Sign in to use this feature.

Years

Between: -

Subjects

remove_circle_outline
remove_circle_outline
remove_circle_outline
remove_circle_outline
remove_circle_outline
remove_circle_outline
remove_circle_outline
remove_circle_outline
remove_circle_outline

Journals

Article Types

Countries / Regions

Search Results (31)

Search Parameters:
Keywords = machinery tunnel

Order results
Result details
Results per page
Select all
Export citation of selected articles as:
24 pages, 2181 KB  
Article
Design of Prefabricated Concrete-Filled Steel Pipe Columns for Pile Beam Arch Subway Stations Based on Carbon Emission Optimization
by Aizhong Luo, Yuting Wu, Tao Li, Xingyu Yang, Yao Liu and Jiajun Shu
Materials 2025, 18(16), 3854; https://doi.org/10.3390/ma18163854 - 17 Aug 2025
Viewed by 611
Abstract
With the rapid expansion of underground rail transit construction in China, the high carbon emissions associated with subway tunnels and stations have become an increasing concern. This study systematically examines the carbon emissions of prefabricated concrete–filled steel pipe columns (PCSPCs) during the construction [...] Read more.
With the rapid expansion of underground rail transit construction in China, the high carbon emissions associated with subway tunnels and stations have become an increasing concern. This study systematically examines the carbon emissions of prefabricated concrete–filled steel pipe columns (PCSPCs) during the construction phase of a Beijing subway station built via the pile beam arch (PBA) method, applying the life cycle assessment (LCA) methodology as a case study. An analytical framework for the synergistic optimization of carbon emissions and costs was developed. By systematically adjusting key design parameters—such as the column diameter, wall thickness, and concrete strength—it was possible to minimize both carbon emissions and project costs while meeting the ultimate load-bearing capacity requirements. The results indicate that the production phase of PCSPCs accounts for as much as 98.845% of total carbon emissions, with labor, materials, and machinery contributing 10.342%, 88.724%, and 0.934%, respectively. A sensitivity analysis revealed that steel plates have the greatest impact on carbon emissions, followed by steel reinforcement, whereas concrete and cement exhibit relatively lower sensitivities. The ultimate load-bearing capacity of PCSPCs increases with larger column diameters, thicker walls, and higher concrete strength grades, with the relationships displaying a nonlinear trend. The damage modes and performance of PCSPCs under different design parameters were further verified through finite element analysis. On the basis of the optimization algorithm used to adjust the design parameters, the carbon emissions and costs of the PCSPCs were reduced by 10.32% and 21.55%, respectively, while still meeting the load-bearing capacity requirements. Full article
(This article belongs to the Section Construction and Building Materials)
Show Figures

Figure 1

25 pages, 10205 KB  
Article
RTLS-Enabled Bidirectional Alert System for Proximity Risk Mitigation in Tunnel Environments
by Fatima Afzal, Farhad Ullah Khan, Ayaz Ahmad Khan, Ruchini Jayasinghe and Numan Khan
Buildings 2025, 15(15), 2667; https://doi.org/10.3390/buildings15152667 - 28 Jul 2025
Viewed by 670
Abstract
Tunnel construction poses significant safety challenges due to confined spaces, limited visibility, and the dynamic movement of labourers and machinery. This study addresses a critical gap in real-time, bidirectional proximity monitoring by developing and validating a prototype early-warning system that integrates real-time location [...] Read more.
Tunnel construction poses significant safety challenges due to confined spaces, limited visibility, and the dynamic movement of labourers and machinery. This study addresses a critical gap in real-time, bidirectional proximity monitoring by developing and validating a prototype early-warning system that integrates real-time location systems (RTLS) with long-range (LoRa) wireless communication and ultra-wideband (UWB) positioning. The system comprises Arduino nano microcontrollers, organic light-emitting diode (OLED) displays, and piezo buzzers to detect and signal proximity breaches between workers and equipment. Using an action research approach, three pilot case studies were conducted in a simulated tunnel environment to test the system’s effectiveness in both static and dynamic risk scenarios. The results showed that the system accurately tracked proximity and generated timely alerts when safety thresholds were crossed, although minor delays of 5–8 s and slight positional inaccuracies were noted. These findings confirm the system’s capacity to enhance situational awareness and reduce reliance on manual safety protocols. The study contributes to the tunnel safety literature by demonstrating the feasibility of low-cost, real-time monitoring solutions that simultaneously track labour and machinery. The proposed RTLS framework offers practical value for safety managers and informs future research into automated safety systems in complex construction environments. Full article
(This article belongs to the Special Issue AI in Construction: Automation, Optimization, and Safety)
Show Figures

