Sign in to use this feature.

Years

Between: -

Subjects

remove_circle_outline
remove_circle_outline
remove_circle_outline
remove_circle_outline
remove_circle_outline
remove_circle_outline
remove_circle_outline
remove_circle_outline
remove_circle_outline

Journals

Article Types

Countries / Regions

Search Results (44)

Search Parameters:
Keywords = melt-infiltration method

Order results
Result details
Results per page
Select all
Export citation of selected articles as:
27 pages, 2936 KB  
Article
Ai-Fen Solid Dispersions: Preparation, Characterization, and Enhanced Therapeutic Efficacy in a Rat Model of Oral Ulceration
by Bing-Nan Liu, Kai-Lang Mu, Chang-Liu Shao, Ping-Xuan Xie, Jun-Li Xie, Mei-Hui He, Yu-Chen Liu, Ke Zhong, Yuan Yuan, Xiao-Min Tang and Yu-Xin Pang
Pharmaceuticals 2026, 19(1), 7; https://doi.org/10.3390/ph19010007 - 19 Dec 2025
Viewed by 342
Abstract
Background/Objectives: Recurrent oral ulceration (ROU) is the most prevalent disorder of the oral mucosa, affecting approximately 20% of the global population. Current therapies are limited by adverse effects and high recurrence rates. Ai-Fen, enriched in the anti-inflammatory monoterpenoid L-borneol (54.3% w/w [...] Read more.
Background/Objectives: Recurrent oral ulceration (ROU) is the most prevalent disorder of the oral mucosa, affecting approximately 20% of the global population. Current therapies are limited by adverse effects and high recurrence rates. Ai-Fen, enriched in the anti-inflammatory monoterpenoid L-borneol (54.3% w/w), exhibits therapeutic potential but suffers from poor aqueous solubility and low bioavailability. This study aimed to improve the physicochemical properties and in vivo efficacy of Ai-Fen through the preparation of solid dispersions. Methods: Ai-Fen solid dispersions (AF-SD) were prepared by a melt-fusion method using polyethylene glycol 6000 (PEG 6000) as the carrier. An L9(33) orthogonal design was employed to optimize three critical parameters: drug-to-carrier ratio, melting temperature, and melting duration. The resulting dispersions were systematically characterized by differential scanning calorimetry (DSC), powder X-ray diffraction (PXRD), scanning electron microscopy (SEM), and Fourier-transform infrared spectroscopy (FTIR). A chemically induced ROU model in rats (n = 8 per group) was established to evaluate the effects of AF-SD on ulcer area, serum inflammatory cytokines (TNF-α, IL-6), vascular endothelial growth factor (VEGF) levels, and histopathological outcomes. Results: The optimal formulation was obtained at a drug-to-carrier ratio of 1:2, a melting temperature of 70 °C, and a melting time of 5 min. Under these conditions, L-borneol release increased 2.5-fold. DSC and PXRD confirmed complete conversion of Ai-Fen to an amorphous state, while FTIR revealed a 13 cm−1 red shift in the O-H stretching band, indicating hydrogen-bond formation. In vivo, AF-SD reduced ulcer area by 60.7% (p < 0.001) and achieved a healing rate of 74.16%. Serum TNF-α and IL-6 decreased by 55.5% and 49.6%, respectively (both p < 0.001), whereas VEGF increased by 89.6% (p < 0.001). Histological analysis confirmed marked reduction in inflammatory infiltration, accelerated re-epithelialization (score 2.50), and a 5.9-fold increase in neovascularization. Conclusions: AF-SD markedly enhanced the bioavailability of Ai-Fen through amorphization and accelerated ROU healing, likely via dual mechanisms involving suppression of nuclear factor kappa-B (NF-κB)-mediated inflammation and promotion of angiogenesis. This formulation strategy provides a promising approach for modernizing traditional herbal medicines. Full article
(This article belongs to the Section Pharmaceutical Technology)
Show Figures

