Application of Radiomics in Melanoma: A Systematic Review and Meta-Analysis
Simple Summary
Abstract
1. Introduction
2. Materials and Methods
2.1. Search Strategy and Study Selection
2.2. Eligibility Criteria and Data Extraction
2.3. Statistical Analysis
3. Results
3.1. Study Selection
3.2. Descriptive Analysis of Included Studies
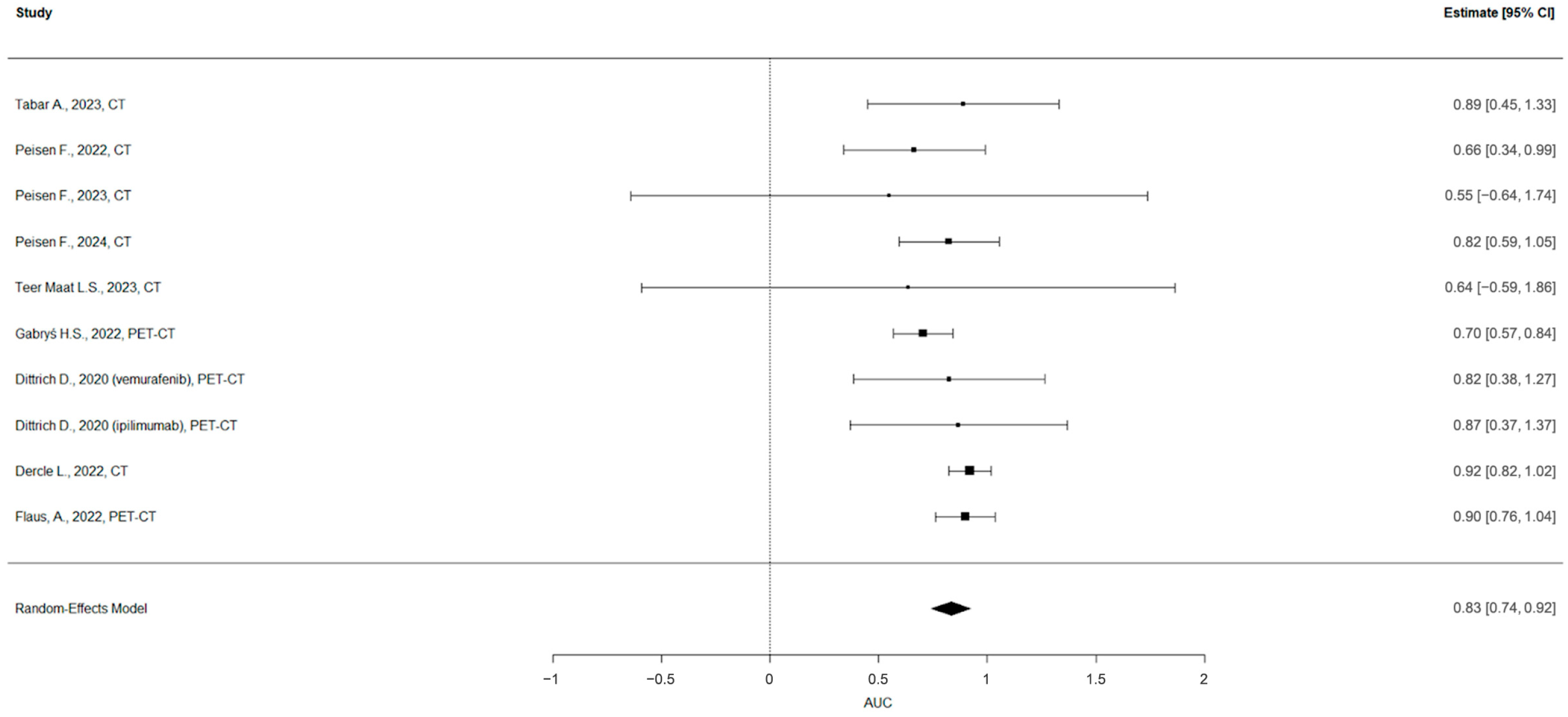
3.3. Meta-Analysis
3.4. Subgroup Analyses
4. Discussion
5. Conclusions
Supplementary Materials
Author Contributions
Funding
Institutional Review Board Statement
Informed Consent Statement
Data Availability Statement
Acknowledgments
Conflicts of Interest
Abbreviations
| AUC | Area Under the Curve |
| SE | Standard error |
| CT | Computed tomography |
| 2D | Two-dimensional |
| 3D | Three-dimensional |
| CI | Confidence interval |
| PET | Positron Emission Tomography |
| MRI | Magnetic Resonance Imaging |
| ICIs | Immune checkpoint inhibitors |
References
- Lambin, P.; Rios-Velazquez, E.; Leijenaar, R.; Carvalho, S.; van Stiphout, R.G.P.M.; Granton, P.; Zegers, C.M.L.; Gillies, R.; Boellard, R.; Dekker, A.; et al. Radiomics: Extracting More Information from Medical Images Using Advanced Feature Analysis. Eur. J. Cancer 2012, 48, 441–446. [Google Scholar] [CrossRef] [PubMed]
- Gillies, R.J.; Kinahan, P.E.; Hricak, H. Radiomics: Images Are More than Pictures, They Are Data. Radiology 2016, 278, 563–577. [Google Scholar] [CrossRef] [PubMed]
- Manganelli, M.; Stabile, G.; Scharf, C.; Podo Brunetti, A.; Paolino, G.; Giuffrida, R.; Bigotto, G.D.; Damiano, G.; Mercuri, S.R.; Sallustio, F.; et al. Skin Photodamage and Melanomagenesis: A Comprehensive Review. Cancers 2025, 17, 1784. [Google Scholar] [CrossRef] [PubMed]
- Robert, C.; Long, G.V.; Brady, B.; Dutriaux, C.; Maio, M.; Mortier, L.; Hassel, J.C.; Rutkowski, P.; McNeil, C.; Kalinka-Warzocha, E.; et al. Nivolumab in Previously Untreated Melanoma without BRAF Mutation. N. Engl. J. Med. 2015, 372, 320–330. [Google Scholar] [CrossRef]
- Sun, R.; Sundahl, N.; Hecht, M.; Putz, F.; Lancia, A.; Rouyar, A.; Milic, M.; Carré, A.; Battistella, E.; Alvarez Andres, E.; et al. Radiomics to Predict Outcomes and Abscopal Response of Patients with Cancer Treated with Immunotherapy Combined with Radiotherapy Using a Validated Signature of CD8 Cells. J. Immunother. Cancer 2020, 8, e001429. [Google Scholar] [CrossRef]
- Li, Z.; Liu, X.; Gao, Y.; Lu, X.; Lei, J. Ultrasound-Based Radiomics for Early Predicting Response to Neoadjuvant Chemotherapy in Patients with Breast Cancer: A Systematic Review with Meta-Analysis. Radiol. Med. 2024, 129, 934–944. [Google Scholar] [CrossRef]
- Caruso, D.; Polici, M.; Zerunian, M.; Pucciarelli, F.; Guido, G.; Polidori, T.; Landolfi, F.; Nicolai, M.; Lucertini, E.; Tarallo, M.; et al. Radiomics in Oncology, Part 1: Technical Principles and Gastrointestinal Application in CT and MRI. Cancers 2021, 13, 2522. [Google Scholar] [CrossRef]
