Sign in to use this feature.

Years

Between: -

Subjects

remove_circle_outline
remove_circle_outline
remove_circle_outline
remove_circle_outline
remove_circle_outline
remove_circle_outline
remove_circle_outline
remove_circle_outline
remove_circle_outline

Journals

remove_circle_outline
remove_circle_outline
remove_circle_outline
remove_circle_outline
remove_circle_outline

Article Types

Countries / Regions

remove_circle_outline
remove_circle_outline
remove_circle_outline
remove_circle_outline

Search Results (548)

Search Parameters:
Keywords = micro-habitat

Order results
Result details
Results per page
Select all
Export citation of selected articles as:
33 pages, 11554 KB  
Article
Forest Habitats, Management Intensity, and Elevation as Drivers of Eumycetozoa Distributions and Their Utility as Bioindicators
by Tomasz Pawłowicz, Tomasz Oszako and Adam Okorski
Forests 2025, 16(12), 1871; https://doi.org/10.3390/f16121871 - 17 Dec 2025
Abstract
Slime moulds (Eumycetozoa) are closely associated with forest structure, moisture and the availability of microhabitats, which together make them promising candidates for bioindication. This study synthesised an integrated, georeferenced resource from Central and Eastern Europe to assess how forest habitat, management intensity, and [...] Read more.
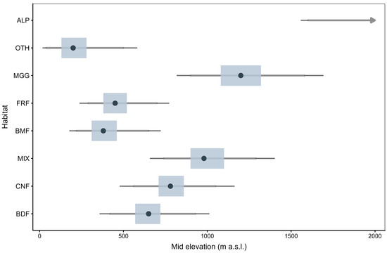
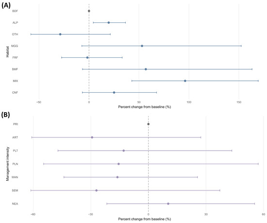
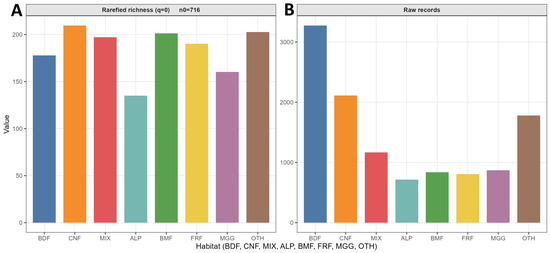
Slime moulds (Eumycetozoa) are closely associated with forest structure, moisture and the availability of microhabitats, which together make them promising candidates for bioindication. This study synthesised an integrated, georeferenced resource from Central and Eastern Europe to assess how forest habitat, management intensity, and elevation structure assemblages, and to identify indicator taxa suited to monitoring. Analyses in R (RStudio, version 4.5.2) combined effort-controlled diversity comparisons, models of record intensity, habitat-stratified elevation responses, constrained ordination, and indicator testing at species and higher ranks. The resulting corpus encompassed 624 species from 16 countries and eight consolidated forest habitat classes, enabling quantification of joint assemblage responses to habitat, management intensity, and elevation under effort-controlled sampling, and facilitating the identification of indicator sets that are robust to uneven sampling. At the order and genus levels, Physarales, Trichiales, and Stemonitidales, together with genera such as Trichia, Meriderma, and Polyschismium, exhibited the clearest and most transferable indicator behaviour, while species including Trichia varia, Fuligo septica, and Meriderma carestiae emerged as promising candidates for fine-grained bioindication along habitat and elevation gradients. Habitat exerted clearer contrasts than management; elevation effects were strongly habitat specific, and a compact set of taxa showed stable, interpretable indicator behaviour across gradients. These indicator assemblages, together with an appraisal of cross-country generalisation, provide an operational basis for elevation-aware, habitat-structured bioindication with slime moulds in European forests. Taken together, these results indicate that slime mould assemblages have the potential to complement existing forest bioindication systems, both by tracking broad forest habitat types along management and elevation gradients and by providing indirect information on less conspicuous attributes such as stand naturalness and the availability of dead wood, although such applications remain at a proof-of-concept stage and will require further targeted evaluation before operational deployment. Full article
(This article belongs to the Section Forest Biodiversity)
Show Figures

