Sign in to use this feature.

Years

Between: -

Subjects

remove_circle_outline
remove_circle_outline
remove_circle_outline
remove_circle_outline
remove_circle_outline
remove_circle_outline
remove_circle_outline
remove_circle_outline
remove_circle_outline

Journals

remove_circle_outline
remove_circle_outline
remove_circle_outline
remove_circle_outline
remove_circle_outline
remove_circle_outline
remove_circle_outline
remove_circle_outline
remove_circle_outline
remove_circle_outline
remove_circle_outline

Article Types

Countries / Regions

remove_circle_outline
remove_circle_outline
remove_circle_outline
remove_circle_outline
remove_circle_outline

Search Results (1,554)

Search Parameters:
Keywords = metastatic risk

Order results
Result details
Results per page
Select all
Export citation of selected articles as:
18 pages, 1231 KB  
Article
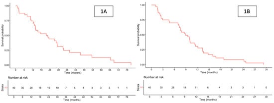
Survival Outcomes and Prognostic Factors in Metastatic Unresectable Appendiceal Adenocarcinoma Treated with Palliative Systemic Chemotherapy: A 10-Year Retrospective Analysis from Australia
by Jirapat Wonglhow, Hui-Li Wong, Michael Michael, Alexander Heriot, Glen Guerra, Catherine Mitchell and Jeanne Tie
Cancers 2025, 17(20), 3297; https://doi.org/10.3390/cancers17203297 (registering DOI) - 11 Oct 2025
Abstract
Background: Appendiceal adenocarcinoma is a rare malignancy, and data guiding its systemic treatment in metastatic settings are limited. This study aimed to determine the clinical outcomes, treatment efficacy, biomarkers, and prognostic factors in patients with metastatic or unresectable appendiceal adenocarcinoma receiving palliative chemotherapy. [...] Read more.
Background: Appendiceal adenocarcinoma is a rare malignancy, and data guiding its systemic treatment in metastatic settings are limited. This study aimed to determine the clinical outcomes, treatment efficacy, biomarkers, and prognostic factors in patients with metastatic or unresectable appendiceal adenocarcinoma receiving palliative chemotherapy. Methods: We retrospectively reviewed patients with metastatic appendiceal adenocarcinoma who received first-line palliative systemic chemotherapy at the Peter MacCallum Cancer Centre between January 2015 and December 2024. Results: Of the 40 patients included, fluoropyrimidine-based doublet regimens were most commonly used (82.5%) in first-line setting, achieving an objective response rate of 39.4%. Median overall survival (OS) was 21.6 months, and median first-line progression-free survival (PFS) was 8.9 months. 22 patients (55.0%) received second-line treatment. Median OS and PFS were 21.6 and 8.9 months, respectively, among patients treated with oxaliplatin-based doublet regimens, and 66.4 and 10.8 months, respectively, among those treated with irinotecan-based doublet regimens. Molecular biomarker testing was performed in 35 patients (87.5%). KRAS and NRAS mutations were identified in 68.6% and 2.9% of tested patients, respectively. Factors associated with poorer OS included male sex, elevated carcinoembryonic antigen levels, and overweight status. Bevacizumab use was not clearly associated with survival. Conclusions: Palliative systemic chemotherapy, particularly fluoropyrimidine-based doublet regimens, appears to be a reasonable and effective treatment option for patients with advanced appendiceal adenocarcinoma. Although this study was underpowered for formal comparison, the numerically longer OS and PFS of irinotecan-based regimens are hypothesis-generating and support further prospective evaluation. Molecular profiling emphasizes the need for personalized targeted therapeutic strategies. The identified prognostic factors may help guide risk stratification and patient counseling for treatment planning. Full article
(This article belongs to the Special Issue Clinical Efficacy of Drug Therapy in Gastrointestinal Cancers)
Show Figures

Figure 1

16 pages, 806 KB  
Systematic Review
Evaluating the Outcomes of Vertebral Biopsies Performed in Osteoporotic Vertebral Fractures: A Systematic Review and Meta-Analysis
by Halil Bulut, Chuck Lam, Veer Sheth, Iihan Ali, Christos Tsagkaris, Morgan Jones, Rajesh Botchu, Constantino Errani, Azmi Hamzaoglu and Korhan Ozkan
Osteology 2025, 5(4), 30; https://doi.org/10.3390/osteology5040030 (registering DOI) - 11 Oct 2025
Viewed by 43
Abstract
Background/Objectives: Osteoporotic vertebral fractures (OVFs) are common in older adults. While surgery is generally reserved for unstable or painful fractures, some OVFs conceal underlying malignancies, including metastatic and hematologic cancers. This study aimed to determine the pooled prevalence of unsuspected malignancy in patients [...] Read more.
Background/Objectives: Osteoporotic vertebral fractures (OVFs) are common in older adults. While surgery is generally reserved for unstable or painful fractures, some OVFs conceal underlying malignancies, including metastatic and hematologic cancers. This study aimed to determine the pooled prevalence of unsuspected malignancy in patients initially diagnosed with OVFs. Methods: A systematic search of PubMed and Scopus was conducted from inception to September 2025 in accordance with PRISMA guidelines. Eligible studies included adults with presumed OVFs who underwent vertebral biopsy and histopathological evaluation. Prevalence estimates were pooled using a random-effects model, and study quality was assessed with the Newcastle–Ottawa Scale. Results: Thirteen studies involving 3513 patients were included. The pooled prevalence of malignancy was 8.0% (95% CI: 5.4–10.6), comprising metastatic solid tumors (4.9%; 95% CI: 2.3–7.4) and multiple myeloma (2.6%; 95% CI: 1.3–3.9). Malignancy was detected in 2.7% (95% CI: 1.8–4.1) of routine biopsy cohorts versus 36.8% (95% CI: 22.1–54.4) of clinically suspected cases. Diagnostic yield exceeded 45% in patients selected by combined history, imaging, or known malignancy. No biopsy-related complications or procedure-related mortality were reported. Moderate heterogeneity was observed, mainly in suspected cohorts. Conclusions: Vertebral biopsy is a safe and diagnostically valuable procedure in vertebral compression fractures. Its yield ranges from about one in 30 patients in routine settings to nearly one in two in high-risk groups, underscoring the importance of structured patient selection to facilitate timely cancer detection and referral. Full article
Show Figures

