Characteristics and Delineation of Temporary Wetland in Lava Forest, Jeju Island
Abstract
1. Introduction
2. Materials and Methods
2.1. Study Area
- One site (W1) with hydrological and vegetative conditions similar to a permanent wetland;
- Two sites (W2, W3) characterized by dry surfaces and prominent basalt block distribution;
- Two sites (W4, W5) located in grassland-type areas with dry surfaces and topsoil presence.
2.2. Wetland Identification
2.2.1. Water Level Monitoring
2.2.2. Vegetation Characteristics
2.3. Wetland Boundary Delineation
2.4. Wetland Characteristics
2.4.1. Geomorphological and Soil Characteristics
2.4.2. Hydrological Characteristics
2.5. Statistical Analysis and Limitations
3. Results
3.1. Wetland Identification
3.1.1. Hydrological Characteristics
3.1.2. Vegetation Characteristics
3.2. Wetland Boundary Delineation
3.3. Wetland Characteristics
3.3.1. Geomorphological and Soil Characteristics
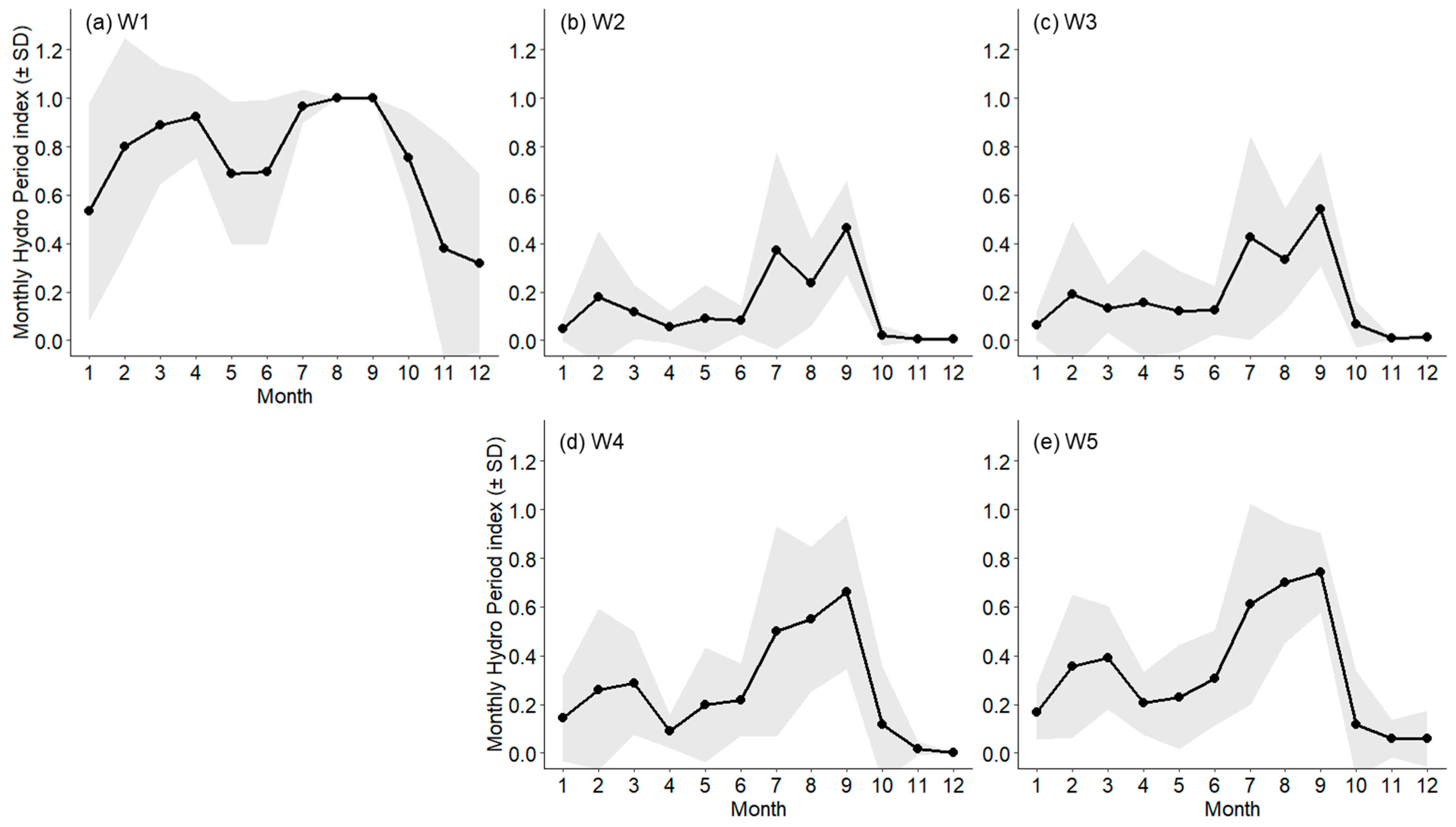
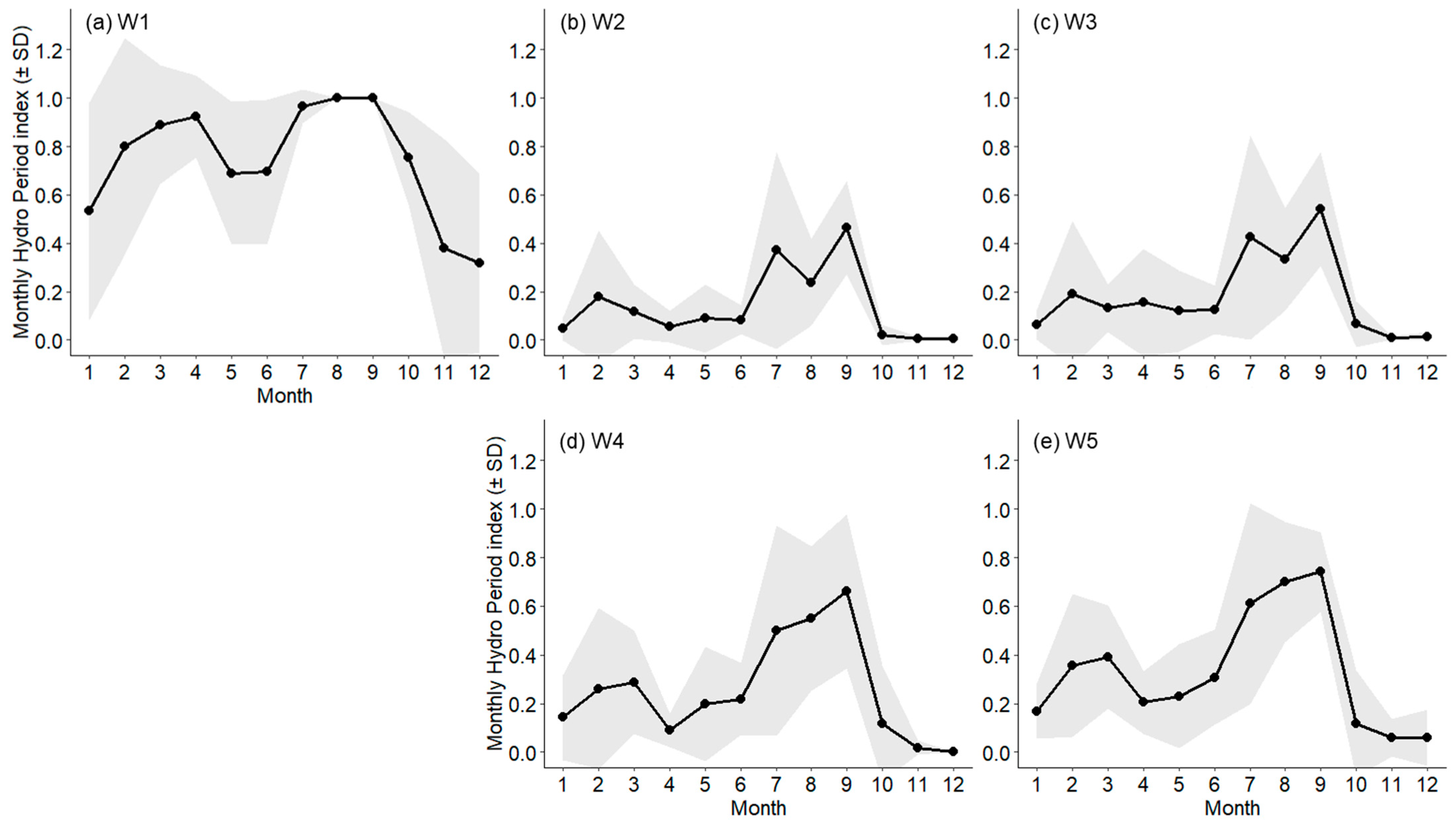
3.3.2. Hydrological Characteristics of Temporary Wetlands
4. Discussion
4.1. Identifying Temporary Wetlands Within Lava Forest Ecosystems: Boundary Delineation Using Hydrological and Vegetation Indicators
4.2. Hydrological Characteristics of Temporary Wetlands in Volcanic Lava Forests
4.3. Geomorphic and Ecological Uniqueness of Temporary Wetlands in Seonheul Lava Forest
5. Conclusions
Supplementary Materials
Author Contributions
Funding
Data Availability Statement
Acknowledgments
Conflicts of Interest
Abbreviations
| HPi | Hydro Period Index |
| PI | Prevalence Index |
| HCI | Hydrophytic Cover Index |
| OBW | Obligate wetland plant |
| FACW | Facultative wetland plant |
| FAC | Facultative plant |
| FACU | Facultative upland plant |
| OBU | Obligate upland plant |
| DEM | Digital Elevation Model |
| SI | Shape Index |
| WRR | Water level Recession Rate |
| WIR | Water level Increase Rate |
| WIP | Water level Increase per Precipitation |
References
- Capps, K.A.; Rancatti, R.; Tomczyk, N.; Parr, T.B.; Calhoun, A.J.K.; Hunter, M. Biogeochemical Hotspots in Forested Landscapes: The Role of Vernal Pools in Denitrification and Organic Matter Processing. Ecosystems 2014, 17, 1455–1468. [Google Scholar] [CrossRef]
- Downing, J.A. Emerging global role of small lakes and ponds: Little things mean a lot. Limnética 2010, 29, 0009–0024. [Google Scholar] [CrossRef]
- Euliss, N.H.; LaBaugh, J.W.; Fredrickson, L.H.; Mushet, D.M.; Laubhan, M.K.; Swanson, G.A.; Winter, T.C.; Rosenberry, D.O.; Nelson, R.D. The Wetland Continuum: A Conceptual Framework for Interpreting Biological Studies. Wetlands 2004, 24, 448–458. [Google Scholar] [CrossRef]
