Sign in to use this feature.

Years

Between: -

Subjects

remove_circle_outline
remove_circle_outline
remove_circle_outline
remove_circle_outline
remove_circle_outline
remove_circle_outline
remove_circle_outline
remove_circle_outline
remove_circle_outline

Journals

remove_circle_outline
remove_circle_outline
remove_circle_outline
remove_circle_outline
remove_circle_outline
remove_circle_outline
remove_circle_outline
remove_circle_outline
remove_circle_outline
remove_circle_outline
remove_circle_outline
remove_circle_outline

Article Types

Countries / Regions

remove_circle_outline
remove_circle_outline
remove_circle_outline
remove_circle_outline
remove_circle_outline

Search Results (1,010)

Search Parameters:
Keywords = male-male competition

Order results
Result details
Results per page
Select all
Export citation of selected articles as:
10 pages, 981 KB  
Article
Agreement and Reliability Between Urine Reagent Strips and Refractometry for Field Assessment of Hydration in Ultra-Trail Runners
by Daniel Rojas-Valverde, Volker Scheer, Marcelo Tuesta and Carlos D. Gómez-Carmona
Nutrients 2026, 18(3), 466; https://doi.org/10.3390/nu18030466 (registering DOI) - 31 Jan 2026
Abstract
Background/Objectives: Accurate hydration assessment is critical for optimizing performance and preventing heat-related complications in ultra-endurance athletes. This study evaluated the agreement and reliability between urine reagent strips and refractometry for field-based hydration assessment via urine-specific gravity (USG) in ultra-trail runners. Methods: [...] Read more.
Background/Objectives: Accurate hydration assessment is critical for optimizing performance and preventing heat-related complications in ultra-endurance athletes. This study evaluated the agreement and reliability between urine reagent strips and refractometry for field-based hydration assessment via urine-specific gravity (USG) in ultra-trail runners. Methods: Thirty-four ultra-trail runners (22 males, 12 females; mean age 43.71 ± 11.50 years) participated during The Coastal Challenge, a 241-km multi-stage ultra-trail competition. Urine samples were collected before and after the first two stages (Stage 1: 41 km, 1071 m elevation; Stage 2: 40 km, 1828 m elevation). USG was measured using semi-quantitative urine reagent strips (Combur10Test M) and a handheld digital refractometer (Palm Abbe™). Agreement was assessed via paired t-tests, Pearson and Spearman correlations, intraclass correlation coefficients, and Bland-Altman plots across four measurement time points. Results: Strong agreement existed between methods with correlation coefficients of 0.92–0.99 (p < 0.01) within the hydration range typical of well-prepared ultra-endurance athletes (USG 1.010–1.020). No significant differences were found between devices at any time point (all p > 0.05). Bland-Altman analyses revealed minimal mean bias (range: −0.002 to +0.001 g/mL) and narrow limits of agreement, with fewer than 5% of values falling outside limits. Both methods detected significant increases in USG from pre- to post-stage (p < 0.01), indicating exercise-induced hypohydration. Conclusions: Semi-quantitative urine reagent strips and handheld refractometers demonstrate strong agreement for hydration assessment in ultra-trail runners under field conditions when not severely hypohydrated, supporting their interchangeable use for practical monitoring. Full article
(This article belongs to the Special Issue Hydration, Fluid Homeostasis and Their Impact on Athletic Performance)
Show Figures

