Sign in to use this feature.

Years

Between: -

Subjects

remove_circle_outline
remove_circle_outline
remove_circle_outline
remove_circle_outline
remove_circle_outline
remove_circle_outline
remove_circle_outline
remove_circle_outline
remove_circle_outline

Journals

Article Types

Countries / Regions

remove_circle_outline
remove_circle_outline
remove_circle_outline
remove_circle_outline
remove_circle_outline

Search Results (285)

Search Parameters:
Keywords = long non-coding H19

Order results
Result details
Results per page
Select all
Export citation of selected articles as:
15 pages, 1012 KB  
Review
H19/miR-675 Axis Promotes Cancer Metastasis by Orchestrating EMT and MET Processes
by Kekely Klouyovo, Xuefen Le Bourhis and Éric Adriaenssens
Cells 2026, 15(8), 658; https://doi.org/10.3390/cells15080658 - 8 Apr 2026
Viewed by 105
Abstract
Despite substantial advances in our understanding of cancer metastasis, it remains the leading cause of mortality among cancer patients. Elucidating the molecular mechanisms that drive metastatic progression is expected to facilitate the development of more effective therapeutic strategies. Among the numerous candidates, the [...] Read more.
Despite substantial advances in our understanding of cancer metastasis, it remains the leading cause of mortality among cancer patients. Elucidating the molecular mechanisms that drive metastatic progression is expected to facilitate the development of more effective therapeutic strategies. Among the numerous candidates, the long non-coding RNA H19 and its derivative miR-675 have been increasingly recognized as key regulators of metastatic dissemination in cancers of diverse tissue origins. In this review, we provide an up-to-date overview of the H19/miR-675 axis in metastatic progression, with particular emphasis on its involvement in the dynamic and complementary processes of epithelial–mesenchymal transition (EMT) and mesenchymal–epithelial transition (MET). We also highlight the opportunity to consider the H19/miR-675 axis as promising biomarkers and potential therapeutic targets. Full article
Show Figures

Figure 1

25 pages, 2149 KB  
Article
Transcriptomic Profiling Identifies TALAM1 and LINC00702 as HIV-1-Responsive lncRNAs in Microglia
by Victoria Rojas-Celis, Catalina Millan-Hidalgo, Izabela Mamede, Isidora Morales-Vejar, Isidora Pittet-Díaz, Diego Fernández-Rodríguez, Paulo P. Amaral, Helder I. Nakaya, Sebastián Reyes-Cerpa, Fernando Valiente-Echeverría, Camila Pereira-Montecinos and Daniela Toro-Ascuy
Int. J. Mol. Sci. 2026, 27(7), 3271; https://doi.org/10.3390/ijms27073271 - 4 Apr 2026
Viewed by 444
Abstract
Microglia, the resident macrophages of the central nervous system (CNS), serve as the primary reservoir of HIV-1 in the brain and play a crucial role in the development of HIV-1-associated neurocognitive disorders (HAND). While long non-coding RNAs (lncRNAs) have emerged as essential regulators [...] Read more.
Microglia, the resident macrophages of the central nervous system (CNS), serve as the primary reservoir of HIV-1 in the brain and play a crucial role in the development of HIV-1-associated neurocognitive disorders (HAND). While long non-coding RNAs (lncRNAs) have emerged as essential regulators of HIV-1 replication in T cells and macrophages, their role in microglia remains poorly understood. Here, we performed RNA sequencing of polyadenylated transcripts from a human microglial cell line exposed to HIV-1 infection or TNF-α stimulation to investigate transcriptional responses and identify lncRNAs with potential regulatory functions. Gene set enrichment analysis revealed broad overlap between viral and inflammatory responses, reflecting convergence on common molecular pathways. Among differentially expressed lncRNAs, we focused on TALAM1, which was specifically induced by HIV-1, and LINC00702, which responded to both HIV-1 and TNF-α. Validation by RT-qPCR confirmed the upregulation of TALAM1 and LINC00702 at 24 h post-infection. Furthermore, knockdown of either lncRNA affected viral genomic RNA levels, while only LINC00702 knockdown affected p55 production. Given that subcellular localization informs lncRNA function, we assessed the distribution of TALAM1 and LINC00702. TALAM1 was predominantly cytoplasmic under basal conditions but shifted toward nuclear enrichment upon HIV-1 infection, whereas LINC00702 remained primarily nuclear regardless of infection status. Consistent with their genomic context, protein interaction predictions, and pathway enrichment analyses suggested that TALAM1 may influence RNA processing and splicing, whereas LINC00702 may contribute to translational regulation and is associated with proteins involved in immune responses. Together, these findings provide an initial characterization of lncRNA responses to HIV-1 infection in a human microglial cell line and identify TALAM1 and LINC00702 as candidates for future functional studies in the context of viral infection and neuroinflammation. Full article
(This article belongs to the Special Issue Molecular Research on Human Retrovirus Infection: 2nd Edition)
Show Figures