Figure 1

14 pages, 1826 KB  
Article
Assessing the Hibernation Ecology of the Endangered Amphibian, Pelophylax chosenicus Using PIT Tagging Method
by Kwanik Kwon, Changdeuk Park, Jeongwoo Yoo, Nakyung Yoo, Keun-Sik Kim and Juduk Yoon
Animals 2025, 15(24), 3638; https://doi.org/10.3390/ani15243638 - 17 Dec 2025
Abstract
The Gold-spotted pond frog (Pelophylax chosenicus (Okada, 1931)), classified as an endangered species in South Korea, has experienced significant population declines due to habitat loss, primarily driven by agricultural expansion and urbanization. This study aimed to assess the hibernation ecology of P. [...] Read more.
The Gold-spotted pond frog (Pelophylax chosenicus (Okada, 1931)), classified as an endangered species in South Korea, has experienced significant population declines due to habitat loss, primarily driven by agricultural expansion and urbanization. This study aimed to assess the hibernation ecology of P. chosenicus using PIT tagging technology, focusing on its hibernation behavior, environmental conditions, and implications for conservation and restoration. Over a three-year period (2021–2024), PIT tags were implanted in 408 frogs, enabling continuous monitoring of hibernation sites and individual characteristics. The results revealed that hibernation depths ranged from 1 to 23 cm, with deeper burrowing observed during colder months, indicating a temperature-dependent survival strategy. The soil temperature at hibernation sites remained consistently higher than ambient air temperature, suggesting an adaptive mechanism to avoid freezing conditions. Additionally, frogs exhibited a strong preference for hibernation sites near water bodies, where soil moisture levels were high, highlighting the importance of preserving suitable microhabitats for successful overwintering. These findings provide valuable insights into the hibernation ecology of P. chosenicus and are critical for guiding effective habitat restoration initiatives. Future research should investigate physiological adaptations to varying hibernation environments and the potential impacts of climate change may impact the survival of this endangered species. Full article
(This article belongs to the Section Herpetology)
Show Figures

Figure 1

24 pages, 5025 KB  
Review
Plant Growth-Promoting Rhizobacteria and Biochar as Drought Defense Tools: A Comprehensive Review of Mechanisms and Future Directions
by Faezeh Parastesh, Behnam Asgari Lajayer and Bernard Dell
Curr. Issues Mol. Biol. 2025, 47(12), 1040; https://doi.org/10.3390/cimb47121040 - 12 Dec 2025
Viewed by 218
Abstract
Drought stress, exacerbated by climate change, is a serious threat to global food security. This review examines the synergistic potential of plant growth-promoting rhizobacteria (PGPR) and biochar as a sustainable strategy for enhancing crop drought resilience. Biochar’s porous structure creates a protective “charosphere” [...] Read more.
Drought stress, exacerbated by climate change, is a serious threat to global food security. This review examines the synergistic potential of plant growth-promoting rhizobacteria (PGPR) and biochar as a sustainable strategy for enhancing crop drought resilience. Biochar’s porous structure creates a protective “charosphere” microhabitat, enhancing PGPR colonization and survival. This partnership, in turn, induces multifaceted plant responses through: (1) the modulation of key phytohormones, including abscisic acid (ABA), ethylene (via 1-aminocyclopropane-1-carboxylate (ACC) deaminase activity), and auxins; (2) improved nutrient solubilization and uptake; and (3) the activation of robust antioxidant defense systems. These physiological benefits are orchestrated by a profound reprogramming of the plant transcriptome, which shifts the plant’s expression profile from a stressed to a resilient state by upregulating key genes (e.g., Dehydration-Responsive Element-Binding protein (DREB), Light-Harvesting Chlorophyll B-binding protein (LHCB), Plasma membrane Intrinsic Proteins (PIPs)) and downregulating stress-senescence markers. To realize a climate-resilient farming future, research must be strategically directed toward customizing biochar–PGPR combinations, validating their long-term performance in agronomic environments, and uncovering the molecular bases of their action. Full article
Show Figures