Figure 1

11 pages, 397 KB  
Article
Interrelationships and Shared Variance Among Three Field-Based Performance Tests in Competitive Youth Soccer Players
by Andrew D. Fields, Matthew A. Mohammadnabi, Oleg A. Sinelnikov and Michael R. Esco
J. Funct. Morphol. Kinesiol. 2026, 11(1), 58; https://doi.org/10.3390/jfmk11010058 - 29 Jan 2026
Viewed by 124
Abstract
Objectives: Field-based testing is commonly used to evaluate key physical qualities related to soccer performance. However, limited research has examined the degree of shared variance among measures of aerobic capacity, change of direction (COD), and explosive power in youth athletes. This study investigated [...] Read more.
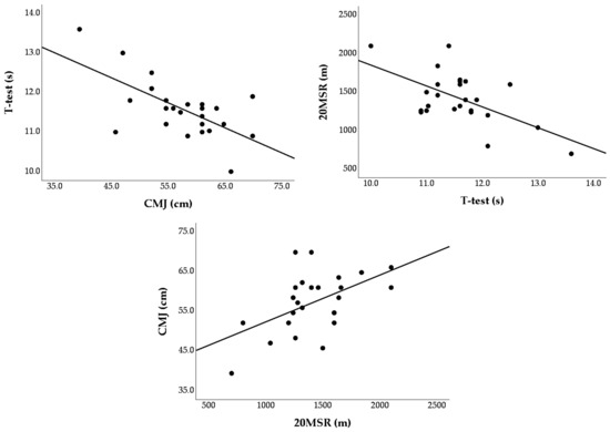
Objectives: Field-based testing is commonly used to evaluate key physical qualities related to soccer performance. However, limited research has examined the degree of shared variance among measures of aerobic capacity, change of direction (COD), and explosive power in youth athletes. This study investigated the relationships between the 20 m shuttle run (20MSR), T-test (TT), and vertical countermovement jump (CMJ) to determine their unique and overlapping contributions to each other’s performance in competitive youth soccer players. Methods: Twenty-five competitive male youth soccer players (13.7 ± 0.8 years) completed standardized assessments of TT, CMJ, and 20MSR during pre-season evaluations. Pearson correlations and hierarchical multiple regression analyses were used to examine associations and independent variance explained among the performance measures. Results: Large, significant correlations were observed between TT and CMJ (r = −0.65, p < 0.001), TT and 20MSR (r = −0.59, p < 0.001), and CMJ and 20MSR (r = 0.53, p = 0.007). CMJ explained 42.3% of TT variance, whereas adding 20MSR did not significantly improve model fit (ΔR2 = 0.087, p = 0.062). Across models, aerobic capacity did not contribute significant unique variance beyond neuromuscular performance. Conclusions: COD and lower-body power share a common physiological foundation in youth soccer athletes, while aerobic capacity represents a distinct performance domain. When field tests are administered under applied conditions typical of youth soccer environments, TT and CMJ demonstrate substantial shared variance, whereas 20MSR remains largely independent. Therefore, the findings support the continued use of multi-modal testing batteries in practice. Full article
Show Figures

Figure 1

18 pages, 4197 KB  
Article
Decoding the RNA Regulatory Network in Medaka (Oryzias latipes) Spermatogenesis: Insights from a Germ Cell Reprogramming Model
by Manying Zhou, Jingjie Liang, Ke Lu, Yuewen Jiang, Yan Huang and Tiansheng Chen
Animals 2026, 16(3), 389; https://doi.org/10.3390/ani16030389 - 26 Jan 2026
Viewed by 121
Abstract
Spermatogenesis is a sophisticated process coordinated by germ cells and the somatic microenvironment. Circular RNAs (circRNAs), key components of competitive endogenous RNA (ceRNA) networks, form intricate post-transcriptional regulatory systems by sequestering microRNAs (miRNAs). However, the specific functions of these networks in spermatogenesis, particularly [...] Read more.
Spermatogenesis is a sophisticated process coordinated by germ cells and the somatic microenvironment. Circular RNAs (circRNAs), key components of competitive endogenous RNA (ceRNA) networks, form intricate post-transcriptional regulatory systems by sequestering microRNAs (miRNAs). However, the specific functions of these networks in spermatogenesis, particularly regarding the cell-intrinsic regulatory programs of germ cells, remain poorly understood. To address this, we utilized a unique foxl3 mutant model in medaka (Oryzias latipes), in which XX female germ cells spontaneously transdifferentiate into functional sperm within the ovarian somatic environment. This model enables the functional enrichment of core spermatogenic programs largely independent of male-specific somatic cues. Through whole-transcriptome sequencing and bioinformatic analysis, we identified 58 key circRNAs, 27 core miRNAs, and 2965 mRNAs, and constructed a candidate ceRNA regulatory network mediated by six circRNAs. Under genetically consistent conditions, this study elucidated a putative ceRNA network directly involved in the germ cell-dominant initiation of spermatogenesis, suggesting an essential role of these networks in germ cell fate determination. These findings provide new insights into the regulatory mechanisms of teleost spermatogenesis and offer valuable molecular targets for advancing reproductive medicine and improving breeding efficiency in aquaculture. Full article
(This article belongs to the Section Animal Reproduction)
Show Figures

