Sign in to use this feature.

Years

Between: -

Subjects

remove_circle_outline
remove_circle_outline
remove_circle_outline
remove_circle_outline
remove_circle_outline
remove_circle_outline
remove_circle_outline
remove_circle_outline
remove_circle_outline

Journals

Article Types

Countries / Regions

Search Results (110)

Search Parameters:
Keywords = manhole

Order results
Result details
Results per page
Select all
Export citation of selected articles as:
27 pages, 3772 KB  
Article
Research on Three-Dimensional Simulation Technology Based on an Improved RRT Algorithm
by Nan Zhang, Yang Luan, Chengkun Li, Weizhou Xu, Fengju Zhu, Chao Ye and Nianxia Han
Electronics 2026, 15(2), 286; https://doi.org/10.3390/electronics15020286 - 8 Jan 2026
Viewed by 77
Abstract
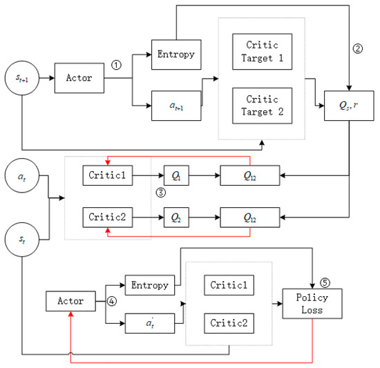
As urban power grids grow increasingly complex and underground space resources become increasingly scarce, traditional two-dimensional cable design methods face significant challenges in spatial representation accuracy and design efficiency. This study proposes an automated cable path planning method based on an improved Rapidly [...] Read more.
As urban power grids grow increasingly complex and underground space resources become increasingly scarce, traditional two-dimensional cable design methods face significant challenges in spatial representation accuracy and design efficiency. This study proposes an automated cable path planning method based on an improved Rapidly exploring Random Tree (RRT) algorithm. This framework first introduces an enhanced RRT algorithm (referred to as ABS-RRT) that integrates adaptive stride, target-biased sampling, and Soft Actor-Critic reinforcement learning. This algorithm automates the planning of serpentine cable laying paths in confined environments such as cable tunnels and manholes. Subsequently, through trajectory simplification and smoothing optimization, it generates final paths that are safe, smooth, and compliant with engineering specifications. Simulation validation on a typical cable tunnel project in a city’s core area demonstrates that compared to the traditional RRT algorithm, this approach reduces path planning time by over 57%, decreases path length by 8.1%, and lowers the number of nodes by 52%. These results validate the algorithm’s broad application potential in complex urban power grid projects. Full article
(This article belongs to the Special Issue Planning, Scheduling and Control of Grids with Renewables)
Show Figures

Figure 1

23 pages, 4994 KB  
Article
Evaluation of the Impact of Sustainable Drainage Systems (SuDSs) on Stormwater Drainage Network Using Giswater: A Case Study in the Metropolitan Area of Barcelona, Spain
by Suelen Ferreira de Araújo, Rui Lança, Carlos Otero Silva, Xavier Torret, Fernando Miguel Granja-Martins and Helena Maria Fernandez
Water 2025, 17(22), 3231; https://doi.org/10.3390/w17223231 - 12 Nov 2025
Cited by 1 | Viewed by 797
Abstract
To mitigate the impacts of urbanisation and the attendant surface sealing, appropriate measures are required when adapting urban spaces and drainage infrastructure. In this context, the deployment of Sustainable Drainage Systems (SuDSs) has emerged as a viable alternative, delivering highly positive outcomes by [...] Read more.
To mitigate the impacts of urbanisation and the attendant surface sealing, appropriate measures are required when adapting urban spaces and drainage infrastructure. In this context, the deployment of Sustainable Drainage Systems (SuDSs) has emerged as a viable alternative, delivering highly positive outcomes by enhancing hydrological, hydraulic and landscape performance while restoring ecosystem services to the community. This study evaluates the relative performance of five SuDS typologies, green roofs, bioretention cells, infiltration trenches, permeable pavements, and rain barrels, implemented in a 64 ha subbasin of the metropolitan area of Barcelona, Spain. Using Giswater integrated with the SWMM, the stormwater drainage network was modelled under multiple rainfall scenarios. Performance was assessed using two qualitative indicators, the junction index (Ij) and the conduit index (Ic), which measure surcharge levels in manholes and pipes, respectively. The results show that SuDS implementation affecting 42.8% of the drained area can enhance network performance by 35.6% and reduce flooded junctions by 67%. Among the typologies, rain barrels and bioretention cells were the most effective. The study concludes that SuDS construction, supported by open-source tools and performance-based indicators, constitutes a replicable and technically robust strategy for mitigating the effects of surface sealing and increasing urban resilience. Full article
(This article belongs to the Section Urban Water Management)
Show Figures