Figure 1

8 pages, 528 KB  
Case Report
Molecular Analysis of Cerebrospinal Fluid Tumor-Derived DNA to Aid in the Diagnosis and Targeted Treatment of Breast Cancer Brain Metastasis
by Michael Youssef, Alexandra Larson, Vindhya Udhane, Viriya Keo, Kala F. Schilter, Qian Nie and Honey V. Reddi
Diseases 2025, 13(10), 336; https://doi.org/10.3390/diseases13100336 (registering DOI) - 11 Oct 2025
Viewed by 59
Abstract
A woman in her 40s with a history of ER/PR+, HER2-negative breast cancer presented with a seizure three years after mastectomy. Magnetic resonance imaging (MRI) revealed a right caudate head mass, which was concerning for either high-grade glioma or metastatic disease, but biopsy [...] Read more.
A woman in her 40s with a history of ER/PR+, HER2-negative breast cancer presented with a seizure three years after mastectomy. Magnetic resonance imaging (MRI) revealed a right caudate head mass, which was concerning for either high-grade glioma or metastatic disease, but biopsy was deemed too high risk. Cerebrospinal fluid (CSF) tumor-derived DNA (tDNA) analysis by next-generation sequencing (NGS) was ordered, revealing a gain-of-function variant in PIK3CA, ERBB2 copy number gain, and high aneuploidy, findings consistent with breast cancer brain metastasis. Based on these results, the patient was treated with stereotactic radiosurgery (SRS) followed by trastuzumab deruxtecan, a HER2-targeted therapy. This case highlights the diagnostic and therapeutic value of CSF tDNA analysis in central nervous system (CNS) lesions when biopsy is not feasible. The report also illustrates how clonal evolution, such as acquired ERBB2 amplification, can occur in metastatic disease and influence treatment decisions. Full article
Show Figures

Figure 1

10 pages, 1467 KB  
Article
The Impact of Lymph Node Ratio for Children with Wilms Tumors: A National Cancer Database Analysis
by Ioannis A. Ziogas, Andrii Khomiak, Kaitlin E. Olson, Dimitrios P. Moris, Alexandria J. Robbins, Jenny Stevens, Shannon N. Acker, Jonathan P. Roach, Kristine S. Corkum and Nicholas G. Cost
Cancers 2025, 17(19), 3276; https://doi.org/10.3390/cancers17193276 - 9 Oct 2025
Viewed by 118
Abstract
Background: Lymph node status is a prognostic factor in Wilms tumor, and adequate lymph node sampling is strongly recommended. This study investigates the impact of lymph node ratio (LNR) (number of positive to examined lymph nodes) on overall survival in children with [...] Read more.
Background: Lymph node status is a prognostic factor in Wilms tumor, and adequate lymph node sampling is strongly recommended. This study investigates the impact of lymph node ratio (LNR) (number of positive to examined lymph nodes) on overall survival in children with resected Wilms tumors. Methods: This retrospective National Cancer Database analysis included children (<18 years) who underwent resection with lymph node sampling for unilateral, non-metastatic Wilms tumor. Results: Among 2206 patients, the median age was three years, the median tumor size was 10.5 cm, and the median number of examined nodes was five. A total of 82.1% of patients had an LNR of 0, 5.4% had an LNR < 0.2, and 12.5% had an LNR ≥ 0.2. In multivariable Cox regression, LNR ≥ 0.2 was associated with worse survival (HR = 1.75, 95%CI: 1.03–2.97, p = 0.04), along with increasing age (HR = 1.11, 95%CI: 1.05–1.17, p < 0.001) and tumor size (HR = 1.03, 95%CI: 1.00–1.06, p = 0.03). Conclusions: LNR is an independent prognostic factor in Wilms tumor and may refine risk stratification and guide treatment decisions. Full article
(This article belongs to the Section Cancer Pathophysiology)
Show Figures