Figure 1

20 pages, 6620 KB  
Article
Study of Fecal Microbiota Transplantation Ameliorates Colon Morphology and Microbiota Function in High-Fat Diet Mice
by Xinyu Cao, Lu Zhou, Yuxia Ding, Chaofan Ma, Qian Chen, Ning Li, Hao Ren, Ping Yan and Jianlei Jia
Vet. Sci. 2026, 13(2), 116; https://doi.org/10.3390/vetsci13020116 - 25 Jan 2026
Viewed by 136
Abstract
This study investigates whether fecal microbiota transplantation (FMT) can alleviate gut microbiota dysbiosis induced by a high-fat diet (HFD) through modulation of fatty acid metabolism, competition for nutrients, production of short-chain fatty acids (SCFAs), and restoration of mucus layer integrity. To elucidate the [...] Read more.
This study investigates whether fecal microbiota transplantation (FMT) can alleviate gut microbiota dysbiosis induced by a high-fat diet (HFD) through modulation of fatty acid metabolism, competition for nutrients, production of short-chain fatty acids (SCFAs), and restoration of mucus layer integrity. To elucidate the mechanisms by which FMT regulates colonic microbial function and host metabolic responses, 80 male Bal b/c mice were randomly assigned to four experimental groups (n = 20 per group): Normal Diet Group (NDG), High-Fat Diet Group (HDG), Restrictive Diet Group (RDG), and HDG recipients of NDG-derived fecal microbiota (FMT group). The intervention lasted for 12 weeks, during which body weight was monitored biweekly. At the end of the experiment, tissue and fecal samples were collected to assess digestive enzyme activities, intestinal histomorphology, gene expression related to gut barrier function, and gut microbiota composition via 16S rRNA gene sequencing. Results showed that mice in the HDG exhibited significantly higher final body weight and greater weight gain compared to those in the NDG and RDG (p < 0.05). Notably, FMT treatment markedly attenuated HFD-induced weight gain (p < 0.05), reducing it to levels comparable with the NDG (p > 0.05). While HFD significantly elevated the activities of α-amylase and trypsin (p < 0.05), FMT supplementation effectively suppressed these enzymatic activities (p < 0.05). Moreover, FMT ameliorated HFD-induced intestinal architectural damage, as evidenced by significant increases in villus height and the villus height-to-crypt depth ratio (V/C) (p < 0.05). At the molecular level, FMT significantly downregulated the expression of pro-inflammatory cytokines (IL-1β, IL-1α, TNF-α) and upregulated key tight junction proteins (Occludin, Claudin-1, ZO-1) and mucin-2 (MUC2) relative to the HDG (p < 0.05). 16S rRNA analysis demonstrated that FMT substantially increased the abundance of beneficial genera such as Lactobacillus and Bifidobacterium while reducing opportunistic pathogens including Romboutsia (p < 0.05). Furthermore, alpha diversity indices (Chao1 and ACE) were significantly higher in the FMT group than in all other groups (p < 0.05), indicating enhanced microbial richness and community stability. Functional prediction using PICRUSt2 revealed that FMT-enriched metabolic pathways (particularly those associated with SCFA production) and enhanced gut barrier-related functions. Collectively, this study deepens our understanding of host–microbe interactions under HFD-induced metabolic stress and provides mechanistic insights into how FMT restores gut homeostasis, highlighting its potential as a therapeutic strategy for diet-induced dysbiosis and associated metabolic disorders. Full article
(This article belongs to the Special Issue The Role of Gut Microbiome in Regulating Animal Health)
Show Figures

Figure 1

16 pages, 4039 KB  
Article
Sexual Dimorphism in the Sensory Organs of Monochamus saltuarius Gebler (Coleoptera: Cerambycidae): A Morphometric Analysis of Compound Eyes and Stridulatory Files
by Jingjing Yang, Yue Xiang and Zehai Hou
Forests 2026, 17(1), 145; https://doi.org/10.3390/f17010145 - 22 Jan 2026
Viewed by 75
Abstract
The Sakhalin pine sawyer, Monochamus saltuarius Gebler, 1830 (Coleoptera: Cerambycidae), is a newly discovered insect vector of the pine wood nematode (Bursaphelenchus xylophilus) in China. Despite its ecological importance, the detailed morphology of its sensory systems remains largely unexplored. This study [...] Read more.
The Sakhalin pine sawyer, Monochamus saltuarius Gebler, 1830 (Coleoptera: Cerambycidae), is a newly discovered insect vector of the pine wood nematode (Bursaphelenchus xylophilus) in China. Despite its ecological importance, the detailed morphology of its sensory systems remains largely unexplored. This study presents comprehensive ultrastructural analysis of the compound eyes and stridulatory organs in adult M. saltuarius, with a focus on sexual differences. Our morphometric results revealed pronounced sexual dimorphism: males possessed significantly larger compound eyes in terms of total area and perimeter. Furthermore, all three types of ommatidial facets (hexagonal, pentagonal, and quadrilateral) exhibited significantly greater area, perimeter, and diameter in males. Interestingly, while the total number of ommatidia and the counts within the dorsal and ventral eye regions showed no significant sexual difference, they were strongly positively correlated with body length in both sexes. Regarding the stridulatory organs, key morphological features including the transverse diameter, longitudinal diameter, and width of the lateral sulcus of the stridulatory file were also significantly greater in males. In contrast, no sexual dimorphism was detected in the width or density of the stridulatory teeth. These findings collectively indicate a significant investment in sexually dimorphic sensory organs in M. saltuarius, which we hypothesize is closely linked to sex-specific behavioral roles, particularly in active mate searching, courtship displays, and intrasexual competition. This research provides a crucial morphological foundation for understanding the species’ visual and acoustic communication, supporting future work on its sensory ecology and the development of behavior-based control strategies for pine wilt disease. Full article
(This article belongs to the Special Issue Pest Infestation in Trees: Mechanisms, Effects and Control Methods)
Show Figures

