Sign in to use this feature.

Years

Between: -

Subjects

remove_circle_outline
remove_circle_outline
remove_circle_outline
remove_circle_outline
remove_circle_outline
remove_circle_outline
remove_circle_outline
remove_circle_outline
remove_circle_outline

Journals

Article Types

Countries / Regions

Search Results (42)

Search Parameters:
Keywords = marine calcifiers

Order results
Result details
Results per page
Select all
Export citation of selected articles as:
81 pages, 13223 KB  
Review
Human Versus Natural Influences on Climate and Biodiversity: The Carbon Dioxide Connection
by W. Jackson Davis
Sci 2025, 7(4), 152; https://doi.org/10.3390/sci7040152 - 1 Nov 2025
Viewed by 921
Abstract
Human-sourced emissions of carbon dioxide (CO2) into the Earth’s atmosphere have been implicated in contemporary global warming, based mainly on computer modeling. Growing empirical evidence reviewed here supports the alternative hypothesis that global climate change is governed primarily by a natural [...] Read more.
Human-sourced emissions of carbon dioxide (CO2) into the Earth’s atmosphere have been implicated in contemporary global warming, based mainly on computer modeling. Growing empirical evidence reviewed here supports the alternative hypothesis that global climate change is governed primarily by a natural climate cycle, the Antarctic Oscillation. This powerful pressure-wind-temperature cycle is energized in the Southern Ocean and teleconnects worldwide to cause global multidecadal warm periods like the present, each followed historically by a multidecadal cold period, which now appears imminent. The Antarctic Oscillation is modulated on a thousand-year schedule to create longer climate cycles, including the Medieval Warm Period and Little Ice Age, which are coupled with the rise and fall, respectively, of human civilizations. Future projection of these ancient climate rhythms enables long-term empirical climate forecasting. Although human-sourced CO2 emissions play little role in climate change, they pose an existential threat to global biodiversity. Past mass extinctions were caused by natural CO2 surges that acidified the ocean, killed oxygen-producing plankton, and induced global suffocation. Current human-sourced CO2 emissions are comparable in volume but hundreds of thousands of times faster. Diverse evidence suggests that the consequent ocean acidification is destroying contemporary marine phytoplankton, corals, and calcifying algae. The resulting global oxygen deprivation could smother higher life forms, including people, by 2100 unless net human-induced CO2 emissions into the atmosphere are ended urgently. Full article
Show Figures

Figure 1

22 pages, 5342 KB  
Article
Bridging Archaeology and Marine Ecology: Coral Archives of Hellenistic Coastal Change
by Tali Mass, Jeana Drake, Stephane Martinez, Jarosław Stolarski and Jacob Sharvit
Sustainability 2025, 17(19), 8893; https://doi.org/10.3390/su17198893 - 7 Oct 2025
Viewed by 667
Abstract
Stony corals are long-lived, calcifying cnidarians that can be preserved within archaeological strata, offering insights into past seawater conditions, anthropogenic influences, and harbor dynamics. This study analyzes sub-fossil Cladocora sp. colonies from ancient Akko, Israel, dated to the Hellenistic period (~335–94 BCE), alongside [...] Read more.
Stony corals are long-lived, calcifying cnidarians that can be preserved within archaeological strata, offering insights into past seawater conditions, anthropogenic influences, and harbor dynamics. This study analyzes sub-fossil Cladocora sp. colonies from ancient Akko, Israel, dated to the Hellenistic period (~335–94 BCE), alongside modern Cladocora caespitosa from Haifa Bay, Israel. We employed micromorphology, stable isotope analysis, and DNA sequencing to assess species identity, colony growth form, and environmental conditions experienced by the corals. Comparisons suggest that Hellenistic Akko corals grew in high-light, cooler-water, high-energy environments, potentially with exposure to terrestrial waste. The exceptional preservation of these colonies indicates rapid burial, possibly linked to ancient harbor activities or extreme sedimentation. Our results demonstrate the utility of scleractinian corals as valuable paleoenvironmental archives, capable of integrating both biological and geochemical proxies to reconstruct past marine conditions. By linking archaeological and ecological records, this multidisciplinary approach provides a comprehensive understanding of historical coastal dynamics, including ancient harbor use, climate variability, and anthropogenic impacts. Full article
Show Figures