Figure 1

16 pages, 5307 KB  
Article
Revisiting an Indentation Method for Measuring Low Wear Rates Using 3D Interferometry
by Gabriela R. Piazzetta, Thomas M. Zeller, Juan M. Hernandez-Otalvaro and Giuseppe Pintaude
Metrology 2025, 5(2), 35; https://doi.org/10.3390/metrology5020035 - 8 Jun 2025
Viewed by 1221
Abstract
Predicting the wear of disc cutters in Tunnel Boring Machines (TBMs) is a complex challenge due to the large scale of the machinery and the numerous operational variables involved. Laboratory-scale tests offer a controlled approach to isolating and analyzing specific wear mechanisms. However, [...] Read more.
Predicting the wear of disc cutters in Tunnel Boring Machines (TBMs) is a complex challenge due to the large scale of the machinery and the numerous operational variables involved. Laboratory-scale tests offer a controlled approach to isolating and analyzing specific wear mechanisms. However, the extremely low wear rates observed in such simulations pose challenges for conventional characterization methods, as gravimetric and profilometric techniques often lack the precision and accuracy needed to measure low wear patterns with an uneven morphology. To address this, this study revisited a methodology for quantifying low wear rates in a reciprocating wear test using AISI H13 tool steel disc cutters. This approach integrates spherical indentation marks as reference points with 3D white-light interferometry, enabling high-precision material loss measurements. Eighteen disc samples were subjected to wear testing, with 3 indentations analyzed per sample, for a total of 54 indentations. The statistical validation confirmed the method’s reproducibility and reliability. The proposed approach provides a robust alternative to existing techniques, addressing a critical gap regarding the accurate quantification of low wear rates in controlled laboratory settings. Full article
(This article belongs to the Special Issue Advances in Optical 3D Metrology)
Show Figures

Figure 1

23 pages, 4348 KB  
Article
Extracellular Vesicles and Tunnelling Nanotubes as Mediators of Prostate Cancer Intercellular Communication
by Jessica K. Heatlie, Joanna Lazniewska, Courtney R. Moore, Ian R. D. Johnson, Bukuru D. Nturubika, Ruth Williams, Mark P. Ward, John J. O’Leary, Lisa M. Butler and Doug A. Brooks
Biomolecules 2025, 15(1), 23; https://doi.org/10.3390/biom15010023 - 27 Dec 2024
Cited by 2 | Viewed by 2554
Abstract
Prostate cancer (PCa) pathogenesis relies on intercellular communication, which can involve tunnelling nanotubes (TNTs) and extracellular vesicles (EVs). TNTs and EVs have been reported to transfer critical cargo involved in cellular functions and signalling, prompting us to investigate the extent of organelle and [...] Read more.
Prostate cancer (PCa) pathogenesis relies on intercellular communication, which can involve tunnelling nanotubes (TNTs) and extracellular vesicles (EVs). TNTs and EVs have been reported to transfer critical cargo involved in cellular functions and signalling, prompting us to investigate the extent of organelle and protein transfer in PCa cells and the potential involvement of the androgen receptor. Using live cell imaging microscopy, we observed extensive formation of TNTs and EVs operating between PCa, non-malignant, and immune cells. PCa cells were capable of transferring lysosomes, mitochondria, lipids, and endoplasmic reticulum, as well as syndecan-1, sortilin, Glut1, and Glut4. In mechanistic studies, androgen-sensitive PCa cells exhibited changes in cell morphology when stimulated by R1881 treatment. Overexpression assays of a newly designed androgen receptor (AR) plasmid revealed its novel localization in PCa cellular vesicles, which were also transferred to neighbouring cells. Selected molecular machinery, thought to be involved in intercellular communication, was investigated by knockdown studies and Western blotting/immunofluorescence/scanning electron microscopy (SEM). PCa TNTs and EVs transported proteins and organelles, which may contain specialist signalling, programming, and energy requirements that support cancer growth and progression. This makes these important intercellular communication systems ideal potential targets for therapeutic intervention. Full article
(This article belongs to the Special Issue Advances in the Pathology of Prostate Cancer)
Show Figures