Figure 1

14 pages, 8848 KB  
Article
Prototype-Scale Experimental Investigation of Manhole Cover Bounce and Critical Overpressure in Urban Drainage Shafts
by Hanxu Zhao, Wei Liu, Zaihong Guo, Shuyu Liu, Dongyi Wang, Yin Li, Baifeng Dong, Xiangyu Jia, Kaifeng Zhou and Ling Zhou
Water 2025, 17(22), 3198; https://doi.org/10.3390/w17223198 - 9 Nov 2025
Viewed by 519
Abstract
Manhole shafts in urban drainage systems are prone to accumulating trapped air pockets during intense rainfall, which can lead to sudden bounce of hinged covers and pose significant near-field risks. However, threshold criteria at the prototype scale remain unavailable. To obtain quantitative evidence [...] Read more.
Manhole shafts in urban drainage systems are prone to accumulating trapped air pockets during intense rainfall, which can lead to sudden bounce of hinged covers and pose significant near-field risks. However, threshold criteria at the prototype scale remain unavailable. To obtain quantitative evidence of cover bounce under full-scale conditions and to clarify the effects of counterweight, dual-shaft coupling, and pressure–displacement phase lag, a series of experiments have been conducted on a prototype platform consisting of two shafts with hinged covers. Tests have been repeated under various counterweight conditions ranging from 0 to 30 kg. Pressure data from multiple transducers and high-speed video recordings have been synchronously acquired, filtered, and temporally aligned. Based on these, the critical overpressure at initial lift-off was identified, and oscillation characteristics and coupling effects have been analyzed. The critical overpressure was found to increase monotonically with added counterweight. When the counterweight was large, the system transitioned into a decaying response, with negligible subsequent bounce. The single-peak “rise–fall” pattern observed in single-shaft conditions no longer appeared when both covers lifted simultaneously. Notably, the critical overpressure did not coincide with the pressure peak, and a significant phase lag was observed between the pressure maximum and the moment of maximum displacement. These findings provide actionable support for the identification, modeling, and rapid mitigation of manhole cover bounce risks in urban drainage systems. Full article
(This article belongs to the Section Urban Water Management)
Show Figures

