meshing interface has been well recognized, as the microtextured tooth surface seems to be a punished area in deep-sea gear thermal elastohydrodynamic lubrication (TEHL). This is mainly because of the traditional perception of the [...] Read more.
The excellent lubrication and load-bearing synergistic modulation of the meshing interface has been well recognized, as the microtextured tooth surface seems to be a punished area in deep-sea gear thermal elastohydrodynamic lubrication (TEHL). This is mainly because of the traditional perception of the anti-scuffing load-bearing capacity (ASLBC) and the similarity of the interfacial microelement configurations. Microtextured contact can be applied to the meshing interface to adjust the time-varying TEHL characteristics and enhance the meshing load-bearing performance. In this study, the analytical homogeneous equivalent micro-hydrodynamic contact multiscale parameters are determined, and the dispersed micro-flow real distribution area of the texturing interface is indicated, revealing the TEHL friction characteristics of the rolling–sliding line contact microelement, which is regarded as a bridge connecting the micro-dynamic pressure discrete contact friction behavior and the TEHL textured interface meshed-gear load-bearing. The contact model mentioned theoretically predicts the evolutionary time-varying characteristics of the micro-thermoelastic lubrication behavior of the textured contact interface under hydrodynamic conditions and demonstrates that the microtextured configuration parameters of the molecular scale meshing interface are the most influential structural parameters for the load-bearing problem of the homogeneous flow pressure film layer between the gear pair tooth surfaces, especially for deep-sea gear meshing load-bearing reliability under limited lubrication space. Full article
Show Figures

Figure 1

35 pages, 5303 KB  
Article
Development of a Semi-Mechanistic Modeling Framework for Wet Bead Milling of Pharmaceutical Nanosuspensions
by Donald J. Clancy, Gulenay Guner, Sayantan Chattoraj, Helen Yao, M. Connor Faith, Zahra Salahshoor, Kailey N. Martin and Ecevit Bilgili
Pharmaceutics 2024, 16(3), 394; https://doi.org/10.3390/pharmaceutics16030394 - 13 Mar 2024
Cited by 9 | Viewed by 2935
Abstract
This study aimed to develop a practical semi-mechanistic modeling framework to predict particle size evolution during wet bead milling of pharmaceutical nanosuspensions over a wide range of process conditions and milling scales. The model incorporates process parameters, formulation parameters, and equipment-specific parameters such [...] Read more.
This study aimed to develop a practical semi-mechanistic modeling framework to predict particle size evolution during wet bead milling of pharmaceutical nanosuspensions over a wide range of process conditions and milling scales. The model incorporates process parameters, formulation parameters, and equipment-specific parameters such as rotor speed, bead type, bead size, bead loading, active pharmaceutical ingredient (API) mass, temperature, API loading, maximum bead volume, blade diameter, distance between blade and wall, and an efficiency parameter. The characteristic particle size quantiles, i.e., x10, x50, and x90, were transformed to obtain a linear relationship with time, while the general functional form of the apparent breakage rate constant of this relationship was derived based on three models with different complexity levels. Model A, the most complex and general model, was derived directly from microhydrodynamics. Model B is a simpler model based on a power-law function of process parameters. Model C is the simplest model, which is the pre-calibrated version of Model B based on data collected from different mills across scales, formulations, and drug products. Being simple and computationally convenient, Model C is expected to reduce the amount of experimentation needed to develop and optimize the wet bead milling process and streamline scale-up and/or scale-out. Full article
Show Figures

Figure 1

13 pages, 3875 KB  
Article
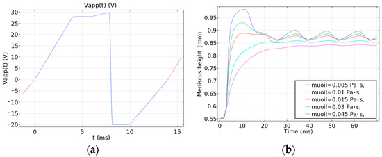
Research on Hydrodynamic Characteristics of Electronic Paper Pixels Based on Electrowetting
by Mingzhen Chen, Shanling Lin, Ting Mei, Ziyu Xie, Jianpu Lin, Zhixian Lin, Tailiang Guo and Biao Tang
Micromachines 2023, 14(10), 1918; https://doi.org/10.3390/mi14101918 - 10 Oct 2023
Cited by 6 | Viewed by 1690
Abstract
In this paper, we propose a driving waveform with a complex ramp pulse for an electrowetting display system. The relationship between the contact angle and viscosity of inks was calculated based on the fluid-motion characteristics of different viscosities. We obtained the suitable range [...] Read more.
In this paper, we propose a driving waveform with a complex ramp pulse for an electrowetting display system. The relationship between the contact angle and viscosity of inks was calculated based on the fluid-motion characteristics of different viscosities. We obtained the suitable range of viscosity and voltage in the liquid–oil–solid three-phase contact display system. We carried out model simulation and driving waveform design. The result shows that the driving waveform improves the response speed and aperture ratio of electrowetting. The aperture ratio of electrowetting pixels is increased to 68.69%. This research is of great significance to optimizing the structure of fluid material and the design of driving waveforms in electrowetting displays. Full article
(This article belongs to the Section E:Engineering and Technology)
Show Figures