- Campana, A.; Gandomkar, Z.; Giannotti, N.; Reed, W. The Use of Radiomics in Magnetic Resonance Imaging for the Pre-treatment Characterisation of Breast Cancers: A Scoping Review. J. Med. Radiat. Sci. 2023, 70, 462–478. [Google Scholar] [CrossRef]
- Ha, S.; Choi, H.; Paeng, J.C.; Cheon, G.J. Radiomics in Oncological PET/CT: A Methodological Overview. Nucl. Med. Mol. Imaging 2019, 53, 14–29. [Google Scholar] [CrossRef]
- Ungan, G.; Lavandier, A.-F.; Rouanet, J.; Hordonneau, C.; Chauveau, B.; Pereira, B.; Boyer, L.; Garcier, J.-M.; Mansard, S.; Bartoli, A.; et al. Metastatic Melanoma Treated by Immunotherapy: Discovering Prognostic Markers from Radiomics Analysis of Pretreatment CT with Feature Selection and Classification. Int. J. Comput. Assist. Radiol. Surg. 2022, 17, 1867–1877. [Google Scholar] [CrossRef]
- Durot, C.; Mulé, S.; Soyer, P.; Marchal, A.; Grange, F.; Hoeffel, C. Metastatic Melanoma: Pretreatment Con-trast-Enhanced CT Texture Parameters as Predictive Biomarkers of Survival in Patients Treated with Pem-brolizumab. Eur. Radiol. 2019, 29, 3183–3191. [Google Scholar] [CrossRef]
- Kawahara, D.; Jensen, A.; Yuan, J.; Nagata, Y.; Watanabe, Y. Predicting the BRAF Mutation with Pretreatment MRI Radiomics Features for Melanoma Brain Metastases Receiving Gamma Knife Radiosurgery. Clin. Radiol. 2023, 78, e934–e940. [Google Scholar] [CrossRef] [PubMed]
- Sun, R.; Limkin, E.J.; Vakalopoulou, M.; Dercle, L.; Champiat, S.; Han, S.R.; Verlingue, L.; Brandao, D.; Lancia, A.; Ammari, S.; et al. A Radiomics Approach to Assess Tumour-Infiltrating CD8 Cells and Response to An-ti-PD-1 or Anti-PD-L1 Immunotherapy: An Imaging Biomarker, Retrospective Multicohort Study. Lancet Oncol. 2018, 19, 1180–1191. [Google Scholar] [CrossRef] [PubMed]
- van Griethuysen, J.J.M.; Fedorov, A.; Parmar, C.; Hosny, A.; Aucoin, N.; Narayan, V.; Beets-Tan, R.G.H.; Fil-lion-Robin, J.-C.; Pieper, S.; Aerts, H.J.W.L. Computational Radiomics System to Decode the Radiographic Phenotype. Cancer Res. 2017, 77, e104–e107. [Google Scholar] [CrossRef]
- Nioche, C.; Orlhac, F.; Boughdad, S.; Reuzé, S.; Goya-Outi, J.; Robert, C.; Pellot-Barakat, C.; Soussan, M.; Frouin, F.; Buvat, I. LIFEx: A Freeware for Radiomic Feature Calculation in Multimodality Imaging to Accelerate Advances in the Characterization of Tumor Heterogeneity. Cancer Res. 2018, 78, 4786–4789. [Google Scholar] [CrossRef]
- Devoto, L.; Ganeshan, B.; Keller, D.; Groves, A.M.; Endozo, R.; Arulampalam, T.; Chand, M. Using Texture Analysis in the Development of a Potential Radiomic Signature for Early Identification of Hepatic Metastasis in Colorectal Cancer. Eur. J. Radiol. Open 2022, 9, 100415. [Google Scholar] [CrossRef]
- Zwanenburg, A.; Vallières, M.; Abdalah, M.A.; Aerts, H.J.W.L.; Andrearczyk, V.; Apte, A.; Ashrafinia, S.; Bakas, S.; Beukinga, R.J.; Boellaard, R.; et al. The Image Biomarker Standardization Initiative: Standardized Quantitative Radiomics for High-Throughput Image-Based Phenotyping. Radiology 2020, 295, 328–338. [Google Scholar] [CrossRef]