Figure 1

19 pages, 1208 KB  
Article
Local Recurrence After Nephron Surgery: What to Do? An Italian Multicentric Registry
by Angelo Porreca, Filippo Marino, Davide De Marchi, Marco Giampaoli, Daniele D’Agostino, Francesca Simonetti, Antonio Amodeo, Paolo Corsi, Francesco Claps, Alessandro Crestani, Riccardo Bertolo, Alessandro Antonelli, Fabrizio Di Maida, Andrea Minervini, Paolo Parma, Roberto Falabella, Stefano Zaramella, Francesco Greco, Maria Chiara Sighinolfi, Bernardo Rocco, Carmine Sciorio, Antonio Celia, Francesca Romana Prusciano, Pier Paolo Prontera, Gian Maria Busetto and Luca Di Gianfrancescoadd Show full author list remove Hide full author list
Cancers 2025, 17(19), 3269; https://doi.org/10.3390/cancers17193269 - 9 Oct 2025
Viewed by 188
Abstract
Introduction and Objectives: Local recurrence (LR) in patients treated with surgery for renal cell carcinoma (RCC) remains a significant clinical challenge that requires thorough investigation. Our study aimed to identify the relative risk factors and explore the optimal clinical management of LR. Materials [...] Read more.
Introduction and Objectives: Local recurrence (LR) in patients treated with surgery for renal cell carcinoma (RCC) remains a significant clinical challenge that requires thorough investigation. Our study aimed to identify the relative risk factors and explore the optimal clinical management of LR. Materials and Methods: We conducted a non-randomized, observational, retrospective multicentric registry involving multiple Italian urological centers. We included patients treated with surgery (either nephron-sparing or radical nephrectomy) who later developed LR, defined as recurrence in the ipsilateral kidney or renal fossa. Patients with hereditary syndromes or metastatic disease at the time of LR diagnosis were excluded. Results: We reported 135 cases of LR with the following characteristics: most primary lesions were monofocal (85.7%), with a median size of 42 mm (23–53), the median R.E.N.A.L. score was 7 (6–8), and the median Padua score was 7 (6–9). Patients were treated with robot-assisted techniques in 59% of cases, laparoscopic surgery in 32.4%, and open surgery in 8.6%. Nephron-sparing surgery was performed in 75.2% of cases. Ischemia occurred in 61% of the cases, with a median ischemia time of 21 min (15.5–24). Intraoperative complications occurred in 3.8% of cases, while postoperative complications were reported in 13.8%, all of which were grade ≤3 according to the Clavien–Dindo classification. The primary tumors were pT1a in 43.5% of cases, pT1b in 26.3%, pT2 in 14.7% and pT3 in 15.5%. Histologically, 84% of cases were clear cell, 11.3% papillary type 1 or 2, and 3.7% chromophobe. Sarcomatoid/rhabdoid variants were present in 10.5% of cases. The median rate of LR was 1.3% (range 0.2–3.6), while the median time to LR was 18 months (12–39). LR occurred in the ipsilateral kidney in 70.5% of cases and in the ipsilateral renal fossa in 29.5%. The median rate of PSM in LR cases at initial surgery was 2.4% (range 0–4.3), while the median rate of negative surgical margin (NSM) in LR cases at initial surgery was 0.1 (0–0.3). Following LR diagnosis, most patients (49.2%) underwent surgery, 29.1% received cryoablation or radiotherapy, 17.1% received systemic treatment alone, and 4.6% followed a watchful waiting/active surveillance approach. At a median follow-up of 62 months, the highest oncological control in terms of 5-year cancer-specific survival and overall survival rates was achieved in surgically treated patients. The PSM, the histological variant, and their combination were found to be independent variables correlated with the occurrence of LR, with relative risks of 3.62, 2.71, and 8.12, respectively. Conclusions: LR after nephron-sparing or radical nephrectomy represents a significant clinical dilemma. Known risk factors are not always sufficient to predict recurrence, emphasizing the necessity of consistent radiological follow-up per guideline recommendations. Early detection of recurrence and a multidisciplinary approach involving expert centers are crucial for optimizing patient outcomes. Full article
(This article belongs to the Special Issue Optimizing Surgical Procedures and Outcomes in Renal Cancer)
Show Figures

