Sign in to use this feature.

Years

Between: -

Subjects

remove_circle_outline
remove_circle_outline
remove_circle_outline
remove_circle_outline
remove_circle_outline
remove_circle_outline
remove_circle_outline
remove_circle_outline
remove_circle_outline

Journals

remove_circle_outline
remove_circle_outline
remove_circle_outline
remove_circle_outline
remove_circle_outline
remove_circle_outline
remove_circle_outline
remove_circle_outline
remove_circle_outline
remove_circle_outline
remove_circle_outline
remove_circle_outline
remove_circle_outline

Article Types

Countries / Regions

remove_circle_outline
remove_circle_outline
remove_circle_outline
remove_circle_outline
remove_circle_outline

Search Results (947)

Search Parameters:
Keywords = location of fertilization

Order results
Result details
Results per page
Select all
Export citation of selected articles as:
20 pages, 1445 KB  
Article
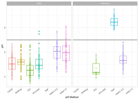
Agricultural Soil pH in Fiji
by Diogenes L. Antille, Xueyu Zhao, Jack C. J. Vernon, Timothy P. Stewart, Maria Narayan, James R. F. Barringer, Thomas Caspari, Peter Zund and Ben C. T. Macdonald
Data 2026, 11(4), 90; https://doi.org/10.3390/data11040090 (registering DOI) - 20 Apr 2026
Viewed by 203
Abstract
Agriculture in the Pacific is driven primarily by small-scale private farmers, many of whom do not have access to soil testing services or advice, nor the means to interpret analytical results into soil management and agronomic recommendations. Soil degradation through the process of [...] Read more.
Agriculture in the Pacific is driven primarily by small-scale private farmers, many of whom do not have access to soil testing services or advice, nor the means to interpret analytical results into soil management and agronomic recommendations. Soil degradation through the process of acidification poses a significant risk to food and income security as it directly threatens crop productivity. The nutritional quality of food crops may also be affected through sub-optimal nutrient uptake by plants and nutrient imbalances. The dataset reported here provides a useful platform for the development of a decision-support tool (DST) that will assist Fiji farmers in understanding and managing soil pH and soil acidity. The DST will enable making informed decisions about liming to help correct soil pH. To support this development, historical soil pH data available from the Pacific Soils Portal were combined with updated analyses of agricultural soils from 17 locations in Viti Levu Island (Fiji) collected during a field campaign undertaken in August 2025. The soils were sampled at two depth intervals (0–15 and 15–30 cm) and analyzed for pH using a variety of methods. These methods included direct field measurements using a portable pH-meter as well as traditional laboratory determinations. Of the soils sampled, it was found that most soils exhibited pH levels below 7, which were observed for both depth intervals. Across all samples taken in 2025, it was found that 54.3% of them had soil pH < 5, 38.6% had soil pH between 5 and 6, and 7.1% had pH > 6 (based on soil pH1:5 soil-to-water method). Depending upon specific land uses, climate and cropping intensity, it was recommended that routine liming be built into soil fertility management programs to help farmers overcome soil acidity-related constraints to production. Liming frequency, timing of application and application rate will need to be determined for specific soil and cropping situations; however, it was suggested that soil pH was not changed by more than 1 unit each time lime was applied. Such an approach should reduce the risk of soil organic matter loss through accelerated mineralization, which would be challenging to restore in that environment if soils remained under continuous cropping. The analytical information contained in this article expanded and updated the datasets available in the Pacific Soils Portal. Furthermore, this work provided an opportunity to build analytical expertise in aspects of soil chemistry at local organizations to support academic and extension activities as well as the ongoing development of the Pacific Soils Portal. Full article
(This article belongs to the Section Spatial Data Science and Digital Earth)
Show Figures