Figure 1

25 pages, 3813 KB  
Article
Sustainable UHPC Incorporating Water-Quenched Slag and Incineration Fly Ash for Infrastructure Covers
by Ming-Gin Lee, Wei-Chien Wang, Yung-Chih Wang, Wen-Chih Tung and Shu-Wei Wu
Buildings 2025, 15(21), 3897; https://doi.org/10.3390/buildings15213897 - 28 Oct 2025
Viewed by 616
Abstract
With the rapid increase in municipal solid waste and the associated production of incineration fly ash (IFA) in Taiwan, sustainable utilization of industrial by-products has become a pressing concern. This study evaluates the mechanical, environmental, and structural performance of ultra-high-performance concrete (UHPC) incorporating [...] Read more.
With the rapid increase in municipal solid waste and the associated production of incineration fly ash (IFA) in Taiwan, sustainable utilization of industrial by-products has become a pressing concern. This study evaluates the mechanical, environmental, and structural performance of ultra-high-performance concrete (UHPC) incorporating water-quenched slag (WQS) and IFA as partial replacements for cement or quartz powder. Laboratory-scale specimens were tested for compressive and flexural strength, followed by full-scale load-bearing tests on trench covers (60 × 35 × 4 cm) and manhole covers (120 × 60 × 5 cm) with varying steel fiber contents and welded steel mesh reinforcement. Mechanical behavior, heavy-metal leaching (TCLP), carbon emissions, and life cycle impact assessment (LCIA) were examined. The results show that WQS maintained or enhanced strength, while IFA caused strength loss and surface corrosion due to gas release during hydration. Trench covers with 15% WQS achieved the highest peak load (14,733 kg), exceeding heavy-traffic requirements, whereas IFA-based covers met the 10-ton standard but showed corrosion. Manhole covers did not reach the 75-ton design load, indicating applicability only for light or non-traffic areas. All UHPC mixes immobilized heavy metals within regulatory limits, and partial cement replacement reduced the carbon footprint by 60–120 kg CO2e/m3. LCIA further indicated that 20% IFA replacement provided the greatest overall environmental benefit. In conclusion, WQS-incorporated UHPC offers reliable structural and environmental performance, while IFA requires pretreatment or modification to ensure long-term durability. Full article
Show Figures

Figure 1

15 pages, 2748 KB  
Article
A Physics-Enhanced CNN–LSTM Predictive Condition Monitoring Method for Underground Power Cable Infrastructure
by Zaki Moutassem, Doha Bounaim and Gang Li
Algorithms 2025, 18(10), 600; https://doi.org/10.3390/a18100600 - 25 Sep 2025
Viewed by 728
Abstract
Underground high-voltage transmission cables, especially high-pressure fluid-filled (HPFF) pipe-type cable systems, are critical components of urban power networks. These systems consist of insulated conductor cables housed within steel pipes filled with pressurized fluids that provide essential insulation and cooling. Despite their reliability, HPFF [...] Read more.
Underground high-voltage transmission cables, especially high-pressure fluid-filled (HPFF) pipe-type cable systems, are critical components of urban power networks. These systems consist of insulated conductor cables housed within steel pipes filled with pressurized fluids that provide essential insulation and cooling. Despite their reliability, HPFF cables experience faults caused by insulation degradation, thermal expansion, and environmental stressors, which, due to their subtle and gradual nature, complicate incipient fault detection and subsequent fault localization. This study presents a novel, proactive, and retrofit-friendly predictive condition monitoring method. It leverages distributed accelerometer sensors non-intrusively mounted on the HPFF steel pipe within existing manholes to continuously monitor vibration signals in real time. A physics-enhanced convolutional neural network–long short-term memory (CNN–LSTM) deep learning architecture analyzes these signals to detect incipient faults before they evolve into critical failures. The CNN–LSTM model captures temporal dependencies in acoustic data streams, applying time-series analysis techniques tailored for the predictive condition monitoring of HPFF cables. Experimental validation uses vibration data from a scaled-down HPFF laboratory test setup, comparing normal operation to incipient fault events. The model reliably identifies subtle changes in sequential acoustic patterns indicative of incipient faults. Laboratory experimental results demonstrate a high accuracy of the physics-enhanced CNN–LSTM architecture for incipient fault detection with effective data feature extraction. This approach aims to support enhanced operational resilience and faster response times without intrusive infrastructure modifications, facilitating early intervention to mitigate service disruptions. Full article
Show Figures