Graphical abstract

14 pages, 3078 KB  
Article
Quantitative Analysis of Carbon Emissions from Highway Construction Based on Life Cycle Assessment
by Shuohan Gao, Xuexin Liu, Chunying Lu, Haixiao Zhang, Xinjun Wang and Yaping Kong
Sustainability 2024, 16(14), 5897; https://doi.org/10.3390/su16145897 - 10 Jul 2024
Cited by 6 | Viewed by 4085
Abstract
Carbon dioxide (CO2) emissions from the construction of road infrastructure have been of growing interest in recent years. This paper proposes a binary statistical method for highway construction based on project cost control and a construction management system. A quantitative analysis [...] Read more.
Carbon dioxide (CO2) emissions from the construction of road infrastructure have been of growing interest in recent years. This paper proposes a binary statistical method for highway construction based on project cost control and a construction management system. A quantitative analysis of the CO2 emissions from highway construction activities was also conducted to guide the formulation of a carbon reduction strategy. Taking an expressway in central China as a case study, the CO2 emissions from different construction activities were calculated. The results revealed that the CO2 emissions for the whole construction project reached 10,605.2 t·km−1·lane−1, with the raw material production and on-site construction phases accounting for 95.2% and 4.8%, respectively. The values for bridge and tunnel engineering were much higher than those for other engineering types. In the raw material production phase, steel and cement production contributed the most to emissions (more than 99%). During the on-site construction phase, diesel and electricity consumption contributed 90% to CO2 emissions, especially from earthwork, subgrade protection, bridge engineering, tunnel excavation, and pavement surfacing. Accordingly, efforts should be focused on the key points and directed toward using recycled and low-carbon materials and improving working efficiency, machinery performance, and construction technology. Full article
(This article belongs to the Special Issue The Future of Water, Energy and Carbon Cycle in a Changing Climate)
Show Figures

Figure 1

26 pages, 7986 KB  
Article
Experimental Parametric Study on Flow Separation Control Mechanisms around NACA0015 Airfoil Using a Plasma Actuator with Burst Actuation over Reynolds Numbers of 105–106
by Noritsugu Kubo, Sagar Bhandari, Motofumi Tanaka, Taku Nonomura and Hirokazu Kawabata
Appl. Sci. 2024, 14(11), 4652; https://doi.org/10.3390/app14114652 - 28 May 2024
Cited by 3 | Viewed by 1718
Abstract
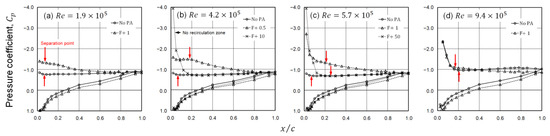
Dielectric barrier discharge plasma actuators (DBD-PAs) have the potential to improve the performance of fluid machineries such as aircrafts and wind turbines by preventing flow separation. In this study, to identify the multiple flow control mechanisms in high Reynolds number flow, parametric experiments [...] Read more.
Dielectric barrier discharge plasma actuators (DBD-PAs) have the potential to improve the performance of fluid machineries such as aircrafts and wind turbines by preventing flow separation. In this study, to identify the multiple flow control mechanisms in high Reynolds number flow, parametric experiments for an actuation parameter F+ with a wide range of Re values (105–106) for NACA0015 airfoil was conducted. We conducted wind tunnel tests by applying a DBD-PA to the flow field around a wing model at the leading edge. Lift characteristics, turbulent kinetic energy in the flow field, shear layer height, and the separation point of the boundary layer were evaluated based on pressure distributions on the wing surface and velocity of the flow field, with the effect of DBD-PA on the post-stall flow around the wing and the mechanism behind the increase in the lift coefficient CL analyzed based on these evaluation results. The following phenomena contributed to the increase in CL: (1) increase in turbulent kinetic energy; (2) increase in circulation; and (3) acceleration of the flow near the leading edge. Thus, this study effectively investigated the dependence of the increase in lift on F+ and the lift-increasing mechanism for a wide range of Re values. Full article
Show Figures