Figure 1

17 pages, 2161 KB  
Article
Do You Train Like You Compete? A Comparison of Training Tasks and Competition in Elite Basketball Based on Biomechanical and External Physiological Load
by Carlos Sosa Marín, Enrique Alonso-Pérez-Chao, Xavier Schelling and Alberto Lorenzo
Appl. Sci. 2026, 16(2), 997; https://doi.org/10.3390/app16020997 - 19 Jan 2026
Viewed by 244
Abstract
Basketball is an intermittent sport with high neuromuscular and metabolic demands. To optimize specificity, training tasks should replicate competitive loads, but little is known about how drills compare to official matches. This study compared the physiological and biomechanical load of training tasks with [...] Read more.
Basketball is an intermittent sport with high neuromuscular and metabolic demands. To optimize specificity, training tasks should replicate competitive loads, but little is known about how drills compare to official matches. This study compared the physiological and biomechanical load of training tasks with official competition in elite U18 basketball players. Twelve male players (16.9 ± 0.8 years) were monitored across two seasons (179 training sessions, 21 matches). A total of 3136 individual records were collected using Catapult Vector S7 LPS units. Training drills were classified by specificity (0–5). Physiological (distance and intensity zones) and biomechanical variables (accelerations, decelerations, jumps, explosive efforts, PlayerLoad™) were analyzed using cluster analysis and linear mixed models. Competition imposed the highest physiological and biomechanical loads. Non-opposition drills (1v0–5v0) showed limited transfer, though 1v0–2v0 accumulated higher jump density. Among opposition formats, 3v3 full-court was the best at replicating match demands. Continuous opposition tasks (3v3v3, 4v4v4, 5v5v5) elicited lower physiological but comparable biomechanical load. Small-sided formats, particularly 3v3 and 4v4, are the most effective training tools for reproducing competition demands, while non-opposition drills are better suited for technical or rehabilitation purposes. Full article
(This article belongs to the Special Issue Advances in Sports Science and Biomechanics)
Show Figures