- Lambin, P.; Leijenaar, R.T.H.; Deist, T.M.; Peerlings, J.; de Jong, E.E.C.; van Timmeren, J.; Sanduleanu, S.; Larue, R.T.H.M.; Even, A.J.G.; Jochems, A.; et al. Radiomics: The Bridge between Medical Imaging and Personalized Medicine. Nat. Rev. Clin. Oncol. 2017, 14, 749–762. [Google Scholar] [CrossRef]
- Frandsen, T.F.; Bruun Nielsen, M.F.; Lindhardt, C.L.; Eriksen, M.B. Using the Full PICO Model as a Search Tool for Systematic Reviews Resulted in Lower Recall for Some PICO Elements. J. Clin. Epidemiol. 2020, 127, 69–75. [Google Scholar] [CrossRef]
- Tompkins, A.G.; Gray, Z.N.; Dadey, R.E.; Zenkin, S.; Batavani, N.; Newman, S.; Amouzegar, A.; Ak, M.; Ak, N.; Pak, T.Y.; et al. Radiomic Analysis of Patient and Interorgan Heterogeneity in Response to Immunotherapies and BRAF-Targeted Therapy in Metastatic Melanoma. J. Immunother. Cancer 2025, 13, e009568. [Google Scholar] [CrossRef]
- Peisen, F.; Gerken, A.; Hering, A.; Dahm, I.; Nikolaou, K.; Gatidis, S.; Eigentler, T.K.; Amaral, T.; Moltz, J.H.; Othman, A.E. Can Delta Radiomics Improve the Prediction of Best Overall Response, Progression-Free Survival, and Overall Survival of Melanoma Patients Treated with Immune Checkpoint Inhibitors? Cancers 2024, 16, 2669, Correction in Cancers 2025, 17, 1. [Google Scholar] [CrossRef]
- Shi, Y.-J.; Zhu, H.-T.; Yan, S.; Li, X.-T.; Zhang, X.-Y.; Sun, Y.-S. A CT-Based Radiomics Nomogram Model for Differentiating Primary Malignant Melanoma of the Esophagus from Esophageal Squamous Cell Carcinoma. Biomed. Res. Int. 2023, 2023, 6057196. [Google Scholar] [CrossRef]
- Tabari, A.; Cox, M.; D’Amore, B.; Mansur, A.; Dabbara, H.; Boland, G.; Gee, M.S.; Daye, D. Machine Learning Improves the Prediction of Responses to Immune Checkpoint Inhibitors in Metastatic Melanoma. Cancers 2023, 15, 2700. [Google Scholar] [CrossRef]
- Peisen, F.; Gerken, A.; Hering, A.; Dahm, I.; Nikolaou, K.; Gatidis, S.; Eigentler, T.K.; Amaral, T.; Moltz, J.H.; Othman, A.E. Can Whole-Body Baseline CT Radiomics Add Information to the Prediction of Best Response, Progression-Free Survival, and Overall Survival of Stage IV Melanoma Patients Receiving First-Line Targeted Therapy: A Retrospective Register Study. Diagnostics 2023, 13, 3210. [Google Scholar] [CrossRef] [PubMed]
- Ter Maat, L.S.; van Duin, I.A.J.; Elias, S.G.; Leiner, T.; Verhoeff, J.J.C.; Arntz, E.R.A.N.; Troenokarso, M.F.; Blokx, W.A.M.; Isgum, I.; de Wit, G.A.; et al. CT Radiomics Compared to a Clinical Model for Predicting Checkpoint Inhibitor Treatment Outcomes in Patients with Advanced Melanoma. Eur. J. Cancer 2023, 185, 167–177. [Google Scholar] [CrossRef] [PubMed]
- Meißner, A.-K.; Gutsche, R.; Galldiks, N.; Kocher, M.; Jünger, S.T.; Eich, M.-L.; Montesinos-Rongen, M.; Brunn, A.; Deckert, M.; Wendl, C.; et al. Radiomics for the Noninvasive Prediction of the BRAF Mutation Status in Patients with Melanoma Brain Metastases. Neuro Oncol. 2022, 24, 1331–1340. [Google Scholar] [CrossRef]