Figure 1

13 pages, 1208 KB  
Article
Natural Factors Driving Yield Variability of Camelina sativa L. Crantz and Brassica carinata L. Brown Yield on Sandy-Textured Soils—Case Study from Poland
by Bartłomiej Glina, Danuta Kurasiak-Popowska, Tomasz Piechota, Monika Grzanka, Sylwia Mikołajczyk, Agnieszka Tomkowiak, Kinga Stuper-Szablewska and Katarzyna Rzyska-Szczupak
Agriculture 2026, 16(8), 906; https://doi.org/10.3390/agriculture16080906 - 20 Apr 2026
Viewed by 314
Abstract
Climate change-induced variability in temperature and precipitation increasingly constrains crop production on sandy-textured soils with low water-holding capacity and limited nutrient retention. Such soils, classified as Brunic Arenosols, are widespread across the temperate climate zone of Central Europe, particularly in post-glacial landscapes, where [...] Read more.
Climate change-induced variability in temperature and precipitation increasingly constrains crop production on sandy-textured soils with low water-holding capacity and limited nutrient retention. Such soils, classified as Brunic Arenosols, are widespread across the temperate climate zone of Central Europe, particularly in post-glacial landscapes, where they constitute a significant proportion of marginal agricultural lands. This study evaluated the relative influence of growing-season weather conditions and selected soil physicochemical properties on the yield of Camelina sativa and Brassica carinata cultivated under low-input management on Brunic Arenosols in northwestern Poland during the 2023 season. Yields varied markedly among sites. Camelina sativa produced yields from 300 to 930 kg ha−1, with the highest yield recorded at the site characterized by higher BS and phosphorus availability. Brassica carinata produced yields from 0 to 370 kg ha−1, including complete yield loss at one location due to severe pathogen infestation. Spearman’s correlation analysis revealed that temperature was a key determinant for both crops (r = 0.77 for C. sativa; r = 0.82 for B. carinata). For Camelina sativa, yield was strongly associated with BS (r = 0.80) and available P (r = 0.69), whereas Brassica carinata was more sensitive to climatic variability, showing a negative relationship with precipitation (r = −0.63). The results indicate species-specific responses to soil fertility and weather conditions under water- and nutrient-limited conditions typical of Central European sandy soils. While Camelina sativa performance was more closely linked to soil chemical status, Brassica carinata appeared predominantly climate-driven. These findings highlight the broader relevance of the study for temperate regions of Central Europe and support the integration of soil fertility management with climate-adaptive strategies when introducing alternative oilseed crops to marginal lands. Full article
(This article belongs to the Section Agricultural Soils)
Show Figures

Figure 1

15 pages, 1859 KB  
Article
Nutrition of Shade-Grown Coffee Plantations with Inorganic Fertilizers in Oaxaca, Mexico
by Miguel A. Cano-García, Verónica Mariles-Flores, Patricio Sánchez-Guzmán, Luis E. García-Mayoral, Rafael Ariza-Flores, Pedro Cadena-Iñiguez and Luis A. Gálvez-Marroquín
Plants 2026, 15(8), 1210; https://doi.org/10.3390/plants15081210 - 15 Apr 2026
Viewed by 399
Abstract
Coffee (Coffea arabica) is a very important world commodity because of the countries involved in its production, along with the total cultivated area, production volume, consumption and economic impact. In Mexico, the coffee producing areas are located mainly in the hilly [...] Read more.
Coffee (Coffea arabica) is a very important world commodity because of the countries involved in its production, along with the total cultivated area, production volume, consumption and economic impact. In Mexico, the coffee producing areas are located mainly in the hilly terrain of southern Mexico under agroforestry systems predominantly owned by smallholders. Low productivity is faced especially in the state of Oaxaca as a result of inadequate management practices such as aged plantations and deficient practices of pruning and plant nutrition. In order to evaluate the effect of inorganic fertilization on coffee yield, an experiment was carried out at three plantations located in the coastal coffee producing region of the state of Oaxaca, Mexico. Six treatments considering varied amounts of inorganic nitrogen (N), phosphorus (P) and potassium (K) and lime application were applied in coffee plantations with the varieties Typica and Oro azteca. A randomized complete block design with four replications was used. The experiments were conducted in areas with three- or four-year-old plants, with the objective of having at least one harvest for yield evaluation. The variables’ plant height and coffee yield per plant were registered. The soil was classified based on soil profile description and lab analyses. The results showed that the soil in the study area is a Lithic Ustorthent with low pedogenic evolution and the application of inorganic nitrogen, phosphorus and potassium along with dolomitic lime, increased coffee yield on both varieties of arabica coffee: Typica and Oro azteca. Full article
Show Figures

Figure 1

20 pages, 3635 KB  
Article
Microbial Bio-Inoculation Effects on the Seed Germination Dynamics and Field Performance of Pea (Pisum sativum L.) Under Osmotic Stress and Fertilization in the Amazonas Region of Peru
by Francisco Guevara-Fernández, Sebastian Casas-Niño, Milagros Ninoska Munoz-Salas, Wagner Meza-Maicelo, Manuel Oliva-Cruz and Flavio Lozano-Isla
AgriEngineering 2026, 8(4), 155; https://doi.org/10.3390/agriengineering8040155 - 10 Apr 2026
Viewed by 312
Abstract
Microbial bio-inoculants have been proposed as management tools to enhance crop performance under variable environmental conditions; however, their effectiveness is often influenced by site-specific factors. This study evaluated the effects of bio-inoculation on seed germination and seedling vigor of pea under osmotic stress [...] Read more.
Microbial bio-inoculants have been proposed as management tools to enhance crop performance under variable environmental conditions; however, their effectiveness is often influenced by site-specific factors. This study evaluated the effects of bio-inoculation on seed germination and seedling vigor of pea under osmotic stress induced by polyethylene glycol (PEG 6000), and its interaction with two fertilization levels (75% and 100% of the recommended dose) under field conditions in the Amazonas region of Peru. Under laboratory conditions, germination percentage remained high across all treatments (93.3–100%) and was not affected by bio-inoculation or osmotic potential; however, osmotic stress altered germination dynamics, increasing mean germination time from 1.85–2.09 days at 0 MPa to 2.26–2.43 days at −0.8 MPa, while germination synchrony and seedling vigor decreased as stress increased. The seedling vigor index reached maximum values at −0.2 MPa (4.47–5.29) and declined at −0.8 MPa (1.50–2.00), and multivariate analyses showed that variation in germination responses was mainly associated with germination timing and vigor rather than seed viability. Under field conditions, no significant effects of fertilization level, microbial bio-inoculation, or their interaction were detected on agronomic traits or yield, although variability between locations was observed; plant height ranged from 38.5–46.3 cm in Lamud and from 100.6–108.3 cm in Molinopampa, while grain yield varied from 698–1846 kg/ha and 8771–9919 kg/ha, respectively. Overall, environmental conditions exerted a stronger influence than microbial bio-inoculation on germination dynamics and field productivity, while the findings provide practical guidance for improving pea production with bio-inoculants and optimized fertilization. Full article
(This article belongs to the Section Sustainable Bioresource and Bioprocess Engineering)
Show Figures