Figure 1

36 pages, 13404 KB  
Article
A Multi-Task Deep Learning Framework for Road Quality Analysis with Scene Mapping via Sim-to-Real Adaptation
by Rahul Soans, Ryuichi Masuda and Yohei Fukumizu
Appl. Sci. 2025, 15(16), 8849; https://doi.org/10.3390/app15168849 - 11 Aug 2025
Viewed by 1373
Abstract
Robust perception of road surface conditions is a critical challenge for the safe deployment of autonomous vehicles and the efficient management of transportation infrastructure. This paper introduces a synthetic data-driven deep learning framework designed to address this challenge. We present a large-scale, procedurally [...] Read more.
Robust perception of road surface conditions is a critical challenge for the safe deployment of autonomous vehicles and the efficient management of transportation infrastructure. This paper introduces a synthetic data-driven deep learning framework designed to address this challenge. We present a large-scale, procedurally generated 3D synthetic dataset created in Blender, featuring a diverse range of road defects—including cracks, potholes, and puddles—alongside crucial road features like manhole covers and patches. Crucially, our dataset provides dense, pixel-perfect annotations for segmentation masks, depth maps, and camera parameters (intrinsic and extrinsic). Our proposed model leverages these rich annotations in a multi-task learning framework that jointly performs road defect segmentation and depth estimation, enabling a comprehensive geometric and semantic understanding of the road environment. A core contribution is a two-stage domain adaptation strategy to bridge the synthetic-to-real gap. First, we employ a modified CycleGAN with a segmentation-aware loss to translate synthetic images into a realistic domain while preserving defect fidelity. Second, during model training, we utilize a dual-discriminator adversarial approach, applying alignment at both the feature and output levels to minimize domain shift. Benchmarking experiments validate our approach, demonstrating high accuracy and computational efficiency. Our model excels in detecting subtle or occluded defects, attributed to an occlusion-aware loss formulation. The proposed system shows significant promise for real-time deployment in autonomous navigation, automated infrastructure assessment and Advanced Driver-Assistance Systems (ADAS). Full article
Show Figures

Figure 1

12 pages, 1209 KB  
Article
Variabilities in N2 and E Gene Concentrations in a SARS-CoV-2 Wastewater Multiplex Assay
by Ashley Green, Aiswarya Rani Pappu, Melanie Oakes, Suzanne Sandmeyer, Matthew Hileman and Sunny Jiang
Microorganisms 2025, 13(8), 1862; https://doi.org/10.3390/microorganisms13081862 - 9 Aug 2025
Viewed by 707
Abstract
Wastewater can serve as both a source of pathogens that pose risks to human health and a valuable resource for tracking and predicting disease prevalence through wastewater-based surveillance (WBS). In WBS for SARS-CoV-2, both nucleocapsid-specific (N1 and N2) and the envelope (E) genes [...] Read more.
Wastewater can serve as both a source of pathogens that pose risks to human health and a valuable resource for tracking and predicting disease prevalence through wastewater-based surveillance (WBS). In WBS for SARS-CoV-2, both nucleocapsid-specific (N1 and N2) and the envelope (E) genes are common targets for primer design, but ambiguity remains regarding differences in results depending on the gene target chosen. This study investigated how and why two SARS-CoV-2 gene targets (N2 and E) varied when analyzed in a multiplex RT-ddPCR assay for a COVID-19 wastewater monitoring study. From December 2021 to June 2022, over 700 raw wastewater samples were collected from thirteen manholes in the University of California, Irvine sewer system. Murine hepatitis virus (MHV) was used as a matrix recovery and process control in the triplex RT-ddPCR assay. Water quality tests (TSS, COD, pH, turbidity and NH3-N) were performed on all samples. Analyses showed that in over 10% of samples, the E gene concentration exceeded N2 by more than one order of magnitude. To evaluate matrix effects on amplification efficiency for N2 and E genes, multiple regression analysis was performed to explore whether water quality variables and MHV recovery efficiency could predict variance in gene concentrations, but no clear relationship was identified. However, viral recovery, as indicated by MHV recovery efficiency, was negatively impacted in samples with higher TSS and COD, suggesting PCR inhibition. These findings contribute to methodological standardization efforts in WBS and emphasize the importance of primer selection for large-scale monitoring. Full article
(This article belongs to the Special Issue Water Microorganisms Associated with Human Health, 2nd Edition)
Show Figures