Figure 1

20 pages, 1348 KB  
Review
Seed Coatings as Biofilm Micro-Habitats: Principles, Applications, and Sustainability Impacts
by Yujie Wang, Shunjin Li, Yuan Wang, Zhi Yao, Zhi Yu, Wei Zhang and Jingzhi Yang
Agronomy 2025, 15(12), 2854; https://doi.org/10.3390/agronomy15122854 - 12 Dec 2025
Viewed by 273
Abstract
Seed coating, which involves the application of materials such as nutrients, growth regulators, and protective agents, can significantly enhance seed germination. This review introduces and assesses a paradigm shift in seed technology: the conceptualization of seed coatings as engineered biofilm micro-habitats. This approach [...] Read more.
Seed coating, which involves the application of materials such as nutrients, growth regulators, and protective agents, can significantly enhance seed germination. This review introduces and assesses a paradigm shift in seed technology: the conceptualization of seed coatings as engineered biofilm micro-habitats. This approach moves beyond mere physical protection and chemical delivery by utilizing the coating matrix to host beneficial microbial consortia that form functional biofilms, thereby creating the potential for a dynamic, living interface at the seed–root junction. Furthermore, guided by perspectives from chemistry biology, we synthesize design principles for these micro-habitats at a systems level. Within this framework, we demonstrate their potential to enhance crop growth, stress resilience, and pathogen suppression. By framing seed coating as a dynamic microbial environment, this review aims to guide future research and development toward ecology-driven seed enhancement strategies. Full article
(This article belongs to the Section Farming Sustainability)
Show Figures

Figure 1

17 pages, 7982 KB  
Article
Diatoms as Bark Epiphytes in the Tropical Lowlands of Panama
by Gerhard Zotz, Jonas Zimmermann, Jessica Y. L. Tay and Nélida Abarca
Diversity 2025, 17(12), 849; https://doi.org/10.3390/d17120849 - 11 Dec 2025
Viewed by 177
Abstract
Diatoms are of major importance in marine and freshwater systems, but their occurrence in terrestrial situations is generally thought to be exceptional. Following up on the accidental discovery of epiphytic diatoms on bark samples in an unrelated study, we investigated their presence in [...] Read more.
Diatoms are of major importance in marine and freshwater systems, but their occurrence in terrestrial situations is generally thought to be exceptional. Following up on the accidental discovery of epiphytic diatoms on bark samples in an unrelated study, we investigated their presence in the tropical lowlands of Panama more systematically using scanning electron and light microscopy. We sampled inundated and aerial bark portions of Annona glabra, a tree that grows along the shore of Lake Gatun, and took bark samples from other tree and liana species at c. 1.5 m height in the forest understory. In total, we found 70 diatom taxa in 28 genera. Species numbers and composition differed among the three microhabitats with the largest numbers on inundated bark portions, but even in the forest understory, we found 12 taxa with densities of up to 900 frustules per mm−2 of bark. Our data set is still quite limited in scale but the results suggest the possibility that hitherto unacknowledged assemblages of epiphytic diatoms may be quite common in wet tropical forests, which clearly warrants further study. Full article
Show Figures

Figure 1

18 pages, 4868 KB  
Article
Niche-Driven Bacterial Assembly Versus Weak Geographical Divergence of Fungi in the Rhizosheath of Desert Plant Leymus racemosus (Lam.) Tzvel
by Yufang Sun, Jinfeng Tang, Xiaohao Zhou and Jun Liu
Plants 2025, 14(24), 3747; https://doi.org/10.3390/plants14243747 - 9 Dec 2025
Viewed by 132
Abstract
The rhizosheath plays a critical but poorly understood role in plant–microbe interactions. However, it still remains unclear how host selection versus geographical isolation contributes to microbial community assembly within the rhizosheath. This study characterized the bacterial and fungal communities in the rhizosheath and [...] Read more.
The rhizosheath plays a critical but poorly understood role in plant–microbe interactions. However, it still remains unclear how host selection versus geographical isolation contributes to microbial community assembly within the rhizosheath. This study characterized the bacterial and fungal communities in the rhizosheath and surrounding bulk soil of Leymus racemosus using 16S rRNA and ITS high-throughput sequencing. Results showed that the bacterial community was strongly shaped by host selection within the rhizosheath, based on significantly reduced α-diversity and distinct β-diversity (Permutation tests, p < 0.001) compared to bulk soil. Furthermore, the core bacterial community structure was highly similar between the two geographically separated sites (PERMANOVA, p = 0.089). In contrast, the fungal community exhibited weaker habitat specificity but showed significant, though weak, geographical divergence (β-diversity, Permutation tests, p = 0.028). The explanatory power of geographical distance for fungal community variation was low (R2 = 0.095) and less than that of the rhizosheath microhabitat (R2 = 0.142). In conclusion, the rhizosheath imposes a strong filtering effect on bacterial communities. The weaker habitat specificity and stronger geographical signal observed for fungi suggest potential regulation by local dispersal limitation or historical colonization processes. This study provides insights into the assembly mechanisms of the plant rhizosphere microbial community. Full article
(This article belongs to the Section Plant Ecology)
Show Figures