Figure 1

12 pages, 13022 KB  
Article
Ti-Al-V/Zn-Al-Cu Composite Materials Prepared by Zinc Melt Infiltration Technology
by Veronika Balejová, Alena Michalcová, Martina Bašistová, Petr Lichý and Dalibor Vojtěch
Materials 2025, 18(20), 4690; https://doi.org/10.3390/ma18204690 - 13 Oct 2025
Viewed by 617
Abstract
This work deals with the preparation and characterization of TiAlV/ZnAlCu composite materials. The aim is to create a model for biomaterial with good biocompatibility and acceptable mechanical properties. Infiltrating zinc into the reinforcement made of the titanium alloy could significantly improve the osseointegration [...] Read more.
This work deals with the preparation and characterization of TiAlV/ZnAlCu composite materials. The aim is to create a model for biomaterial with good biocompatibility and acceptable mechanical properties. Infiltrating zinc into the reinforcement made of the titanium alloy could significantly improve the osseointegration of the bioimplant made from this material. The investigated reinforcements of three different geometries made from Ti-6Al-4V prepared by the SLM method (selective laser melting) were infiltrated with molten zinc or the Zn-based alloy. Two infiltration approaches were used—suction of the melt using a vacuum pump and centrifugal casting. By these procedures, different infiltration rates were achieved. Furthermore, the mechanical properties of the prepared composite materials were characterized by compression tests. The results were compared with the mechanical properties of the Ti-6Al-4V alloy reinforcement. Full article
(This article belongs to the Special Issue Advances in Implant Materials and Biocompatibility)
Show Figures

Figure 1

16 pages, 2819 KB  
Article
High-Strain-Rate Deformation Behavior and Damage Mechanisms of Ti/Al Interpenetrating Phase Composites
by Zhou Li, Zhongli Zhang, Jiahao Tian, Junhao Li, Shiqi Xia, Libo Zhou and Long Yu
Processes 2025, 13(7), 2234; https://doi.org/10.3390/pr13072234 - 12 Jul 2025
Viewed by 1397
Abstract
Interpenetrating phase composites (IPCs) have demonstrated tremendous potential across various fields, particularly those based on triply periodic minimal surface (TPMS) structures, whose uniquely interwoven lattice architectures have attracted widespread attention. However, current research on the dynamic mechanical properties of such IPC remains limited, [...] Read more.
Interpenetrating phase composites (IPCs) have demonstrated tremendous potential across various fields, particularly those based on triply periodic minimal surface (TPMS) structures, whose uniquely interwoven lattice architectures have attracted widespread attention. However, current research on the dynamic mechanical properties of such IPC remains limited, and their impact resistance and damage mechanisms are yet to be thoroughly understood. In this study, a novel design of two volume fractions of IPCs based on the TPMS IWP configuration is developed using Python-based parametric modeling, with the Ti6Al4V alloy TPMS scaffolds fabricated via selective laser melting (SLM) and the AlSi12 reinforcing phase through infiltration casting. The influence of Ti alloy volume fraction and strain rate on the dynamic mechanical behavior of the Ti/Al IPC is systematically investigated using a split Hopkinson pressure bar (SHPB) experimental setup. Microscopic characterization validates the effectiveness and reliability of the proposed IPC fabrication method. Results show that the increasing Ti alloy volume fraction significantly affects the dynamic mechanical properties of the IPC, and IPCs with different Ti alloy volume fractions exhibit contrasting mechanical behaviors under increasing strain rates, attributed to the dominance of different constituent phases. This study enhances the understanding of the dynamic behavior of TPMS-based IPCs and offers a promising route for the development of high-performance energy-absorbing materials. Full article
(This article belongs to the Section Manufacturing Processes and Systems)
Show Figures