Figure 1

29 pages, 7593 KB  
Article
Do Mixtures of Beads with Different Sizes Improve Wet Stirred Media Milling of Drug Suspensions?
by Gulenay Guner, Mirsad Mehaj, Natasha Seetharaman, Sherif Elashri, Helen F. Yao, Donald J. Clancy and Ecevit Bilgili
Pharmaceutics 2023, 15(9), 2213; https://doi.org/10.3390/pharmaceutics15092213 - 26 Aug 2023
Cited by 8 | Viewed by 3575
Abstract
The impacts of bead sizes and bead mixtures on breakage kinetics, the number of milling cycles applied to prevent overheating, and power consumption during the nanomilling of drug (griseofulvin) suspensions were investigated from both an experimental and theoretical perspective. Narrowly sized zirconia beads [...] Read more.
The impacts of bead sizes and bead mixtures on breakage kinetics, the number of milling cycles applied to prevent overheating, and power consumption during the nanomilling of drug (griseofulvin) suspensions were investigated from both an experimental and theoretical perspective. Narrowly sized zirconia beads with nominal sizes of 100, 200, and 400 µm and their half-and-half binary mixtures were used at 3000 and 4000 rpm with two bead loadings of 0.35 and 0.50. Particle size evolution was measured during the 3 h milling experiments using laser diffraction. An nth-order breakage model was fitted to the experimental median particle size evolution, and various microhydrodynamic parameters were calculated. In general, the beads and their mixtures with smaller median sizes achieved faster breakage. While the microhydrodynamic model explained the impacts of process parameters, it was limited in describing bead mixtures. For additional test runs performed, the kinetics model augmented with a decision tree model using process parameters outperformed that augmented with an elastic-net regression model using the microhydrodynamic parameters. The evaluation of the process merit scores suggests that the use of bead mixtures did not lead to notable process improvement; 100 µm beads generally outperformed bead mixtures and coarser beads in terms of fast breakage, low power consumption and heat generation, and low intermittent milling cycles. Full article
(This article belongs to the Collection Feature Papers in Pharmaceutical Technology)
Show Figures

Graphical abstract

20 pages, 12842 KB  
Article
Investigation of Microflow Effects in Textures on Hydrodynamic Performance of Journal Bearings Using CFD Simulations
by Yujun Wang, Georg Jacobs, Florian König, Shuo Zhang and Stephan von Goeldel
Lubricants 2023, 11(1), 20; https://doi.org/10.3390/lubricants11010020 - 5 Jan 2023
Cited by 22 | Viewed by 3993
Abstract
Adequately designed and positioned surface textures are recognized as a promising way to increase load-carrying capacity and reduce frictional losses of journal bearings. The aim of this work is to analyze the local lubrication mechanisms of textures in journal bearings from microflow perspective, [...] Read more.
Adequately designed and positioned surface textures are recognized as a promising way to increase load-carrying capacity and reduce frictional losses of journal bearings. The aim of this work is to analyze the local lubrication mechanisms of textures in journal bearings from microflow perspective, while considering the interactions between textures and the film formation in the whole bearing. For this purpose, hydrodynamic lubrication models of textured journal bearings are built. The results show that placing textures downstream of the high-pressure region leads to a reduced friction force, with a less severe loss of load-carrying capacity. The effects of textures on the load-carrying capacity include the positive micro-hydrodynamic pressure effect and the negative effect caused by the discontinuity of the high-pressure region. The micro-hydrodynamic pressure of textures can be generated on one hand by limiting pressure drop (cavitation) in the divergent gap and on the other hand by the inertia effect. For the friction, the vortex inside textures affects the friction force by influencing the maximum shear stress at the minimum oil film. In turn the vortex is influenced by the bearing lubrication film. The research provides the fundamental reference and theoretical basis for the design and optimization of textured journal bearings. Full article
Show Figures