Figure 1

22 pages, 1621 KB  
Article
Mixed-Methods Evaluation of the Delivery of Cancer Care to Teenagers and Young Adults in England and Wales: BRIGHTLIGHT_2021
by Rachel M. Taylor, Elysse Bautista-Gonzalez, Julie A. Barber, Jamie Cargill, Rozalia Dobrogowska, Richard G. Feltbower, Laura Haddad, Nicolas Hall, Maria Lawal, Martin G. McCabe, Sophie Moniz, Louise Soanes, Dan P. Stark, Bethany Wickramasinghe, Cecilia Vindrola-Padros and Lorna A. Fern
Curr. Oncol. 2026, 33(4), 211; https://doi.org/10.3390/curroncol33040211 - 10 Apr 2026
Viewed by 278
Abstract
Background: Healthcare policy in the United Kingdom recognizes that teenagers and young adults (TYAs: 16–24 years at diagnosis) require specialist care. In England, Principal Treatment Centers (PTCs) exist, delivering enhanced care exclusively within the PTC or as ‘joint care’ with designated hospitals (DHs). [...] Read more.
Background: Healthcare policy in the United Kingdom recognizes that teenagers and young adults (TYAs: 16–24 years at diagnosis) require specialist care. In England, Principal Treatment Centers (PTCs) exist, delivering enhanced care exclusively within the PTC or as ‘joint care’ with designated hospitals (DHs). Central to this is the TYA multidisciplinary team (MDT) and an outreach model coordinating care between hospitals. We previously reported similar outcomes regardless of care location. Aims: To compare TYA experiences of care with healthcare professionals’ perspectives of the service they deliver. Methods: Mixed methods across England and Wales were used. The TYA-MDT identified TYAs who then received a postal invite to a cross-sectional survey capturing experiences of places of care, treatment, healthcare professional support (HCP), mental health, sexuality/fertility, clinical trials and care coordination. Comparisons were made based on exposure to care in a specialist TYA environment within 6 months of diagnosis: all-TYA-PTC (all care in the TYA-PTC, n = 70, 28%), no-TYA-PTC (no care in the TYA-PTC (n = 87, 35%): care delivered in a children/adult unit only), and joint care (care in a TYA-PTC and in a children’s/adult unit, n = 91, 36%). HCP perspectives were captured by rapid ethnography. Results: A total of 250/1056 (24%) TYAs participated. Overall, 200 (80%) rated their teams as excellent/good for helping them prepare for treatment. No evidence of significant differences existed between categories of care for proportions receiving support from key TYA-related professionals: TYA cancer nurse specialists (all-TYA-PTC n = 58, 91%; joint care n = 71, 88%; no-TYA-PTC n = 64, 82%) and social workers (all-TYA-PTC n = 30, 55%; joint care n = 36, 48%; no-TYA-PTC n = 28, 38%). A trend of diminishing support from youth support co-coordinators existed (all-TYA-PTC 63%; joint care 49%; no-TYA-PTC 40%, p = 0.069). This may explain why few differences in patient experiences existed across categories of care. Forty-nine HCPs participated. They were more critical in their interpretation of care, highlighting inequity in resources and challenges in some pathways and coordination. Conclusions: Similar access to age-appropriate support across care settings is likely to reflect recruitment methods. When TYAs are known to the MDT, age-appropriate care can be mobilized beyond TYA units, which could explain the equitable outcomes observed across different care locations in young people who responded to the survey. Nevertheless, gaps persist in communication and coordination, particularly within joint care models, and in the involvement of allied health professionals such as dieticians and physiotherapists, whose input is essential for rehabilitation and return to normal life. Strengthening these areas will require continued investment in workforce capacity and digital infrastructure to support genuinely coordinated, developmentally appropriate TYA cancer care. Full article
(This article belongs to the Section Childhood, Adolescent and Young Adult Oncology)
Show Figures