Figure 1

14 pages, 278 KB  
Article
Differences in Physical Performance According to Contextual Variables in U21 Football Players
by Rodrigo Villaseca-Vicuña, Pablo Merino-Muñoz, Guillermo Cortes-Rocco, Natalia Escobar, Marcelo Muñoz Lara, Rodrigo Yañez Sepúlveda, Joel Barrera-Díaz and Jorge Pérez-Contreras
Physiologia 2026, 6(1), 8; https://doi.org/10.3390/physiologia6010008 - 19 Jan 2026
Viewed by 156
Abstract
Understanding how contextual variables shape differences in match demands in youth football is essential for optimising performance and player development. Objective: This study aimed to compare physical and competitive performance according to playing position, match location, match result, and opponent quality in the [...] Read more.
Understanding how contextual variables shape differences in match demands in youth football is essential for optimising performance and player development. Objective: This study aimed to compare physical and competitive performance according to playing position, match location, match result, and opponent quality in the physical and competitive performance of U21 football players from a professional Chilean club. Methods: Twenty male U21 players (19.2 ± 1.2 years) were monitored during 11 official matches using 10 Hz GPS devices (WIMU Pro™) and post-match Rating of Perceived Exertion (RPE). Variables included total distance (TD), high-speed running (HSR > 20 km/h), metres per minute (MM), accelerations/decelerations (N°AC/N°DC > 3 m·s−2), player load (PL), and peak velocity (PV). Contextual variables were classified by playing position, home/away, win/loss, and opponent quality (higher vs. lower rank). Results: Significant between-group differences were found across all contextual factors (p < 0.05). Midfielders (MFs) covered greater TD and reported higher RPE, while full-backs (FBs) and wingers (WGs) reached higher HSR and PV. Away and lost matches showed greater RPE, PL, and N°AC/N°DC, alongside more goals conceded. Facing higher-ranked opponents increased RPE and HSR but reduced explosive actions. Conclusions: Physical performance in U21 football is strongly modulated by contextual factors. Coaches should adjust training load and tactical strategies according to match conditions and positional roles to optimise adaptation and competitive readiness in developmental categories. Full article
14 pages, 640 KB  
Article
Anthropometric Determinants of Rowing Performance in a Multinational Youth Cohort
by László Suszter, Zoltán Gombos, Ottó Benczenleitner, Ferenc Ihász and Zoltán Alföldi
J. Funct. Morphol. Kinesiol. 2026, 11(1), 39; https://doi.org/10.3390/jfmk11010039 - 17 Jan 2026
Viewed by 167
Abstract
Background: Rowing performance in youth athletes is strongly influenced by anthropometric characteristics, body composition, and limb proportions; however, the combined contribution of these factors across developmental stages remains insufficiently understood. This study investigated the relationships between key anthropometric variables and ergometer performance in [...] Read more.
Background: Rowing performance in youth athletes is strongly influenced by anthropometric characteristics, body composition, and limb proportions; however, the combined contribution of these factors across developmental stages remains insufficiently understood. This study investigated the relationships between key anthropometric variables and ergometer performance in a multinational cohort of young rowers. Methods: A total of 194 athletes (48 females, 146 males) from ten countries participated. Based on age and sex, participants were categorized into junior female (JF), junior male (JM), adult female (AF), and adult male (AM) groups. Body height, body mass, body fat (F%), relative muscle mass (M%), limb lengths, and body surface area (BSA) were measured. Rowing performance was assessed via maximal 2000 m ergometer trials. Results: Males outperformed females across all age groups (p < 0.001). Performance showed strong positive correlations with body height (r = 0.673, p = 0.003), body mass (r = 0.724, p = 0.005), arm span (r = 0.681, p = 0.002), lower-limb length (r = 0.394, p = 0.004), relative muscle mass (39.9 ± 5.2%; r = 0.531, p < 0.001), and especially BSA (1.94 ± 0.19 m2; r = 0.739, p < 0.001). Relative body fat was negatively associated with performance (17.6 ± 6.9%; r = −0.465, p < 0.001). Conclusions: Findings indicate that rowing performance in youth athletes reflects multidimensional anthropometric configurations rather than isolated traits, characterized primarily by the combined contribution of body surface area, relative muscle mass, and segmental body dimensions. From a practical perspective, higher-performing athletes typically exhibited body surface area values approaching or exceeding ~1.90 m2 and relative muscle mass above ~40%, suggesting these ranges as indicative reference benchmarks rather than fixed selection thresholds. Integrating anthropometric profiling with physiological assessment may enhance early talent identification and support individualized training strategies in competitive youth rowing. Full article
(This article belongs to the Section Athletic Training and Human Performance)
Show Figures