- Ganesan, G.; Rainwater, K.; Gitz, D.; Hall, N.; Zartman, R.; Hudnall, W.; Smith, L. Comparison of Infiltration Flux in Playa Lakes in Grassland and Cropland Basins, Southern High Plains of Texas. Tex. Wat. J. 2016, 7, 25–39. [Google Scholar] [CrossRef]
- Herault, B.; Thoen, D. How Habitat Area, Local and Regional Factors Shape Plant Assemblages in Isolated Closed Depressions. Acta Oecologica 2009, 35, 385–392. [Google Scholar] [CrossRef]
- Paton, P.W.C. A Review of Vertebrate Community Composition in Seasonal Forest Pools of the Northeastern United States. Wetl. Ecol. Manag. 2005, 13, 235–246. [Google Scholar] [CrossRef]
- Pinto-Cruz, C.; Molina, J.A.; Barbour, M.; Silva, V.; Espírito-Santo, M.D. Plant Communities as a Tool in Temporary Ponds Conservation in SW Portugal. Hydrobiologia 2009, 634, 11–24. [Google Scholar] [CrossRef]
- Zedler, P.H. Vernal Pools and the Concept of “Isolated Wetlands”. Wetlands 2003, 23, 597–607. [Google Scholar] [CrossRef]
- Allen, C.; Gonzales, R.; Parrott, L. Modelling the Contribution of Ephemeral Wetlands to Landscape Connectivity. Ecol. Model. 2020, 419, 108944. [Google Scholar] [CrossRef]
- Calhoun, A.J.K.; Mushet, D.M.; Bell, K.P.; Boix, D.; Fitzsimons, J.A.; Isselin-Nondedeu, F. Temporary Wetlands: Challenges and Solutions to Conserving a ‘Disappearing’ Ecosystem. Biol. Conserv. 2017, 211, 3–11. [Google Scholar] [CrossRef]
- Cohen, M.J.; Creed, I.F.; Alexander, L.; Basu, N.B.; Calhoun, A.J.K.; Craft, C.; D’Amico, E.; DeKeyser, E.; Fowler, L.; Golden, H.E.; et al. Do Geographically Isolated Wetlands Influence Landscape Functions? Proc. Natl. Acad. Sci. USA 2016, 113, 1978–1986. [Google Scholar] [CrossRef] [PubMed]
- Delle Grazie, F.M.; Gill, L.W. Review of the Ecosystem Services of Temperate Wetlands and Their Valuation Tools. Water 2022, 14, 1345. [Google Scholar] [CrossRef]
- Javornik, C.J.; Collinge, S.K. Influences of Annual Weather Variability on Vernal Pool Plant Abundance and Community Composition. Aquat. Bot. 2016, 134, 61–67. [Google Scholar] [CrossRef]
- Mushet, D.M.; Calhoun, A. Wetland Conservation in the United States: A Swinging Pendulum. Soil Water Conserv. A Celebr. 2020, 75, 162–171. [Google Scholar]
- Van den Broeck, M.; Waterkeyn, A.; Rhazi, L.; Grillas, P.; Brendonck, L. Assessing the Ecological Integrity of Endorheic Wetlands, with Focus on Mediterranean Temporary Ponds. Ecol. Indic. 2015, 54, 1–11. [Google Scholar] [CrossRef]