Figure 1

22 pages, 610 KB  
Systematic Review
Long Non-Coding RNAs and Micro RNAs in Chronic Kidney Disease: Recent Advances and Future Directions—A 5-Year Systematic Review
by Kanellos Skourtsidis, Despoina Ioannou, Georgios Kiosis, Konstantinos Stergiou, Maria Nefeli Georgaki, Theodora Papamitsou and Sofia Karachrysafi
Life 2026, 16(4), 579; https://doi.org/10.3390/life16040579 - 1 Apr 2026
Viewed by 344
Abstract
Introduction: Chronic Kidney Disease (CKD) is a leading public health problem worldwide, with limited therapeutic options to halt its progression. Recent evidence implicates non-coding RNAs (ncRNAs), specifically long non-coding RNAs (lncRNAs) and microRNAs (miRNAs), as critical regulators in renal pathophysiology and the transition [...] Read more.
Introduction: Chronic Kidney Disease (CKD) is a leading public health problem worldwide, with limited therapeutic options to halt its progression. Recent evidence implicates non-coding RNAs (ncRNAs), specifically long non-coding RNAs (lncRNAs) and microRNAs (miRNAs), as critical regulators in renal pathophysiology and the transition from Acute Kidney Injury (AKI) to CKD. This review aims to synthesize recent findings regarding the role of ncRNAs in CKD pathogenesis, emphasizing their potential as diagnostic biomarkers and therapeutic targets. Methods: A systematic search was conducted in the PubMed/MEDLINE and Scopus databases for original research articles published over the last five years. Studies were selected based on specific eligibility criteria focusing on the correlation of ncRNAs with the development, diagnosis, and therapy of CKD. A total of 14 studies were included in the final review. Results: This review identified a dual landscape of ncRNAs function. Several lncRNAs, including H19, MALAT1, NEAT1_2, and LINC00963, were found to act as pathogenic drivers, promoting inflammation, apoptosis, and fibrosis through pathways such as TGF-β/Smad and NF-κB. Specifically, MALAT1 and NEAT1_2 are pivotal in driving the AKI-to-CKD transition. Conversely, specific miRNAs, such as miR-204, miR-26a, miR-451, miR-101, and miR-486-5p, exhibited protective effects by attenuating oxidative stress, preserving endothelial function, and inhibiting epithelial–mesenchymal transition (EMT). Dysregulation of these molecules was also observed in systemic conditions affecting the kidney, such as congestive heart failure and β-thalassemia. Conclusions: ncRNAs are central players in the molecular mechanisms underlying renal injury and maladaptive repair. The identified lncRNAs and miRNAs offer promising avenues for non-invasive diagnosis and the development of novel targeted therapies to prevent fibrosis and slow the progression of CKD. Full article
(This article belongs to the Special Issue Research Progress in Kidney Diseases)
Show Figures

Figure 1

19 pages, 3768 KB  
Article
CISAT, a CoPP-Induced lncRNA, Improves Cardiac Mesenchymal Progenitor Cell Survival and Myocardial Repair via SFPQ/NRF2/p38 Redox Regulation
by Xiuchun Li, Xiao-Liang Wang, Sofia Lopez, Jill Wang and Chuanxi Cai
Cells 2026, 15(6), 557; https://doi.org/10.3390/cells15060557 - 20 Mar 2026
Viewed by 329
Abstract
Cellular therapy using human cardiac mesenchymal progenitor cells (hMPCs) for regenerative medicine is hindered by poor cell survival and senescence. Long non-coding RNAs (lncRNAs) are critical regulators of cellular processes, yet their role in cardiac aging remains underexplored. Here, lncRNA microarray profiling identified [...] Read more.
Cellular therapy using human cardiac mesenchymal progenitor cells (hMPCs) for regenerative medicine is hindered by poor cell survival and senescence. Long non-coding RNAs (lncRNAs) are critical regulators of cellular processes, yet their role in cardiac aging remains underexplored. Here, lncRNA microarray profiling identified a novel lncRNA, XLOC_002543, upregulated in hMPCs preconditioned with cobalt protoporphyrin (CoPP), which was named CoPP-Induced and SFPQ-Associated RNA Transcript (CISAT) due to its interaction with splicing factor proline and glutamine rich (SFPQ), confirmed via RNA pull-down and immunoprecipitation. CISAT was the only highly expressed transcript among seven lnc-ANKMY1-5 variants in hMPCs, as shown by RT-PCR. Notably, CISAT expression decreased in aging/senescent hMPCs, correlating with elevated p16INK4A, a senescence marker. Overexpression of CISAT reduced p16INK4A levels; enhanced hMPC survival, proliferation, and migration; and increased antioxidant and anti-apoptotic protein expression, while CISAT knockdown reduced resistance to H2O2-induced oxidative stress. In vivo, intramyocardial transplantation of CISAT-overexpressed hMPCs in an immune-deficient murine myocardial infarction model reduced fibrosis, promoted angiogenesis, and preserved cardiac function. Mechanistically, CISAT interacts with SFPQ to regulate NRF2-mediated redox homeostasis and inhibits p38 MAPK phosphorylation, mitigating senescence and enhancing cell survival. These findings suggest that targeting CISAT to modulate redox signaling and p38 MAPK pathways in aging hMPCs could improve their therapeutic efficacy for myocardial repair in heart disease. Full article
(This article belongs to the Special Issue The Role of Oxidative Stress in Cardiovascular Diseases—2nd Edition)
Show Figures