Figure 1

11 pages, 259 KB  
Article
Morphological Asymmetries and Their Relationship to Judo-Specific Performance in Youth Judokas
by Jožef Šimenko and Primož Pori
Appl. Sci. 2026, 16(2), 894; https://doi.org/10.3390/app16020894 - 15 Jan 2026
Viewed by 182
Abstract
The purpose of this study was to examine morphological asymmetries in male youth judokas using an integrated assessment combining three-dimensional (3D) body scanning and bioelectrical impedance analysis (BIA), and to determine how these asymmetries relate to judo-specific performance. Twenty-seven competitive male youth judokas [...] Read more.
The purpose of this study was to examine morphological asymmetries in male youth judokas using an integrated assessment combining three-dimensional (3D) body scanning and bioelectrical impedance analysis (BIA), and to determine how these asymmetries relate to judo-specific performance. Twenty-seven competitive male youth judokas were evaluated for bilateral girth, segmental length, and lean mass asymmetries across upper- and lower-limb segments. The Absolute Asymmetry index, expressed as a percentage for individual body segments, and the average body symmetry across all variables were calculated, and associations with performance were assessed using the Special Judo Fitness Test (SJFT). Significant right-dominant asymmetries were found in elbow girth p < 0.001, forearm girth p < 0.001, thigh girth p = 0.028, and leg muscle mass p = 0.008. Upper-limb asymmetries were the primary contributors to total-body asymmetry, reflecting the unilateral gripping and rotational demands typical in judo. Only calf girth asymmetry was significantly associated with SJFT performance, with greater asymmetry linked to poorer outcomes, indicating a specific rather than general asymmetry–performance relationship (r = 0.405; p = 0.037). These findings underscore the importance of early detection of segment-specific asymmetries and suggest that rapid digital anthropometry is a practical tool for monitoring morphological development in youth judokas. Early targeted interventions may support balanced technical execution, enhance performance, and reduce the risk of uneven loading patterns as athletes progress to higher age categories and competition levels. Full article
13 pages, 258 KB  
Article
Lower Extremity Injuries in Elite Snowsport Athletes: A Retrospective Survey
by Buket Sevindik Aktas, Esedullah Akaras, E. Whitney G. Moore, Ersagun Kepir, Anthony Kulas and Gokhan Yagiz
J. Clin. Med. 2026, 15(2), 695; https://doi.org/10.3390/jcm15020695 - 15 Jan 2026
Viewed by 164
Abstract
Background/Objectives: Lower extremity injuries represent a major health concern in elite snowsport disciplines, where high mechanical loads, complex movement patterns, and demanding environmental conditions substantially increase injury risk. Understanding injury incidence and burden in this population is essential for developing sport- and [...] Read more.
Background/Objectives: Lower extremity injuries represent a major health concern in elite snowsport disciplines, where high mechanical loads, complex movement patterns, and demanding environmental conditions substantially increase injury risk. Understanding injury incidence and burden in this population is essential for developing sport- and sex-specific prevention strategies. This retrospective study determined lower extremity injury incidence and burden among elite snowsport athletes. Methods: Ninety-nine Turkish National Snowsport Teams Training Camp athletes (34 females; 65 males) consented to a review of their medical records for injury incidence. Overall, sex- and sport-specific injury incidence (number/10,000 h) and burden (weeks missing/10,000 h) were calculated. Results: Overall, medial tibial stress syndrome (MTSS) was the highest burden (9.5 ± 38.7), and ankle sprain (1.7 ± 0.4) was the highest-incident injury. However, injury incidence and burden patterns differed by sex and sport. Notably, medial tibial stress syndrome (MTSS) showed comparable incidence in female and male athletes but resulted in a substantial injury burden in both sexes, reflecting prolonged time-loss from training and competition and indicating a meaningful negative impact on athletic performance. Specifically, the highest-burden injury for women was anterior cruciate ligament (ACL) rupture (16.2 ± 64.5), and for men the most common injury was MTSS (9.7 ± 40.7). For cross-country skiers, MTSS had the highest burden and incidence. For all other sports, and across sexes, ankle sprain was the highest incidence injury—women (1.3 ± 3.0), men (2.0 ± 4.5), biathletes (2.3 ± 5.7), Alpine skiers (2.8 ± 4.5), ski jumpers (1.6 ± 3.1), and snowboarders (3.2 ± 4.7)—plus the highest-burden injury for biathletes (6.9 ± 14.3) and ski jumpers (6.0 ± 14.0). The highest burden injury for Alpine skiers was ACL damage (34.3 ± 87.2), and for snowboarders it was knee collateral ligament injury (27.8 ± 78.6). Moreover, patellar tendinitis, hamstring strains, calf strains, Achilles ruptures, anterior tibial pain, meniscus tears, and hip injuries were frequently observed in injury patterns. Conclusions: Ankle sprains were the most frequent lower extremity injury in elite snowsport athletes, whereas medial tibial stress syndrome (MTSS) and anterior cruciate ligament (ACL) injuries accounted for the greatest injury burden. Injury incidence and burden differed by sex and snowsport discipline. Full article
(This article belongs to the Section Sports Medicine)
14 pages, 1457 KB  
Article
Plyometric Performance in U13 Basketball: Influence of Modified Competitions and Maturational Status with GPS Tracking
by Ricardo André Birrento Aguiar, Francisco Javier García-Angulo, Riccardo Izzo and Enrique Ortega-Toro
Sensors 2026, 26(2), 552; https://doi.org/10.3390/s26020552 - 14 Jan 2026
Viewed by 179
Abstract
The aim of this study was to analyze the effects of different competition formats on the plyometric performance of under-13 basketball players, considering the influence of maturational age and monitored through GPS devices. Thirty-seven under-13 male basketball players (age = 12.91 ± 0.57 [...] Read more.
The aim of this study was to analyze the effects of different competition formats on the plyometric performance of under-13 basketball players, considering the influence of maturational age and monitored through GPS devices. Thirty-seven under-13 male basketball players (age = 12.91 ± 0.57 years) from four southeast Spanish teams participated in two different tournaments. On the first day, the tournament was played according to the official Spanish Basketball Federation (FEB) rules for under-14 players. On the second day, the competition was held with modified rules (Modified Tournament), in which the basket height was lowered to 2.90 m and the three-point line was replaced by a rectangle located 4 m from the basket. Plyometric variables, such as number of impacts (total and in zones), number of horizontal impacts (total and in zones), number of steps, number of jumps (total and in zones) and g-force of jumps during takeoff and landing, were assessed using GPS monitoring. In addition, the moderating effect of maturational age on the intervention in each of the variables under study will be evaluated. The results showed that the modified tournament (MT) showed significant differences compared to the standard format (FEB) in playing time, steps, landings 5–8 G, and takeoffs >8 G during positional attacks, as well as in horizontal impact variables during counterattacks and effective playing time. Bayesian analysis provided moderate-to-strong evidence for several of these variables, and extreme evidence for playing time and impacts during effective time. Moreover, maturational age (%PAH) consistently moderated the intervention effects, particularly in impact loads and locomotor demands. These findings can provide useful insights for coaches and practitioners in youth basketball. Adjusting competition rules and considering maturational status may optimize player development by creating contexts that enhance plyometric performance while adapting to the physical and biological characteristics of young athletes. Full article
(This article belongs to the Special Issue Movement Biomechanics Applications of Wearable Inertial Sensors)
Show Figures