- Tiner, R.W. Wetland Indicators: A Guide to Wetland Formation, Identification, Delineation, Classification, and Mapping, 2nd ed.; CRC Press: Boca Raton, FL, USA, 2016; ISBN 978-1-315-37471-0. [Google Scholar]
- Deil, U. A Review on Habitats, Plant Traits and Vegetation of Ephemeral Wetlands—A Global Perspective. Phytocoenologia 2005, 35, 533–705. [Google Scholar] [CrossRef]
- Ministry of Environment of Korea. 2012 Detailed Survey of Wetland Protected Areas—Nakdong River Estuary, DaehamsanYongneup, Dongbaekdongsan, and Mujechi Neup; Ministry of Environment of Korea: Sejong-si, Republic of Korea, 2012. [Google Scholar]
- Han, B.-H.; Kim, J.-Y.; Choi, I.-T. Vegetation Structure of Evergreen Broad-Leaved forest in Dongbaekdongsan (Mt.), Jeju-Do, Korea. Korean J. Environ. Ecol. 2007, 21, 336–346. [Google Scholar]
- Kwak, J.-I.; Lee, K.-J.; Han, B.-H.; Song, J.-H.; Jang, J.-S. A study on the vegetation structure of evergreen broad-leaved forest Dongbaekdongsan (Mt.) in Jeju-do, Korea. Korean J. Environ. Ecol. 2013, 27, 241–252. [Google Scholar]
- Hyun, H.-J.; Moon, M.-O.; Choi, H.-S.; Kim, C.-S. Growth Pattern and Phenology of Mankyua chejuense B.Y. Sun, M.H. Kim & C.H. Kim. Korean J. Plant Resour. 2014, 27, 95–101. [Google Scholar] [CrossRef]
- Lee, K.-M.; Shin, J.-H.; Jeong, H.-M.; Kim, H.-R.; Kim, J.-H.; Shin, D.-H.; You, Y.-H. Characteristics of vegetation structure and habitat of Mankyua chejuense (Ophioglssaceae), endangered plant in Korea. J. Wetl. Res. 2012, 14, 35–45. [Google Scholar]
- Ko, P. Ecological Study on Wild Mushrooms in Sunhulgot Dongbaekdongsan Areas. Ph.D. Thesis, Jeju National University, Jeju-si, Republic of Korea, 2009. [Google Scholar]
- Ko, S. Classification of Pteridophyta in Dongbaekdongsan by Analysis of DNA Sequence. Ph.D. Thesis, Jeju National University, Jeju-si, Republic of Korea, 2015. [Google Scholar]
- Jang, H.-W.; Seo, K.-Y.; Hong, S.-H. An oral testimony on the promotion of eco-tourism based on tourism commons: Focusing on Dongbaek Garden in Seonheul-ri, Jeju. Int. J. Tour. Hosp. Res. 2023, 37, 37–52. [Google Scholar]
- Jeong, Y.-S. Historical Evolution of Relations between Commons and Community: Focused on the Case of Dongbaek-Dongsan—Seonheul-Ri in JEJU Island. Tjl 2017, 17, 119–163. [Google Scholar] [CrossRef]
- Ko, C. A Study on Behavioral Intention of Eco-tourists through the Extended Theory of Planned Behavior: Focused on Sustainable Intelligence as Moderate Variable. J. Converg. Cult. Technol. (JCCT) 2023, 9, 315–330. [Google Scholar]
- Jang, Y.-C.; Lee, C.-W. Gotjawal Forest In Jeju Island as an Internationally Important Wetland. J. Wetl. Res. 2009, 11, 99–104. [Google Scholar]