Figure 1

16 pages, 521 KB  
Article
Triple-Negative Apocrine Carcinoma: Largest Cohort Highlights Unique Biology and Survival Advantage
by Tugba Basoglu, Ugur Ozkerim, Sila Oksuz, Oguzcan Kinikoglu, Sedat Yildirim, Sermin Kokten, Heves Surmeli, Deniz Isik, Ozlem Nuray Sever, Seval Ay Ersoy, Hatice Odabas and Nedim Turan
J. Clin. Med. 2025, 14(19), 7103; https://doi.org/10.3390/jcm14197103 - 9 Oct 2025
Viewed by 221
Abstract
Background/Objectives: Triple-negative breast cancer (TNBC) is a heterogeneous entity lacking ER, PR, and HER2, with aggressive biology and high recurrence risk. Neoadjuvant chemotherapy (NACT) is the standard of care, and a pathological complete response (pCR) is a surrogate marker for survival. Within [...] Read more.
Background/Objectives: Triple-negative breast cancer (TNBC) is a heterogeneous entity lacking ER, PR, and HER2, with aggressive biology and high recurrence risk. Neoadjuvant chemotherapy (NACT) is the standard of care, and a pathological complete response (pCR) is a surrogate marker for survival. Within TNBC, apocrine differentiation (TNAC) is a distinct subtype, often androgen receptor (AR)-positive, with lower chemosensitivity but a favorable prognosis. Comparative studies of TNAC versus classical TNBC remain limited. This study aimed to define clinical and biological differences between TNAC and non-apocrine TNBC (NA-TNBC), representing the largest TNAC cohort to date. Methods: This retrospective study included 129 non-metastatic TNBC patients treated with NACT and surgery (2010–2020). Patients were classified as TNAC or NA-TNBC. Demographic, clinicopathological, and immunohistochemical data (including Ki-67 and AR) were collected. Tumor-infiltrating lymphocytes (TILs), delta Ki-67, pathological complete response (pCR), and survival outcomes were evaluated. Results: Of 129 TNBC patients, 45 (34.9%) were TNAC. AR positivity occurred in 64.4% of TNACs. TNAC patients were predominantly postmenopausal. pCR rates were significantly lower in TNAC (6.6% vs. 30.9%, p = 0.002). TNACs exhibited lower baseline Ki-67, delta Ki-67, and TIL positivity (13.3% vs. 30%). Despite this, 5-year overall survival was higher in TNAC (86% vs. 78%). Delta Ki-67 > 20% strongly predicted pCR across the cohort (p < 0.001). Carboplatin was rarely used in TNAC (8.3%), but was associated with a higher pCR rate (50% vs. 2.4%, p = 0.018). Conclusions: TNAC represents a biologically distinct TNBC subtype, characterized by low pCR but favorable survival. Recognition of its unique features may guide treatment de-escalation and exploration of AR-targeted therapies. Prospective studies focusing on TNAC are warranted. Full article
Show Figures

Figure 1

12 pages, 601 KB  
Article
Oncotype DX Recurrence Score Predicts Survival in Invasive Micropapillary Breast Carcinoma: A National Cancer Database Analysis
by Ali J. Haider, Mohummad Kazmi, Kyle Chang, Waqar M. Haque, Efstathia Polychronopoulou, Jonathon S. Cummock, Sandra S. Hatch, Andrew M. Farach, Upendra Parvathaneni, E. Brian Butler and Bin S. Teh
Curr. Oncol. 2025, 32(10), 559; https://doi.org/10.3390/curroncol32100559 - 5 Oct 2025
Viewed by 316
Abstract
(1) Background: Invasive micropapillary carcinoma (IMPC) is a rare, aggressive breast cancer subtype marked by high lymph node metastasis rates. While Oncotype DX recurrence score (RS) offers prognostic information for patients with hormone-receptor-positive (HR+) breast cancer, its utility in IMPC—a histology with distinct [...] Read more.
(1) Background: Invasive micropapillary carcinoma (IMPC) is a rare, aggressive breast cancer subtype marked by high lymph node metastasis rates. While Oncotype DX recurrence score (RS) offers prognostic information for patients with hormone-receptor-positive (HR+) breast cancer, its utility in IMPC—a histology with distinct biologic behavior—remains unvalidated. This study evaluates whether Oncotype DX offers prognostic information with respect to overall survival (OS) in non-metastatic, early-stage patients with IMPC of the breast. (2) Methods: The National Cancer Database (2004–2020) was queried to select for women with ER+/HER2−, T1-T2N0-N1 IMPC who underwent Oncotype DX testing and received no neoadjuvant therapy. Patients were stratified by RS: low (≤11), intermediate (12–25), and high (>25). Kaplan–Meier survival curves and log-rank tests compared 5-year OS between groups. Multivariable Cox proportional hazards models assessed RS as an independent predictor, adjusting for age, race, comorbidities, grade, radiation, and insurance status. (3) Results: A total of 1325 women met the selection criteria. The cohort demonstrated significant survival disparities by RS (log-rank p = 0.017). Five-year OS rates were 97.5%, 97.5%, and 93.7% for low, intermediate, and high-risk patients, respectively. Adjusted multivariate analysis confirmed RS as an independent prognosticator: low (HR = 0.31, 95% CI: 0.15–0.75) and intermediate (HR = 0.32, 95% CI: 0.15–0.75) scores correlated with reduced mortality versus high RS. Omission of radiation therapy (HR = 2.68, 95% CI: 1.05–6.86) and higher comorbidity burden (0 comorbidities vs. ≥2: HR = 0.25, 95% CI: 0.10–0.61) were significantly associated with worse survival. (4) Conclusions: Oncotype DX is predictive for OS in IMPC, with high RS (>25) portending poorer outcomes. The survival detriment associated with RT omission aligns with prior studies demonstrating RT benefit in higher-risk cohorts. These findings validate RS as a prognostic tool in IMPC and underscore its potential to refine adjuvant therapy, particularly RT utilization. Future studies should explore RS-driven treatment personalization in IMPC, including comorbidity management and adjuvant radiation to improve outcomes in this distinct patient population. Full article
(This article belongs to the Section Breast Cancer)
Show Figures