Figure 1

17 pages, 5451 KB  
Article
Comparative Morphology of Skeletal Development in Homo sapiens and Raja asterias: Divergent Stiffening Patterns Due to Different Matrix Calcification Processes
by Ugo E. Pazzaglia, Piero A. Zecca, Genciana Terova, Fabrizio Serena, Cecilia Mancusi, Giovanni Raimondi, Guido Zarattini, Mario Raspanti and Marcella Reguzzoni
Animals 2024, 14(17), 2575; https://doi.org/10.3390/ani14172575 - 4 Sep 2024
Viewed by 1407
Abstract
Before calcification begins, the early embryonic and fetal skeletal development of both mammalian Homo sapiens and the chondrichthyan fish Raja asterias consists exclusively of cartilage. This cartilage is formed and shaped through processes involving tissue segmentation and the frequency, distribution, and orientation of [...] Read more.
Before calcification begins, the early embryonic and fetal skeletal development of both mammalian Homo sapiens and the chondrichthyan fish Raja asterias consists exclusively of cartilage. This cartilage is formed and shaped through processes involving tissue segmentation and the frequency, distribution, and orientation of chondrocyte mitoses. In the subsequent developmental phase, mineral deposition in the cartilage matrix conditions the development further. The stiffness and structural layout of the mineralized cartilage have a significant impact on the shape of the anlagen (early formative structure of a tissue, a scaffold on which the new bone is formed) and the mechanical properties of the skeletal segments. The fundamental difference between the two studied species lies in how calcified cartilage serves as a scaffold for osteoblasts to deposit bone matrix, which is then remodeled. In contrast, chondrichthyans retain the calcified cartilage as the definitive skeletal structure. This study documents the distinct mineral deposition pattern in the cartilage of the chondrichthyan R. asterias, in which calcification progresses with the formation of focal calcification nuclei or “tesserae”. These are arranged on the flat surface of the endo-skeleton (crustal pattern) or aligned in columns (catenated pattern) in the radials of the appendicular skeleton. This anatomical structure is well adapted to meet the mechanical requirements of locomotion in the water column. Conversely, in terrestrial mammals, endochondral ossification (associated with the remodeling of the calcified matrix) provides limb bones with the necessary stiffness to withstand the strong bending and twisting stresses of terrestrial locomotion. In this study, radiographs of marine mammals (reproduced from previously published studies) document how the endochondral ossification in dolphin flippers adapts to the mechanical demands of aquatic locomotion. This adaptation includes the reduction in the length of the stylopodium and zeugopodium and an increase in the number of elements in the autopodium’s central rays. Full article
(This article belongs to the Section Aquatic Animals)
Show Figures

Figure 1

16 pages, 2040 KB  
Article
Acute Hypercapnia at South African Abalone Farms and Its Physiological and Commercial Consequences
by Tanja Novak, Christopher R. Bridges, Matt Naylor, Dawit Yemane and Lutz Auerswald
Fishes 2024, 9(8), 313; https://doi.org/10.3390/fishes9080313 - 8 Aug 2024
Viewed by 1455
Abstract
Abalone Haliotis midae are distributed from the cold, hypercapnic waters of the dynamic Benguela Current Large Marine Ecosystem to the relatively warm, normocapnic waters of the Agulhas Current. The species supports an important fishery as well as a thriving aquaculture industry. Due to [...] Read more.
Abalone Haliotis midae are distributed from the cold, hypercapnic waters of the dynamic Benguela Current Large Marine Ecosystem to the relatively warm, normocapnic waters of the Agulhas Current. The species supports an important fishery as well as a thriving aquaculture industry. Due to the relatively low capacity to regulate their acid–base balance and their need to calcify shell and radula, abalone are especially vulnerable to increasing ocean acidification. Exposure to acidified seawater, i.e., hypercapnia, also occurs during the farming operation and can originate from (a) changes in influent seawater, (b) pH decrease by accumulation of waste products, and (c) intentional hypercapnia for anaesthesia using CO2-saturated seawater for size grading. Currently, these are acute exposures to hypercapnia, but increasing ocean acidification can cause chronic exposure, if not mitigated. Wild South African abalone are already exposed to periodic hypercapnia during ocean upwelling events and will be more so in the future due to progressive ocean acidification. This study investigated the acute pH effects in isolation as an initial step in studying the acute physiological response of H. midae to provide a mechanistic basis for the design of complex multifactorial studies, imitating more closely what occurs on farms and in the natural habitat. The major findings relevant to the above conditions are as follows: 1. Acute exposure to hypercapnia induces a reversible, unbuffered respiratory acidosis. 2. The impact of acute hypercapnia is size-dependent and potentially fatal. 3. Exposure to extreme, short hypercapnia during anaesthesia causes a rapid imbalance in the acid–base state but a rapid subsequent recovery. LC50 for small, medium and large abalone range from pH 6.27 to 6.03, respectively, and sub-lethal levels from pH 6.8 to 6.2. These results can be used by abalone aquaculture farms to mitigate/avoid the impact of acute (and chronic) hypercapnia but also to standardise their anaesthesia method. They are also a proxy to estimate the effects on wild populations. Full article
(This article belongs to the Section Physiology and Biochemistry)
Show Figures