Figure 1

18 pages, 452 KB  
Article
Assessing Nitrogen Use Efficiency Among Seasons, Rice Varieties and Soils of Bangladesh
by Md. Mosaraf Hossain, Md. Abdul Kader, M. Jahiruddin, Shamim Mia, Ahmed Khairul Hasan and Abu Zofar Md. Moslehuddin
Nitrogen 2026, 7(2), 42; https://doi.org/10.3390/nitrogen7020042 - 9 Apr 2026
Viewed by 208
Abstract
Understanding the factors controlling nitrogen use efficiency (NUE) in paddy soil is essential for optimizing the application of relatively costly nitrogen (N) fertilizer for rice cultivation. Therefore, an experiment was conducted to assess the seasonal variation in NUE among three Aus, five Aman, [...] Read more.
Understanding the factors controlling nitrogen use efficiency (NUE) in paddy soil is essential for optimizing the application of relatively costly nitrogen (N) fertilizer for rice cultivation. Therefore, an experiment was conducted to assess the seasonal variation in NUE among three Aus, five Aman, and three Boro rice varieties at the Bangladesh Agricultural University (BAU) farm during the Aus, Aman, and Boro cropping seasons. In addition, the variation in the NUE of rice was assessed among eight soil series throughout Bangladesh during the Boro season. The experiment included N control and N application at the recommended rates. The results showed that BRRI dhan48 outperformed the other varieties in the Aus season, with the maximum agronomic efficiency (AE). In contrast, BRRI dhan65 was better in terms of physiological efficiency (PE), whereas BRRI dhan42 showed the lowest AE. Throughout the Aman period, BR11 exhibited the best AE and PE. During the Boro season, BRRI dhan29 and BINA dhan-6 demonstrated the maximum AE, PE, and apparent recovery efficiency (ARE). Grain yield, nitrogen response, AE, and ARE were markedly higher in the Boro season than in the Aus and Aman seasons. Among the eight locations, the highest grain yield of BINA dhan-7 in the Aman season was recorded in the Noadda soil series, followed by Barisal and Sara, with an AE extended from 11 to 19 kg grain kg/N applied, PE from 31 to 61 kg grain kg/N uptake, and ARE from 21% to 41%. These findings highlight the significant variability in NUE among rice varieties, seasons and soil series, suggesting the importance of variety, location and season-specific N management. Full article
(This article belongs to the Special Issue Nitrogen Management in Plant Cultivation)
15 pages, 1754 KB  
Article
Soil Fertility and Carbon Stocks in Cacao (Theobroma cacao L.) Production Systems Under Acid Soils
by Andrés Felipe Góngora-Duarte, Francisco José Morales-Espitia, Juan Manuel Trujillo-González, Marco Aurelio Torres-Mora and Raimundo Jimenez-Ballesta
Land 2026, 15(4), 607; https://doi.org/10.3390/land15040607 - 7 Apr 2026
Viewed by 498
Abstract
Soil organic carbon (SOC) stocks in cacao agroecosystems are characterized by accumulating large amounts. They depend on the balance between organic matter inputs (plant residues, roots) and losses (decomposition, erosion), being closely related to climatic conditions, soil nature, vegetation type, topography, and land [...] Read more.
Soil organic carbon (SOC) stocks in cacao agroecosystems are characterized by accumulating large amounts. They depend on the balance between organic matter inputs (plant residues, roots) and losses (decomposition, erosion), being closely related to climatic conditions, soil nature, vegetation type, topography, and land management practices. The objective of this study was to quantify SOC stocks (0–30 cm) and assess key soil fertility indicators across 107 georeferenced sampling locations in cacao production systems of Guamal (Meta, Colombian Llanos Piedmont). Soil pH varies between extremely acidic and moderately acidic (3.8–6.0; mean 4.57), while available P (Bray II) and exchangeable bases showed low concentrations. Organic carbon concentration averaged 1.18% and bulk density averaged 1.17 g cm−3. SOC stocks averaged 41.10 Mg C ha−1, ranging from 7.49 to 81.55 Mg C ha−1, evidencing marked spatial contrasts in carbon storage. Spearman correlations highlighted coupled soil chemical controls, including positive associations of pH with Ca2+ and P availability and strong negative associations of pH and P with exchangeable Al3+, consistent with acidity-driven fertility constraints. Principal component analysis (PCA) further identified a dominant fertility gradient structured by pH, P availability, and Ca2+, and a second axis related to organic carbon and cation retention. Spatial modeling using inverse distance weighting (IDW) in ArcGIS supported the visualization of SOC stock variability across the study area. Overall, the results indicate that SOC stocks in these predominantly sandy soils are strongly influenced by acidity-related constraints and heterogeneous nutrient status, underscoring the need for site-specific management to jointly enhance soil fertility and climate-mitigation potential in cacao systems. Therefore, it would be advisable in the future to address the study of differential variations in soil C storage related to chemical fertilizer application rates, especially in the long term. Full article
Show Figures