Figure 1

11 pages, 1294 KB  
Brief Report
Serratia nevei in Nigeria: First Report and Global Distribution
by Ayodele Timilehin Adesoji, Emmanuel Dayo Alabi, Vittoria Mattioni Marchetti and Roberta Migliavacca
Microorganisms 2025, 13(12), 2732; https://doi.org/10.3390/microorganisms13122732 - 29 Nov 2025
Viewed by 455
Abstract
Serratia species are opportunistic human pathogens found in diverse environmental habitats. Here, we report the first isolation of Serratia nevei from food samples in Nigeria. During a two-month epidemiological surveillance at a local food market in Dutsin-Ma, Katsina State, Nigeria, a total of [...] Read more.
Serratia species are opportunistic human pathogens found in diverse environmental habitats. Here, we report the first isolation of Serratia nevei from food samples in Nigeria. During a two-month epidemiological surveillance at a local food market in Dutsin-Ma, Katsina State, Nigeria, a total of 180 food samples were collected, and isolation and species identification were performed using chromogenic agar and MicroScan autoSCAN-4, respectively. Antimicrobial susceptibility and minimum inhibitory concentrations (MICs) were determined using the MicroScan autoSCAN-4 system. Strain F129B, recovered from a fresh, unprocessed beef sample, was initially identified as Klebsiella pneumoniae by chromogenic agar and MicroScan autoSCAN-4, and subsequently as Serratia marcescens by MALDI-TOF MS. Only Whole Genome Sequencing (WGS) and bioinformatics analyses confirmed its identity as S. nevei. The strain was then selected for further characterization by Whole Genome Sequencing (WGS) and bioinformatics analyses to confirm its identity. The strain was phenotypically resistant to amoxicillin/clavulanic acid and colistin, with elevated MICs for aztreonam (4 mg/L) and cefuroxime (16 mg/L). In silico analyses of its genome confirmed the isolate as S. nevei, harboring genes conferring resistance to β-lactams (blaSTR-2), aminoglycosides (aac (6′)-Ic), fosfomycin (fosA), streptomycin (satA), and tetracycline (tet (41)). Its virulence repertoire comprises genes associated with adhesion (yidE, yidR, yidQ), colicin tolerance (creA and creD), and heavy metal resistance (czcD, chrBACF operon). These findings underscore the need for genomic characterization for accurate species identification within the Serratia genus. Our findings revealed the emergence of S. nevei in the food supply chain and highlighted its potential for zoonotic transmission. Robust surveillance of the local food supply chain is urgently needed in north-western Nigeria. Full article
(This article belongs to the Special Issue Food Microorganisms and Genomics, 2nd Edition)
Show Figures