Figure 1

18 pages, 3850 KB  
Article
Study on the Two-Step Construction Method of Super Large Cross-Section Tunnels Crossing Karst Cave Areas
by Fei Wan, Gang Liu, Yifeng Tang, Nian Zhang, Dongliang Xu, Xuehui Yan and Shuai Li
Appl. Sci. 2024, 14(11), 4500; https://doi.org/10.3390/app14114500 - 24 May 2024
Viewed by 1277
Abstract
To explore the solution of the two-step method applied in the rapid construction of super large cross-section tunnels passing through IV-and V-grade surrounding rock sections in karst cave areas, based on an engineering example of the Lianhuashan Tunnel, we use the numerical calculation [...] Read more.
To explore the solution of the two-step method applied in the rapid construction of super large cross-section tunnels passing through IV-and V-grade surrounding rock sections in karst cave areas, based on an engineering example of the Lianhuashan Tunnel, we use the numerical calculation method to analyze the stability of surrounding rock and the design parameters of the control measures for super large cross-section tunnels during the construction of the step method. The calculated results show that the working face of IV-grade surrounding rock can be stabilized by an advanced small pipe, and the stability of the supporting structure should be controlled mainly by IV-grade surrounding rock. In order to control the stability of the tunnel face, it is necessary to use an advanced large pipe shed in the surrounding V-grade rock. The reinforcement range of the advanced large pipe shed is 120° and the length is 20 m. This is the most economical design parameter of the advanced large pipe shed, ensuring the deformation control effect. For control of the stability of the supporting structure, under the condition that the working space is suitable for large machinery, the settlement of the arch of the supporting structure can be obviously reduced by shortening the step cycle footage and reducing the step length, and the peripheral convergence of the supporting structure can be obviously reduced by reducing the step height. After comprehensive analysis and considering the development of karst caves, the advanced support measures, design parameters, bench excavation design parameters, initial support measures, karst cave treatment measures, and bench construction process of IV- and V-grade surrounding rock is determined. The application verification shows that the research results have a good control effect on the stability of the surrounding rock and cave and are suitable for large-scale mechanical operations, which can significantly improve the excavation speed of the super large cross-section tunnel passing through the IV- and V-grade surrounding rock sections in the karst cave area. Full article
(This article belongs to the Special Issue Advances in Tunnel and Underground Construction)
Show Figures