- Kim, J.; Lim, H.; Choi, H.T.; Li, Q.; Moon, H.; Choi, H. Analysis on Water Retention Rate according to Water Cycle Characteristics in Jeju Gotjawal Forest. J. Environ. Sci. Int. 2022, 31, 1013–1025. [Google Scholar] [CrossRef]
- An, J.; Kim, T. A Hydrogeomorphological Approach to Irrigation Facilities in the Transition Zone to Mountain Area of Jeju Island. J. Korean Geomorphol. Assoc. 2015, 22, 17–27. [Google Scholar]
- Dongbaekdongsan Wetland Research Team. Encountering the Wetlands at Dongbaekdongsan; Jocheon-eup Ramsar Wetland City Area Management Committee: Jeju-si, Republic of Korea, 2017. [Google Scholar]
- Jung, S.; Yim, B.S.; Cho, Y.C.; Kim, J.-S.; Lee, C.S. Type and Vegetation of the Dongbaekdongsan Wetland in Jeju, a Southern Island of Korea. J. Wetl. Res. 2018, 20, 281–293. [Google Scholar]
- Ahn, U.S.; Sohn, Y.K.; Kang, S.S.; Jeon, Y.M.; Choi, H.S. The major causes of Gotjawal formation in Jeju Island. J. Geol. Soc. Korea 2015, 51, 1–19. [Google Scholar] [CrossRef]
- Park, J.B.; Kang, B.-R.; Koh, G.W.; Kim, G.-P. Geological characteristics of Gotjawal terrain in Jeju Island. J. Geol. Soc. Korea 2014, 50, 431–440. [Google Scholar] [CrossRef]
- Korea Meteorological Administrarion KMA Open MET Data Portal. Available online: https://data.kma.go.kr/data/grnd/selectAwsRltmList.do?pgmNo=56 (accessed on 22 May 2024).
- Ramsar Convention. Ramsar Hand books 5th Edition: An Introduction to the Ramsar Convention on Wetlands; Ramsar Convention Secretariat: Gland, Switzerland, 2016. [Google Scholar]
- Roux, M.; Larocque, M.; Nolet, P.; Bizhanimanzar, M. Geomorphological and Meteorological Drivers of Ephemeral Pond Hydrology in the Canadian Shield Forest. Hydrol. Process. 2023, 37, e15009. [Google Scholar] [CrossRef]
- National Institute of Biological Resources. Wetland Preference and Life Forms of Vascular Plants on the Korean Peninsula; National Institute of Biological Resources: Incheon, Republic of Korea, 2020; 235p, ISBN 8968114706, 9788968114700. [Google Scholar]
- U.S. Army Corps of Engineers, E.L. Corps of Engineers Wetland Delineation Manual. Available online: https://www.nae.usace.army.mil/Missions/Regulatory/Jurisdiction-and-Wetlands/Wetland-Delineation-Manual/ (accessed on 11 May 2024).
- Lichvar, R.; Gillrich, J.J. Examining Discrepancies Among Three Methods Used to Make Hydrophytic Vegetation Determinations for Wetland Delineation Purposes; US Army Engineer Research & Development Center, Cold Regions Research & Engineering Laboratory: Hanover, NH, USA, 2014. [Google Scholar]