Figure 1

34 pages, 8692 KB  
Review
Recent Advances in Polyphenylene Sulfide-Based Separators for Lithium-Ion Batteries
by Lianlu Wan, Haitao Zhou, Haiyun Zhou, Jie Gu, Chen Wang, Quan Liao, Hongquan Gao, Jianchun Wu and Xiangdong Huo
Polymers 2025, 17(9), 1237; https://doi.org/10.3390/polym17091237 - 30 Apr 2025
Cited by 2 | Viewed by 2471
Abstract
Polyphenylene sulfide (PPS)-based separators have garnered significant attention as high-performance components for next-generation lithium-ion batteries (LIBs), driven by their exceptional thermal stability (>260 °C), chemical inertness, and mechanical durability. This review comprehensively examines advances in PPS separator design, focusing on two structurally distinct [...] Read more.
Polyphenylene sulfide (PPS)-based separators have garnered significant attention as high-performance components for next-generation lithium-ion batteries (LIBs), driven by their exceptional thermal stability (>260 °C), chemical inertness, and mechanical durability. This review comprehensively examines advances in PPS separator design, focusing on two structurally distinct categories: porous separators engineered via wet-chemical methods (e.g., melt-blown spinning, electrospinning, thermally induced phase separation) and nonporous solid-state separators fabricated through solvent-free dry-film processes. Porous variants, typified by submicron pore architectures (<1 μm), enable electrolyte-mediated ion transport with ionic conductivities up to >1 mS·cm−1 at >55% porosity, while their nonporous counterparts leverage crystalline sulfur-atom alignment and trace electrolyte infiltration to establish solid–liquid biphasic conduction pathways, achieving ion transference numbers >0.8 and homogenized lithium flux. Dry-processed solid-state PPS separators demonstrate unparalleled thermal dimensional stability (<2% shrinkage at 280 °C) and mitigate dendrite propagation through uniform electric field distribution, as evidenced by COMSOL simulations showing stable Li deposition under Cu particle contamination. Despite these advancements, challenges persist in reconciling thickness constraints (<25 μm) with mechanical robustness, scaling solvent-free manufacturing, and reducing costs. Innovations in ultra-thin formats (<20 μm) with self-healing polymer networks, coupled with compatibility extensions to sodium/zinc-ion systems, are identified as critical pathways for advancing PPS separators. By addressing these challenges, PPS-based architectures hold transformative potential for enabling high-energy-density (>500 Wh·kg−1), intrinsically safe energy storage systems, particularly in applications demanding extreme operational reliability such as electric vehicles and grid-scale storage. Full article
(This article belongs to the Section Polymer Applications)
Show Figures

Figure 1

18 pages, 8412 KB  
Article
Geophysics and Geochemistry Reveal the Formation Mechanism of the Kahui Geothermal Field in Western Sichuan, China
by Zhilong Liu, Gaofeng Ye, Huan Wang, Hao Dong, Bowen Xu and Huailiang Zhu
Minerals 2025, 15(4), 339; https://doi.org/10.3390/min15040339 - 25 Mar 2025
Viewed by 803
Abstract
This study investigated the formation mechanism of the Kahui Geothermal Field in Western Sichuan, China, using geophysical and geochemical approaches to elucidate its geological structure and geothermal origins. This study employed a combination of 2D and 3D inversion techniques involved in natural electromagnetic [...] Read more.
This study investigated the formation mechanism of the Kahui Geothermal Field in Western Sichuan, China, using geophysical and geochemical approaches to elucidate its geological structure and geothermal origins. This study employed a combination of 2D and 3D inversion techniques involved in natural electromagnetic methods (magnetotelluric, MT, and audio magnetotelluric, AMT) along with the analysis of hydrogeochemical samples to achieve a comprehensive understanding of the geothermal system. Geophysical inversion revealed a three-layer resistivity structure within the upper 2.5 km of the study area. A geological interpretation was conducted on the resistivity structure model, identifying two faults, the Litang Fault and the Kahui Fault. The analysis suggested that the shallow part of the Kahui Geothermal Field is controlled by the Kahui Fault. Hydrochemical analysis showed that the water chemistry of the Kahui Geothermal Field is of the HCO3−Na type, primarily sourced from atmospheric precipitation. The deep heat source of the Kahui Geothermal Field was attributed to the partial melting of the middle crust, driven by the upwelling of mantle fluids. This process provides the necessary thermal energy for the geothermal system. Atmospheric precipitation infiltrates through tectonic fractures, undergoes deep circulation and heating, and interacts with the host rocks. The heated fluids then rise along faults and mix with shallow cold water, ultimately emerging as hot springs. Full article
Show Figures