Figure 1

8 pages, 186 KB  
Perspective
Behavioural Diversity: Conditional Movement Tactics in the Ruff (Calidris pugnax)
by Michel Baguette
Diversity 2026, 18(1), 32; https://doi.org/10.3390/d18010032 - 8 Jan 2026
Viewed by 180
Abstract
Understanding the movement behaviour of male ruffs (Calidris pugnax) during the breeding season requires integrating recent telemetry data with long-standing theory on conditional reproductive strategies, lek dynamics, and behavioural polymorphism. A large-scale tracking study revealed extensive within-season movements among many males, [...] Read more.
Understanding the movement behaviour of male ruffs (Calidris pugnax) during the breeding season requires integrating recent telemetry data with long-standing theory on conditional reproductive strategies, lek dynamics, and behavioural polymorphism. A large-scale tracking study revealed extensive within-season movements among many males, with individuals visiting 1 to 23 sites, but also documented prolonged residency, with site tenures exceeding 40 days. Such variation is not contradictory but expected in a species whose reproductive system combines genetically fixed alternative strategies, governed by a supergene, with flexible conditional tactics expressed in response to ecological and social cues. Here, I synthesize movement ecology, state-dependent decision models, lekking theory, and previous empirical work to show that spatial behaviour in ruffs reflects a continuum of tactics rather than a homogeneous nomadic mode. Telemetry data thereby enrich our understanding of how individuals navigate fluctuating environments, competitive pressures, and mating opportunities. Embracing behavioural heterogeneity is essential for interpreting movement patterns and for understanding how reproductive diversity evolves and is maintained in lekking systems. Full article
(This article belongs to the Special Issue 2026 Feature Papers by Diversity's Editorial Board Members)
20 pages, 1889 KB  
Article
Physical and Performance Profiles Differentiate Competitive Levels in U-18 Basketball Players
by Anna Goniotaki, Dimitrios I. Bourdas, Antonios K. Travlos, Panteleimon Bakirtzoglou, Apostolos Theos and Emmanouil Zacharakis
Sports 2026, 14(1), 27; https://doi.org/10.3390/sports14010027 - 5 Jan 2026
Viewed by 337
Abstract
Background: Evidence on how physical and technical factors distinguish U-18 basketball levels is limited, yet these determinants may aid talent identification and development. This study examined differences in anthropometric, physical performance, and technical characteristics between high-level (HL; n = 38) and low-level (LL; [...] Read more.
Background: Evidence on how physical and technical factors distinguish U-18 basketball levels is limited, yet these determinants may aid talent identification and development. This study examined differences in anthropometric, physical performance, and technical characteristics between high-level (HL; n = 38) and low-level (LL; n = 35) U-18 male basketball players and explored relationships between technical skills and key physical attributes across all participants. Methods: Participants were evaluated across anthropometry, physical performance, and basketball-specific technical skills. Statistical analyses assessed between-group differences and correlations, with significance set at p ≤ 0.05. Results: Compared to LL players, HL players exhibited significantly superior physical attributes, including greater height (Cohen’s d = 0.67) and arm-span (d = 0.65), reduced body fat (d = −0.58), and advanced performance metrics (10 m-speed running (d = −0.78), 20 m-speed running (d = −0.93), flexibility (d = 1.26), counter-movement jump height (d = 1.27), intermittent endurance (d = 1.18)). Technical proficiency in tasks such as 10 m- and 20 m-speed dribbling, maneuver dribbling and defensive sliding was also significantly faster in the HL group (d = −0.96, d = −1.05, d = −1.87, and d = −1.14, respectively). Several anthropometric and performance variables were strongly correlated with technical skills, indicating their relevance for distinguishing competitive levels. Conclusions: These findings underscore the interplay of physical, technical, and performance factors in high-level youth basketball. Coaches may use this information to guide targeted training strategies that support talent identification, player development, and competitive success. Full article
Show Figures