Figure 1

34 pages, 2250 KB  
Review
Extraribosomal Functions of Bacterial Ribosomal Proteins—An Update, 2023
by Leonid V. Aseev, Ludmila S. Koledinskaya and Irina V. Boni
Int. J. Mol. Sci. 2024, 25(5), 2957; https://doi.org/10.3390/ijms25052957 - 3 Mar 2024
Cited by 15 | Viewed by 5310
Abstract
Ribosomal proteins (r-proteins) are abundant, highly conserved, and multifaceted cellular proteins in all domains of life. Most r-proteins have RNA-binding properties and can form protein–protein contacts. Bacterial r-proteins govern the co-transcriptional rRNA folding during ribosome assembly and participate in the formation of the [...] Read more.
Ribosomal proteins (r-proteins) are abundant, highly conserved, and multifaceted cellular proteins in all domains of life. Most r-proteins have RNA-binding properties and can form protein–protein contacts. Bacterial r-proteins govern the co-transcriptional rRNA folding during ribosome assembly and participate in the formation of the ribosome functional sites, such as the mRNA-binding site, tRNA-binding sites, the peptidyl transferase center, and the protein exit tunnel. In addition to their primary role in a cell as integral components of the protein synthesis machinery, many r-proteins can function beyond the ribosome (the phenomenon known as moonlighting), acting either as individual regulatory proteins or in complexes with various cellular components. The extraribosomal activities of r-proteins have been studied over the decades. In the past decade, our understanding of r-protein functions has advanced significantly due to intensive studies on ribosomes and gene expression mechanisms not only in model bacteria like Escherichia coli or Bacillus subtilis but also in little-explored bacterial species from various phyla. The aim of this review is to update information on the multiple functions of r-proteins in bacteria. Full article
Show Figures

Figure 1

16 pages, 33350 KB  
Article
Research on Multi-Sensor Simultaneous Localization and Mapping Technology for Complex Environment of Construction Machinery
by Haoling Ren, Yaping Zhao, Tianliang Lin and Jiangdong Wu
Appl. Sci. 2023, 13(14), 8496; https://doi.org/10.3390/app13148496 - 23 Jul 2023
Cited by 2 | Viewed by 2063
Abstract
Simultaneous localization and mapping (SLAM), as a key task of unmanned vehicles for construction machinery, is of great significance for later path planning and control. Construction tasks in the engineering field are mostly carried out in bridges, tunnels, open fields, etc. The prominent [...] Read more.
Simultaneous localization and mapping (SLAM), as a key task of unmanned vehicles for construction machinery, is of great significance for later path planning and control. Construction tasks in the engineering field are mostly carried out in bridges, tunnels, open fields, etc. The prominent features of these environments are high scene similarity, few geometric features, and large-scale repetitive texture information, which is prone to sensor detection degradation. This leads to positioning drift and map building failure. The traditional method of motion estimation and 3D reconstruction uses a single sensor, which lacks enough information, has poor adaptability to the environment, and cannot guarantee good positioning accuracy and robustness in complex environments. Currently, the strategy of multi-sensor fusion is proven to be an effective solution and is widely studied. This paper proposes a SLAM framework that integrates LiDAR, IMU, and camera. It tightly couples the texture information observed by camera, the geometric information scanned by LiDAR, and the measured value of IMU, allowing visual-inertial odometry (VIO) and LiDAR-inertial odometry (LIO) common implementation. The LIO subsystem extracts point cloud features and matches them with the global map. The obtained pose estimation can be used for the initialization of the VIO subsystem. The VIO system uses direct method to minimize the photometric error and IMU measurement error between images to estimate the pose of the robot and the geometric structure of the scene. The two subsystems assist each other to perform pose estimation, and can operate normally even when any subsystem fails. A factor graph is used to combine all constraints to achieve global pose optimization. Keyframe and sliding window strategies are used to ensure real-time performance. Through real-vehicle testing, the system can perform incremental and real-time state estimation and reconstruct a dense 3D point cloud map, which can effectively solve the problems of positioning drift and mapping failure in the lack of geometric features or challenging construction environments. Full article
(This article belongs to the Special Issue AI Applications in the Industrial Technologies)
Show Figures