Figure 1

19 pages, 546 KB  
Article
Hormonal Therapy Patterns in Older Men with Prostate Cancer in the United States, 2010–2019
by Mohanad Albayyaa, Yong-Fang Kuo, Vahakn Shahinian, David S. Lopez, Biai Digbeu, Randall Urban and Jacques Baillargeon
Cancers 2025, 17(19), 3231; https://doi.org/10.3390/cancers17193231 - 4 Oct 2025
Viewed by 217
Abstract
Importance: Understanding trends in the use of hormonal therapy (HT) for prostate cancer (PCa) is crucial to optimize treatment strategies, particularly for older men with locally advanced and metastatic disease. Objective: To evaluate changes in the patterns of adjuvant and primary HT use [...] Read more.
Importance: Understanding trends in the use of hormonal therapy (HT) for prostate cancer (PCa) is crucial to optimize treatment strategies, particularly for older men with locally advanced and metastatic disease. Objective: To evaluate changes in the patterns of adjuvant and primary HT use over time in older U.S. men diagnosed with locally advanced and metastatic prostate cancer. Design, Setting, and Participants: This cohort study utilized SEER-Medicare data, which covers approximately 48% of the U.S. population and links cancer registry data with Medicare claims, including 149,515 men aged ≥66 years diagnosed with PCa between 2010 and 2019. We analyzed trends in the use of adjuvant HT for higher-risk and primary HT for lower-risk PCa. Multivariable logistic regression models were used to adjust for clinical and demographic factors. Main Outcomes and Measures: The primary outcome was the proportion of men receiving any form of HT within 6 months of PCa diagnosis. HT included injectable Gonadotropin-releasing hormone (GnRH) agonists and antagonists, orchiectomy, and anti-androgens agents. Results: The rate of adjuvant HT in higher-risk PCa patients increased significantly from 53.6% in 2010 to 68.1% in 2019 (p < 0.0001), with a steady rise in the last four years. In contrast, the rate of men with lower-risk disease receiving primary HT declined from 25% in 2010 to 16.9% in 2013, then peaked at 28.2% in 2015, and stabilized between 25% and 27.3% from 2017 to 2019. The overall HT usage increased from 33.5% in 2010 to 45.2% in 2019, showing a consistent increase over the years. These patterns persisted after adjusting for clinical and demographic factors. Conclusions and Relevance: The increasing use of adjuvant HT in higher-risk PCa patients aligns with evolving treatment guidelines, while the stable rate of primary HT in lower-risk patients represents persistent inappropriate use and highlights the need for further efforts to optimize treatment choices. While previous studies focused on men with intermediate-risk PCa receiving radiation therapy, our study broadens the scope to include men who did not undergo radiation therapy, providing a more inclusive view of HT trends. Future research should focus on refining strategies to reduce inappropriate primary HT use and improve adjuvant HT administration. Full article
(This article belongs to the Section Cancer Therapy)
Show Figures

Figure 1

17 pages, 1721 KB  
Article
Pleuropulmonary Blastoma in Children: A Nationwide Multicenter Study
by Barbara Tejza, Marta Hetman, Jadwiga Węcławek-Tompol, Krzysztof Kałwak, Olga Rutynowska, Bożenna Dembowska-Bagińska, Agata Sobocińska-Mirska, Paweł Łaguna, Ewa Bień, Ninela Irga-Jaworska, Katarzyna Derwich, Agnieszka Wziątek, Katarzyna Pawińska-Wąsikowska, Walentyna Balwierz, Anna Pytlik, Katarzyna Drabko, Justyna Walenciak, Wojciech Młynarski, Marta Rzeszutko and Jan Styczyński
Cancers 2025, 17(19), 3223; https://doi.org/10.3390/cancers17193223 - 2 Oct 2025
Viewed by 359
Abstract
Background/Objectives: This study involved an analysis of clinical data, histological types, genetic predisposition, treatment and outcomes in PPB in children. Patients and methods: We conducted a retrospective review of children treated for PPB at Polish pediatric oncology centers between 2011 and [...] Read more.
Background/Objectives: This study involved an analysis of clinical data, histological types, genetic predisposition, treatment and outcomes in PPB in children. Patients and methods: We conducted a retrospective review of children treated for PPB at Polish pediatric oncology centers between 2011 and 2024. Results: A total of fifteen children (seven boys, eight girls; median age of 39 months; range: 27–64 months) were included. Type II solid/cystic PPB and type III solid PPB were diagnosed in six and eight children, respectively (one not known). Overall, 93% of patients were diagnosed at up to 4 years of age. Metastatic disease at diagnosis was confirmed in three (20%) patients, localized in bones, bone marrow and lymph nodes. Diagnosis was confirmed via central pathology review in 11 patients (73%). DICER1 pathogenic variants were identified in eight patients. All children presented with respiratory symptoms. The tumor dimensions were >10 cm (n = 7), 5–10 cm (n = 5) and <5 cm (n = 2). No bilateral lung involvement was observed. Tumor biopsy was performed in six children (40%), with subsequent resection (R0) in five patients. Primary resection (R0) was achieved in three patients (20%) with type II (n = 1) or type III (n = 2). In the other six patients, non-radical resection was performed: R1 in four (27%) children (with a tumor rupture in one patient) and R2 (subtotal resection) in two children (13%). All patients received postoperative chemotherapy. Maintenance chemotherapy was given to two patients. No patient received radiotherapy as first-line treatment. Progressive disease occurred in two patients in the CNS and lungs. Relapsed disease appeared in three patients, all with CNS involvement. Conclusions: PPB is a rare, malignant tumor of early childhood with an uncertain prognosis. Despite multimodal treatment, patients remain at risk of progression or CNS relapse. Complete surgical resection remains a key prognostic factor. Full article
(This article belongs to the Section Pediatric Oncology)
Show Figures