Figure 1

16 pages, 12450 KB  
Article
Investigation and Evaluation of Geothermal Resources in Northern Shanxi Province, China
by Zhongxu Lu, Yang Yang, Yajun Mo, Haizhi Liao and Youlian Cai
Energies 2025, 18(6), 1494; https://doi.org/10.3390/en18061494 - 18 Mar 2025
Viewed by 823
Abstract
In this study, survey methods including seismic techniques and controlled-source audio-frequency magnetotelluric, drilling, and pumping tests were employed to investigate the geothermal systems and their formation mechanisms in northern Shanxi Province, China. The following characteristics were observed: (1) Geothermal resources in northern Shanxi [...] Read more.
In this study, survey methods including seismic techniques and controlled-source audio-frequency magnetotelluric, drilling, and pumping tests were employed to investigate the geothermal systems and their formation mechanisms in northern Shanxi Province, China. The following characteristics were observed: (1) Geothermal resources in northern Shanxi Province are primarily located in Archean metamorphic rocks and fracture zone aquifer groups. The direct heat source is likely uncooled magma chambers in the middle-upper crust, whereas the overlying layers consist of Quaternary, Neogene, and Paleogene deposits. (2) The high-temperature geothermal system is of the convective-conductive type: atmospheric precipitation and surface water infiltrate pore spaces and fault fractures to reach thermal storage, where they are heated. Hot water then rises along the fracture channels and emerges as shallow hot springs, and ongoing extensional tectonic activity has caused asthenospheric upwelling. The partial melting of the upper mantle forms basic basaltic magma, which ascends to the middle-upper crust and forms multiple magma chambers. Their heat is transferred to the shallow subsurface, causing geothermal anomalies. (3) Borehole YG-1 findings revealed that these geothermal resources are primarily static reserves. Our findings provide a foundation for further geothermal development in the region, including the strategic deployment of wells to improve geothermal energy extraction. Full article
Show Figures

Figure 1

11 pages, 3722 KB  
Article
The Effect of Infiltration Temperature on the Microstructure and Magnetic Levitation Force of Single-Domain YBa2Cu3O7-x Bulk Superconductors Grown by a Modified Y+011 IG Method
by Nuerseman Maimaiti, Abulizi Abulaiti and Wanmin Yang
Nanomaterials 2025, 15(1), 21; https://doi.org/10.3390/nano15010021 - 27 Dec 2024
Cited by 1 | Viewed by 849
Abstract
During the preparation of single-domain (S-D) REBa2Cu3O7-x (RE-123) superconducting bulks, the seed crystals can serve as templates for crystal growth, guiding the newly formed crystals to grow in a specific direction, thereby ensuring the consistency of the crystal [...] Read more.
During the preparation of single-domain (S-D) REBa2Cu3O7-x (RE-123) superconducting bulks, the seed crystals can serve as templates for crystal growth, guiding the newly formed crystals to grow in a specific direction, thereby ensuring the consistency of the crystal orientation within the sample. However, the infiltration temperature is typically restricted to approximately 1050 °C when employing NdBa2Cu3O7-x (Nd-123) crystal seeds in the traditional top-seeded infiltration growth (TSIG) technique for producing single-domain Y-123 bulk superconductors. In the present study, to overcome the temperature limitations of the heat treatment process, the optimized Y2O3 +011 IG (011 refers to BaCuO2 powder) method was employed to fabricate a group of single-domain Y-123 bulks with a high-temperature infiltration (1000–1300 °C). The reason for the differences in the superconducting properties between the different samples was analyzed by studying the relationship between the microstructure of the infiltrated pellet and the final Y-123 sample. The research findings were as follows: (1) when the infiltration temperature exceeded 1150 °C, the successful preparation of single-domain YBa2Cu3O7-x (Y-123) bulks became unattainable due to the coarsening or melting decomposition of the Y2BaCuO5 (Y-211) phase according to the SEM–EDS analysis; (2) the content of the Y-211 phase within the Y-123 matrix was approximately 40.8%, 37.2%, 32.7%, 30.5%, and 46.4% for the different final samples; (3) with an increasing infiltration temperature, the magnetic levitation forces exhibited an initial increase followed by a subsequent decline. The maximum levitation force of 47.1 N at 77 K was reached in the sample S3 infiltrated at 1100 °C. Full article
(This article belongs to the Section Physical Chemistry at Nanoscale)
Show Figures