Figure 1

22 pages, 4621 KB  
Article
Probabilistic Forecasting and Anomaly Detection in Sewer Systems Using Gaussian Processes
by Mohsen Rezaee, Peter Melville-Shreeve and Hussein Rappel
Water 2025, 17(16), 2357; https://doi.org/10.3390/w17162357 - 8 Aug 2025
Viewed by 1356
Abstract
This study investigates the capability of Gaussian process regression (GPR) models in the probabilistic forecasting of water flow and depth in a combined sewer system. Traditionally, deterministic methods have been implemented in sewer flow forecasting and anomaly detection, two crucial techniques for a [...] Read more.
This study investigates the capability of Gaussian process regression (GPR) models in the probabilistic forecasting of water flow and depth in a combined sewer system. Traditionally, deterministic methods have been implemented in sewer flow forecasting and anomaly detection, two crucial techniques for a good wastewater network and treatment plant management. However, with the uncertain nature of the factors impacting on sewer flow and depth, a probabilistic approach which takes uncertainties into account is preferred. This research introduces a novel use of GPR in sewer systems for real-time control and forecasting. To this end, a composite kernel is designed to capture flow and depth patterns in dry- and wet-weather periods by considering the underlying physical characteristics of the system. The multi-input, single-output GPR model is evaluated using root mean square error (RMSE), coverage, and differential entropy. The model demonstrates high predictive accuracy for both treatment plant inflow and manhole water levels across various training durations, with coverage values ranging from 87.5% to 99.4%. Finally, the model is used for anomaly detection by identifying deviations from expected ranges, enabling the estimation of surcharge and overflow probabilities under various conditions. Full article
(This article belongs to the Special Issue Advances in Management and Optimization of Urban Water Networks)
Show Figures

Figure 1

25 pages, 6621 KB  
Article
Application of Improved YOLOv8 Image Model in Urban Manhole Cover Defect Management and Detection: Case Study
by Yanqiong Ding, Baojiang Han, Hua Jiang, Hao Hu, Lei Xue, Jiasen Weng, Zhili Tang and Yuzhang Liu
Sensors 2025, 25(13), 4144; https://doi.org/10.3390/s25134144 - 3 Jul 2025
Cited by 1 | Viewed by 1367
Abstract
Manhole covers are crucial for maintaining urban operations and ensuring residents’ travel. The traditional inspection and maintenance management system based on manual judgment has low efficiency and poor accuracy, making it difficult to adapt to the rapidly expanding urban construction and complex environment [...] Read more.
Manhole covers are crucial for maintaining urban operations and ensuring residents’ travel. The traditional inspection and maintenance management system based on manual judgment has low efficiency and poor accuracy, making it difficult to adapt to the rapidly expanding urban construction and complex environment of manhole covers. To address these challenges, an intelligent management model based on the improved YOLOv8 model is proposed for three types of urban high-frequency defects: “breakage, loss and shift”. We design a lightweight dual-stream feature extraction network and use EfficientNetV2 as the backbone. By introducing the fused MBConv structure, the computational complexity is significantly reduced, while the efficiency of feature extraction is improved. An innovative foreground attention module is introduced to adaptively enhance the features of manhole cover defects, improving the model’s ability to identify defects of various scales. In addition, an optimized feature fusion architecture is constructed by integrating NAS-FPN modules. This structure utilizes bidirectional feature transfer and automatic structure search, significantly enhancing the expressiveness of multi-scale features. A combined loss function design using GIoU loss, dynamically weighted BCE loss, and Distribution Focal Loss (DFL) is adopted to address the issues of sample imbalance and inter-class differences. The experimental results show that the model achieved excellent performance in multiple indicators of manhole cover defect recognition, especially in classification accuracy, recall rate, and F1-score, with an overall recognition accuracy of 98.6%. The application of the improved model in the new smart management system for urban manhole covers can significantly improve management efficiency. Full article
(This article belongs to the Special Issue Artificial Intelligence and Sensors Technology in Smart Cities)
Show Figures