Graphical abstract

21 pages, 9651 KB  
Article
Modelling Approaches of Wear-Based Surface Development and Their Experimental Validation
by Michael Maier, Michael Pusterhofer and Florian Grün
Lubricants 2022, 10(12), 335; https://doi.org/10.3390/lubricants10120335 - 26 Nov 2022
Cited by 4 | Viewed by 2819
Abstract
Surface topography has a significant influence on the friction behaviour in lubricated contacts. During running-in, the surface topography is continuously changed. The surface structure influences the contact stiffness (asperity contact pressure) as well as the microhydrodynamics (flow factors). In this study, different models [...] Read more.
Surface topography has a significant influence on the friction behaviour in lubricated contacts. During running-in, the surface topography is continuously changed. The surface structure influences the contact stiffness (asperity contact pressure) as well as the microhydrodynamics (flow factors). In this study, different models for wear simulation of real rough surfaces were created in Matlab© (MathWorks, Natick, MA) and Abaqus© (ABAQUS Inc., Palo Alto, CA, USA) using the Usersubroutine Umeshmotion. The arithmetic mean height Sa(wh), the maximum height Sz(wh), as well as the asperity contact pressure pasp(h,wh) as a function of the wear height (wh) are used to characterise the surface for the respective wear state. The surface characteristics obtained from the simulations are validated with parameters from experiments. The aim of this study was to create a simulation methodology for mapping surface development during the running-in process. The results show, that the qualitative course of the surface parameters can be reproduced with the applied simulation methodology. Compared to the experiments, the rough surfaces are flattened faster. By adapting the simulation results in postprocessing, good agreements with the experiments can be achieved. Full article
(This article belongs to the Special Issue Advances in Wear Predictive Models)
Show Figures

Figure 1

16 pages, 2990 KB  
Article
Modeling of the Electrochemical Motion Sensor Conversion Factor at High Frequencies
by Vadim Agafonov, Iuliia Kompaniets, Bowen Liu and Jian Chen
Micromachines 2022, 13(2), 153; https://doi.org/10.3390/mi13020153 - 20 Jan 2022
Cited by 3 | Viewed by 2559
Abstract
The conversion factor of the electrochemical motion sensors at low frequencies is usually quite high. At the same time, it decreases significantly with the increase in frequency. Thus, increasing the conversion factor for high frequencies is essential for practical use. In this work, [...] Read more.
The conversion factor of the electrochemical motion sensors at low frequencies is usually quite high. At the same time, it decreases significantly with the increase in frequency. Thus, increasing the conversion factor for high frequencies is essential for practical use. In this work, the theoretical model that allows establishing the basic laws governing the conversion of high-frequency signals in an electrochemical cell has been suggested. The approach was based on the fact that in the case of high frequencies, the diffusion length is less than the distance between the electrodes and the thickness of the channel and it is enough to consider the transformation of the fluid motion into electrical current only near the cathodes. It was found that the signal output current can be represented as the sum of the term which is proportional to the steady-state concentration gradient along the surface on which the cathode is located, and the term proportional to the concentration gradient normal to the surface. Both first and second terms and the total signal current have been calculated for a particular case of a four-electrode planar system. The practical conclusion is that the high frequency conversion factor increases with the interelectrode distance and the channel width decreases compared to the cathode dimension. Full article
(This article belongs to the Special Issue Progress in Electrochemical Sensors)
Show Figures

Figure 1

33 pages, 7145 KB  
Article
Kinetic and Microhydrodynamic Modeling of Fenofibrate Nanosuspension Production in a Wet Stirred Media Mill
by Gulenay Guner, Dogacan Yilmaz and Ecevit Bilgili
Pharmaceutics 2021, 13(7), 1055; https://doi.org/10.3390/pharmaceutics13071055 - 10 Jul 2021
Cited by 22 | Viewed by 3664
Abstract
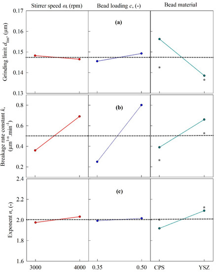
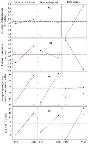
This study examined the impact of stirrer speed and bead material loading on fenofibrate particle breakage during wet stirred media milling (WSMM) via three kinetic models and a microhydrodynamic model. Evolution of median particle size was tracked via laser diffraction during WSMM operating [...] Read more.
This study examined the impact of stirrer speed and bead material loading on fenofibrate particle breakage during wet stirred media milling (WSMM) via three kinetic models and a microhydrodynamic model. Evolution of median particle size was tracked via laser diffraction during WSMM operating at 3000–4000 rpm with 35–50% (v/v) concentration of polystyrene or zirconia beads. Additional experiments were performed at the center points of the above conditions, as well as outside the range of these conditions, in order to test the predictive capability of the models. First-order, nth-order, and warped-time kinetic models were fitted to the data. Main effects plots helped to visualize the influence of the milling variables on the breakage kinetics and microhydrodynamic parameters. A subset selection algorithm was used along with a multiple linear regression model (MLRM) to delineate how the breakage rate constant k was affected by the microhydrodynamic parameters. As a comparison, a purely empirical correlation for k was also developed in terms of the process/bead parameters. The nth-order model was found to be the best model to describe the temporal evolution; nearly second-order kinetics (n ≅ 2) was observed. When the process was operated at a higher stirrer speed and/or higher loading with zirconia beads as opposed to polystyrene beads, the breakage occurred faster. A statistically significant (p-value ≤ 0.01) MLRM of three microhydrodynamic parameters explained the variation in the breakage rate constant best (R2 ≥ 0.99). Not only do the models and the nth-order kinetic–microhydrodynamic correlation enable deeper process understanding toward developing a WSMM process with reduced cycle time, but they also provide good predictive capability, while outperforming the purely empirical correlation. Full article
(This article belongs to the Section Pharmaceutical Technology, Manufacturing and Devices)
Show Figures