Figure 1

21 pages, 7659 KB  
Article
Hydrogeochemical Characteristics and Genesis of Hot Springs in Da Qaidam Area, Northern Qaidam Margin of the Qaidam Basin
by Jiayi Zhao, Lingxia Liu, Yaru Wang, Bingyan Li, Wenjing Lin and Haihui Yao
Water 2024, 16(23), 3509; https://doi.org/10.3390/w16233509 - 6 Dec 2024
Cited by 2 | Viewed by 1497
Abstract
Hydrogeochemical research on fluids is an effective method to understand the formation mechanism, occurrence environment, and circulation process of groundwater. The groundwater sampling sites are located in the town of Dachaidan on the northeastern edge of the Tibetan Plateau, which was selected as [...] Read more.
Hydrogeochemical research on fluids is an effective method to understand the formation mechanism, occurrence environment, and circulation process of groundwater. The groundwater sampling sites are located in the town of Dachaidan on the northeastern edge of the Tibetan Plateau, which was selected as the study object. Samples were collected from hot and cold springs and surface water in the area. This study is based on the analysis of water chemistry and isotopes, and aims (1) to discuss the chemical characteristics of groundwater in Da Qaidam, (2) to estimate the deep reservoir temperatures, recharge elevation and circulation depth of geothermal waters, and (3) to figure out the heat source beneath the geothermal area and its genetic mechanism. The result showed the following: The hydrochemical type of the hot spring is Cl·SO4-Na and Cl-Na, and the hydrochemical type of cold spring is SO4·HCO3-Na·Ca and Cl·HCO3·SO4-Ca·Na. The main source of groundwater recharge is snow and ice melt water. The recharge elevation ranges from 4666.8 m to 5755.9 m. The geothermal reservoir temperature is about 119.15–126.6 °C. Ice and snow melt water infiltrate into the high mountainous areas on the north side of Da Qaidam and circulate underground through the developed deep and large fractures. Part of the groundwater migrates upwards under the water conduction of the Da Qaidam fault fracture zone to form cold springs, while another part is heated by deep circulation and exposed to the surface in the form of medium to low temperature tectonic hot springs. The research results can provide a scientific basis for geothermal resource exploitation and utilization in Qinghai Province. Full article
(This article belongs to the Special Issue Groundwater Quality and Contamination at Regional Scales)
Show Figures

Figure 1

14 pages, 6572 KB  
Article
The Effect of the Pre-Infiltration Temperature on the Liquid-Phase Infiltration Characteristics and the Magnetic Properties of Single-Domain GdBCO Bulk Superconductors
by Tingting Wu, Wanmin Yang and Li Chen
Crystals 2024, 14(10), 842; https://doi.org/10.3390/cryst14100842 - 27 Sep 2024
Cited by 2 | Viewed by 1019
Abstract
In this study, the effect of the pre-infiltration temperature (Ti) on the liquid-phase infiltration characteristics and its effect on the magnetic properties of single-domain GdBCO bulks prepared by the top-seeded infiltration growth (TSIG) method are comprehensively investigated. The results reveal that [...] Read more.
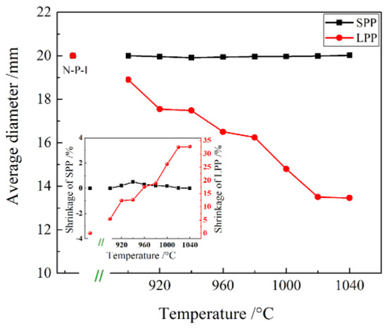
In this study, the effect of the pre-infiltration temperature (Ti) on the liquid-phase infiltration characteristics and its effect on the magnetic properties of single-domain GdBCO bulks prepared by the top-seeded infiltration growth (TSIG) method are comprehensively investigated. The results reveal that (1) the liquid Ba-Cu-O phase (LP) did not uniformly infiltrate into the Gd2BaCuO5 (Gd-211) solid-phase pellet (SPP). (2) The initial melting and infiltration of the LP occurred at approximately 920 °C. The average infiltration depth and amount of LP that infiltrated the SPP increased with increasing Ti accompanied by the shrinkage and depletion of the LP pellet. (3) The LP penetrated up to the top surface of the SPP and uniformly infiltrated throughout the SPP when the Ti was approximately 960 °C and 1020 °C, respectively. (4) The mean Gd-211 particle size of the pre-infiltrated SPP increased from 1.94 µm at 920 °C to 2.52 µm at 1040 °C as the Ti rose. (5) The magnetic properties and microstructure of the single-domain GdBCO bulks were significantly influenced by the microstructure of the pre-infiltrated SPP. The largest levitation force of 35.64 N and trapped field of 0.23 T were obtained in the single-domain GdBCO bulks at an infiltration Ti of 960 °C. Full article
(This article belongs to the Section Inorganic Crystalline Materials)
Show Figures