Figure 1

14 pages, 2748 KB  
Article
Understanding Balanophyllia regia Distribution in the Canary Islands: Effects of Environmental Factors and Methodologies for Future Monitoring
by Cataixa López, Fernando Tuya and Sabrina Clemente
Diversity 2024, 16(8), 475; https://doi.org/10.3390/d16080475 - 6 Aug 2024
Cited by 4 | Viewed by 1513
Abstract
The future of marine ecosystems is at risk due to climate change and other human impacts. Specifically, due to ocean warming, some tropical species are expanding their populations while populations of temperate species are in regression, making the establishment of conservation measures imperative [...] Read more.
The future of marine ecosystems is at risk due to climate change and other human impacts. Specifically, due to ocean warming, some tropical species are expanding their populations while populations of temperate species are in regression, making the establishment of conservation measures imperative to maintain local biodiversity. In this study we establish a baseline on the distribution and abundance of the temperate coral Balanophyllia regia from the Canary Islands. We found that the main environmental factors determining B. regia’s distribution and abundance were sea surface temperature and hydrodynamic conditions. Areas under large wave action and colder environments enhanced this warm-temperate species’ development. Since its metabolic performance depends exclusively on the surrounding environment, we also propose a methodology to potentially monitor climate change on coastal habitats through this azooxanthellate calcified coral. Results of a tagging experiment showed that a concentration of 20 mg/mL of calcein during 6 h might be enough to in situ label polyps of B. regia without compromising corallite survival. Long-term monitoring of population abundances and growth rates of B. regia through calcein tagging will allow us to identify alterations in local ecosystems early and focus future conservation investments on the most vulnerable areas with higher ecological and economic value. Full article
(This article belongs to the Topic Technological Innovation to Support Reef Research and Conservation)
(This article belongs to the Section Marine Diversity)
Show Figures

Figure 1

12 pages, 3570 KB  
Article
The Proteome Profile of Halimeda macroloba under Elevated Temperature: A Case Study from Thailand
by Nutwadee Chintakovid, Narumon Phaonakrop, Komwit Surachat, Sinjai Phetcharat, Tarawit Wutiruk, Sittiruk Roytrakul and Jaruwan Mayakun
J. Mar. Sci. Eng. 2024, 12(7), 1073; https://doi.org/10.3390/jmse12071073 - 26 Jun 2024
Cited by 3 | Viewed by 2266
Abstract
An elevated sea temperature is considered a key abiotic stressor causing thermal stress to intertidal macroalgae and influencing their populations. Halimeda macroloba is an important CaCO3 producer that contributes to the carbonate budget in marine ecosystems. The population decline of this intertidal [...] Read more.
An elevated sea temperature is considered a key abiotic stressor causing thermal stress to intertidal macroalgae and influencing their populations. Halimeda macroloba is an important CaCO3 producer that contributes to the carbonate budget in marine ecosystems. The population decline of this intertidal algal species could lead to considerable declines in both regional and global carbonate production. However, the impact of increasing temperature on the molecular mechanisms and protein profile of calcified H. macroloba is unclear and remains to be explored. In this study, H. macroloba was exposed to 30 °C and 35 °C for 7 days. The whole protein was then extracted using 0.5% SDS and digested using trypsin before an analysis using LC-MS. The protein profile of H. macroloba was characterized using the MaxQuant program aligned with the UniProt database. A total of 407 proteins were identified, and 12 proteins were found to be significantly upregulated or downregulated in response to the elevated temperature. Cell division protein, protein kinase domain-containing protein, phospholipid transport protein, and small ribosomal subunit protein were the significant proteins identified in our dataset. The proteins associated with cell division, cellular metabolic processes, localization, oxidoreductase activity, and biosynthetic process pathways were overexpressed with a more than 2-fold change at a high temperature. An interaction map generated using STITCH revealed that the significant protein change altered the other proteins related to abiotic stress, producing energy and inducing calcification. This information could be useful in understanding how H. macroloba responds to an elevated sea temperature. Full article
(This article belongs to the Section Marine Biology)
Show Figures