- Wentworth, T.R.; Johnson, G.P.; Kologiski, R.L. Designation of Wetlands by Weighted Averages of Vegetation Data: A Preliminary Evaluation. J. Am. Water Resour. Assoc. 1988, 24, 389–396. [Google Scholar] [CrossRef]
- Westhoff, V.; Van Der Maarel, E. The Braun-Blanquet Approach. In Classification of Plant Communities; Springer: Dordrecht, The Netherlands, 1978; pp. 287–399. [Google Scholar]
- Koo, B.-H. Wetlnad Ecology; JoKyong Press: Tokyo, Japan, 2018. [Google Scholar]
- Moon, S.; Koo, B.-H. A Study on Korea Inland Wetland Boundary Delineation. J. Korea Soc. Environ. Restor. Technol. 2014, 17, 15–30. [Google Scholar] [CrossRef]
- McGarigal, K.; Marks, B.J. FRAGSTATS: Spatial Pattern Analysis Program for Quantifying Landscape Structure; Pacific Northwest Research Station: Portland, OR, USA, 1995. [Google Scholar] [CrossRef]
- Jeju Folklore and Natural History Museum. Original Color Atlas of Jeju Soil; Jeju Folklore and Natural History Museum: Jeju, Republic of Korea, 2000. [Google Scholar]
- Moser, K.; Ahn, C.; Noe, G. Characterization of Microtopography and Its Influence on Vegetation Patterns in Created Wetlands. Wetlands 2007, 27, 1081–1097. [Google Scholar] [CrossRef]
- Ministry of Environment of Korea. 2005 Nationwide Inland Wetland Natural Environment Survey—Jeju Island (Dongbaekdongsan, Yongsu Reservoir); Ministry of Environment of Korea: Sejong-si, Republic of Korea, 2005. [Google Scholar]
- Jeon, B.C.; Lee, S.; Kim, S.S.; Kim, K.S.; Kim, N. A Study on the Rainfall Infiltration Capacity of Soil (A Study on the Mid-Mountain Area of Jeju Island). J. Eng. Geol. 2019, 29, 99–112. [Google Scholar]
- Park, C.-S.; Kim, L.-Y.; Cho, S.-J. Classification of Volcanic Ash Soils and contribution of Organic Matter and Clay to Cation Exchange Capacity. Korean J. Soil Sci. Fertil. 1985, 18, 161–168. [Google Scholar]
- Luymes, N.; Chow-Fraser, P. Community Structure, Species–Habitat Relationships, and Conservation of Amphibians in Forested Vernal Pools in the Georgian Bay Region of Ontario. FACETS 2022, 7, 215–235. [Google Scholar] [CrossRef]
- Wakeley, J.S.; Sprecher, S.W.; Lichvar, R.W. Relationships among Wetland Indicators in Hawaiian Rain Forest. Wetlands 1996, 16, 173–184. [Google Scholar] [CrossRef]
- Foti, R.; del Jesus, M.; Rinaldo, A.; Rodriguez-Iturbe, I. Hydroperiod Regime Controls the Organization of Plant Species in Wetlands. Proc. Natl. Acad. Sci. USA 2012, 109, 19596–19600. [Google Scholar] [CrossRef]
- Greenway, M.; Jenkins, G.; Polson, C. Macrophyte Zonation in Stormwater Wetlands: Getting It Right! A Case Study from Subtropical Australia. Water Sci. Technol. 2007, 56, 223–231. [Google Scholar] [CrossRef]