Figure 1

18 pages, 22467 KB  
Article
Microstructural Evolution and Mechanical Behaviors of Cf/Cm-SiC-(ZrxHf1−x)C Composites with Different Carbon Matrices
by Zaidong Liu, Yalei Wang, Xiang Xiong, Hongbo Zhang, Zhiyong Ye, Quanyuan Long, Jinming Wang, Tongqi Li and Congcong Liu
J. Compos. Sci. 2024, 8(8), 303; https://doi.org/10.3390/jcs8080303 - 5 Aug 2024
Cited by 1 | Viewed by 1503
Abstract
In this study, two types of porous Cf/Cm composites were obtained by introducing pyrolytic carbon (PyC) and pyrolytic carbon/furan resin carbon (PyC/FRC). Subsequently, Cf/Cm-SiC-(ZrxHf1−x)C composites with different carbon matrices were prepared by [...] Read more.
In this study, two types of porous Cf/Cm composites were obtained by introducing pyrolytic carbon (PyC) and pyrolytic carbon/furan resin carbon (PyC/FRC). Subsequently, Cf/Cm-SiC-(ZrxHf1−x)C composites with different carbon matrices were prepared by introducing SiC and (ZrxHf1−x)C matrices into the porous Cf/Cm composites via the reactive melt infiltration method, specifically termed as Cf/PyC-SiC-(ZrxHf1−x)C and Cf/PyC/FRC-SiC-(ZrxHf1−x)C composites. The microstructures of the porous Cf/Cm and Cf/Cm-SiC-(ZrxHf1−x)C composites with different carbon matrices were examined, and a comprehensive analysis was conducted on microstructural evolution and mechanical behaviors of the Cf/Cm-SiC-(ZrxHf1−x)C composites. The results indicate that both Cf/Cm-SiC-(ZrxHf1−x)C composites underwent similar microstructural evolution processes, differing only in terms of evolution kinetics and final microstructure. Differences in the pore structures of porous Cf/Cm composites, as well as in the reactivities of carbon matrices, were identified as primary influencing factors. Additionally, both Cf/Cm-SiC-(ZrxHf1−x)C composites exhibited “pseudo-ductile” fracture characteristics, with flexural strengths of 214.1 ± 8.8 MPa and 149.6 ± 12.2 MPa, respectively. In the Cf/PyC-SiC-(ZrxHf1−x)C composite, crack initiation during loading primarily originated from the ceramic matrix, while in the Cf/PyC/FRC-SiC-(ZrxHf1−x)C composite, failure initially arose from the residual FRC matrix. Excessive fiber corrosion and the presence of residual low-modulus FRC matrix resulted in lower mechanical performance. Full article
(This article belongs to the Special Issue Advanced in Ceramic Matrix Composites)
Show Figures

Graphical abstract

11 pages, 724 KB  
Perspective
Three Fundamental Challenges to the Advancement of Stemflow Research and Its Integration into Natural Science
by John T. Van Stan and Juan Pinos
Water 2024, 16(1), 117; https://doi.org/10.3390/w16010117 - 28 Dec 2023
Cited by 6 | Viewed by 2521
Abstract
Plant canopies divert a portion of precipitation to the base of their stems through “stemflow”, a phenomenon that influences the canopy water balance, soil microbial ecology, and intrasystem nutrient cycling. However, a comprehensive integration of stemflow into theoretical and numerical models in natural [...] Read more.
Plant canopies divert a portion of precipitation to the base of their stems through “stemflow”, a phenomenon that influences the canopy water balance, soil microbial ecology, and intrasystem nutrient cycling. However, a comprehensive integration of stemflow into theoretical and numerical models in natural science remains limited. This perspective examines three unresolved, fundamental questions hindering this integration, spanning the canopy to the soil. First, the precise source area within the canopy that generates stemflow is undefined. Thus, we asked, “whence stemflow?” Current common assumptions equate it to the entire tree canopy, a potentially misleading simplification that could affect our interpretation of stemflow variability. Second, we asked what are the various conditions contributing to stemflow generation—beyond rain, to dew and intercepted ice melt—and could the exclusion of these volumes consequently obscure an understanding of the broader implications of stemflow? Third, we explored ”whither stemflow?” This question extends beyond how much stemflow infiltrates where, into what uptakes it and from where. Addressing these questions is constrained by current observational and analytical methods. Nevertheless, by confronting these challenges, the stemflow research community stands to make significant strides in comprehending this unique hydrological component and situating it within the broader context of natural science. Full article
(This article belongs to the Special Issue Advances in Rainfall Interception Process)
Show Figures