Figure 1

14 pages, 2202 KB  
Article
Phagocytosis in Marine Coccolithophore Gephyrocapsa huxleyi: Comparison between Calcified and Non-Calcified Strains
by Jiayang Ye, Ying Wang, Qian Li, Sarfraz Hussain, Songze Chen, Xunying Zhou, Shengwei Hou and Yuanyuan Feng
Biology 2024, 13(5), 310; https://doi.org/10.3390/biology13050310 - 30 Apr 2024
Cited by 2 | Viewed by 2697
Abstract
Coccolithophores play a significant role in marine calcium carbonate production and carbon cycles, attributing to their unique feature of producing calcareous plates, coccoliths. Coccolithophores also possess a haplo-diplontic life cycle, presenting distinct morphology types and calcification states. However, differences in nutrient acquisition strategies [...] Read more.
Coccolithophores play a significant role in marine calcium carbonate production and carbon cycles, attributing to their unique feature of producing calcareous plates, coccoliths. Coccolithophores also possess a haplo-diplontic life cycle, presenting distinct morphology types and calcification states. However, differences in nutrient acquisition strategies and mixotrophic behaviors of the two life phases remain unclear. In this study, we conducted a series of phagocytosis experiments of calcified diploid and non-calcified haploid strains of coccolithophore Gephyrocapsa huxleyi under light and dark conditions. The phagocytosis capability of each strain was examined based on characteristic fluorescent signals from ingested beads using flow cytometry and fluorescence microscopy. The results show a significantly higher phagocytosis percentage on fluorescent beads in the bacterial prey surrogates of the non-calcified haploid Gephyrocapsa huxleyi strain, than the calcified diploid strain with or without light. In addition, the non-calcified diploid cells seemingly to presented a much higher phagocytosis percentage in darkness than under light. The differential phagocytosis capacities between the calcified diploid and non-calcified haploid Gephyrocapsa huxleyi strains indicate potential distinct nutritional strategies at different coccolithophore life and calcifying stages, which may further shed light on the potential strategies that coccolithophore possesses in unfavorable environments such as twilight zones and the expanding coccolithophore niches in the natural marine environment under the climate change scenario. Full article
(This article belongs to the Section Marine Biology)
Show Figures