Figure 1

26 pages, 10064 KB  
Article
A New Method for Determining the Ecological Flow Regime to Support Sustainable Restoration of Target Fish Habitats in Impaired Rivers
by Zheng Zhou, Yang Ding, Zicheng Yu, Jinyong Zhao, Jingzhou Zhang and Zhe Liu
Sustainability 2025, 17(23), 10703; https://doi.org/10.3390/su172310703 - 28 Nov 2025
Viewed by 347
Abstract
Large-scale river degradation constitutes a global challenge, rendering the ecological restoration of impaired rivers ever more crucial. While ecological restoration projects have enhanced the quality of river habitats, given the dynamic nature and complexity of river and lake ecosystems, the achievement of sustainable [...] Read more.
Large-scale river degradation constitutes a global challenge, rendering the ecological restoration of impaired rivers ever more crucial. While ecological restoration projects have enhanced the quality of river habitats, given the dynamic nature and complexity of river and lake ecosystems, the achievement of sustainable restoration of fish habitats and the assurance of its effectiveness continue to face numerous challenges. Consequently, this study proposes an improved approach to determine the ecological flow requirements of fish habitats in impaired rivers. In relation to the screening of key species, a bespoke evaluation index system has been developed specifically for impaired rivers lacking rare and endemic fish species. Primary data were collected via field surveys, ecological monitoring, and a review of the literature, while the analytic hierarchy process (AHP) was utilized to quantitatively identify key species. In the development of the assessment framework, three core indicators were integrated: habitat-weighted usable area (WUA), habitat connectivity index (HCI), and microhabitat heterogeneity index (RMH). Incorporating the ecological requirements of key fish species across different life stages, a systematic analysis was undertaken to explore the ecological response effects of different indicator combinations under varying flow regimes. The results revealed that a flow rate of 160 m3/s gives rise to an inflection point in the RMH diversity index at 1.618, whereas a flow rate of 240 m3/s results in a significant inflection point in the HCI at 0.652. At a flow rate of 260 m3/s, the WUA attains 2,007,928 m2. The optimal ecological flow range was determined to be 160–240 m3/s for the breeding period (March–June), 240–260 m3/s for the foraging period (July–October), and 120 m3/s for the winter period. These findings provide a theoretical framework for the restoration of target fish populations in similarly degraded rivers. Full article
Show Figures

Figure 1

18 pages, 1612 KB  
Article
Optimizing Water–Carbon Coupling Through a Trait-Based Framework Integrating WCCI and Dual-Filter CATS Model
by Shaoyang Wu, Yan Zhang, Jian Hou, Yang Tai, Xiaohui Huang, Xiaochen Guo, Hailong Wu and Chen Xing
Agronomy 2025, 15(12), 2733; https://doi.org/10.3390/agronomy15122733 - 27 Nov 2025
Viewed by 367
Abstract
Ecological restoration in degraded landscapes requires understanding the factors driving ecosystem function. We ask the central question: Do microtopography and plant functional traits control water-carbon coupling efficiency (WCCI) in mining-affected grasslands? We developed a novel, decoupled WCCI metric balancing water-use efficiency (1/SLA) and [...] Read more.
Ecological restoration in degraded landscapes requires understanding the factors driving ecosystem function. We ask the central question: Do microtopography and plant functional traits control water-carbon coupling efficiency (WCCI) in mining-affected grasslands? We developed a novel, decoupled WCCI metric balancing water-use efficiency (1/SLA) and carbon-stock potential (Height + Foliage Cover). We hypothesized that (1) microhabitats with severe environmental filters (e.g., drought, erosion) would exhibit the lowest WCCI, and (2) this function could be optimized by assembling species that balance these two distinct trait strategies. Our objectives were to: (i) quantify the new WCCI across five microhabitat zones (A–E); (ii) assess how soil filters shape existing community functions; and (iii) identify optimized, zone-specific species assemblages using a dual-filter CATS model that maximizes WCCI. Results show significant variability in WCCI. The most degraded zones, A (arid) and B (high erosion), exhibited the lowest functional performance (mean WCCI = 0.029 and 0.078), supporting our first hypothesis. The dual-filter CATS model, constrained by abiotic targets (Tolerance = 10%) and a diversity cap (Max Abundance = 30%), successfully generated distinct, functionally tailored species assemblages for each zone. For instance, the optimized community for arid Zone A included the drought-adapted grass Stipa capillata (15.9%), while the resource-rich Zone D was recommended Medicago lupulina (12.7%). Conclusion: These findings confirm that a “one-size-fits-all” approach is insufficient. We demonstrate the necessity of a trait-based, microhabitat-specific framework to move beyond taxonomic mimicry and truly optimize biogeochemical functions in restoration. Full article
Show Figures