- Peisen, F.; Hänsch, A.; Hering, A.; Brendlin, A.S.; Afat, S.; Nikolaou, K.; Gatidis, S.; Eigentler, T.; Amaral, T.; Moltz, J.H.; et al. Combination of Whole-Body Baseline CT Radiomics and Clinical Parameters to Predict Re-sponse and Survival in a Stage-IV Melanoma Cohort Undergoing Immunotherapy. Cancers 2022, 14, 2992. [Google Scholar] [CrossRef]
- Gabryś, H.S.; Basler, L.; Burgermeister, S.; Hogan, S.; Ahmadsei, M.; Pavic, M.; Bogowicz, M.; Vuong, D.; Ta-nadini-Lang, S.; Förster, R.; et al. PET/CT Radiomics for Prediction of Hyperprogression in Metastatic Mela-noma Patients Treated with Immune Checkpoint Inhibitors. Front. Oncol. 2022, 12, 977822. [Google Scholar] [CrossRef]
- Dercle, L.; Zhao, B.; Gönen, M.; Moskowitz, C.S.; Firas, A.; Beylergil, V.; Connors, D.E.; Yang, H.; Lu, L.; Fojo, T.; et al. Early Readout on Overall Survival of Patients With Melanoma Treated With Immunotherapy Using a Novel Imaging Analysis. JAMA Oncol. 2022, 8, 385. [Google Scholar] [CrossRef]
- Flaus, A.; Habouzit, V.; de Leiris, N.; Vuillez, J.-P.; Leccia, M.-T.; Simonson, M.; Perrot, J.-L.; Cachin, F.; Prevot, N. Outcome Prediction at Patient Level Derived from Pre-Treatment 18F-FDG PET Due to Machine Learning in Metastatic Melanoma Treated with Anti-PD1 Treatment. Diagnostics 2022, 12, 388. [Google Scholar] [CrossRef]
- Faita, F.; Oranges, T.; Di Lascio, N.; Ciompi, F.; Vitali, S.; Aringhieri, G.; Janowska, A.; Romanelli, M.; Dini, V. Ultra-high-frequency Ultrasound and Machine Learning Approaches for the Differential Diagnosis of Mela-nocytic Lesions. Exp. Dermatol. 2022, 31, 94–98. [Google Scholar] [CrossRef]
- Angus, L.; Starmans, M.P.A.; Rajicic, A.; Odink, A.E.; Jalving, M.; Niessen, W.J.; Visser, J.J.; Sleijfer, S.; Klein, S.; van der Veldt, A.A.M. The BRAF P.V600E Mutation Status of Melanoma Lung Metastases Cannot Be Dis-criminated on Computed Tomography by LIDC Criteria nor Radiomics Using Machine Learning. J. Pers. Med. 2021, 11, 257. [Google Scholar] [CrossRef]
- Aoude, L.G.; Wong, B.Z.Y.; Bonazzi, V.F.; Brosda, S.; Walters, S.B.; Koufariotis, L.T.; Naeini, M.M.; Pearson, J.V.; Oey, H.; Patel, K.; et al. Radiomics Biomarkers Correlate with CD8 Expression and Predict Immune Signatures in Melanoma Patients. Mol. Cancer Res. 2021, 19, 950–956. [Google Scholar] [CrossRef]
- Dittrich, D.; Pyka, T.; Scheidhauer, K.; Lütje, S.; Essler, M.; Bundschuh, R.A. Textural Features in FDG-PET/CT Can Predict Outcome in Melanoma Patients to Treatment with Vemurafenib and Ipililumab. Nuklearmedizin 2020, 59, 228–234. [Google Scholar] [CrossRef] [PubMed]
- Gill, A.B.; Rundo, L.; Wan, J.C.M.; Lau, D.; Zawaideh, J.P.; Woitek, R.; Zaccagna, F.; Beer, L.; Gale, D.; Sala, E.; et al. Correlating Radiomic Features of Heterogeneity on CT with Circulating Tumor DNA in Metastatic Mela-noma. Cancers 2020, 12, 3493. [Google Scholar] [CrossRef] [PubMed]