Figure 1

14 pages, 1633 KB  
Article
Effects of pH on Olfactory Behaviours in Male Shore Crabs, Carcinus maenas
by Hannah Ohnstad, Amber Marie Jones, Bethany Howard, Paula Schirrmacher, Helga D. Bartels-Hardege and Jörg Detlef Hardege
Animals 2024, 14(6), 948; https://doi.org/10.3390/ani14060948 - 19 Mar 2024
Cited by 3 | Viewed by 2294
Abstract
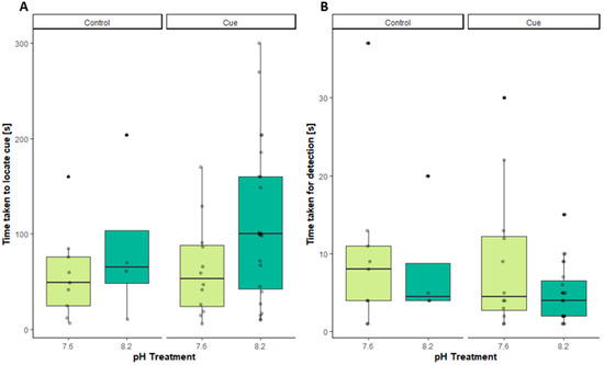
The effects of climate change are becoming more apparent, predominantly concerning the impacts of ocean acidification on calcifying species. Many marine organisms rely on chemical signals for processes such as foraging for food, predator avoidance, or locating mates. The process of how chemical [...] Read more.
The effects of climate change are becoming more apparent, predominantly concerning the impacts of ocean acidification on calcifying species. Many marine organisms rely on chemical signals for processes such as foraging for food, predator avoidance, or locating mates. The process of how chemical cues in marine invertebrates function, and how this sensory mode is affected by pH levels, is less researched. We tested the impact of reduced pH (7.6), simulating end-of-the-century predicted average ocean pH, against current oceanic pH conditions (8.2), on the behavioural response of male shore crabs Carcinus maenas to the female sex pheromone bouquet consisting of Uridine–diphosphate (UDP) and Uridine–triphosphate (UTP). While in current pH conditions (8.2), there was a significant increase in sexual interactions in the presence of female pheromone, males showed reduced sexual behaviours at pH 7.6. The crab weight–pH relationship, in which larger individuals respond more intensely sexually in normal pH (8.2), is reversed for both the initial detection and time to locate the cue. These results indicate that lowered pH alters chemical signalling in C. maenas also outside the peak reproductive season, which may need to be taken into account when considering the future management of this globally invasive species. Full article
(This article belongs to the Section Aquatic Animals)
Show Figures

Figure 1

9 pages, 4113 KB  
Case Report
Adhesive Bowel Obstruction (ABO) in a Stranded Narrow-Ridged Finless Porpoise (Neophocaena asiaeorientalis sunameri)
by Sung Bin Lee, Adams Hei Long Yuen, Young Min Lee, Sang Wha Kim, Sunmin Kim, Cherry Tsz Ching Poon, Won Joon Jung, Sib Sankar Giri, Sang Guen Kim, Su Jin Jo, Jae Hong Park, Mae Hyun Hwang, Jong-pil Seo, Seongjun Choe, Byung Yeop Kim and Se Chang Park
Animals 2023, 13(24), 3767; https://doi.org/10.3390/ani13243767 - 6 Dec 2023
Cited by 2 | Viewed by 2632
Abstract
In this case report, we present a rare occurrence of a narrow-ridged finless porpoise (Neophocaena asiaeorientalis sunameri), discovered on the coast of Jeju Island, Republic of Korea, that was afflicted with adhesive bowel obstruction (ABO), a life-threatening condition that has scarcely [...] Read more.
In this case report, we present a rare occurrence of a narrow-ridged finless porpoise (Neophocaena asiaeorientalis sunameri), discovered on the coast of Jeju Island, Republic of Korea, that was afflicted with adhesive bowel obstruction (ABO), a life-threatening condition that has scarcely been reported in cetaceans. Diagnosis of ABO was confirmed via radiological and clinical assessments. Post-mortem computed tomography and necropsy revealed ABO between two loops of the jejunum at the L8 level. The mesenteric tissue covering the intestinal lesion was severely thickened with increased tension. Both bowel loops were fixed to the mesentery and acutely angulated, leading to asymmetrical thickening of the cross-sectional bowel walls. The intestinal lumen was stenosed because of pressure from the firm mesenteric band, and no fecal matter was observed in the lumen of the posterior bowel or rectum. Calcified nodules were detected, and histological analysis suggested parasitic or suspected post-parasitic infections. The primary cause of the intestinal lesions is presumed to be a reaction related to parasitic infection. However, further investigations would establish a definitive link between parasitic infections and ABO in this species. This case highlights the importance of studying rare medical conditions in wildlife, providing valuable insights into marine mammal health. Full article
(This article belongs to the Special Issue Wildlife Diseases: Pathology and Diagnostic Investigation)
Show Figures