Graphical abstract

35 pages, 1588 KB  
Review
Nanomilling of Drugs for Bioavailability Enhancement: A Holistic Formulation-Process Perspective
by Meng Li, Mohammad Azad, Rajesh Davé and Ecevit Bilgili
Pharmaceutics 2016, 8(2), 17; https://doi.org/10.3390/pharmaceutics8020017 - 20 May 2016
Cited by 189 | Viewed by 15578
Abstract
Preparation of drug nanoparticles via wet media milling (nanomilling) is a very versatile drug delivery platform and is suitable for oral, injectable, inhalable, and buccal applications. Wet media milling followed by various drying processes has become a well-established and proven formulation approach especially [...] Read more.
Preparation of drug nanoparticles via wet media milling (nanomilling) is a very versatile drug delivery platform and is suitable for oral, injectable, inhalable, and buccal applications. Wet media milling followed by various drying processes has become a well-established and proven formulation approach especially for bioavailability enhancement of poorly water-soluble drugs. It has several advantages such as organic solvent-free processing, tunable and relatively high drug loading, and applicability to a multitude of poorly water-soluble drugs. Although the physical stability of the wet-milled suspensions (nanosuspensions) has attracted a lot of attention, fundamental understanding of the process has been lacking until recently. The objective of this review paper is to present fundamental insights from available published literature while summarizing the recent advances and highlighting the gap areas that have not received adequate attention. First, stabilization by conventionally used polymers/surfactants and novel stabilizers is reviewed. Then, a fundamental understanding of the process parameters, with a focus on wet stirred media milling, is revealed based on microhydrodynamic models. This review is expected to bring a holistic formulation-process perspective to the nanomilling process and pave the way for robust process development scale-up. Finally, challenges are indicated with a view to shedding light on future opportunities. Full article
(This article belongs to the Special Issue Nanocrystals)
Show Figures

Graphical abstract

17 pages, 976 KB  
Article
A Generic Friction Model for Radial Slider Bearing Simulation Considering Elastic and Plastic Deformation
by Günter Offner and Oliver Knaus
Lubricants 2015, 3(3), 522-538; https://doi.org/10.3390/lubricants3030522 - 30 Jun 2015
Cited by 32 | Viewed by 7563
Abstract
The investigation of component dynamics is one of the main tasks of internal combustion engine (ICE) simulation. This prediction is important in order to understand complex loading conditions, which happen in a running ICE. Due to the need for fuel saving, mechanical friction, [...] Read more.
The investigation of component dynamics is one of the main tasks of internal combustion engine (ICE) simulation. This prediction is important in order to understand complex loading conditions, which happen in a running ICE. Due to the need for fuel saving, mechanical friction, in particular in radial slider bearings, is one important investigation target. A generic friction modeling approach for radial slider bearings, which can be applied to lubricated contact regimes, will be presented in this paper. Besides viscous friction, the approach considers in particular boundary friction. The parameterization of the friction model is done using surface material and surface roughness measurement data. Furthermore, fluid properties depending on the applied oil additives are being considered. The application of the model will be demonstrated for a typical engineering task of a connecting rod big end study to outline the effects of contact surface texture. AlSn-based and polymer coated bearing shells will be analyzed and compared with respect to friction reduction effects, running-in behavior and thermal load capabilities. Full article
(This article belongs to the Special Issue Numerical Simulation of Static and Dynamic Friction)
Show Figures

Figure 1

Back to TopTop