Figure 1

25 pages, 2826 KB  
Article
Root-Zone Microbiome Responds to Organic Mulch Cover by Reducing Fungal Pathogen Load and Boosting Tree Establishment in High-Density Apple Orchards
by Hazem Sharaf, Mark Williams and Gregory Peck
Agronomy 2026, 16(7), 762; https://doi.org/10.3390/agronomy16070762 - 5 Apr 2026
Viewed by 525
Abstract
High-density apple (Malus domestica Borkh.) orchards yield fruits as early as three years after planting but nutrient inputs and availability are paramount to a successful orchard; sustainable practices that balance tree growth and production with environmental concerns are not widely available. In [...] Read more.
High-density apple (Malus domestica Borkh.) orchards yield fruits as early as three years after planting but nutrient inputs and availability are paramount to a successful orchard; sustainable practices that balance tree growth and production with environmental concerns are not widely available. In this three-year study, we implemented a split-plot design in three orchards across the Mid-Atlantic region of the USA to evaluate integrated soil management approaches that combine locally sourced carbon-based organic mulch with fertilizers on rhizosphere microbes and tree growth. Bacterial and fungal communities were sampled at the end of the first and third growing seasons in addition to soil and tree-related physicochemical properties. Mulch treatment showed the most significant effect on both the bacterial and fungal groups. Most of these changes reflect the increase in soil organic matter and the increase in carbon cycling. Sequence variants belonging to Flavobacteria and Cytophaga were enriched by the mulch application. A key result from this project is the suppression of the relative abundance of potential soil-borne plant fungal pathogens in all orchards in all years. Additionally, arbuscular mycorrhizal fungi were enriched under the mulch treatment. Microbial shifts accompanying the mulch treatments supported higher trunk cross-sectional areas by the third sampling year that increased by 33.5%. Fertilizer treatments had less pronounced effects on microbial communities. These results highlight the potential for using sustainable, integrated nutrient management strategies to promote healthy orchard soils and support vigorous tree growth while reducing fungal pathogens. Our work will contribute to regional and location-specific fertilizer recommendations for apple producers. Full article
(This article belongs to the Section Soil and Plant Nutrition)
Show Figures

Figure 1

23 pages, 7175 KB  
Article
Use of Amendments and Microorganisms to Recover Marginal Soils in Pecan Tree Cultivation
by Yair Palma-Rosas, Nubia Guadalupe Torres-Beltran, Ramona Pérez-Leal, Laura Raquel Orozco-Melendez, Omar Castor Ponce-García and Juan Manuel Soto-Parra
Agrochemicals 2026, 5(2), 17; https://doi.org/10.3390/agrochemicals5020017 - 1 Apr 2026
Viewed by 301
Abstract
In Mexico, pecan (Caria illinoienensis Wangenh K. Koch) cultivation is considered a primary agricultural activity of great importance, particularly in the state of Chihuahua. Due to the region’s climatic conditions, the soils used for this crop present several limitations that may restrict [...] Read more.
In Mexico, pecan (Caria illinoienensis Wangenh K. Koch) cultivation is considered a primary agricultural activity of great importance, particularly in the state of Chihuahua. Due to the region’s climatic conditions, the soils used for this crop present several limitations that may restrict their agricultural use, as they often exhibit low or null fertility, classifying them as marginal soils. However, these soils can be rehabilitated through appropriate management practices. Among the main recovery strategies are the application of mineral and organic amendments and the use of plant-growth-promoting microorganisms, all of which are considered environmentally friendly alternatives. Therefore, the objective of this study was to identify the types of mineral and organic amendments suitable for the recovery of marginal soils in the agronomic management of pecan cultivation. This study was conducted in the San Cristóbal pecan orchard, located in the municipality of Jiménez, Chihuahua, using a 56 factorial design, reduced to 25 treatments through the Taguchi L25 method. Statistical analysis was performed using response surface methodology, and the evaluated parameters included basic, physical, fertility, and cation-exchange properties of the soil. The results showed that zeolite (19.30 t ha−1) and calcium carbonate (12.70 t ha−1) were amendments that produced the greatest effect on the evaluated parameters. The use of these amendments can significantly complement annual fertilization programs, contributing to meeting the crop’s nutritional demands under a sustainable management approach for pecan production. Full article
(This article belongs to the Topic Soil Health and Nutrient Management for Crop Productivity)
Show Figures