Figure 1

12 pages, 2979 KB  
Article
Efficient Synthesis of Nickel-Molybdenum/USY-Zeolite Catalyst for Eliminating Impurities (N, S, and Cl) in the Waste Plastic Pyrolysis Oil: Dispersion Effect of Active Sites by Surfactant-Assisted Melt-Infiltration
by Eui Hyun Cho, Ki-Duk Kim, Byung Sun Yoon, Eunkyung Cho, Yeon Jeong Yu, Tuan Ngoc Phan, Sang-Goo Jeon and Chang Hyun Ko
Catalysts 2023, 13(12), 1476; https://doi.org/10.3390/catal13121476 - 28 Nov 2023
Cited by 4 | Viewed by 2967
Abstract
The upgrading of waste plastic pyrolysis oil (WPPO) through hydrotreating (HDT) is crucial for transforming plastic waste into chemical feedstock. The catalytic role of HDT is of paramount importance for this conversion procedure. In this study, bimetallic catalysts based on Ni and Mo [...] Read more.
The upgrading of waste plastic pyrolysis oil (WPPO) through hydrotreating (HDT) is crucial for transforming plastic waste into chemical feedstock. The catalytic role of HDT is of paramount importance for this conversion procedure. In this study, bimetallic catalysts based on Ni and Mo were prepared using the surfactant-assisted melt-infiltration (SAMI) method, completely omitting the use of liquid solutions. Thorough analysis via X-ray diffraction, transmission electron microscopy, and hydrogen temperature-programmed reduction confirmed that the addition of Span60 surfactant effectively prevented the aggregation of Ni and Mo components, reduced the size of metal particles, and improved the dispersion of active sites on the zeolite supports. Consequently, NiMo-based catalysts incorporating Span60, synthesized using the SAMI method, exhibited a superior catalytic performance in the removal of nitrogen, sulfur, and chloride impurities from WPPO during HDT compared to those without surfactant. Specifically, the catalyst prepared with Span60 exhibited 15% higher nitrogen conversion compared to the catalyst prepared without Span60. Full article
(This article belongs to the Special Issue State-of-the-Art of Catalytical Technology in Korea)
Show Figures

Graphical abstract

7 pages, 1368 KB  
Case Report
Whole Corneal Descemetocele
by Mao Kusano, Yasser Helmy Mohamed, Masafumi Uematsu, Daisuke Inoue, Kohei Harada, Diya Tang and Takashi Kitaoka
Medicina 2023, 59(10), 1780; https://doi.org/10.3390/medicina59101780 - 6 Oct 2023
Cited by 2 | Viewed by 2983
Abstract
Background and Objectives: To report a case of microbial keratitis complicated by severe corneal melting and whole corneal descemetocele. Methods: A 72-year-old male farmer presented with a right corneal ulcer involving nearly the entire cornea, which was almost completely melted down [...] Read more.
Background and Objectives: To report a case of microbial keratitis complicated by severe corneal melting and whole corneal descemetocele. Methods: A 72-year-old male farmer presented with a right corneal ulcer involving nearly the entire cornea, which was almost completely melted down with the remaining Descemet’s membrane (DM). The pupil area was filled with melted necrotic material, with the intraocular lens partially protruding from the pupil and indenting the DM. Corneal optical coherence tomography (OCT) examination revealed a corneal thickness of 37 µm that was attached to its back surface, with the iris and a part of the intraocular lens (IOL) protruding through the pupil. The patient was hospitalized and treated with local and systemic antibiotics until control of the inflammation was achieved. Corneoscleral transplantation plus excision/transplantation of the corneal limbus were performed, and the entire corneal limbus was lamellarly incised. After completely suturing all around the transplanted corneoscleral graft, the anterior chamber was formed. Postoperative treatment included local antibiotics, anti-inflammatory drugs, and cycloplegic drops. Results: There was no recurrence of infection, and the corneal epithelium gradually regenerated and covered the whole graft. Visual acuity was light perception at 6 months after the surgery. The patient was satisfied that the globe was preserved and did not wish to undergo any further treatment. Conclusions: Corneoscleral transplantation is preferred for the treatment of large-sized descemetoceles with active microbial keratitis and extensive infiltrates, especially in cases where the whole cornea has transformed into a large cyst. Full article
(This article belongs to the Section Ophthalmology)
Show Figures