Graphical abstract

22 pages, 5184 KB  
Article
Systematic Identification of the Functional lncRNAs During H7N9 Avian Influenza Virus Infection in Mice
by Guoqing Wang, Zenglei Hu, Xinxin Cai, Shunlin Hu, Min Gu, Xiaoquan Wang, Daxin Peng, Jiao Hu and Xiufan Liu
Viruses 2026, 18(3), 353; https://doi.org/10.3390/v18030353 - 13 Mar 2026
Viewed by 499
Abstract
Accumulating studies have identified the pivotal role of long non-coding RNAs (lncRNAs) in participating in host–virus interactions during virus infections. However, the regulatory roles of lncRNAs in influenza A virus (IAV) infection are still not fully elucidated. In this study, using high-throughput sequencing, [...] Read more.
Accumulating studies have identified the pivotal role of long non-coding RNAs (lncRNAs) in participating in host–virus interactions during virus infections. However, the regulatory roles of lncRNAs in influenza A virus (IAV) infection are still not fully elucidated. In this study, using high-throughput sequencing, we comprehensively compared the expression profiles of lncRNAs and mRNAs in mouse lungs infected either with the nonpathogenic parental (SDL124) H7N9 virus or its moderately pathogenic mouse-adapted (S8) variant. A total of 7636 significantly differentially expressed (SDE) lncRNAs were obtained in the S8-infected group compared to the mock group. As for the SDL124 group, 1042 SDE lncRNAs were identified. Subsequently, the mRNAs co-expressed with SDE lncRNAs were subjected to functional annotation and pathway enrichment analysis. The results indicated that the target mRNAs regulated by the S8 virus were mainly enriched in various immunological processes and exhibited a strong correlation with inflammatory-related signaling pathways. Moreover, 12 lncRNAs and 10 mRNAs co-expressed with SDE lncRNAs were selected and successfully verified by RT-qPCR. Among these lncRNAs, NONMMUG032982.2 and NONMMUG032328.2 exhibited strong antiviral activity against IAV. Additionally, these two lncRNAs were chosen for further in-depth bioinformatics analysis, including transcription factor prediction, coding capacity assessment, genomic location, construction of secondary structure, and prediction of potential interacting proteins. Taken together, these findings provide a cluster of lncRNAs probably associated with the virulence of IAV in mice and shed light on the anti-IAV effects of two functional lncRNAs, establishing a molecular foundation for further exploring the regulatory mechanisms of lncRNAs in IAV infection. Full article
(This article belongs to the Section Animal Viruses)
Show Figures