Figure 1

26 pages, 2588 KB  
Article
Epiphytic Habit and Spatial Distribution Patterns of Phalaenopsis deliciosa and Phalaenopsis hainanensis
by Haotian Zhong, Wenchang Li, Zhiheng Chen and Zhe Zhang
Diversity 2025, 17(12), 818; https://doi.org/10.3390/d17120818 - 27 Nov 2025
Viewed by 279
Abstract
Epiphytic orchids are the largest group of epiphytes and are important components of forest species diversity. Epiphytic orchids show host preferences. Their spatial distribution is shaped by microhabitat preferences, host tree characteristics, and mycorrhizal associations. In this study, the habitat community structure and [...] Read more.
Epiphytic orchids are the largest group of epiphytes and are important components of forest species diversity. Epiphytic orchids show host preferences. Their spatial distribution is shaped by microhabitat preferences, host tree characteristics, and mycorrhizal associations. In this study, the habitat community structure and epiphytic habits of epiphytic orchids, Phalaenopsis deliciosa and Phalaenopsis hainanensis, distributed on Hainan Island were investigated. The results show that the vascular plant genera in the communities of P. deliciosa and P. hainanensis are characterized by biogeographical affinities dominated by tropical Asian and pantropical elements, accounting for 30.60% and 21.64% in the P. deliciosa community and 26.42% and 24.53% in the P. hainanensis community, respectively. Within the surveyed plots of this study, 41 epiphytic host species were recorded for P. deliciosa and 17 for P. hainanensis. Both P. deliciosa and P. hainanensis showed a high epiphytic preference for Streblus ilicifolius, with selectivity index values of 21.89 and 26.00, respectively. Both P. deliciosa and P. hainanensis exhibited clear small-scale aggregated horizontal distributions, with the O-ring analysis indicating statistically significant clustering (p < 0.05). Specifically, P. hainanensis showed aggregation within the 0.25–0.75 m range, whereas P. deliciosa displayed aggregation at radii of 0.25–2.25 m. In the vertical distribution, individuals of P. deliciosa occurred below 5 m and were concentrated at heights of 1–1.9 m. Individuals of P. hainanensis were distributed below 4 m, with no significant differences among height classes, although the highest abundances occurred at heights of 0–0.9 m and 2–2.9 m. Heights of 0–0.9 m and 2–2.9 m were the most abundant. In summary, individuals of both Phalaenopsis species were predominantly distributed at lower height ranges. The protection of the habitat plant community, especially the preferred epiphytic tree species or companion plants, should be strengthened to conserve the Phalaenopsis species. Full article
(This article belongs to the Section Plant Diversity)
Show Figures

Figure 1

30 pages, 8473 KB  
Article
A Squirrel’s Guide to the Olive Galaxy: Tree-Level Determinants of Den-Site Selection in the Persian Squirrel within Traditional Mediterranean Olive Groves
by Yiannis G. Zevgolis, Efstratios Kamatsos, Apostolos Christopoulos, Christina Valeta, Eleni Rekouti, Christos Xagoraris, George P. Mitsainas, Petros Lymberakis, Dionisios Youlatos and Panayiotis G. Dimitrakopoulos
Biology 2025, 14(12), 1676; https://doi.org/10.3390/biology14121676 - 25 Nov 2025
Viewed by 732
Abstract
Traditional centennial olive groves represent ecologically valuable agroecosystems that support both biodiversity and cultural heritage across Mediterranean landscapes. On Lesvos Island, Greece, which marks the westernmost limit of the Persian squirrel (Sciurus anomalus) distribution, these centennial olive trees serve as essential [...] Read more.
Traditional centennial olive groves represent ecologically valuable agroecosystems that support both biodiversity and cultural heritage across Mediterranean landscapes. On Lesvos Island, Greece, which marks the westernmost limit of the Persian squirrel (Sciurus anomalus) distribution, these centennial olive trees serve as essential nesting resources for this regionally Vulnerable species. However, the tree-level mechanisms determining den-site suitability remain insufficiently understood. We examined 288 centennial olive trees, including 36 with confirmed dens, integrating structural, physiological, and thermal metrics to identify the attributes influencing den occupancy. Our results showed that squirrels consistently selected older and taller olives with broad crowns and high photosynthetic activity, indicating a preference for vigorous, architecturally complex trees that provide stable microclimatic conditions. Infrared thermography revealed that occupied trees exhibited lower trunk temperature asymmetries and stronger thermal buffering capacity, highlighting the role of microclimatic stability in den-site selection. Overall, our findings show that den-site selection in S. anomalus is shaped by the interplay of structural maturity, physiological performance, and thermal coherence. By linking tree function to den-site suitability, our work advances a mechanistic understanding of microhabitat selection and emphasizes the importance of centennial olive trees as biophysical refugia within traditional Mediterranean agroecosystems. Full article
(This article belongs to the Special Issue Young Researchers in Ecology)
Show Figures