Figure 1

23 pages, 1102 KB  
Review
Therapeutic Alliances for Optimizing the Management of Patients with Prostate Cancer: SOGUG Multidisciplinary Expert Panel Recommendations
by Aránzazu González-del-Alba, Claudio Martínez Ballesteros, José Ángel Arranz, Enrique Gallardo, Regina Gironés Sarrió, Fernando López Campos, Jesús Muñoz-Rodríguez, María José Méndez-Vidal and Alfonso Gómez de Iturriaga
Cancers 2025, 17(19), 3208; https://doi.org/10.3390/cancers17193208 - 1 Oct 2025
Viewed by 622
Abstract
A group of Spanish experts of different specialties participated in the ENFOCA2 project, promoted by the Spanish Oncology Genitourinary Group (SOGUG), which was designed to provide updated information on current and novel aspects contributing to the optimal care of prostate cancer (PCa) patients. [...] Read more.
A group of Spanish experts of different specialties participated in the ENFOCA2 project, promoted by the Spanish Oncology Genitourinary Group (SOGUG), which was designed to provide updated information on current and novel aspects contributing to the optimal care of prostate cancer (PCa) patients. In localized disease, it is important to implement strategic alliances with other institutions for improving adherence to active surveillance in low-risk groups and to explore genetic testing for a better indication of focal therapy. Local control of the disease should be maximized to prevent local failure and biochemical recurrence. In patients with locally advanced disease, with PSMA PET/CT-positive lesions in M0 staging on conventional imaging techniques, therapeutic decisions should be carefully evaluated due to insufficient evidence regarding the gold standard in this setting. In patients with metastatic castration-resistant PCa (mCRPC), assessment of BRCA somatic and germline mutations provides prognostic information and familial cancer risk and informs treatment decisions. Combinations of androgen receptor signaling inhibitor (ARSi) agents and poly-ADP ribose polymerase inhibitors (PARPi) are emerging alternatives for advanced PCa. The oldest segment of PCa patients (>70 years of age) may require geriatric assessment to evaluate physical and functional reserves, tailoring treatment to their individual characteristics and circumstances. The concept of a comprehensive multidisciplinary approach together with inter-center and/or inter-specialty therapeutic alliances should be implemented in the routine care of patients with PCa. Full article
(This article belongs to the Special Issue Advances in the Management of Pelvic Tumors)
Show Figures

Figure 1

20 pages, 2545 KB  
Article
LG-UNet Based Segmentation and Survival Prediction of Nasopharyngeal Carcinoma Using Multimodal MRI Imaging
by Yuhao Yang, Junhao Wen, Tianyi Wu, Jinrang Dong, Yunfei Xia and Yu Zhang
Bioengineering 2025, 12(10), 1051; https://doi.org/10.3390/bioengineering12101051 - 29 Sep 2025
Viewed by 376
Abstract
Image segmentation and survival prediction for nasopharyngeal carcinoma (NPC) are crucial for clinical diagnosis and treatment decisions. This study presents an improved 3D-UNet-based model for NPC GTV segmentation, referred to as LG-UNet. The encoder introduces deep strip convolution and channel attention mechanisms to [...] Read more.
Image segmentation and survival prediction for nasopharyngeal carcinoma (NPC) are crucial for clinical diagnosis and treatment decisions. This study presents an improved 3D-UNet-based model for NPC GTV segmentation, referred to as LG-UNet. The encoder introduces deep strip convolution and channel attention mechanisms to enhance feature extraction while avoiding spatial feature loss and anisotropic constraints. The decoder incorporates Dynamic Large Convolutional Kernel (DLCK) and Global Feature Fusion (GFF) modules to capture multi-scale features and integrate global contextual information, enabling precise segmentation of the tumor GTV in NPC MRI images. Risk prediction is performed on the segmented multi-modal MRI images using the Lung-Net model, with output risk factors combined with clinical data in the Cox model to predict metastatic probabilities for NPC lesions. Experimental results on 442 NPC MRI scans from Sun Yat-sen University Cancer Center showed DSC of 0.8223, accuracy of 0.8235, recall of 0.8297, and HD95 of 1.6807 mm. Compared to the baseline model, the DSC improved by 7.73%, accuracy increased by 4.52%, and recall improved by 3.40%. The combined model’s risk prediction showed C-index values of 0.756, with a 5-year AUC value of 0.789. This model can serve as an auxiliary tool for clinical decision-making in NPC. Full article
(This article belongs to the Section Biosignal Processing)
Show Figures