Figure 1

23 pages, 3693 KB  
Article
Spatial Assessment of Soil Properties and Soil Quality Dynamics (SFI and SQI) on Hainan Island Using Field Observations and Remote Sensing Data
by Di Zeng, Kashif Ali Solangi, Farheen Solangi, Xiqiang Song, Muhammad Anwar, Lei Liu, Jinling Zhang and Dongming Zhang
Agriculture 2026, 16(7), 762; https://doi.org/10.3390/agriculture16070762 - 30 Mar 2026
Viewed by 505
Abstract
Soil salinity and nutrient availability are major constraints affecting crop productivity, soil quality, and agroecosystem sustainability, particularly in coastal regions vulnerable to seawater intrusion. This study provides a comprehensive spatial and temporal assessment of soil properties and quality dynamics on Hainan Island by [...] Read more.
Soil salinity and nutrient availability are major constraints affecting crop productivity, soil quality, and agroecosystem sustainability, particularly in coastal regions vulnerable to seawater intrusion. This study provides a comprehensive spatial and temporal assessment of soil properties and quality dynamics on Hainan Island by integrating field observations and multi-temporal remote sensing (RS) datasets. In 2024, a total of 152 sampling sites were surveyed, with three topsoil soil samples collected at each location. Multi-year RS data (2024–2021), including soil salinity reflectance indices (SRSI and SI), the Normalized Difference Vegetation Index (NDVI), and land use and land cover (LULC), were analyzed to evaluate temporal and spatial variability. The soil fertility index was calculated using alkali-hydrolyzed nitrogen (AN), available phosphorus (AP), available potassium (AK), soil pH, and soil organic matter (SOM). The soil quality index was calculated using the same parameters with the addition of chromium (Cr) to account for potential heavy metal contamination. Furthermore, in this study the Inverse Distance Weighting (IDW) method was used for spatial distribution maps of soil properties and other indices. The results indicated that soils were predominantly acidic (pH < 6.0) with generally low electrical conductivity (0.01–0.53 mS cm−1) across inland areas, whereas higher salinity levels (2.28–5.31 mS cm−1) were observed in southern and eastern coastal zones, suggesting potential seawater intrusion. Nutrient concentrations ranged from 60.1 to 150 mg kg−1 (AN), 4 to 332 mg kg−1 (AP), and 50.1 to 100 mg kg−1 (AK). NDVI values (0.70–0.94) indicated high vegetation density over most agricultural landscapes. Significant positive correlations were observed between soil EC and the SRSI (r = 0.781) and SI (r = 0.663; p < 0.01), demonstrating the reliability of RS-derived indices for salinity assessment. The integrated indicator-based framework developed in this study provides a scientific basis for precision agriculture, soil health monitoring, and sustainable land management in coastal agroecosystems. Full article
(This article belongs to the Section Artificial Intelligence and Digital Agriculture)
Show Figures

Figure 1

24 pages, 1427 KB  
Article
Regional Differentiation of Precision Agriculture in Poland—Economic Aspects and Limitations of Its Development
by Elżbieta Jadwiga Szymańska, Andrzej Krasnodębski and Aleksandra Bilik
Sustainability 2026, 18(7), 3342; https://doi.org/10.3390/su18073342 - 30 Mar 2026
Viewed by 338
Abstract
Modern agriculture must combine profitability with environmental protection and food safety by using advanced knowledge and continuously introducing new technologies. The study aimed to evaluate the diversification of precision farming in Poland and identify limitations to its development. The study used literature reviews [...] Read more.
Modern agriculture must combine profitability with environmental protection and food safety by using advanced knowledge and continuously introducing new technologies. The study aimed to evaluate the diversification of precision farming in Poland and identify limitations to its development. The study used literature reviews and two secondary data sources: the Local Database of the Central Statistical Office (GUS) regarding the share of farms using precision farming solutions by voivodeship and the nationwide precision farming survey conducted by the Polish Space Industry Foundation. The survey included 432 agricultural producers from across Poland. Data analysis utilized descriptive statistics, comparative analysis, cluster analysis, and a chi-squared (χ2) test. Existing research shows that advanced precision farming technologies in Poland have been implemented only on a limited number of farms. This is due to limited knowledge among agricultural producers, the small scale of production on most farms, and high investment costs. These technologies include equipping farms with sprayers for strip application of plant protection products during sowing or planting, precision irrigation or weed control, variable-dose fertilizers or plant protection products, and soil sampling for analysis. The use of precision farming technologies varies regionally. They are primarily used on large farms located in western and northern Poland. The study’s results may be helpful to decision-makers in agricultural policy and to agricultural producers. Full article
(This article belongs to the Section Sustainable Agriculture)
Show Figures