Figure 1

21 pages, 2715 KB  
Article
Developing a Model for Analyzing Risks Affecting Machinery Tunnel Execution
by Mohamed A. Eid, Jong Wan Hu and Usama Issa
Buildings 2023, 13(7), 1757; https://doi.org/10.3390/buildings13071757 - 11 Jul 2023
Cited by 3 | Viewed by 1984
Abstract
Tunneling projects face several risks during the execution stage that affect the execution objectives (cost, time, quality, and safety). This study aimed to define the main execution activities of machinery tunnels with the associated risk factors and to develop a model for evaluating [...] Read more.
Tunneling projects face several risks during the execution stage that affect the execution objectives (cost, time, quality, and safety). This study aimed to define the main execution activities of machinery tunnels with the associated risk factors and to develop a model for evaluating and analyzing the effects of the risk factors on the execution stage. The recognized activities of executing tunnels included the following: (A01) thrust and reception shaft installation; (A02) machine setup and break-in; (A03) machine progression and lining placing; and (A04) machine break-out and removal. Additionally, thirty-two risk factors associated with these activities were identified. Risk factor probability of occurrence and impacts on cost, time, quality, and safety were determined. Due to this risky and uncertain environment, the fuzzy logic method was applied for developing a model to analyze the effects of the risks on the tunneling process. The model was applied and verified using data collected in Egypt. Many correlations were determined among risk factors that affected tunneling execution objectives, resulting in close relationships with each other. The results emphasized many significant risk factors, such as “conflict between technical geological report and the ground nature”, and “shaft wall damage during break-out”. A03, which is related to machine progression and lining placing, was declared the riskiest activity group during tunneling execution. Further, safety was rated as the objective most affected by risks. The risk model presented in this study can be modified and applied to other cases, while the results and key risks can support the decision-makers who deal with tunneling construction. Full article
(This article belongs to the Special Issue Advances and Applications in Geotechnical and Structural Engineering)
Show Figures

Figure 1

31 pages, 13279 KB  
Review
Research on the Design and Construction of Inclined Shafts for Long Mountain Tunnels: A Review
by Dongping Zhao, Huaiyu Tu, Qi He and Hua Li
Sustainability 2023, 15(13), 9963; https://doi.org/10.3390/su15139963 - 22 Jun 2023
Cited by 9 | Viewed by 5712
Abstract
In recent years, inclined shafts have been widely used in long mountain tunnels, but the corresponding design and construction technical specifications need to be improved. By means of literature statistics and actual cases, a comprehensive and systematic review is made on the tunnel [...] Read more.
In recent years, inclined shafts have been widely used in long mountain tunnels, but the corresponding design and construction technical specifications need to be improved. By means of literature statistics and actual cases, a comprehensive and systematic review is made on the tunnel profile, lining structure, construction and operation ventilation, construction methods, and machinery of inclined shafts for long mountain tunnels. The results show that: (1) The design of a gentle slope section of an inclined shaft with large longitudinal slope needs to be further improved; (2) When an inclined shaft is only used for ventilation in the operation stage, it is necessary to make full use of the natural wind and eliminate its adverse effects; (3) It is suggested to study the supporting parameters of an inclined shaft in order to realize the standardised design of the supporting parameters; (4) The space of an inclined shaft is narrow, and it has practical demand in improving the automation, intelligence, management, and dispatching level of transport vehicles. In the future, it is an inevitable trend for electric vehicles to replace fuel vehicles. It is necessary to carry out further research on inclined shaft longitudinal slope design, construction and operation ventilation design, and transportation mode. Full article
Show Figures