Figure 1

18 pages, 3182 KB  
Article
Real-World Outcomes and Biomarker Analysis Based on Routine Clinical, Laboratory, and Pathologic Parameters in Metastatic or Unresectable Esophageal Cancer Treated with First-Line Anti-PD-1 Plus Fluoropyrimidine and Platinum
by Jiyun Jeong, Seyoung Seo, Sung-Bae Kim, Joon Seon Song, Hye Ryun Kim, Byoung Chul Cho, Minkyu Jung, Chang Gon Kim, Moonki Hong, Min Hee Hong and Sook Ryun Park
Cancers 2025, 17(19), 3149; https://doi.org/10.3390/cancers17193149 - 28 Sep 2025
Viewed by 378
Abstract
Background/Objectives: The combination of anti-programmed death-1 (PD-1) inhibitors and chemotherapy is the standard first-line treatment for unresectable or metastatic esophageal squamous cell carcinoma (ESCC). However, real-world data remain limited, particularly regarding prognostic biomarkers. Methods: This multi-institutional retrospective study analyzed patients with metastatic or [...] Read more.
Background/Objectives: The combination of anti-programmed death-1 (PD-1) inhibitors and chemotherapy is the standard first-line treatment for unresectable or metastatic esophageal squamous cell carcinoma (ESCC). However, real-world data remain limited, particularly regarding prognostic biomarkers. Methods: This multi-institutional retrospective study analyzed patients with metastatic or unresectable ESCC who received first-line pembrolizumab or nivolumab plus fluoropyrimidine and platinum-based chemotherapy. Treatment regimens mirrored those in KEYNOTE-590 and CheckMate 648. Efficacy, safety, and prognostic factors were assessed. Prognostic factors were identified using multivariable Cox regression, and a point-based risk scoring system was developed. Results: Among 87 patients, the objective response rate was 48.3%, and the disease control rate was 77.0%. Median progression-free survival (PFS) was 5.6 months (95% CI, 4.5–8.7), and the median overall survival (OS) was 13.1 months (95% CI, 10.6–not reached). Grade 3–4 treatment-related adverse events occurred in 51.7% of patients. Eastern Cooperative Oncology Group (ECOG) performance status ≥ 2, elevated C-reactive protein, and lower programmed death-ligand 1 (PD-L1) combined positive score (CPS) were independently associated with worse PFS and OS. A prognostic risk score ranging from 0 to 5 based on these factors stratified patients into four prognostic groups with distinct survival outcomes. Median PFS ranged from not reached in the low-risk group to 2.1 months in the high-risk group. Stratifying PD-L1 CPS into three levels (<10, 10–49, ≥50) revealed a graded association between CPS and treatment outcomes, supporting the need for more nuanced PD-L1 evaluation beyond binary classification. Conclusions: First-line anti-PD-1 therapy combined with chemotherapy demonstrated favorable real-world outcomes in ESCC. The proposed prognostic scoring system may help personalize treatment strategies. Full article
(This article belongs to the Section Clinical Research of Cancer)
Show Figures

Figure 1

12 pages, 909 KB  
Article
Human Papillomavirus Prevalence in the Prostate and Seminal Vesicles: Does This Virus Have an Etiological Role in the Development of Prostate Cancer?
by Rei Shinzawa, Kazuyoshi Shigehara, Hiroki Nakata, Shingo Takada, Kotaro Fukukawa, Yuki Kato, Tomomi Nakagawa, Shohei Kawaguchi, Kouji Izumi and Atsushi Mizokami
Viruses 2025, 17(10), 1304; https://doi.org/10.3390/v17101304 - 26 Sep 2025
Viewed by 297
Abstract
Human papillomavirus (HPV) is common in both sexes and is also detected in male urine and semen. However, its exact origin and its etiological role in the male genital tract remain unclear. A total of 157 formalin-fixed paraffin-embedded tissues from 156 primary prostate [...] Read more.
Human papillomavirus (HPV) is common in both sexes and is also detected in male urine and semen. However, its exact origin and its etiological role in the male genital tract remain unclear. A total of 157 formalin-fixed paraffin-embedded tissues from 156 primary prostate cancer lesions and one metastatic lesion were analyzed. HPV-DNA was detected using a nested PCR, and HPV genotyping was performed using flow-through hybridization for positive cases. In situ hybridization (ISH) was used to localize HPV-DNA, whereas HPV-E6/E7 mRNA ISH and p16INK4a immunohistochemistry were conducted on high-risk (HR) HPV-positive samples. A nested PCR analysis demonstrated that HPV-DNA was detected in 9.6% of prostate cancers and 0% of seminal vesicles. HR-HPV was observed in 4.5% of the samples. Unknown type was the most common genotype. Of the genotypes which could be identified in the genotyping assay, HPV44 was the most prevalent. HPV prevalence was significantly higher in patients with high-grade groups. Among 15 HPV-positive cases, HPV-DNA was found in 9 cancerous and 10 non-cancerous lesions. E6/E7 mRNA was expressed in 6 of 7 HR-HPV-positive cases, while p16INK4a expression was weak or absent in all cases. HPV can infect prostate tissue and may contribute to carcinogenesis in some cases, but p16INK4a was not a consistent surrogate for E7 expression. Full article
(This article belongs to the Special Issue Human and Animal Papillomavirus: Infections, Genetics, and Vaccines)
Show Figures