Figure 1

24 pages, 4512 KB  
Article
Characteristics and Delineation of Temporary Wetland in Lava Forest, Jeju Island
by Minji Park, Eunha Park, Ara Seol and Jaehoon Kim
Forests 2025, 16(12), 1770; https://doi.org/10.3390/f16121770 - 25 Nov 2025
Viewed by 277
Abstract
Temporary wetlands are ecosystems formed by seasonal or intermittent inundation that provide habitats and support hydrological and biogeochemical processes. Despite their importance, they are often overlooked due to their small size and ephemeral nature. The lava forest of Jeju Island, known as Gotjawal, [...] Read more.
Temporary wetlands are ecosystems formed by seasonal or intermittent inundation that provide habitats and support hydrological and biogeochemical processes. Despite their importance, they are often overlooked due to their small size and ephemeral nature. The lava forest of Jeju Island, known as Gotjawal, is a rare ecosystem where temporary wetlands occur despite the high permeability of basaltic terrain. This study reports an assessment of temporary wetlands in the Seonheul Gotjawal forest, focusing on identification, boundary delineation, and key characteristics. Wetlands were identified using four years (2020–2023) of water level monitoring and vegetation surveys. Hydrological boundaries were defined by maximum observed water levels, and ecological boundaries were delineated from plant distribution. Ecological boundaries consistently fell within hydrological ones, showing the value of vegetation indicators in wetland identification. Wetland areas ranged from 347–1214 m2, with average depths of 0.2–0.9 m and hydroperiods of 13–76%. Water levels correlated with total rainfall. Three geomorphological wetland types were distinguished, with the shortest hydroperiods observed in small lava depressions functioning as forest microhabitats for endemic species. This study provides the first integrated evaluation of temporary wetlands in the Gotjawal lava forest and offers baseline data for classification and conservation. Full article
(This article belongs to the Section Forest Hydrology)
Show Figures

Figure 1

25 pages, 20413 KB  
Article
Effects of Vegetation Restoration on Soil Fungal Communities During Early Post-Construction Phase of a Desert Steppe Photovoltaic Power Station
by Wenqing Zhou, Guoqing Niu, Bo Ji, Zhanjun Wang and Qi Jiang
Land 2025, 14(12), 2306; https://doi.org/10.3390/land14122306 - 23 Nov 2025
Viewed by 430
Abstract
Expansion of photovoltaic infrastructure in arid regions raises concerns about soil microhabitat degradation. Very few studies have systematically compared these recovery alternatives in reshaping the soil fungal communities during early recovery. This study investigated short-term effects (less that two-year recovery) of PV infrastructure [...] Read more.
Expansion of photovoltaic infrastructure in arid regions raises concerns about soil microhabitat degradation. Very few studies have systematically compared these recovery alternatives in reshaping the soil fungal communities during early recovery. This study investigated short-term effects (less that two-year recovery) of PV infrastructure and restoration (natural/artificial) on soil fungal diversity and enzymatic activities in Ningxia desert steppe. A total of 243 soil samples were analyzed to assess fungal diversity, composition, enzyme activities, and co-occurrence networks. The restoration method significantly affected soil fungal α-diversity and β-diversity in the experimental solar park. Specifically, at each recovery site, soil depth showed significant effect on fungal α-diversity. However, on a fine scale, artificial restoration significantly increased fungal species richness across soil depths. Ascomycota dominated across different sites, followed by Basidiomycota and Mucoromycota. Shared core genera Fusarium, Mortierella, and Geminibasidium were determined in both recovery sites. Sucrase/phenol oxidase (natural) and catalase/sucrase (artificial) were identified as key fungal drivers according to Random Forest models. Co-occurrence analysis suggested neither artificial restoration nor natural restoration has attained the level of natural habitats. Networks of artificial subsoil and natural topsoil were closest to natural habitat. These results emphasize the impact of restoration and PV shading on fungal communities via spatial heterogeneity and enzyme dynamics during initial recovery stage, providing insights for semi-arid ecosystem management under PV development. Full article
(This article belongs to the Section Land Use, Impact Assessment and Sustainability)
Show Figures