Figure 1

13 pages, 2918 KB  
Article
Protein Arginine Methyltransferase 5 (PRMT5) Mutations in Cancer Cells
by Shayaan Rasheed, Renee A. Bouley, Ryan J. Yoder and Ruben C. Petreaca
Int. J. Mol. Sci. 2023, 24(7), 6042; https://doi.org/10.3390/ijms24076042 - 23 Mar 2023
Cited by 3 | Viewed by 3235
Abstract
Arginine methylation is a form of posttranslational modification that regulates many cellular functions such as development, DNA damage repair, inflammatory response, splicing, and signal transduction, among others. Protein arginine methyltransferase 5 (PRMT5) is one of nine identified methyltransferases, and it can methylate both [...] Read more.
Arginine methylation is a form of posttranslational modification that regulates many cellular functions such as development, DNA damage repair, inflammatory response, splicing, and signal transduction, among others. Protein arginine methyltransferase 5 (PRMT5) is one of nine identified methyltransferases, and it can methylate both histone and non-histone targets. It has pleiotropic functions, including recruitment of repair machinery to a chromosomal DNA double strand break (DSB) and coordinating the interplay between repair and checkpoint activation. Thus, PRMT5 has been actively studied as a cancer treatment target, and small molecule inhibitors of its enzymatic activity have already been developed. In this report, we analyzed all reported PRMT5 mutations appearing in cancer cells using data from the Catalogue of Somatic Mutations in Cancers (COSMIC). Our goal is to classify mutations as either drivers or passengers to understand which ones are likely to promote cellular transformation. Using gold standard artificial intelligence algorithms, we uncovered several key driver mutations in the active site of the enzyme (D306H, L315P, and N318K). In silico protein modeling shows that these mutations may affect the affinity of PRMT5 for S-adenosylmethionine (SAM), which is required as a methyl donor. Electrostatic analysis of the enzyme active site shows that one of these mutations creates a tunnel in the vicinity of the SAM binding site, which may allow interfering molecules to enter the enzyme active site and decrease its activity. We also identified several non-coding mutations that appear to affect PRMT5 splicing. Our analyses provide insights into the role of PRMT5 mutations in cancer cells. Additionally, since PRMT5 single molecule inhibitors have already been developed, this work may uncover future directions in how mutations can affect targeted inhibition. Full article
(This article belongs to the Section Molecular Genetics and Genomics)
Show Figures

Figure 1

12 pages, 1804 KB  
Article
Smart Quantum Tunneling Composite Sensors to Monitor FKM and FFKM Seals
by Mookkan Periyasamy, Carmen J. Quartapella, Nicholas P. Piacente, Gary Reichl and Brian Lynn
Sensors 2023, 23(3), 1342; https://doi.org/10.3390/s23031342 - 25 Jan 2023
Cited by 4 | Viewed by 4052
Abstract
Operators of industrial machinery relentlessly pursue improving safety, increasing productivity, and minimizing unplanned downtime. Elastomer seals are ubiquitous components of this machinery. In general, static seals are designed to be compressed at a fixed level of compression, taking gland geometry, loading condition, temperature [...] Read more.
Operators of industrial machinery relentlessly pursue improving safety, increasing productivity, and minimizing unplanned downtime. Elastomer seals are ubiquitous components of this machinery. In general, static seals are designed to be compressed at a fixed level of compression, taking gland geometry, loading condition, temperature range of operation, fluid media exposure, and other factors into account to ensure the safe operation of equipment. Over time, seals experience compression set, chemical-induced swelling, erosion, and other phenomena which can compromise the compressive force generated by the seal and cause leaking. This is particularly important in critical applications, where high pressure, high temperature, and aggressive media are present, and fluorinated elastomers are common materials for seals. Further, changes in operating conditions at manufacturing plants, either intentional or through regular process variation, create unknown operating conditions for seals. This unknown and variable application environment makes seal performance hard to predict. Therefore, machinery utilizing seals is, at best, serviced preventatively at certain intervals, where seals are removed, and the remaining useful life of the seal is unknown. This leads to unnecessary machinery downtime and increases consumable costs for manufacturers. In the worst case, the seal is run to failure, creating machinery and plant safety concerns. Both scenarios are undesirable for manufacturers using industrial machinery. This paper reports on the development of “smart” intrinsic self-sensing seals, which enable performance monitoring of the compression behavior of seals while in use. In addition, this paper examines quantum tunneling elastomeric composites (QTC) to demonstrate a method of component performance monitoring by modifying the underlying elastomeric material itself. This paper studies QTC sensor-based fluorinated (FKM) and per-fluorinated (FFKM) compositions, which are modified to incorporate varying levels of carbon nanostructure (CNS) material. The resulting seal’s resistive properties are shown to be a function of the level of compression, the first time this phenomenon has been demonstrated in high-performing FKM and FFKM seal materials. Full article
(This article belongs to the Section Intelligent Sensors)
Show Figures