Figure 1

16 pages, 602 KB  
Article
KRAS G12C Mutation Predicts Improved Survival in NSCLC Patients Receiving Immunotherapy: Insights from a Real-World Cohort
by Aslı Geçgel, Buket Şahin Çelik, Pınar Peker, Zeynep Sıla Gökdere, Didem Koca, Burçak Karaca, Deniz Nart and Erdem Göker
J. Clin. Med. 2025, 14(19), 6826; https://doi.org/10.3390/jcm14196826 - 26 Sep 2025
Viewed by 310
Abstract
Background: KRAS mutations are among the most common oncogenic drivers in non-small cell lung cancer (NSCLC), with KRAS G12C emerging as a therapeutically targetable subtype. However, the prognostic relevance of KRAS G12C compared with non-G12C mutations in patients receiving immune checkpoint inhibitors (ICIs) [...] Read more.
Background: KRAS mutations are among the most common oncogenic drivers in non-small cell lung cancer (NSCLC), with KRAS G12C emerging as a therapeutically targetable subtype. However, the prognostic relevance of KRAS G12C compared with non-G12C mutations in patients receiving immune checkpoint inhibitors (ICIs) remains unclear. Methods: We retrospectively analyzed 80 NSCLC patients treated with ICIs between January 2020 and July 2024; data were censored on 3 July 2025. The cohort included 32 KRAS-mutant (20 G12C, 12 non-G12C) and 48 KRAS wild-type patients. Clinicopathological features, treatment details, and survival outcomes were collected. Overall survival (OS) and progression-free survival (PFS) were estimated using the Kaplan–Meier method, with group comparisons made using the log-rank test. Univariate and multivariate Cox regression analyses were conducted to identify independent prognostic factors. Results: Among 80 NSCLC patients treated with ICIs, the median OS and PFS were 14.3 and 8.2 months, respectively. Survival outcomes were comparable between KRAS-mutant and wild-type patients. Within the KRAS-mutant subgroup (n = 32), baseline characteristics were generally balanced between G12C (n = 20) and non-G12C (n = 12) cases, with non-significant trends toward higher metastatic burden and PD-L1 ≥ 50% in the G12C group. Median OS was significantly longer in G12C patients than in non-G12C patients (20.7 vs. 6.4 months; p = 0.021), whereas PFS did not differ significantly (10.2 vs. 3.7 months; p = 0.181). In multivariate analysis, non-G12C mutation independently predicted increased mortality risk (HR 3.35, 95% CI 1.26–8.89; p = 0.015). For PFS, recurrent disease status was associated with improved outcomes in univariate analysis (HR 0.30, 95% CI 0.09–0.94; p = 0.040), but no independent predictors were identified in multivariate modeling. Conclusions: In NSCLC patients treated with ICIs, the KRAS G12C mutation was associated with significantly improved OS compared with other KRAS subtypes, independent of clinicopathological characteristics. These findings suggest distinct biological behavior of KRAS variants in immunotherapy response and warrant further prospective validation. Full article
(This article belongs to the Section Oncology)
Show Figures

Figure 1

16 pages, 1462 KB  
Systematic Review
Application of Radiomics in Melanoma: A Systematic Review and Meta-Analysis
by Rosa Falcone, Sofia Verkhovskaia, Francesca Romana Di Pietro, Chiara Scianni, Giulia Poti, Maria Francesca Morelli, Paolo Marchetti, Federica De Galitiis, Matteo Sammarra and Armando Ugo Cavallo
Cancers 2025, 17(19), 3130; https://doi.org/10.3390/cancers17193130 - 26 Sep 2025
Viewed by 357
Abstract
Background/Objectives: Radiomics is a powerful and emerging tool in oncology, with many potential applications in predicting therapy response and prognosis. To assess the current state of radiomics in melanoma, we conducted a systematic review of its various clinical uses. Methods: We [...] Read more.
Background/Objectives: Radiomics is a powerful and emerging tool in oncology, with many potential applications in predicting therapy response and prognosis. To assess the current state of radiomics in melanoma, we conducted a systematic review of its various clinical uses. Methods: We searched three databases: PubMed, Web of Science and Scopus. Each study was classified based on multiple variables, including patient number, metastasis number, therapy, imaging modality, clinical endpoints and analysis methods. The risk of bias in the systematic review was assessed with QUADAS-2, and the certainty of evidence in the meta-analysis with GRADE. Results: Forty studies involving 4673 patients and 24,561 lesions were included in the analysis. Metastatic disease was the most frequently studied clinical setting (85%). Immunotherapy was the most commonly investigated treatment, featured in half of the studies. Computed tomography (CT) was the preferred imaging modality, appearing in 17 studies (42.5%). Radiomic features were most often extracted using three-dimensional (3D) analysis (72.5%). Across 24 studies investigating the prediction of treatment response and survival, only 9 provided sufficient data (Area Under the Curve, AUC, and standard error, SE) for inclusion. A random-effects model estimated a pooled AUC of 0.83 (95% CI: 0.74 to 0.92), indicating strong discriminative performance of the radiomic models included. Low to moderate heterogeneity was observed (I2 = 28.6%, p = 0.4741). No evidence of publication bias was detected (p = 0.470). Conclusions: Radiomics is increasingly being explored in the context of melanoma, particularly in advanced disease settings and in relation to immunotherapy. Most studies rely on CT imaging and 3D feature extraction, while molecular integration remains limited. Despite promising findings with strong discriminative performance in predicting therapy response, further prospective, standardized studies with higher methodological rigor are needed to validate radiomic biomarkers and integrate them into clinical decision-making. Full article
(This article belongs to the Special Issue Development of Biomarkers and Antineoplastic Drugs in Solid Tumors)
Show Figures

Figure 1

Back to TopTop