Figure 1

22 pages, 3502 KB  
Article
Response of Foraminifera to Anthropogenic Nicotine Pollution of Cigarette Butts: An Experimental Approach
by Anna Sabbatini, Francesca Caridi, Giovanni Birarda, Elisa Costanzi, Adolfo Amici, Giovanna Mobbili, Carla Buosi, Giovanni De Giudici, Daniela Medas and Alessandra Negri
J. Mar. Sci. Eng. 2023, 11(10), 1951; https://doi.org/10.3390/jmse11101951 - 10 Oct 2023
Cited by 6 | Viewed by 2548
Abstract
The most often dispersed environmental pollutants that are released both directly and indirectly into the environment that may eventually reach aquatic ecosystems and contaminate aquatic biomes are cigarette butts (CBs). Toxicants such as nicotine, dangerous metals, total particulate matter, and recognized carcinogens can [...] Read more.
The most often dispersed environmental pollutants that are released both directly and indirectly into the environment that may eventually reach aquatic ecosystems and contaminate aquatic biomes are cigarette butts (CBs). Toxicants such as nicotine, dangerous metals, total particulate matter, and recognized carcinogens can be introduced and transported via CBs into aquatic ecosystems. The examination of the effects of synthetic nicotine on three different species of cultured benthic foraminifera was the focus of this study. Three foraminiferal species from three distinct biomineralization pathways were specifically examined for viability and cellular ultrastructure, including the calcareous perforate Rosalina globularis, the calcareous imperforate Quinqueloculina spp., and the agglutinated Textularia agglutinans. The survival rate, cellular stress, and decalcification were used to assess the toxicological effects of synthetic nicotine. We were able to analyze the reaction of major macromolecules and calcium carbonate to this pollutant using FTIR (Fourier Transform Infrared) spectroscopy. High Performance Liquid Chromatography (HPLC) study was performed to increase our understanding of nicotine bioavailability in the medium culture. Different acute experiments were performed at different dates, and all indicated that synthetic nicotine is acutely hazardous to all three cultured foraminiferal taxa at lethal and sublethal concentrations. Each species responded differently depending on the type of shell biomineralization. Synthetic nicotine enhances shell decalcification and affects the composition of cytoplasmic macromolecules such as lipids and proteins, according to the FTIR spectroscopy investigations. The lipid content rose at lethal concentrations, possibly due to the creation of vesicles. The proteins signal evidences general cellular dyshomeostasis. The integration among the acute toxicity assay, synchrotron, and chemical HPLC analyses provided a valuable approach for the assessment of nicotine as a biomarker of exposure to the toxicants associated with smoking and the impact of this emerging and hazardous material on calcifying marine species. Full article
Show Figures

Figure 1

10 pages, 1629 KB  
Article
Shell Organic Matrix (Conchix) of the Mediterranean Mussel Mytilus galloprovincialis L. as the Medium for Assessment of Trace Metals in the Boka Kotorska Bay
by Rajko Martinović, Danijela Joksimović, Ana Perošević-Bajčeta, Ivana Čabarkapa and Hermann Ehrlich
Appl. Sci. 2023, 13(13), 7582; https://doi.org/10.3390/app13137582 - 27 Jun 2023
Cited by 2 | Viewed by 1843
Abstract
The content of trace metals, namely Zn, Cu, Fe, Mn, Pb, Cd, and Hg, in four types of media, i.e., soft tissues, shells, and the products of shell demineralization (organic matrix—conchix and extract) of the Mediterranean mussel Mytilus galloprovicialis L., at three [...] Read more.
The content of trace metals, namely Zn, Cu, Fe, Mn, Pb, Cd, and Hg, in four types of media, i.e., soft tissues, shells, and the products of shell demineralization (organic matrix—conchix and extract) of the Mediterranean mussel Mytilus galloprovicialis L., at three sites in the Boka Kotorska Bay of the Adriatic Sea were determined. The main aim was to investigate the accumulation patterns of trace metals in conchix and their possible relationship with other tested media. Conchix weight within a group of mussels from Sv. Nedjelja was significantly higher in comparison with the IMB, while conchix % in the shell showed a negative correlation with dry shell weight. The highest metal pollution index (MPI) values found in the soft tissues of mussels from Sv. Nedjelja, Cogi, and the IMB were 2.319, 2.711, and 2.929 µg g−1, respectively. PCA analysis showed similarities in trace metal accumulation in all media except conchix. According to CCA analysis, conchixes were grouped around Cu, Fe, and Hg, while Cd and Zn were in correlation with the soft tissues. Moreover, the shells were in correlation with Mn. Simple isolation with high yield, close contact to the environment in comparison with calcified shell layers, and susceptibility to possible pollution sources due to the accumulation of specific metals are the main reasons to consider conchix of M. galloprovincialis as a medium with potential in trace metal assessments of marine ecosystems. Full article
Show Figures