- Basler, L.; Gabryś, H.S.; Hogan, S.A.; Pavic, M.; Bogowicz, M.; Vuong, D.; Tanadini-Lang, S.; Förster, R.; Kudura, K.; Huellner, M.W.; et al. Radiomics, Tumor Volume, and Blood Biomarkers for Early Prediction of Pseudo-progression in Patients with Metastatic Melanoma Treated with Immune Checkpoint Inhibition. Clin. Cancer Res. 2020, 26, 4414–4425. [Google Scholar] [CrossRef] [PubMed]
- Su, Y.; Xu, X.; Zuo, P.; Xia, Y.; Qu, X.; Chen, Q.; Guo, J.; Wei, W.; Xian, J. Value of MR-Based Radiomics in Dif-ferentiating Uveal Melanoma from Other Intraocular Masses in Adults. Eur. J. Radiol. 2020, 131, 109268. [Google Scholar] [CrossRef]
- Shofty, B.; Artzi, M.; Shtrozberg, S.; Fanizzi, C.; DiMeco, F.; Haim, O.; Peleg Hason, S.; Ram, Z.; Bashat, D.B.; Grossman, R. Virtual Biopsy Using MRI Radiomics for Prediction of BRAF Status in Melanoma Brain Metas-tasis. Sci. Rep. 2020, 10, 6623. [Google Scholar] [CrossRef]
- Saadani, H.; van der Hiel, B.; Aalbersberg, E.A.; Zavrakidis, I.; Haanen, J.B.A.G.; Hoekstra, O.S.; Boellaard, R.; Stokkel, M.P.M. Metabolic Biomarker–Based BRAFV600 Mutation Association and Prediction in Melanoma. J. Nucl. Med. 2019, 60, 1545–1552. [Google Scholar] [CrossRef]
- Uhrig, M.; Simons, D.; Ganten, M.-K.; Hassel, J.C.; Schlemmer, H.-P. Histogram Analysis of Iodine Maps from Dual Energy Computed Tomography for Monitoring Targeted Therapy of Melanoma Patients. Future Oncol. 2015, 11, 591–606. [Google Scholar] [CrossRef]
- Zheng, Y.; Tang, Y.; Yao, Y.; Ge, T.; Pan, H.; Cui, J.; Rao, Y.; Tao, X.; Jia, R.; Ai, S.; et al. Correlation Analysis of Apparent Diffusion Coefficient Histogram Parameters and Clinicopathologic Features for Prognosis Predic-tion in Uveal Melanoma. Investig. Ophthalmol. Vis. Sci. 2024, 65, 3. [Google Scholar] [CrossRef] [PubMed]
- Su, Y.; Xu, X.; Wang, F.; Zuo, P.; Chen, Q.; Wei, W.; Xian, J. Prognostic Value of the Radiomics-Based Model in the Disease-Free Survival of Pretreatment Uveal Melanoma: An Initial Result. J. Comput. Assist. Tomogr. 2023, 47, 151–159. [Google Scholar] [CrossRef] [PubMed]
- Courlet, P.; Abler, D.; Guidi, M.; Girard, P.; Amato, F.; Vietti Violi, N.; Dietz, M.; Guignard, N.; Wicky, A.; Latifyan, S.; et al. Modeling Tumor Size Dynamics Based on Real-world Electronic Health Records and Image Data in Advanced Melanoma Patients Receiving Immunotherapy. CPT Pharmacomet. Syst. Pharmacol. 2023, 12, 1170–1181. [Google Scholar] [CrossRef] [PubMed]
- Vagenas, T.P.; Economopoulos, T.L.; Sachpekidis, C.; Dimitrakopoulou-Strauss, A.; Pan, L.; Provata, A.; Matsopoulos, G.K. A Decision Support System for the Identification of Metastases of Metastatic Melanoma Using Whole-Body FDG PET/CT Images. IEEE J. Biomed. Health Inform. 2023, 27, 1397–1408. [Google Scholar] [CrossRef]