- National Research Council Wetlands. Characteristics and Boundaries; National Academies Press: Washington, DC, USA, 1995. [Google Scholar]
- Rheinhardt, R.D.; Hollands, G.C. Classification of Vernal Pools: Geomorphic Setting and Distribution. In Science and Conservation of Vernal Pools in Northeastern North America; Calhoun, A.J.K., deMaynadier, P.G., Eds.; CRC Press: Boca Raton, FL, USA, 2008; pp. 11–29. [Google Scholar]
- Colburn, E.A. Vernal Pools: Natural History and Conservation; McDonald and Woodward Publishing Company: Blacksburg, OH, USA, 2004; ISBN 978-0-939923-91-5. [Google Scholar]
- Calhoun, A.J.K.; Walls, T.E.; Stockwell, S.S.; McCollough, M. Evaluating Vernal Pools as a Basis for Conservation Strategies: A Maine Case Study. Wetlands 2003, 23, 70–81. [Google Scholar] [CrossRef]
- Schrank, A.J.; Resh, S.C.; Previant, W.J.; Chimner, R.A. Characterization and Classification of Vernal Pool Vegetation, Soil, and Amphibians of Pictured Rocks National Lakeshore. Amid 2015, 174, 161–179. [Google Scholar] [CrossRef]
- Jeju Special Self-Governing Province. 2022 Groundwater Monitoring Annual Report; Jeju Special Self-Governing Province: Jeju, Republic of Korea, 2022; p. 158. [Google Scholar]
- Brooks, R.T.; Hayashi, M. Depth-Area-Volume and Hydroperiod Relationships of Ephemeral (Vernal) Forest Pools in Southern New England. Wetlands 2002, 22, 247–255. [Google Scholar] [CrossRef]
- Brooks, R.T. A Review of Basin Morphology and Pool Hydrology of Isolated Ponded Wetlands: Implications for Seasonal Forest Pools of the Northeastern United States. Wetl. Ecol. Manag. 2005, 13, 335–348. [Google Scholar] [CrossRef]
- Jeon, Y.; Ahn, U.S.; Ryu, C.G.; Kang, S.S.; Song, S.T. A review of geological characteristics of Gotjawal terrain in Jeju Island: Preliminary Study. J. Geol. Soc. Korea 2012, 48, 425–434. [Google Scholar]
- Kim, N.; You, Y.K.; Jeon, B.; Kim, D. A proposal of classification and evaluation method of pollution vulnerabilities by a highly permeable terrain in Jeju Island. J. Geol. Soc. Korea 2019, 55, 247–256. [Google Scholar] [CrossRef]
- Ban, H.; Kim, D. Influence of ‘Sumgol’ in Jeju on Ground Stability under Various Loading Conditions. J. Korean Geoenvironmental Soc. 2022, 23, 41–48. [Google Scholar] [CrossRef]
- Fu, Z.; Gu, X.; Xiao, J.; Dai, S.; Zhao, L.; Zhang, S.; Zeng, Z.; Yang, X. Global critical soil moisture thresholds of plant water stress. Nat. Commun. 2024, 15, 4924. [Google Scholar] [CrossRef] [PubMed]