Figure 1

22 pages, 6578 KB  
Article
Heat Hazard Control in High-Temperature Tunnels: Experimental Study of Coupled Cooling with Ventilation and Partial Insulation for Synergistic Geothermal Extraction
by Junjian Wang, Zijun Li, Gang Li and Yu Xu
Int. J. Environ. Res. Public Health 2023, 20(3), 1941; https://doi.org/10.3390/ijerph20031941 - 20 Jan 2023
Cited by 6 | Viewed by 2910
Abstract
The problem of heat hazard in tunnel engineering has seriously affected the normal work of personnel and machinery. After combining the heat hazard control method of controlling the energy source and blocking the energy transfer, a technical scheme of precise thermal insulation at [...] Read more.
The problem of heat hazard in tunnel engineering has seriously affected the normal work of personnel and machinery. After combining the heat hazard control method of controlling the energy source and blocking the energy transfer, a technical scheme of precise thermal insulation at the working face in concert with geothermal energy extraction is proposed, forming a coupled cooling method of ventilation and partial thermal insulation. By building a scaled model test platform, the temperature field of the working area was analyzed, and the effect of factors, such as with or without a thermal insulation layer, ventilation velocity, and surrounding rock temperature on the cooling limit, was discussed. The feasibility of extracting energy and enhancing cooling through the heat exchange layer was judged. The results show that the partial thermal insulation can effectively weaken the heat dissipation of the surrounding rock and enhance the ventilation and cooling effect, which can reduce the average ventilation limit temperature of the working area by 1.6 °C. The addition of the heat exchange layer can further improve the tunnel environment on the basis of partial insulation, making the cooling limit temperature drop by another 3.1 °C, and the heat exchange layer can work for one year to extract geothermal energy 4.5 × 108 J. The coupled cooling scheme of ventilation and partial thermal insulation is practical and useful, which can provide technical ideas for improving the thermal environment of the tunnel. Full article
(This article belongs to the Topic Energy Efficiency, Environment and Health)
Show Figures

Figure 1

37 pages, 8581 KB  
Review
Water Mist Fire Suppression Systems for Building and Industrial Applications: Issues and Challenges
by Kyle Farrell, Md Kamrul Hassan, Md Delwar Hossain, Bulbul Ahmed, Payam Rahnamayiezekavat, Grahame Douglas and Swapan Saha
Fire 2023, 6(2), 40; https://doi.org/10.3390/fire6020040 - 19 Jan 2023
Cited by 11 | Viewed by 20218
Abstract
Interest in water mist fire suppression has increased within the fire protection industry due to its ability to control the spread and development of fire without using environmentally damaging agents. Water mist fire suppression has been used for many years in various applications [...] Read more.
Interest in water mist fire suppression has increased within the fire protection industry due to its ability to control the spread and development of fire without using environmentally damaging agents. Water mist fire suppression has been used for many years in various applications such as machinery spaces, combustion turbine enclosures, and onboard passenger sea vessels. Now there is a demand to use this firefighting method to protect other fire risks such as cooking areas, commercial buildings, residential buildings, electrical equipment, road tunnels, bushfire (wildland fire) protection, and nuclear power generation facilities. To support this industry demand, this review covers the fundamentals of water mist, its suppression mechanisms, areas of application, existing research and development, and the codes and standards related to design. This comprehensive review provides a clear history of water mist suppression. It is able to identify the issues and challenges related to the technology to help pave the way for future research and development that will improve these systems to a level so that they are suitable for these new applications and meet the industry demand for nontoxic fire suppression systems. Full article
(This article belongs to the Special Issue Advances in Fire Suppression)
Show Figures

Figure 1

Back to TopTop