Figure 1

12 pages, 546 KB  
Opinion
Proxy Archives Based on Marine Calcifying Organisms and the Role of Process-Based Biomineralization Concepts
by Gernot Nehrke and Gerald Langer
Minerals 2023, 13(4), 561; https://doi.org/10.3390/min13040561 - 17 Apr 2023
Cited by 3 | Viewed by 2220
Abstract
Proxy archives based on marine calcifying organisms and their element and isotope signatures represent valuable tools in the reconstruction of past climates. Despite the fact that the underlying biomineralization processes behind the measured signatures are poorly understood, these tools work remarkably well. However, [...] Read more.
Proxy archives based on marine calcifying organisms and their element and isotope signatures represent valuable tools in the reconstruction of past climates. Despite the fact that the underlying biomineralization processes behind the measured signatures are poorly understood, these tools work remarkably well. However, even though they work well many researchers felt the need to decipher the “black box” and understand the processes leading to the measured signatures. In this paper we assess how far we have come in understanding the biomineralization processes underpinning proxy signatures derived from marine calcifying organisms and how this understanding improved the way we use these proxy archives today. Biomineralization in the context of proxy research is an interdisciplinary field and cross-discipline communication can be challenging due to a lack of background in foreign disciplines. This often leads to misunderstanding and over- (or under-) estimation of certain concepts/methods/data. We, therefore, present a concise introduction to the topic, clarifying key concepts and their applicability to proxy interpretation. Full article
(This article belongs to the Special Issue Biomineralization of Organisms Used as Environmental Proxy Archives)
Show Figures

Figure 1

19 pages, 1108 KB  
Review
Aquatic Productivity under Multiple Stressors
by Donat-P. Häder and Kunshan Gao
Water 2023, 15(4), 817; https://doi.org/10.3390/w15040817 - 20 Feb 2023
Cited by 9 | Viewed by 8409
Abstract
Aquatic ecosystems are responsible for about 50% of global productivity. They mitigate climate change by taking up a substantial fraction of anthropogenically emitted CO2 and sink part of it into the deep ocean. Productivity is controlled by a number of environmental factors, [...] Read more.
Aquatic ecosystems are responsible for about 50% of global productivity. They mitigate climate change by taking up a substantial fraction of anthropogenically emitted CO2 and sink part of it into the deep ocean. Productivity is controlled by a number of environmental factors, such as water temperature, ocean acidification, nutrient availability, deoxygenation and exposure to solar UV radiation. Recent studies have revealed that these factors may interact to yield additive, synergistic or antagonistic effects. While ocean warming and deoxygenation are supposed to affect mitochondrial respiration oppositely, they can act synergistically to influence the migration of plankton and N2-fixation of diazotrophs. Ocean acidification, along with elevated pCO2, exhibits controversial effects on marine primary producers, resulting in negative impacts under high light and limited availability of nutrients. However, the acidic stress has been shown to exacerbate viral attacks on microalgae and to act synergistically with UV radiation to reduce the calcification of algal calcifiers. Elevated pCO2 in surface oceans is known to downregulate the CCMs (CO2 concentrating mechanisms) of phytoplankton, but deoxygenation is proposed to enhance CCMs by suppressing photorespiration. While most of the studies on climate-change drivers have been carried out under controlled conditions, field observations over long periods of time have been scarce. Mechanistic responses of phytoplankton to multiple drivers have been little documented due to the logistic difficulties to manipulate numerous replications for different treatments representative of the drivers. Nevertheless, future studies are expected to explore responses and involved mechanisms to multiple drivers in different regions, considering that regional chemical and physical environmental forcings modulate the effects of ocean global climate changes. Full article
(This article belongs to the Special Issue The Relationship between Phytoplankton Ecology and Marine Pollution)
Show Figures