- Anne-Leen, D.; Machaba, S.; Alex, M.; Bart, D.S.; Laurence, B.; Mike, S.; Hans, P.; Van de Wiele, C. Principal Component Analysis of Texture Features Derived from FDG PET Images of Melanoma Lesions. EJNMMI Phys. 2022, 9, 64. [Google Scholar] [CrossRef]
- Bonnin, A.; Durot, C.; Barat, M.; Djelouah, M.; Grange, F.; Mulé, S.; Soyer, P.; Hoeffel, C. CT Texture Analysis as a Predictor of Favorable Response to Anti-PD1 Monoclonal Antibodies in Metastatic Skin Melanoma. Diagn. Interv. Imaging 2022, 103, 97–102. [Google Scholar] [CrossRef]
- Brendlin, A.S.; Peisen, F.; Almansour, H.; Afat, S.; Eigentler, T.; Amaral, T.; Faby, S.; Calvarons, A.F.; Nikolaou, K.; Othman, A.E. A Machine Learning Model Trained on Dual-Energy CT Radiomics Significantly Improves Immunotherapy Response Prediction for Patients with Stage IV Melanoma. J. Immunother. Cancer 2021, 9, e003261. [Google Scholar] [CrossRef]
- Guerrisi, A.; Russillo, M.; Loi, E.; Ganeshan, B.; Ungania, S.; Desiderio, F.; Bruzzaniti, V.; Falcone, I.; Renna, D.; Ferraresi, V.; et al. Exploring CT Texture Parameters as Predictive and Response Imaging Biomarkers of Survival in Patients with Metastatic Melanoma Treated With PD-1 Inhibitor Nivolumab: A Pilot Study Using a Delta-Radiomics Approach. Front. Oncol. 2021, 11, 704607. [Google Scholar] [CrossRef]
- Wang, Z.; Mao, L.; Zhou, Z.; Si, L.; Zhu, H.; Chen, X.; Zhou, M.; Sun, Y.; Guo, J. Pilot Study of CT-Based Ra-diomics Model for Early Evaluation of Response to Immunotherapy in Patients With Metastatic Melanoma. Front. Oncol. 2020, 10, 1524. [Google Scholar] [CrossRef]
- Olthof, S.-C.; Krumm, P.; Weichold, O.; Eigentler, T.; Bösmüller, H.; la Fougère, C.; Pfannenberg, C.; Martus, P.; Klumpp, B. CT Texture Analysis Compared to Positron Emission Tomography (PET) and Mutational Status in Resected Melanoma Metastases. Eur. J. Radiol. 2020, 131, 109242. [Google Scholar] [CrossRef]
- Schraag, A.; Klumpp, B.; Afat, S.; Gatidis, S.; Nikolaou, K.; Eigentler, T.K.; Othman, A.E. Baseline Clinical and Imaging Predictors of Treatment Response and Overall Survival of Patients with Metastatic Melanoma Un-dergoing Immunotherapy. Eur. J. Radiol. 2019, 121, 108688. [Google Scholar] [CrossRef]
- Bhatia, A.; Birger, M.; Veeraraghavan, H.; Um, H.; Tixier, F.; McKenney, A.S.; Cugliari, M.; Caviasco, A.; Bialczak, A.; Malani, R.; et al. MRI Radiomic Features Are Associated with Survival in Melanoma Brain Metas-tases Treated with Immune Checkpoint Inhibitors. Neuro Oncol. 2019, 21, 1578–1586. [Google Scholar] [CrossRef] [PubMed]
- Trebeschi, S.; Drago, S.G.; Birkbak, N.J.; Kurilova, I.; Cǎlin, A.M.; Delli Pizzi, A.; Lalezari, F.; Lambregts, D.M.J.; Rohaan, M.W.; Parmar, C.; et al. Predicting Response to Cancer Immunotherapy Using Noninvasive Radiomic Biomarkers. Ann. Oncol. 2019, 30, 998–1004. [Google Scholar] [CrossRef] [PubMed]