Figure 1

16 pages, 2100 KB  
Article
Effects of Contrast Water Therapy on Physiological and Perceptual Recovery Following High-Intensity Interval Swimming in Collegiate Swimmers
by Kazuki Kino, Mitsuo Neya, Yuya Watanabe and Noriyuki Kida
Sports 2026, 14(1), 26; https://doi.org/10.3390/sports14010026 - 5 Jan 2026
Viewed by 566
Abstract
This study examined the effects of contrast water therapy (CWT) on physiological, perceptual, and performance-related recovery in collegiate male swimmers following high-intensity interval training. Fifteen freestyle swimmers (19.3 ± 1.1 years) completed two sessions of five 100 m maximal-effort intervals under two recovery [...] Read more.
This study examined the effects of contrast water therapy (CWT) on physiological, perceptual, and performance-related recovery in collegiate male swimmers following high-intensity interval training. Fifteen freestyle swimmers (19.3 ± 1.1 years) completed two sessions of five 100 m maximal-effort intervals under two recovery conditions, CWT and passive rest (PAS), in a crossover design. The CWT protocol consisted of 10 alternating immersions in hot (40–41 °C, 60 s) and cold (20–21 °C, 30 s) water. Blood lactate (LA), blood pressure (BP), and subjective fatigue (VAS-FAS) were assessed at multiple time points. Compared with PAS, CWT resulted in significantly lower post-recovery blood LA (7.75 ± 2.08 vs. 10.86 ± 2.86 mmol/L, p = 0.002) and reduced subjective fatigue (6.60 ± 1.30 vs. 7.60 ± 0.91 cm, p = 0.021), whereas no significant differences were observed in BP or 100-m swimming performance. Individual-level analyses revealed heterogeneous responses, with most swimmers demonstrating improved lactate clearance and reduced fatigue following CWT, although performance responses varied among participants. These findings indicate that CWT facilitates physiological and perceptual recovery without producing immediate performance enhancement. CWT may be considered a practical short-term recovery option for competitive swimmers, although its effectiveness likely depends on individual response characteristics. Further research involving larger and more diverse samples is warranted to clarify optimal application parameters and individual recovery profiles. Full article
Show Figures

Figure 1

13 pages, 730 KB  
Article
One Sprinter, Two Olympic Preparations: A Single-Athlete Longitudinal Observational Study of Training-Intensity Distribution and Implications for Future 50 m Events
by Konstantinos Papadimitriou, Nikos V. Margaritelis and George Tsalis
Sports 2026, 14(1), 23; https://doi.org/10.3390/sports14010023 - 5 Jan 2026
Viewed by 513
Abstract
Purpose: This single-athlete, longitudinal observational study describes training intensity distribution (TID) across two Olympic preparation cycles (Rio 2016 vs. Tokyo 2021) and explores whether differences in high-intensity exposure coincided with performance outcomes. Methods: An elite male 50 m freestyle specialist (personal best 21.27 [...] Read more.
Purpose: This single-athlete, longitudinal observational study describes training intensity distribution (TID) across two Olympic preparation cycles (Rio 2016 vs. Tokyo 2021) and explores whether differences in high-intensity exposure coincided with performance outcomes. Methods: An elite male 50 m freestyle specialist (personal best 21.27 s; height: 187 cm, weight: 80 kg, body mass index: 22.9 kg·m−2, fat-free mass: 75.2 kg, and fat mass: 4.8 kg) was monitored across four mesocycle periods. TID is expressed as % of total swim volume in three zones: Z1 (low intensity), Z2 (threshold), Z3 [high intensity/race-pace, including High Intensity Interval Training (HIIT) and Sprint Interval Training (SIT)]. Both the coach and swimmer signed a written informed consent for the use of their data. Results: For Rio 2016, TID (Z1/Z2/Z3) was as follows: General 80/0/20, Specific 60/0/40, Pre-competition 40/30/30, and Taper 50/20/30, indicating a polarized approach. For Tokyo 2021, TID shifted to: General 85/0/15, Specific 60/0/40, Pre-competition 30/30/40, and Taper 40/20/40. Discussion: In this single athlete, a greater proportion of work in Z3 during the Tokyo cycle, particularly in the Pre-competition and Taper phases, probably coincided with improved performance (21.57 vs. 21.79 s). Conclusions: Although clear causal inference is not possible, these observations depict the probability that sprint-swim preparation for 50 m events needs a training volume oriented to Z3 and relatively less in Z1. However, the study’s design, the methods by which the TID was recorded, etc., limit any generalization about the interpretation of the findings. Therefore, future studies should address these limitations, providing more insights into improving the training on that kind of events. Full article
Show Figures

Figure 1

Back to TopTop