- Gustafson, E.J.; Bronson, D.R.; Windmuller-Campione, M.A.; Slesak, R.A.; Donner, D.M. Measuring and modeling waterlogging tolerance to predict the future for threatened lowland ash forests. Biogeosciences 2025, 22, 2499–2515. [Google Scholar] [CrossRef]










| Wetland Indicator Status | Abbreviations | Estimated Frequency of Occurrence |
|---|---|---|
| Obligate wetland plant | OBW | Plants almost always found in wetlands under natural conditions (Estimated wetland occurrence frequency > 98%) |
| Facultative wetland plant | FACW | Plants mostly found in wetlands, but occasionally occur in upland areas (Estimated wetland occurrence frequency: 71–98%) |
| Facultative plant | FAC | Plants found in wetlands and uplands with similar frequency (Estimated wetland occurrence frequency: 31–70%) |
| Facultative upland plant | FACU | Plants mostly found in upland areas, but occasionally occur in wetlands (Estimated wetland occurrence frequency: 3–30%) |
| Obligate upland plant | OBU | Plants almost always found in upland areas under natural conditions (Estimated wetland occurrence frequency < 3%) |
| Wetland | Hydro Period Index (Year) | Water Level (mm) | Ponding Frequency (Events/Year) | Ponding Period (Days/Event) | ||
|---|---|---|---|---|---|---|
| Mean | Max | Mean | Max | |||
| W1 | 0.76 ± 0.05 | 372.3 | 911.1 | 4.0 ± 1.3 | 121.6 ± 59.8 | 294.7 |
| W2 | 0.13 ± 0.02 | 479.8 | 1581.6 | 21.7 ± 3.8 | 2.2 ± 0.4 | 18.2 |
| W3 | 0.16 ± 0.02 | 954.5 | 2840.8 | 19.2 ± 2.7 | 3.0 ± 0.1 | 22.8 |
| W4 | 0.23 ± 0.03 | 290.2 | 970.6 | 12.2 ± 1.1 | 6.9 ± 0.6 | 37.5 |
| W5 | 0.32 ± 0.03 | 219.4 | 683.6 | 19.5 ± 2.5 | 6.1 ± 0.5 | 34.5 |
| Wetland | Altitude (m) | Area (m2) | Perimeter (m) | Shape Index | Major Axis Length (m) | Penetration Depth (cm) |
|---|---|---|---|---|---|---|
| W1 | 88.5 | 346.6 | 84.1 | 1.27 | 26.0 | 27.8 ± 8.7 |
| W2 | 87.8 | 552.1 | 135.7 | 1.63 | 43.6 | 40.3 ± 17.8 |
| W3 | 82.7 | 1214.0 | 183.3 | 1.48 | 60.7 | 35.1 ± 17.3 |
| W4 | 88.0 | 1051.7 | 177.7 | 1.55 | 44.5 | 20.0 ± 1.9 |
| W5 | 91.0 | 607.6 | 111.0 | 1.27 | 39.9 | 21.2 ± 5.1 |
| Wetland | Soil Texture | Bulk Density (g/cm3) | Ratio of Rock Fragments (%) | Permeability Coefficient (m/day) | ||
|---|---|---|---|---|---|---|
| Sand (%) | Silt (%) | Clay (%) | ||||
| W1 | 11.3 ± 1.5 | 66.8 ± 4.1 | 21.8 ± 5.6 | 0.37 ± 0.03 | 0.65 ** | 0.22 ± 0.06 |
| W2 | 14.2 ± 3.4 | 51.3 ± 4.1 | 34.5 ± 0.6 | 0.44 ± 0.01 | 1.45 ± 0.88 | 0.47 ± 0.28 |
| W3 | 11.6 ± 1.7 | 43.3 ± 2.6 | 45.1 ± 2.9 | 0.46 ± 0.05 | 6.59 ± 0.90 | 6.25 ± 2.71 |
| W4 | 6.9 ± 2.0 | 51.1 ± 9.1 | 41.9 ± 7.1 | 0.43 ± 0.02 | 0.66 ± 0.09 | 0.16 ± 0.03 |
| W5 | 8.5 ± 1.7 | 61.2 ± 2.0 | 30.3 ± 1.9 | 0.57 ± 0.02 | 1.81 ± 0.55 | 0.85 ± 0.31 |