Figure 1

14 pages, 294 KB  
Article
The Ecology and Architecture of Enduring Spiritualities
by Paul Cassell
Religions 2025, 16(12), 1481; https://doi.org/10.3390/rel16121481 - 22 Nov 2025
Viewed by 320
Abstract
Engaged spiritualities face a central challenge: how to transform moments of transcendence into enduring forms of shared life under modern conditions of pluralism, critique, and expressive individualism. This article asks what enables certain forms of spiritual life to last while others fade. It [...] Read more.
Engaged spiritualities face a central challenge: how to transform moments of transcendence into enduring forms of shared life under modern conditions of pluralism, critique, and expressive individualism. This article asks what enables certain forms of spiritual life to last while others fade. It offers an emergentist, systems-theoretical account of how sacred life endures by viewing religion as a self-organizing symbolic system in which meaning and communal practice continually reinforce one another. In plain terms, it examines how myth, ritual, and transformative experience interact to turn inspiration into a lasting sacred world. The study identifies this interaction as the metaperformative loop, a feedback process linking a named yet inexhaustible mystery, inherited ritual authority, and formative submission. The loop functions as the minimal ecological unit through which sacred systems engage and rebuild the symbolic environments that sustain them. At the micro scale, a comparative vignette of the Grateful Dead’s Deadhead community and its cultic offshoot, the Spinners, shows how episodic ecstasy can crystallize into a durable sacred world. At the meso scale, the paper examines contemporary “spiritual-but-not-religious” life as a test case in symbolic ecology and outlines four adaptive strategies (enclosure, membrane, micro-habitats, and drift) that explain why some spiritualities reproduce themselves across generations while others dissipate. Full article
(This article belongs to the Special Issue Engaged Spiritualities: Theories, Practices, and Future Directions)
13 pages, 2887 KB  
Article
Uniqueness and Contributing Factors of Main Tree Species Distribution in Kunyu Mountain
by Shidong Li, Jiming Che, Zhenkai Liu, Ran Qiu, Can Yang and Yongxia Li
Forests 2025, 16(11), 1751; https://doi.org/10.3390/f16111751 - 20 Nov 2025
Viewed by 262
Abstract
Located in a transitional climatic zone surrounded by sea on three sides, Kunyu Mountain provides an ideal region to study the drivers of plant distribution. The study examined the distribution patterns and environmental drivers of three dominant tree species—Pinus densiflora, Cunninghamia [...] Read more.
Located in a transitional climatic zone surrounded by sea on three sides, Kunyu Mountain provides an ideal region to study the drivers of plant distribution. The study examined the distribution patterns and environmental drivers of three dominant tree species—Pinus densiflora, Cunninghamia lanceolata, and Pinus koraiensis—using data from 55 permanent plots. A total of 52 plant species were recorded, primarily in warm-temperate areas, with some in other climatic zones. While the native P. densiflora was widespread, the introduced C. lanceolata and P. koraiensis showed limited distribution, with lower richness and growth rates than in their core ranges, yet both regenerated naturally. C. lanceolata mainly occurred below 400 m on sunny slopes, whereas P. koraiensis was concentrated at 400–500 m on shaded slopes. Climate similarity analysis confirmed that local microhabitats created by transitional climate and complex topography offer suitable conditions for both species. These findings improve the understanding of microhabitat roles in species distribution and offer insights for future species introduction strategies. Full article
(This article belongs to the Section Forest Biodiversity)
Show Figures

Figure 1

Back to TopTop