Figure 1

13 pages, 3918 KB  
Article
Three-Dimensional Macroporous rGO-Aerogel-Based Composite Phase-Change Materials with High Thermal Storage Capacity and Enhanced Thermal Conductivity
by Zhang Tao, Wei He, Xiaoliang Xu, Jianzhong Fan, Zhifeng Zhang, Ziyue Yang, Yanqiang Liu, Heng Ma, Miao Qian and Mu Yang
Materials 2023, 16(13), 4878; https://doi.org/10.3390/ma16134878 - 7 Jul 2023
Cited by 9 | Viewed by 2406
Abstract
Three-dimensional porous network encapsulation strategy is an effective means to obtain composite phase-change materials (PCMs) with high heat storage capacity and enhanced thermal conductivity. Herein, macroporous reduced graphene oxide (rGO) aerogels with adjustable pore size are prepared by the emulsion template method and [...] Read more.
Three-dimensional porous network encapsulation strategy is an effective means to obtain composite phase-change materials (PCMs) with high heat storage capacity and enhanced thermal conductivity. Herein, macroporous reduced graphene oxide (rGO) aerogels with adjustable pore size are prepared by the emulsion template method and hydrothermal reduction process. Further, the shape-stabilized rGO-aerogel-based composite PCMs are constructed after the combination of 3D porous rGO supports and paraffin wax (PW) through vacuum melting infiltration. By regulating the pore structure of the rGO aerogel network, the rGO-based composite PCMs achieve excellent energy storage properties with a phase-change enthalpy of 179.94 J/g for the loading amount of 95.61 wt% and an obvious enhancement in thermal conductivity of 0.412 W/m−1·K−1, which is 54.89% higher than pristine PW and enduring thermal cycling stability. The obtained macroporous rGO-aerogel-based composite PCMs with high thermal storage and heat transfer performance effectively broaden the application of PCMs in the field of thermal energy storage. Full article
(This article belongs to the Special Issue Advanced Materials and Technologies for Thermal Energy Storage)
Show Figures

Figure 1

15 pages, 5140 KB  
Article
Hardness Measurements and Interface Behavior of SiC-B4C-Si Multiple Phase Particulate Composites Made with Melt Infiltration and Additive Manufacturing
by Corson L. Cramer, Ercan Cakmak and Kinga A. Unocic
J. Compos. Sci. 2023, 7(4), 172; https://doi.org/10.3390/jcs7040172 - 20 Apr 2023
Cited by 7 | Viewed by 3310
Abstract
Reaction-bonded SiC-B4C-Si ceramic composites were binder jet 3D-printed and subsequently pressureless-melt-infiltrated with molten Si. The addition of B4C aided the Si infiltration to produce a highly dense composite. The microstructures and phases of these composites were examined. The measured [...] Read more.
Reaction-bonded SiC-B4C-Si ceramic composites were binder jet 3D-printed and subsequently pressureless-melt-infiltrated with molten Si. The addition of B4C aided the Si infiltration to produce a highly dense composite. The microstructures and phases of these composites were examined. The measured hardness values of each constituent with Vickers and nanoindentation matched the bulk values, and the macro-hardness values with Knoop and spherical indentation represented the bulk, composite hardness values of all three phases together, which was close to a rule of mixtures value. For particulate-based composites, this is a significant finding. The interfacial bonds of SiC and Si were imaged using scanning transmission electron microscopy to view intimacy, whereas the crack propagation was examined with carefully placed indents. This work demonstrated that pressureless melt infiltration with a reactive particle provides a method to shape non-wetting reaction-bonded ceramic composites with limited shrinkage and high density and provides insights into the mechanical behavior with numerous indentation techniques. Full article
(This article belongs to the Topic Progress in Si-Based Ceramic and Composites)
Show Figures

Graphical abstract

Back to TopTop