Figure 1

28 pages, 6250 KB  
Article
Comprehensive Schistosoma mansoni Hierarchical Transcriptome Assembly Points to Novel lncRNAs Associated with Sexual Dimorphism
by Caio Felipe Freire, Thalles Souza-Lopes, Murilo Sena Amaral, Ana Carolina Tahira and Sergio Verjovski-Almeida
Non-Coding RNA 2026, 12(2), 9; https://doi.org/10.3390/ncrna12020009 - 12 Mar 2026
Viewed by 514
Abstract
Background/Objectives: Schistosomiasis is a neglected tropical disease affecting >200 million people worldwide. Praziquantel is the sole recommended drug against Schistosoma mansoni; however, it lacks activity against juvenile forms and cannot prevent reinfection. Thus, there is an urgent need to identify novel therapeutic [...] Read more.
Background/Objectives: Schistosomiasis is a neglected tropical disease affecting >200 million people worldwide. Praziquantel is the sole recommended drug against Schistosoma mansoni; however, it lacks activity against juvenile forms and cannot prevent reinfection. Thus, there is an urgent need to identify novel therapeutic targets. Long noncoding RNAs (lncRNAs) are known to regulate various biological processes in S. mansoni, including parasite pairing and fertility; therefore, screening for novel lncRNAs could reveal new potential targets. Methods: We compiled all publicly available RNA-seq data from the Sequence Read Archive (SRA) and performed a hierarchical transcriptome assembly using the multi-sample assembler Ryūtō, combined with version 10 of the S. mansoni genome. We applied HOMER for peak-calling and identification of histone marks and used weighted gene co-expression network analysis (WGCNA) to infer putative functions of lncRNAs in sexual dimorphism. Results: Using a robust pipeline, we identified 10,170 novel lncRNA genes comprising 16,990 novel lncRNA transcripts, including 8783 intergenic, 7918 antisense, and 289 intronic lncRNA transcripts. Most (78.7%) have histone regulatory marks (H3K4me3, H3K27me3, H3K27ac, or H4K20me1) near their transcription start sites, indicating potential expression regulation. Comparing male and female samples, we identified 1991 differentially expressed genes (FDR < 5%, |log2FC| ≥ 1.5), including 296 known lncRNAs and 339 novel lncRNAs. WGCNA identified hub lncRNAs within co-expression modules, and Gene Ontology enrichment analyses (FDR ≤ 5%) suggest that these lncRNAs are involved in cell differentiation and morphogenesis pathways. Conclusions: We provide a comprehensive catalog of S. mansoni lncRNAs. These findings offer opportunities to discover potential new therapeutic targets, advancing the future development of anti-schistosome therapies. Full article
(This article belongs to the Section Long Non-Coding RNA)
Show Figures

Figure 1

18 pages, 3301 KB  
Article
Long Non-Coding RNA Encoded by Infectious Bronchitis Virus Facilitates Viral Replication via Direct Interaction with G3BP2 and Expression Regulation of a Novel Host MicroRNA
by Mingjing Zhang, Zhichao Cai, Hongliu An, Rong He, Songbai Zhang and Shouguo Fang
Vet. Sci. 2026, 13(3), 215; https://doi.org/10.3390/vetsci13030215 - 25 Feb 2026
Viewed by 320
Abstract
Long non-coding RNAs (lncRNAs) encoded by viruses play crucial roles in viral infection, pathogenesis processes, the interaction between viruses and hosts, and immune escape. Herein, by employing RNA pull-down, mass spectrometry technology, and RNA immunoprecipitation, we identified a host protein (G3BP2) that specifically [...] Read more.
Long non-coding RNAs (lncRNAs) encoded by viruses play crucial roles in viral infection, pathogenesis processes, the interaction between viruses and hosts, and immune escape. Herein, by employing RNA pull-down, mass spectrometry technology, and RNA immunoprecipitation, we identified a host protein (G3BP2) that specifically interacts with the lncRNA encoded by the infectious bronchitis virus (IBV). Additionally, we identified a novel host miRNA (novel-340) in IBV-infected H1299 cells and further verified that novel-340 can target the 3′-UTR (untranslated region) of G3BP2 and downregulate its expression in a dose-dependent manner. We discovered that IBV-lncRNA may facilitate IBV replication in H1299 cells through direct interaction with G3BP2 and/or the regulation of the IBV-lncRNA/novel-340/G3BP2 interactive regulatory network. This work deepens the understanding of the biological function of IBV-lncRNA. Full article
Show Figures

Figure 1

33 pages, 10643 KB  
Article
Deciphering the Biosynthetic Pathways and Regulatory Networks of the Active Components of Cibotium barometz by Transcriptomic Analysis
by Yuli Zhang, Zhen Wang, Minghui Li, Ting Wang and Yingjuan Su
Int. J. Mol. Sci. 2026, 27(4), 2050; https://doi.org/10.3390/ijms27042050 - 22 Feb 2026
Viewed by 608
Abstract
Cibotium barometz (L.) J. Sm., a medicinally significant fern in traditional Chinese medicine, is little explored at the genomic level regarding its bioactive compounds. Using an integrated approach combining Illumina and PacBio sequencing technologies, we profiled its root, rachis, and pinna transcriptomes, identifying [...] Read more.
Cibotium barometz (L.) J. Sm., a medicinally significant fern in traditional Chinese medicine, is little explored at the genomic level regarding its bioactive compounds. Using an integrated approach combining Illumina and PacBio sequencing technologies, we profiled its root, rachis, and pinna transcriptomes, identifying 12,718, 21,341, and 11,441 unigenes, respectively. Our analysis systematically characterized the transcriptional features of transcription factors (TFs), simple sequence repeats (SSRs), long non-coding RNAs (lncRNAs), and differentially expressed genes (DEGs). Enrichment analyses highlighted the roles of highly expressed unigenes in secondary metabolism. Seventeen key enzymes involved in polysaccharide biosynthesis showed tissue-specific expression patterns. Notably, total polysaccharide content correlated positively with UDP-arabinose 4-epimerase (UXE) expression but negatively with phosphoglucomutase (PGM) and 3,5-epimerase/4-reductase (UER1). Flavonoid accumulation inversely correlated with chalcone synthase (CHS) expression. Two lignin pathways (H-lignin and G-lignin) were characterized, with phenylalanine ammonia-lyase (PAL), cinnamate-4-hydroxylase (C4H), and cinnamyl alcohol dehydrogenase (CAD) as key genes. The absence of ferulate-5-hydroxylase (F5H) explains the undetected S-lignin pathway. Regulatory network analysis revealed positive correlations between PAL expression and NAC72/NAC78/WRKY35 and C4H expression and WRKY65/WRKY69/WRKY71, while a negative correlation was revealed between flavonoid 3′,5′-hydroxylase (F3′5′H) and MYB3R4. This study provides comprehensive transcriptomic insights into C. barometz bioactive compound biosynthesis, serving as a foundation for mechanistic research. Full article
(This article belongs to the Section Molecular Genetics and Genomics)
Show Figures