Figure 1

27 pages, 11432 KB  
Article
Inspection Cover Damage Warning System Using Deep Learning Based on Data Fusion and Channel Attention
by Kaiyu Zhang, Baohua Wang, Hongyan Chen, Huaijun Peng, Lei Xue, Baojiang Han, Zhili Tang and Yuzhang Liu
Electronics 2025, 14(12), 2383; https://doi.org/10.3390/electronics14122383 - 11 Jun 2025
Viewed by 744
Abstract
This paper explores the application of artificial intelligence in urban energy infrastructure construction and enhances the operation and maintenance safety of infrastructure through edge computing and advanced sensors. At present, urban manhole covers cover a large number of roads, but there is a [...] Read more.
This paper explores the application of artificial intelligence in urban energy infrastructure construction and enhances the operation and maintenance safety of infrastructure through edge computing and advanced sensors. At present, urban manhole covers cover a large number of roads, but there is a lack of effective real-time monitoring methods. In order to effectively solve these problems, this study proposes a domain adaptive network algorithm (EDDNet) based on data fusion. By optimizing the loss function, the attention mechanism is used to make the model pay more attention to the deep features related to the abnormal state of the inspection cover. The algorithm solves the problem of broadband vibration analysis and reduces the misclassification rate in various behavioral scenarios, including pedestrian traffic, slow-moving vehicles, and intentional surface collisions. A data acquisition sensor network is established, and a six-degree-of-freedom coupled vibration model and a structural vibration model of the inspection cover are established. The vibration peak under high load conditions is modeled and simulated using impact load data, and a fitting curve is generated to achieve deep optimization of the model and enhance robustness. The experimental results show that the classification accuracy of the network reaches 95.23%, which is at least 10.2% higher than the baseline model. Full article
(This article belongs to the Section Computer Science & Engineering)
Show Figures

Figure 1

16 pages, 1181 KB  
Article
Effects of Decision Variables Selection on Sewer Optimization Problem
by Tulin Cetin, Mustafa Erkan Turan and Mumin Emre Senol
Appl. Sci. 2025, 15(9), 4836; https://doi.org/10.3390/app15094836 - 27 Apr 2025
Cited by 1 | Viewed by 753
Abstract
This paper presents the study of decision variables selection in the optimization of sewer network systems. A mathematical model is presented that considers an objective of minimizing the total cost of sewer network comprising all pipe costs, manhole costs, and excavation cost. The [...] Read more.
This paper presents the study of decision variables selection in the optimization of sewer network systems. A mathematical model is presented that considers an objective of minimizing the total cost of sewer network comprising all pipe costs, manhole costs, and excavation cost. The mathematical model is solved by using an artificial protozoa optimizer bio-inspired algorithm for the first time in this domain. This work compares ten alternative decision variable sets obtained by systematically varying factors related to the pipe diameter, the slope or cover depths, and nodal elevations. The results display extreme variation among the alternatives. The alternative using only node elevation as a decision variable, that is, Alternative 6, had the lowest average cost, 81345.91, with a very low standard deviation, 28.35, showing maximum consistency. On the other hand, alternatives involving higher numbers of decision variables, such as Alternative 1, resulted in faster computation but with greater variability and cost. Running times ranged from 466 s in Alternative 1 to 66700 s in Alternative 10. The generated alternatives are statistically compared using Friedman and Wilcoxon tests to assess their impact on solution cost and algorithm performance. The results show large variability in the performance consistency and computational efficiency of the alternatives, thus providing indications on the most suitable configurations of decision variables for the sewer network optimization. The alternative which has the nodal elevation as the decision variable performs the best in terms of solution quality. These findings clearly demonstrate that selecting fewer, hydraulically meaningful decision variables can enhance solution quality, although at the expense of increased computational effort. Full article
(This article belongs to the Section Civil Engineering)
Show Figures