Figure 1

9 pages, 1092 KB  
Case Report
Mature Teratoma of the Uterus Removed with the IBS® Integrated Bigatti Shaver: Case Report and Review of the Literature
by Xiaoxiao Hu, Yanhua Zheng, Shanni Guo, Kaili Wang and Xia Yin
J. Clin. Med. 2026, 15(7), 2587; https://doi.org/10.3390/jcm15072587 - 28 Mar 2026
Viewed by 430
Abstract
Background/Objectives: Teratomas are the most common germ cell tumors, occurring mainly in the gonads. Extragonadal germ cell teratomas (EGGCTs) are less common but can develop anywhere along the midline structures, with uterine location being extremely rare. On an ultrasound, uterine teratomas are [...] Read more.
Background/Objectives: Teratomas are the most common germ cell tumors, occurring mainly in the gonads. Extragonadal germ cell teratomas (EGGCTs) are less common but can develop anywhere along the midline structures, with uterine location being extremely rare. On an ultrasound, uterine teratomas are frequently misinterpreted as polyps or myomas. Case Presentation: We report a 27-year-old asymptomatic woman who was diagnosed with a mature uterine teratoma originating from the lower uterine segment and extending to the cervix. We treated this patient with the IBS® Integrated Bigatti Shaver. This is the first reported case of the IBS® being used to remove uterine teratomas. At follow-up, the patient recovered uneventfully and subsequently achieved a successful term pregnancy. Conclusions: Preoperative MRI is recommended for uterine teratomas. The IBS® technique offers an effective and fertility-preserving approach for excising uterine teratomas, providing rapid procedure, superior visualization, and the prevention of tumor dissemination. In this report, we discuss the mechanism, diagnosis, and treatment of teratomas and review the previous literature. Full article
Show Figures

Figure 1

29 pages, 6500 KB  
Article
Long-Term Effects of the Combined Application of Organic and Inorganic Fertilizers on Soil Fertility, Structural Stability, and Rice Productivity in Cool Rice-Growing Regions of Northeast China
by Yuwei Xin, Benqi Yue, Xin Zhao, Shanlong Li, Tao Li, Jian Ren, Yutong Li, Yutong Yang, Wenze Li, Kokyo Oh, Tiehua Cao and Xuanhe Liang
Plants 2026, 15(7), 993; https://doi.org/10.3390/plants15070993 - 24 Mar 2026
Viewed by 485
Abstract
To investigate the long-term effects of combined organic and inorganic fertilizer application on the structural stability and fertility of soil in paddy fields located in the cool northeastern region of China, a long-term fixed-site experiment was initiated in 2017. The experiments included the [...] Read more.
To investigate the long-term effects of combined organic and inorganic fertilizer application on the structural stability and fertility of soil in paddy fields located in the cool northeastern region of China, a long-term fixed-site experiment was initiated in 2017. The experiments included the following five treatments: 100% conventional chemical fertilizer NPK (CK), conventional PK fertilizer without N fertilizer (T1), 30% organic N and 70% chemical N fertilizers with conventional PK fertilizer (T2), 50% organic N and 50% chemical N fertilizers with conventional PK fertilizer (T3), and 100% organic N fertilizer (T4). Notably, the total amount of fertilizer applied remained consistent across treatment groups. The results revealed that the combination of organic and inorganic fertilizers significantly increased rice yields and nitrogen use efficiency, with the T3 treatment performing the best. Compared with CK, T3 resulted in a 24.26% greater rice yield, and it increased the nitrogen agronomic efficiency by 71.05%. There were no significant differences among the treatment groups in terms of the proportions of soil aggregates larger than 2 mm or smaller than 0.053 mm. Nitrogen fertilizer application reduced the proportion of 0.053–0.25 mm aggregates and promoted the formation of predominantly 0.25–2 mm aggregates. However, the different organic–inorganic combinations did not cause significant differences in soil aggregate structure or stability. Compared with the CK treatment, the application of both organic and inorganic fertilizers increased soil organic matter content, decreased N2O emissions, and increased soil catalase activity. In summary, the application of 50% organic N and 50% chemical N fertilizers with conventional PK fertilizer (T3) was determined to be the optimal combination for achieving high and stable rice yields in the cool northeastern region of China while increasing the structural stability and fertility of the soil. Full article
(This article belongs to the Special Issue Chemical Properties of Soils and its Impact on Plant Growth)
Show Figures