Figure 1

15 pages, 2392 KB  
Article
Upregulation of the lncRNA MEG3 in Metastatic Hepatoblastoma
by Morgan L. Brown, Maryam G. Shaikh, Nazia Nazam, Ali M. Eakes, Pranava Nande, Abdulraheem Kaimari, Joel C. Opara, Jamie M. Aye, Karina J. Yoon and Elizabeth A. Beierle
Cells 2026, 15(4), 361; https://doi.org/10.3390/cells15040361 - 18 Feb 2026
Viewed by 542
Abstract
Hepatoblastoma is the predominant primary liver malignancy in children, and outcomes remain poor for patients with metastatic disease. Long non-coding RNAs (lncRNAs) regulate tumor behavior, but their role in metastatic hepatoblastoma is not well defined. This study investigates the expression and functional significance [...] Read more.
Hepatoblastoma is the predominant primary liver malignancy in children, and outcomes remain poor for patients with metastatic disease. Long non-coding RNAs (lncRNAs) regulate tumor behavior, but their role in metastatic hepatoblastoma is not well defined. This study investigates the expression and functional significance of the lncRNA, maternally expressed gene 3 (MEG3), in a metastatic hepatoblastoma model. RNA sequencing comparing the metastatic hepatoblastoma cell line, HLM_2, with its parental HuH6 cell line identified MEG3 as being significantly upregulated in metastatic cells. MEG3 expression was examined using hepatoblastoma patient datasets and validated using qPCR in cell lines, orthotopic tumors, and COA67 patient-derived xenografts. The effects of siRNA MEG3 knockdown in HLM_2 cells on clonogenicity, migration, and invasion were evaluated. The effects of MEG3 overexpression on migration and invasion were assessed in HuH6 cells. MEG3 was significantly upregulated in metastatic cells and orthotopic tumors compared with controls. MEG3 silencing reduced clonogenicity, tumorsphere formation, migration, and invasion. MEG3 overexpression increased migration and invasion. These findings indicate that MEG3 contributes to an aggressive tumor phenotype, highlighting the need for further examination into its mechanistic role in hepatoblastoma and its potential as a biomarker or therapeutic target. Full article
Show Figures

Figure 1

16 pages, 1851 KB  
Article
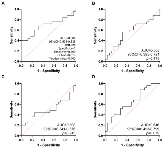
Expression Profiles and Biomarker Potential of Long Non-Coding RNAs H19, NEAT1, MALAT1 and HOTAIR in Locally Advanced Rectal Cancer Patients
by Katarina Eric, Jovana Rosic Stojkovic, Marko Miladinov, Sandra Dragicevic, Goran Barisic, Velimir Markovic and Katarina Zeljic
Int. J. Mol. Sci. 2026, 27(4), 1672; https://doi.org/10.3390/ijms27041672 - 9 Feb 2026
Viewed by 476
Abstract
Locally advanced rectal cancer (LARC) presents a clinical challenge due to lack of reliable molecular biomarkers for early diagnosis, prognosis, and prediction of response to neoadjuvant chemoradiotherapy (nCRT). Long non-coding RNAs (lncRNAs) have emerged as promising candidates due to their characteristics and regulatory [...] Read more.
Locally advanced rectal cancer (LARC) presents a clinical challenge due to lack of reliable molecular biomarkers for early diagnosis, prognosis, and prediction of response to neoadjuvant chemoradiotherapy (nCRT). Long non-coding RNAs (lncRNAs) have emerged as promising candidates due to their characteristics and regulatory roles. H19, NEAT1, MALAT1 and HOTAIR are lncRNAs deregulated in gastrointestinal cancers, with insufficient data on their biomarker potential in LARC. The study aimed to analyze the diagnostic, prognostic and predictive utility of H19, NEAT1, MALAT1 and HOTAIR in LARC. Relative expression was evaluated by RT-qPCR in tumor and non-tumor tissues from 25 LARC patients before and after nCRT. H19, NEAT1, and MALAT1 showed significantly altered expression in tumor tissue, as well as non-tumor tissue before and after nCRT. H19 expression was significantly higher in tumor vs. non-tumor tissue before treatment and demonstrated moderate potential to discriminate between tumor and non-tumor. None of the lncRNAs showed statistically significant predictive values for nCRT response or association with treatment outcomes in our study, which was limited by the small number of responders. Our results suggest that H19 might be considered as a potential therapeutic target in LARC. Further studies with larger patient groups are required to confirm its diagnostic and prognostic utility. Full article
(This article belongs to the Special Issue Colorectal Cancer: From Pathophysiology to Novel Therapies)
Show Figures