- Giesel, F.L.; Schneider, F.; Kratochwil, C.; Rath, D.; Moltz, J.; Holland-Letz, T.; Kauczor, H.-U.; Schwartz, L.H.; Haberkorn, U.; Flechsig, P. Correlation Between SUV max and CT Radiomic Analysis Using Lymph Node Density in PET/CT-Based Lymph Node Staging. J. Nucl. Med. 2017, 58, 282–287. [Google Scholar] [CrossRef] [PubMed]
- Smith, A.D.; Gray, M.R.; del Campo, S.M.; Shlapak, D.; Ganeshan, B.; Zhang, X.; Carson, W.E. Predicting Overall Survival in Patients With Metastatic Melanoma on Antiangiogenic Therapy and RECIST Stable Dis-ease on Initial Posttherapy Images Using CT Texture Analysis. Am. J. Roentgenol. 2015, 205, W283–W293. [Google Scholar] [CrossRef]
- Thijssen, J.M.; Verbeek, A.M.; Romijn, R.L.; de Wolf-Rouendaal, D.; Oosterhuis, J.A. Echographic Differenta-tion of Intraocular Melanomas by Computer Analysis. Acta Ophthalmol. 1992, 70, 26–34. [Google Scholar] [CrossRef]
- Whiting, P.F.; Rutjes, A.W.S.; Westwood, M.E.; Mallett, S.; Deeks, J.J.; Reitsma, J.B.; Leeflang, M.M.G.; Sterne, J.A.C.; Bossuyt, P.M.M. QUADAS-2: A Revised Tool for the Quality Assessment of Diagnostic Accuracy Studies. Ann. Intern. Med. 2011, 155, 529–536. [Google Scholar] [CrossRef]
- Prasad, M. Introduction to the GRADE Tool for Rating Certainty in Evidence and Recommendations. Clin. Epidemiol. Glob. Health 2024, 25, 101484. [Google Scholar] [CrossRef]
- Guerrisi, A.; Loi, E.; Ungania, S.; Russillo, M.; Bruzzaniti, V.; Elia, F.; Desiderio, F.; Marconi, R.; Solivetti, F.M.; Strigari, L. Novel Cancer Therapies for Advanced Cutaneous Melanoma: The Added Value of Radiomics in the Decision Making Process—A Systematic Review. Cancer Med. 2020, 9, 1603–1612. [Google Scholar] [CrossRef]
- Lin, T.-L.; Mukundan, A.; Karmakar, R.; Avala, P.; Chang, W.-Y.; Wang, H.-C. Hyperspectral Imaging for Enhanced Skin Cancer Classification Using Machine Learning. Bioengineering 2025, 12, 755. [Google Scholar] [CrossRef]





| Study | Imaging | N° pt. | Validation | Endpoint |
|---|---|---|---|---|
| Tabari A., 2023; [23] 10.3390/cancers15102700 | CT | 79 | Internal validation | Prediction of hepatic mets response (3 mo) |
| Peisen F., 2022; [27] 10.3390/cancers14122992 | CT | 262 | Cross-validation | Prediction of response (3 mo); OS (6, 12 mo) |
| Peisen F., 2023; [24] 10.3390/diagnostics13203210 | CT | 91 | Cross-validation | Prediction of BOR; PFS (6 mo); OS (6, 12 mo) |
| Peisen F., 2024; [21] 10.3390/cancers17010001 | CT | 146 | Cross-validation | Prediction of BOR; PFS (6, 9, 12 mo); OS (6 mo) |
| Ter Maat L.S., 2023; [25] 10.1016/j.ejca.2023.02.017 | CT | 620 | Cross-validation | Prediction of clinical benefit for a minimum of 6 mo |
| Gabryś H.S., 2022; [28] 10.3389/fonc.2022.977822 | PET-CT | 56 | Cross-validation | Hyperprogression (3 mo) |
| Dittrich D., 2020; [34] 10.1055/a-1140-5458 | PET-CT | 9 | No validation | Response (3 mo) according to PERCIST |
| Dittrich D., 2020; [34] 10.1055/a-1140-5458 | PET-CT | 17 | No validation | Response (3 mo) according to PERCIST |