Figure 1

22 pages, 4509 KB  
Article
Wastewater Speaks: Evaluating SARS-CoV-2 Surveillance, Sampling Methods, and Seasonal Infection Trends on a University Campus
by Shilpi Bhatia, Tinyiko Nicole Maswanganye, Olusola Jeje, Danielle Winston, Mehdi Lamssali, Dongyang Deng, Ivory Blakley, Anthony A. Fodor and Liesl Jeffers-Francis
Microorganisms 2025, 13(4), 924; https://doi.org/10.3390/microorganisms13040924 - 17 Apr 2025
Cited by 2 | Viewed by 1442
Abstract
Wastewater surveillance has emerged as a cost-effective and equitable approach for tracking the spread of SARS-CoV-2. In this study, we monitored the prevalence of SARS-CoV-2 on a university campus over three years (2021–2023) using wastewater-based epidemiology (WBE). Wastewater samples were collected from 11 [...] Read more.
Wastewater surveillance has emerged as a cost-effective and equitable approach for tracking the spread of SARS-CoV-2. In this study, we monitored the prevalence of SARS-CoV-2 on a university campus over three years (2021–2023) using wastewater-based epidemiology (WBE). Wastewater samples were collected from 11 manholes on campus, each draining wastewater from a corresponding dormitory building, and viral RNA concentrations were measured using reverse transcription-quantitative PCR (RT-qPCR). Weekly clinical case data were also obtained from the university health center. A strong positive and significant correlation was observed between Grab and Composite sampling methods, supporting their robustness as equally effective approaches for sample collection. Specifically, a strong correlation was observed between Aggie Village 4 Grab and Aggie Village 4 Composite samples (R2 = 0.84, p = 0.00) and between Barbee Grab and Barbee Composite samples (R2 = 0.80, p = 0.00). Additionally, higher viral RNA copies of SARS-CoV-2 (N1 gene) were detected during the Spring semester compared to the Fall and Summer semesters. Notably, elevations in raw N1 concentrations were observed shortly after the return of college students to campus, suggesting that these increases were predominantly associated with students returning at the beginning of the Fall and Spring semesters (January and August). To account for variations in fecal loading, SARS-CoV-2 RNA concentrations were normalized using Pepper Mild Mottle Virus (PMMoV), a widely used viral fecal biomarker. However, normalization using PMMoV did not improve correlations between SARS-CoV-2 RNA levels and clinical case data. Despite these findings, our study did not establish WBE as a consistently reliable complement to clinical testing in a university campus setting, contrary to many retrospective studies. One key limitation was that numerous off-campus students did not contribute to the campus wastewater system corresponding to the monitored dormitories. However, some off-campus students were still subjected to clinical testing at the university health center under mandated protocols. Moreover, the university health center discontinued reporting cases per dormitory after 2021, making direct comparisons more challenging. Nevertheless, this study highlights the continued value of WBE as a surveillance tool for monitoring infectious diseases and provides critical insights into its application in campus environments. Full article
(This article belongs to the Special Issue Surveillance of SARS-CoV-2 Employing Wastewater)
Show Figures

Graphical abstract

19 pages, 4387 KB  
Article
Integrating Grey–Green Infrastructure in Urban Stormwater Management: A Multi–Objective Optimization Framework for Enhanced Resilience and Cost Efficiency
by Lie Wang, Jiayu Zhao, Ziheng Xiong, Ji’an Zhuang and Mo Wang
Appl. Sci. 2025, 15(7), 3852; https://doi.org/10.3390/app15073852 - 1 Apr 2025
Cited by 5 | Viewed by 3013
Abstract
Urban stormwater management systems are increasingly strained by rapid urbanization and climate change, yet existing planning approaches often lack holistic optimization frameworks that account for both green and grey infrastructure (GREI) under uncertain future conditions. This study introduces a multi–objective optimization framework for [...] Read more.
Urban stormwater management systems are increasingly strained by rapid urbanization and climate change, yet existing planning approaches often lack holistic optimization frameworks that account for both green and grey infrastructure (GREI) under uncertain future conditions. This study introduces a multi–objective optimization framework for Grey–Green Infrastructure (GGI), which integrates green infrastructure (GI) with GREI to enhance urban flood resilience, cost efficiency, and adaptability. The framework addresses life cycle cost (LCC), technological resilience (Tech-R), and operational resilience (Oper-R), offering a comprehensive approach to navigating the complexities of urban stormwater management. Key findings reveal that: (1) GGI systems optimized for resilience achieve a 33% improvement in Oper-R, with only a marginal increase in LCC of less than 9%, highlighting their robustness under GREI failure scenarios; (2) the integration of bioretention cells (BCs) and porous pavements (PPs) into GGI increases Tech-R by 7.1%, enhancing soil water retention and permeability, particularly in densely urbanized contexts; and (3) decentralized GGI systems exhibit superior adaptability to extreme weather events, with Design D reducing LCC to USD 53.9 M while maintaining no overflow under a 5–year rainfall event. The framework was validated in Zhujiang New Town, Guangzhou, where optimized GGI designs reduced average pipe diameters and manhole depths by 0.2–0.3 m compared to GREI–only systems, demonstrating both cost and resilience advantages. These findings provide decision–makers with a robust tool for evaluating trade–offs in stormwater infrastructure planning, advancing sustainable urban water management. Full article
Show Figures