| Wetland | pH | EC (dSm−1) | Organic Matter (%) | CEC (cmolc kg−1) |
|---|---|---|---|---|
| W1 | 5.27 ± 0.03 | 0.33 ± 0.01 | 19.73 ± 0.37 | 29.88 ± 0.12 |
| W2 | 5.13 ± 0.12 | 0.39 ± 0.03 | 22.18 ± 1.81 | 35.38 ± 0.87 |
| W3 | 5.57 ± 0.12 | 0.38 ± 0.03 | 20.17 ± 1.43 | 36.19 ± 1.76 |
| W4 | 5.33 ± 0.03 | 0.40 ± 0.04 | 23.13 ± 2.09 | 35.25 ± 0.93 |
| W5 | 5.37 ± 0.03 | 0.33 ± 0.02 | 20.75 ± 0.77 | 32.00 ± 0.77 |
| Wetland | Fluctuation Time (h) | WRR (mm/h) | Fluctuation Time (h) | WIR (mm/h) | WIP (mm/mm) | ||
|---|---|---|---|---|---|---|---|
| Mean | Max | Mean | Max | ||||
| W1 | 8.04 | 159 | 0.72 | 5.72 | 60 | 1.55 | 0.45 |
| W2 | 6.39 | 245 | 1.64 | 5.21 | 50 | 2.16 | 0.74 |
| W3 | 6.05 | 275 | 1.38 | 4.02 | 50 | 3.34 | 1.48 |
| W4 | 6.98 | 211 | 0.57 | 3.48 | 47 | 1.27 | 0.47 |
| W5 | 7.69 | 249 | 0.78 | 3.78 | 36 | 1.81 | 0.63 |
| Wetland | Correlation Coefficient with Water Level Change | ||
|---|---|---|---|
| Precipitation Duration (h) | Total Precipitation (mm) | Precipitation Intensity (mm/h) | |
| W1 | 0.71 | 0.77 | 0.44 |
| W2 | 0.58 | 0.78 | 0.47 |
| W3 | 0.60 | 0.75 | 0.48 |
| W4 | 0.64 | 0.79 | 0.47 |
| W5 | 0.67 | 0.74 | 0.45 |
Disclaimer/Publisher’s Note: The statements, opinions and data contained in all publications are solely those of the individual author(s) and contributor(s) and not of MDPI and/or the editor(s). MDPI and/or the editor(s) disclaim responsibility for any injury to people or property resulting from any ideas, methods, instructions or products referred to in the content. |
© 2025 by the authors. Licensee MDPI, Basel, Switzerland. This article is an open access article distributed under the terms and conditions of the Creative Commons Attribution (CC BY) license (https://creativecommons.org/licenses/by/4.0/).
Share and Cite
Park, M.; Park, E.; Seol, A.; Kim, J. Characteristics and Delineation of Temporary Wetland in Lava Forest, Jeju Island. Forests 2025, 16, 1770. https://doi.org/10.3390/f16121770
Park M, Park E, Seol A, Kim J. Characteristics and Delineation of Temporary Wetland in Lava Forest, Jeju Island. Forests. 2025; 16(12):1770. https://doi.org/10.3390/f16121770
Chicago/Turabian StylePark, Minji, Eunha Park, Ara Seol, and Jaehoon Kim. 2025. "Characteristics and Delineation of Temporary Wetland in Lava Forest, Jeju Island" Forests 16, no. 12: 1770. https://doi.org/10.3390/f16121770
APA StylePark, M., Park, E., Seol, A., & Kim, J. (2025). Characteristics and Delineation of Temporary Wetland in Lava Forest, Jeju Island. Forests, 16(12), 1770. https://doi.org/10.3390/f16121770