Figure 1

17 pages, 4795 KB  
Article
Identification and Expression Analysis of the Goji Haploid-Inducible Gene DMP
by Zijun Yang, Cuiping Wang, Zhonghua Wang and Jiali Wu
Int. J. Mol. Sci. 2026, 27(6), 2912; https://doi.org/10.3390/ijms27062912 - 23 Mar 2026
Viewed by 410
Abstract
Goji, a plant unique to China, is recognized for its dual use as both a food and a medicine and is rich in various nutrients. However, long-term asexual propagation often leads to cultivar degeneration and viral accumulation, which severely impact its yield, quality, [...] Read more.
Goji, a plant unique to China, is recognized for its dual use as both a food and a medicine and is rich in various nutrients. However, long-term asexual propagation often leads to cultivar degeneration and viral accumulation, which severely impact its yield, quality, and disease resistance. Homozygous seeds can stably produce offspring with uniform traits. Haploid breeding technology, which involves doubling the chromosomes of haploid plants to obtain homozygous diploids, can significantly accelerate the breeding process. The DMP (Domain of Unknown Function 679 Membrane Protein) family is a plant-specific family of membrane proteins involved in various biological functions, including physiological processes, reproductive development, and senescence. Concurrently, loss-of-function of the DMP gene impedes the proper integration of the paternal genome following fertilization. Consequently, the embryo develops with exclusively maternal chromosomes, a mechanism that underlies the induction of haploids. In this study, we conducted a genome-wide identification of the DMP gene family in goji, analyzing the physicochemical properties, chromosomal locations, cis-acting elements, phylogenetic relationships, sequence characteristics, expression patterns, and subcellular localization of its members. The objective was to identify DMP genes capable of inducing haploid production in goji berry for future breeding applications. The results revealed a total of 11 DMP family members in the goji berry genome, distributed across seven chromosomes. The proteins encoded by these members contain 136 to 237 amino acids, with molecular weights ranging from 15,267.96 to 26,141.01 Da and isoelectric points (pI) ranging from 5.14 to 9.32. The LbDMPs were found to contain numerous cis-acting elements that play roles in plant responses to abiotic stresses and various phytohormones. Notably, LbDMP1 and LbDMP11, which contain the typical DUF679 domain, are predominantly expressed in pollen, suggesting their involvement in the reproductive process of goji berry. They were therefore identified as candidate genes for haploid induction. Subcellular localization analysis demonstrated that LbDMP1 is localized to the plasma membrane, while LbDMP11 is localized to membrane systems such as the endoplasmic reticulum. This research provides a fundamental basis for further exploration of the functional roles of the DMP gene family in goji berry and offers valuable genetic resources for haploid induction in its breeding programs. Full article
(This article belongs to the Section Molecular Genetics and Genomics)
Show Figures

Figure 1

19 pages, 1161 KB  
Article
Tribal Settlement Along the Frontiers: Space, Sovereignty, and Identity in Çıldır and Ardahan (18th and 19th Centuries)
by Mehmet Nuri Şanda and Doğan Gün
Genealogy 2026, 10(1), 36; https://doi.org/10.3390/genealogy10010036 - 20 Mar 2026
Viewed by 848
Abstract
Located in northeastern Anatolia, Çıldır and Ardahan serve as a gateway to the Caucasus for political entities such as the state and mobile groups such as the tribe. Due to this geopolitical characteristic, the region has fallen under the dominion of numerous states [...] Read more.
Located in northeastern Anatolia, Çıldır and Ardahan serve as a gateway to the Caucasus for political entities such as the state and mobile groups such as the tribe. Due to this geopolitical characteristic, the region has fallen under the dominion of numerous states and civilizations throughout history. With its fertile highlands, Lake Çıldır, and natural water resources like the Kura River, the area constitutes an attractive living space for hem settled agriculturalists and nomadic tribe groups subsisting on animal husbandry. These features have profoundly influenced the ethnic, demographic, socio-economic, and cultural fabric of the region. Following the establishment of Ottoman sovereignty in the 16th century, Çıldır and Ardahan assumed a vital role in the state’s Caucasian and Eastern policies. This research addresses the Turkmen tribe and other ethnic communities residing around the eyalet of Çıldır and the sanjak of Ardahan. It further examines the banditry activities carried out by these groups, the attitudes of central and local administrators toward such activities, migration and settlement patterns, and the economic and political pressures exerted by the Russian State upon these tribes. The political and economic pressures exerted by the Russian State on these tribes reflect a broader imperial strategy of frontier making, as discussed by Khodarkovsky in the context of Russia’s expansion into its southern borderlands. By positioning the region as a negotiated frontier, this study moves beyond a descriptive narrative to analyze how tribal mobility and settlement functioned as tools of sovereignty and resistance within the broader context of Ottoman state formation and trans-imperial rivalry. The methodology employed in this study is the Qualitative Research Method; accordingly, documents from the Presidential Ottoman Archives (BOA) were transcribed, and the relevant sections were interpreted and incorporated into the study. The archival findings are contextualized within recent historiographical debates concerning the shifting definition of the state versus nomadic agency during the transition from the 18th to the 19th century. While existing literature contains academic studies aiming to elucidate the archaeological, geographical, economic, and administrative structures of Çıldır and Ardahan, it has been determined that no academic research has been conducted to analyze the ethno-socio-demographic structure of the region specifically focusing on the 18th and 19th centuries in a historical sense. With this focus on the interplay between imperial frontiers and tribal identity, this study provides a critical analysis of how local dynamics shaped the grand strategies of the Ottoman and Russian Empires. Full article
Show Figures

Figure 1

Back to TopTop