Figure 1

19 pages, 2357 KB  
Article
H19 Is a PERK-Regulated Long Non-Coding RNA That Fine-Tunes UPR Signalling and Inhibits Endoplasmic Reticulum Stress-Induced Cell Death
by Wen Liu, Ananya Gupta, Michael Kerin and Sanjeev Gupta
Int. J. Mol. Sci. 2026, 27(4), 1658; https://doi.org/10.3390/ijms27041658 - 8 Feb 2026
Viewed by 631
Abstract
The endoplasmic reticulum (ER) responds to stimuli that disrupts its homeostasis by activating a signalling network known as unfolded protein response (UPR), that restores cellular balance and determines cell fate through three key sensors: inositol-requiring enzyme 1α (IRE1α), activating transcription factor 6 (ATF6), [...] Read more.
The endoplasmic reticulum (ER) responds to stimuli that disrupts its homeostasis by activating a signalling network known as unfolded protein response (UPR), that restores cellular balance and determines cell fate through three key sensors: inositol-requiring enzyme 1α (IRE1α), activating transcription factor 6 (ATF6), and protein kinase RNA-like ER kinase (PERK). Emerging evidence suggests that UPR regulates the expression of numerous long non-coding RNAs (lncRNAs), which play critical roles in maintaining ER homeostasis. Here we show that expression of lncRNA H19 is downregulated in response to ER stress in (MCF7, T47D and 293T) cells. Using genetic and pharmacological approaches, we demonstrate that H19 downregulation is primarily mediated by the PERK arm of the UPR. Specifically, knockdown or chemical inhibition of PERK compromised the ER stress-mediated H19 repression, while PERK activation significantly reduced H19 expression. H19 overexpression promotes the optimal activation of ATF6 and PERK pathways, while it attenuates the signalling by IRE1-XBP1 axis of the UPR. Furthermore, in triple-negative breast cancer (TNBC) cells MDA-MB-231, ectopic H19 provided resistance to ER stress-induced apoptosis. Bioinformatic analyses across multiple breast cancer cohorts revealed that high H19 expression was associated with poor prognosis, particularly in basal-like subtypes. Collectively, our findings show that H19 is downregulated during UPR in a PERK-dependent manner, where H19 in turn modulates UPR signalling and cell fate during conditions of ER stress. Full article
(This article belongs to the Special Issue New Insights into the Molecular Mechanisms of the UPR and Cell Stress)
Show Figures

Figure 1

15 pages, 5041 KB  
Article
Downregulation of the Long Non-Coding RNA KLRK1-AS1 Disturbs Endothelial Barrier Integrity and Promotes Angiogenic Sprouting
by Elisa Weiss, Azra Kulovic-Sissawo, Anke S. van Bergen, Veerle Kremer, Mariana S. Diniz, Carolina Tocantins, Susana P. Pereira, Reinier A. Boon and Ursula Hiden
Life 2026, 16(2), 279; https://doi.org/10.3390/life16020279 - 5 Feb 2026
Viewed by 553
Abstract
Endothelial integrity is essential for cardiovascular health, and circulating endothelial progenitor cells, particularly endothelial colony-forming cells (ECFCs), are key contributors to vascular repair and maintenance. Long non-coding RNAs (lncRNAs) have emerged as novel epigenetic regulators of endothelial physiology and pathology. Building on our [...] Read more.
Endothelial integrity is essential for cardiovascular health, and circulating endothelial progenitor cells, particularly endothelial colony-forming cells (ECFCs), are key contributors to vascular repair and maintenance. Long non-coding RNAs (lncRNAs) have emerged as novel epigenetic regulators of endothelial physiology and pathology. Building on our previous work identifying the lncRNA KLRK1-AS1 as a positive modulator of ECFC wound healing, we aimed to elucidate its role in endothelial biology. Cord blood-derived ECFCs were subjected to siRNA-mediated silencing of KLRK1-AS1, followed by blinded evaluations of monolayer morphology, barrier stability using ECIS impedance measurements, assessments of proliferation, and spheroid-based angiogenic activity. SiRNA-mediated silencing of KLRK1-AS1 induced detectable alterations in ECFC monolayer morphology (p = 0.047), while proliferation remained unaffected. Notably, KLRK1-AS1 knockdown significantly compromised endothelial barrier integrity, resulting in a 44% reduction in impedance after 48 h (p < 0.001), suggesting weakened intercellular contacts. In contrast, loss of KLRK1-AS1 enhanced angiogenic behaviour, demonstrated by an increased number of sprouts (+62%, p = 0.031). Together, these findings indicate that KLRK1-AS1 supports a quiescent, stable endothelial phenotype, with intact barrier function, while its depletion shifts ECFCs toward a more angiogenic, activated state. Our results identify KLRK1-AS1 as a previously unrecognised regulator of endothelial function. Full article
(This article belongs to the Section Physiology and Pathology)
Show Figures