Figure 1

17 pages, 3257 KB  
Article
RNAi Silencing of the Biomineralization Gene Perlucin Impairs Oyster Ability to Cope with Ocean Acidification
by Caroline Schwaner, Emmanuelle Pales Espinosa and Bassem Allam
Int. J. Mol. Sci. 2023, 24(4), 3661; https://doi.org/10.3390/ijms24043661 - 11 Feb 2023
Cited by 6 | Viewed by 3062
Abstract
Calcifying marine organisms, including the eastern oyster (Crassostrea virginica), are vulnerable to ocean acidification (OA) because it is more difficult to precipitate calcium carbonate (CaCO3). Previous investigations of the molecular mechanisms associated with resilience to OA in C. virginica [...] Read more.
Calcifying marine organisms, including the eastern oyster (Crassostrea virginica), are vulnerable to ocean acidification (OA) because it is more difficult to precipitate calcium carbonate (CaCO3). Previous investigations of the molecular mechanisms associated with resilience to OA in C. virginica demonstrated significant differences in single nucleotide polymorphism and gene expression profiles among oysters reared under ambient and OA conditions. Converged evidence generated by both of these approaches highlighted the role of genes related to biomineralization, including perlucins. Here, gene silencing via RNA interference (RNAi) was used to evaluate the protective role of a perlucin gene under OA stress. Larvae were exposed to short dicer-substrate small interfering RNA (DsiRNA-perlucin) to silence the target gene or to one of two control treatments (control DsiRNA or seawater) before cultivation under OA (pH ~7.3) or ambient (pH ~8.2) conditions. Two transfection experiments were performed in parallel, one during fertilization and one during early larval development (6 h post-fertilization), before larval viability, size, development, and shell mineralization were monitored. Silenced oysters under acidification stress were the smallest, had shell abnormalities, and had significantly reduced shell mineralization, thereby suggesting that perlucin significantly helps larvae mitigate the effects of OA. Full article
(This article belongs to the Special Issue Organic, Inorganic and Natural Molecules in Biomineralization)
Show Figures

Figure 1

18 pages, 7183 KB  
Article
Structure and Composition of the Cuticle of the Goose Barnacle Pollicipes pollicipes: A Flexible Composite Biomaterial
by Mariana Almeida, Emanuel M. Fernandes, Catarina F. Marques, Flávia C. M. Lobo, Rita O. Sousa, Rui L. Reis and Tiago H. Silva
Mar. Drugs 2023, 21(2), 96; https://doi.org/10.3390/md21020096 - 29 Jan 2023
Cited by 3 | Viewed by 3705
Abstract
Arthropods, the largest animal phylum, including insects, spiders and crustaceans, are characterized by their bodies being covered primarily in chitin. Besides being a source of this biopolymer, crustaceans have also attracted attention from biotechnology given their cuticles’ remarkable and diverse mechanical properties. The [...] Read more.
Arthropods, the largest animal phylum, including insects, spiders and crustaceans, are characterized by their bodies being covered primarily in chitin. Besides being a source of this biopolymer, crustaceans have also attracted attention from biotechnology given their cuticles’ remarkable and diverse mechanical properties. The goose barnacle, Pollicipes pollicipes, is a sessile crustacean characterized by their body parts covered with calcified plates and a peduncle attached to a substrate covered with a cuticle. In this work, the composition and structure of these plates and cuticle were characterized. The morphology of the tergum plate revealed a compact homogeneous structure of calcium carbonate, a typical composition among marine invertebrate hard structures. The cuticle consisted of an outer zone covered with scales and an inner homogenous zone, predominantly organic, composed of successive layers parallel to the surface. The scales are similar to the tergum plate and are arranged in parallel and oriented semi-vertically. Structural and biochemical characterization confirmed a bulk composition of ɑ-chitin and suggested the presence of elastin-based proteins and collagen. The mechanical properties of the cuticle showed that the stiffness values are within the range of values described in elastomers and soft crustacean cuticles resulting from molting. The removal of calcified components exposed round holes, detailed the structure of the lamina, and changed the protein properties, increasing the rigidity of the material. This flexible cuticle, predominantly inorganic, can provide bioinspiration for developing biocompatible and mechanically suitable biomaterials for diverse applications, including in tissue engineering approaches. Full article
(This article belongs to the Special Issue Marine Biomimetics as a Tool for Innovation)
Show Figures

Figure 1

Back to TopTop