Figure 1

12 pages, 2550 KB  
Article
Assessing Air Pocket Pressure Pulses in Sealed Manholes of Urban Drainage Systems Under Pressurisation Conditions
by Oscar E. Coronado-Hernández, Javier A. Mouthón-Bello, Alfonso Arrieta-Pastrana, Modesto Pérez-Sánchez and Helena M. Ramos
Water 2025, 17(7), 984; https://doi.org/10.3390/w17070984 - 27 Mar 2025
Viewed by 1208
Abstract
An entrapped air pocket can induce pressure surges in sewer systems. Previous studies on entrapped air in these systems have focused on analysing its effects under conditions where air is expelled. This research introduces a mathematical model to calculate pressure surges caused by [...] Read more.
An entrapped air pocket can induce pressure surges in sewer systems. Previous studies on entrapped air in these systems have focused on analysing its effects under conditions where air is expelled. This research introduces a mathematical model to calculate pressure surges caused by air pocket compression in a sealed manhole (without an orifice size) that may occur at the output of a pumping station. The model is based on the rigid water column theory, the polytropic law, and the continuity equation. The proposed model is validated using a 7.3 m long experimental facility equipped with a sealed chamber simulating a sealed manhole cover. It is demonstrated to accurately predict the peak pressure head of 18.9 metres and the associated pressure oscillations. A sensitivity analysis is also performed to assess variations in model behaviour. Furthermore, the model effectively captures the system’s final conditions. Lastly, a case study illustrates the model’s applicability to a water installation with a length of 250 m. Full article
(This article belongs to the Special Issue Urban Water Management: Challenges and Prospects)
Show Figures

Figure 1

16 pages, 5048 KB  
Article
A Two-Stage, Self-Pressure-Controlled Smart Manhole System with Motor-Driven and Lifting Mechanisms for Enhanced Flood Disaster Preparedness
by Jikyum Kim, Sumin Lee and Joo-Hyun Moon
Water 2025, 17(7), 978; https://doi.org/10.3390/w17070978 - 27 Mar 2025
Viewed by 1867
Abstract
Frequent extreme rainfall events by climate change have substantially heightened drainage system loads, often resulting in manhole cover dislodgment, property damage, and injuries from open manholes. To address this escalating risk, this study proposes a self-pressure-controlled smart manhole system comprising a motor-driven rotating [...] Read more.
Frequent extreme rainfall events by climate change have substantially heightened drainage system loads, often resulting in manhole cover dislodgment, property damage, and injuries from open manholes. To address this escalating risk, this study proposes a self-pressure-controlled smart manhole system comprising a motor-driven rotating blade for initial pressure regulation and a lid-lifting mechanism for secondary relief under high-intensity flows. By offering two distinct opening stages, the design successfully mitigates excessive internal pressures and velocities that would otherwise endanger public safety. Through computational fluid dynamics (CFD) simulations and verification using a 3D-printed prototype, the system demonstrated the capacity to reduce internal pressures by up to 99.5% and lower peak flow velocities by approximately 93.4% compared to conventional closed-cover conditions. These results underscore the effectiveness of the multi-phase approach in managing both moderate and severe inflow scenarios, providing a viable strategy for improving urban drainage resilience against increasingly frequent and intense rainfall events. Full article
Show Figures

Figure 1

Back to TopTop