Figure 1

16 pages, 528 KB  
Review
Histological and Genetic Markers of Cellular Senescence in Keratinocyte Cancers and Actinic Keratosis: A Systematic Review
by Piotr Sobolewski, Mateusz Koper, Anna Wasaznik-Jedras, Malgorzata Kolos and Irena Walecka
Int. J. Mol. Sci. 2026, 27(3), 1520; https://doi.org/10.3390/ijms27031520 - 4 Feb 2026
Viewed by 742
Abstract
Cellular senescence is a stress-induced cell-cycle arrest that constrains expansion of ultraviolet-damaged keratinocytes yet can remodel the microenvironment. This systematic review evaluated histological and genetic or epigenetic senescence markers in actinic keratosis (AK), cutaneous squamous cell carcinoma (cSCC), and basal cell carcinoma (BCC). [...] Read more.
Cellular senescence is a stress-induced cell-cycle arrest that constrains expansion of ultraviolet-damaged keratinocytes yet can remodel the microenvironment. This systematic review evaluated histological and genetic or epigenetic senescence markers in actinic keratosis (AK), cutaneous squamous cell carcinoma (cSCC), and basal cell carcinoma (BCC). PubMed, Scopus, and Web of Science were searched (January 2005–May 2025); 34 human studies were included. AK showed an early senescent signature with frequent cyclin-dependent kinase inhibitor p21 (p21CIP1) expression (82.1%) and DNA damage signaling, including phosphorylated histone H2AX (gamma-H2AX) positivity (77%). In invasive cSCC, p21CIP1 fell to 43.9% and tumor suppressor p53 immunoreactivity often declined, whereas cyclin-dependent kinase inhibitor p16 (p16INK4a) commonly accumulated without arrest, including cytoplasmic staining at invasion fronts. Reported escape pathways involved c-Jun N-terminal kinase 2 activity and long noncoding RNA PVT1–dependent repression of p21. Telomerase reverse transcriptase (TERT) promoter mutations were prevalent in cSCC (about 50%) and BCC (up to 78%) but uncommon in AK, consistent with late telomerase activation. Study heterogeneity, variable antibody scoring, and limited assessment of senescence-associated beta-galactosidase and secretory mediators restricted cross-study comparability. Standardized, spatially resolved profiling may refine risk stratification and support senescence-targeted prevention and therapy in keratinocyte cancers. Full article
Show Figures