| Dercle L., 2022; [29] 10.1001/jamaoncol.2021.6818 | CT | 575 | Internal validation | Prediction of response (3 mo); OS (6 mo) |
| Flaus A., 2022; [30] 10.3390/diagnostics12020388 | PET-CT | 56 | Cross-validation | Prediction of OS, PFS (12 mo) |
| Subgroup | Number of Studies | I2 | Pooled AUC | Predicted AUC | Egger’s Test p Value |
|---|---|---|---|---|---|
| Patient level | 6 | 0.00 | 0.89 (95% CI: 0.82–0.96) | 0.89 (95% CI: 0.82–0.96) | 0.16 |
| Lesion level | 4 | 0.00 | 0.74 (95% CI: 0.62–0.86) | 0.74 (95% CI: 0.62–0.86) | 0.30 |
| Pooled studies | 10 | 28.6% | 0.83 (95% CI: 0.74–0.92) | 0.83 (95% CI: 0.74–0.92) | 0.47 |
| Subgroup | N° of Studies | I2 | Pooled AUC | Predicted AUC | Egger’s Test p Value |
|---|---|---|---|---|---|
| CT | 6 | 7.62 | 0.87 (95% CI: 0.77–0.98) | 0.87 (95% CI: 0.77–0.98) | 0.20 |
| PET-CT | 4 | 39.91 | 0.81 (95% CI: 0.67–0.95) | 0.81 (95% CI: 0.67–0.95) | 0.83 |
| Cross-validation | 6 | 27.66 | 0.79 (95% CI: 0.67–0.9) | 0.79 (95% CI: 0.67–0.9) | 0.53 |
| Internal validation | 2 | 0.00 | 0.92 (95% CI: 0.82–1.01) | 0.92 (95% CI: 0.82–1.01) | NA |
Disclaimer/Publisher’s Note: The statements, opinions and data contained in all publications are solely those of the individual author(s) and contributor(s) and not of MDPI and/or the editor(s). MDPI and/or the editor(s) disclaim responsibility for any injury to people or property resulting from any ideas, methods, instructions or products referred to in the content. |
© 2025 by the authors. Licensee MDPI, Basel, Switzerland. This article is an open access article distributed under the terms and conditions of the Creative Commons Attribution (CC BY) license (https://creativecommons.org/licenses/by/4.0/).
Share and Cite
Falcone, R.; Verkhovskaia, S.; Di Pietro, F.R.; Scianni, C.; Poti, G.; Morelli, M.F.; Marchetti, P.; De Galitiis, F.; Sammarra, M.; Cavallo, A.U. Application of Radiomics in Melanoma: A Systematic Review and Meta-Analysis. Cancers 2025, 17, 3130. https://doi.org/10.3390/cancers17193130
Falcone R, Verkhovskaia S, Di Pietro FR, Scianni C, Poti G, Morelli MF, Marchetti P, De Galitiis F, Sammarra M, Cavallo AU. Application of Radiomics in Melanoma: A Systematic Review and Meta-Analysis. Cancers. 2025; 17(19):3130. https://doi.org/10.3390/cancers17193130
Chicago/Turabian StyleFalcone, Rosa, Sofia Verkhovskaia, Francesca Romana Di Pietro, Chiara Scianni, Giulia Poti, Maria Francesca Morelli, Paolo Marchetti, Federica De Galitiis, Matteo Sammarra, and Armando Ugo Cavallo. 2025. "Application of Radiomics in Melanoma: A Systematic Review and Meta-Analysis" Cancers 17, no. 19: 3130. https://doi.org/10.3390/cancers17193130
APA StyleFalcone, R., Verkhovskaia, S., Di Pietro, F. R., Scianni, C., Poti, G., Morelli, M. F., Marchetti, P., De Galitiis, F., Sammarra, M., & Cavallo, A. U. (2025). Application of Radiomics in Melanoma: A Systematic Review and Meta-Analysis. Cancers, 17(19), 3130. https://doi.org/10.3390/cancers17193130