Figure 1

20 pages, 9366 KB  
Article
An Integrated Analysis of circRNA and lncRNA Expression of Bovine Granulosa Cells Induced by Melatonin Reveals the Pathways Potentially Involved in Follicular Development
by Shujuan Wang, Shiji Zhu, Yukang Wu, Yuhao Zhang, Dengxu Zhu, Huiyu Wang and Wenju Liu
Genes 2026, 17(2), 178; https://doi.org/10.3390/genes17020178 - 31 Jan 2026
Viewed by 427
Abstract
Objective: Accumulating evidence demonstrates that melatonin is involved in modulating granulosa cell function and follicular development. lncRNAs (long non-coding RNAs) and circRNAs (circular RNAs) have been reported to participate in multiple biological processes. This study aimed to explore the candidate circRNAs and [...] Read more.
Objective: Accumulating evidence demonstrates that melatonin is involved in modulating granulosa cell function and follicular development. lncRNAs (long non-coding RNAs) and circRNAs (circular RNAs) have been reported to participate in multiple biological processes. This study aimed to explore the candidate circRNAs and lncRNAs related to molecular mechanisms when exploring the role of melatonin in regulating ovarian function. Methods: Bovine ovary granulosa cells were collected 48 h after treatment with melatonin at 10−7 M. The lncRNA and circRNA profiles of bovine granulosa cells were further explored using high-throughput sequencing in the absence/presence of melatonin. The differentially expressed lncRNAs and circRNAs were analyzed through the annotation information of source transcripts for GO (Gene Ontology) and KEGG (Kyoto Encyclopedia of Genes and Genomes). Results: We identified 99 differentially expressed lncRNAs and 28 differentially expressed circRNAs. Enrichment analysis of differentially expressed lncRNAs and circRNAs showed they were enriched in multiple pathways involved in development, apoptosis, and reproductive function, such as the mTOR (mammalian Target of Rapamycin) signaling pathway, FoxO (Forkhead box O) signaling pathway, MAPK (Mitogen-Activated Protein Kinase) signaling pathway, Hippo signaling pathway, TGF-beta (Transforming Growth Factor-β) signaling pathway, PI3K-Akt (Phosphatidylinositol 3-Kinase-Akt) signaling pathway, apoptosis, and Rap1 (Ras-related protein 1), most of which were mainly related to granulosa cell function and the crosstalk between granulosa cells and oocytes. The present analysis indicated the potential role of melatonin in granulosa cell function by regulating lncRNA and circRNA expression and, thus, mediating follicular development. An lncRNA/circRNA and miRNA regulatory network was also constructed to take their interactions into account. Conclusions: Our study offers details of lncRNA and circRNA expression in bovine granulosa cells and further provides insight into the potential role of melatonin in regulating reproduction by modulating lncRNA and circRNA expression. Full article
(This article belongs to the Special Issue Buffalo Genetics and Genomics)
Show Figures

Figure 1

17 pages, 310 KB  
Review
Detecting Occult Sentinel Node Metastases in HNSCC: The Emerging Role of lncRNAs as Biomarkers and Future Perspectives for USgFNAB Molecular Profiling
by Boštjan Lanišnik, Janez Mohorko and Uroš Potočnik
Cancers 2026, 18(3), 427; https://doi.org/10.3390/cancers18030427 - 28 Jan 2026
Viewed by 366
Abstract
Background: Accurate detection of cervical lymph node metastases is a critical determinant of prognosis and treatment planning in head and neck squamous cell carcinoma (HNSCC). Although ultrasound-guided fine-needle aspiration biopsy (USgFNAB) is widely used as a minimally invasive diagnostic tool, its sensitivity [...] Read more.
Background: Accurate detection of cervical lymph node metastases is a critical determinant of prognosis and treatment planning in head and neck squamous cell carcinoma (HNSCC). Although ultrasound-guided fine-needle aspiration biopsy (USgFNAB) is widely used as a minimally invasive diagnostic tool, its sensitivity for detecting occult metastases remains limited. Current preoperative staging modalities are further constrained by operator dependency and suboptimal specificity in early-stage disease. Integration of molecular diagnostics, particularly the analysis of long non-coding RNAs (lncRNAs), represents a promising strategy to enhance diagnostic accuracy. Objective: This review synthesizes the current evidence on lncRNA expression profiles in HNSCC, with an emphasis on their association with lymph node metastasis and potential application in FNAB-derived material for pre-treatment staging. Methods: A structured literature search was conducted, focusing on studies evaluating lncRNA expression profiles in HNSCC and their relevance to lymph node metastasis, with a particular focus on the feasibility of analysis of USgFNAB samples. Results: Multiple lncRNAs, including HOTAIR, MALAT1, UCA1, TUG1, AFAP1-AS1, H19, MEG3, and ADAMTS9-AS2, have been implicated in metastatic progression through their involvement in diverse mechanisms such as epithelial-to-mesenchymal transition, chromatin remodeling, angiogenesis, and pre-metastatic niche formation. Elevated expression of several of these transcripts correlates with adverse clinicopathological features, including advanced tumor stage, extranodal extension, and reduced survival. However, no studies have profiled lncRNA expression in matched primary tumors and metastatic lymph nodes, and transcriptomic analysis of FNAB samples remains largely unexplored in HNSCC. Conclusions: lncRNAs represent promising molecular biomarkers for enhancing the sensitivity and specificity of USgFNAB in detecting occult cervical metastases. Future research should prioritize paired tumor–node lncRNA profiling, validation of FNAB-based molecular assays, and integration of multi-omics data for predictive modeling. Overall, integrating lncRNA analysis into ultrasound-guided fine-needle aspiration biopsy may enhance the detection of occult nodal metastases in head and neck squamous cell carcinoma and support more accurate nodal staging in clinically node-negative patients. Full article
(This article belongs to the Section Cancer Causes, Screening and Diagnosis)
Show Figures

Graphical abstract

Back to TopTop