Due to scheduled maintenance work on our servers, there may be short service disruptions on this website between 11:00 and 12:00 CEST on March 28th.
Sign in to use this feature.

Years

Between: -

Subjects

remove_circle_outline
remove_circle_outline
remove_circle_outline
remove_circle_outline
remove_circle_outline
remove_circle_outline
remove_circle_outline
remove_circle_outline
remove_circle_outline

Journals

remove_circle_outline
remove_circle_outline
remove_circle_outline
remove_circle_outline
remove_circle_outline
remove_circle_outline
remove_circle_outline
remove_circle_outline
remove_circle_outline
remove_circle_outline
remove_circle_outline
remove_circle_outline
remove_circle_outline
remove_circle_outline
remove_circle_outline
remove_circle_outline
remove_circle_outline
remove_circle_outline
remove_circle_outline
remove_circle_outline
remove_circle_outline
remove_circle_outline

Article Types

Countries / Regions

remove_circle_outline
remove_circle_outline
remove_circle_outline
remove_circle_outline
remove_circle_outline
remove_circle_outline
remove_circle_outline

Search Results (5,443)

Search Parameters:
Keywords = lightweight design

Order results
Result details
Results per page
Select all
Export citation of selected articles as:
24 pages, 3495 KB  
Article
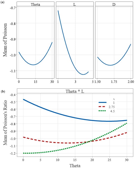
Hollow Auxetic Polymer Structures with Manufacturing-Constrained Design and Mechanical Validation
by Finlay Bridge, Rakan Albarakati, Hany Hassanin and Khamis Essa
Polymers 2026, 18(7), 828; https://doi.org/10.3390/polym18070828 (registering DOI) - 28 Mar 2026
Abstract
Hollow auxetic structures enable lightweight mechanical design by reducing mass while preserving architected deformation. However, hollow auxetic studies focus on LPBF metals. This study presents a manufacturing-constrained design and validation framework for a hollow hybrid re-entrant chiral lattice produced by stereolithography. The unit [...] Read more.
Hollow auxetic structures enable lightweight mechanical design by reducing mass while preserving architected deformation. However, hollow auxetic studies focus on LPBF metals. This study presents a manufacturing-constrained design and validation framework for a hollow hybrid re-entrant chiral lattice produced by stereolithography. The unit cell was parameterised by chiral angle, re-entrant strut length, and hollow internal diameter, with drainage features integrated into the CAD model to preserve hollow channels during printing and post-processing. A minimum internal diameter study defined the printable design window. Within these limits, a central composite design coupled with finite element analysis mapped the response surface and identified an optimised geometry of θ = 15°, L = 3.5 mm, and d = 1.68 mm, with a predicted unit-cell negative Poisson’s ratio of about −1.17. Compression testing confirmed that the printed unit cell and 3 × 3 × 3 lattice retained the intended rotation-dominated auxetic deformation mode. At the selected comparison strain, the unit cell showed a negative Poisson’s ratio of −0.68 and the 3 × 3 × 3 lattice showed −0.29. Relative to the solid lattice, the hollow lattice reduced density by 42.4% with only a 3.0% reduction in stiffness, increasing specific stiffness by 68.9% and specific peak strength by 5.2%, but reducing specific energy absorption by 25.6% due to earlier localisation and junction driven fracture. These results provide practical design guidance for manufacturable hollow SLA auxetic lattices, especially for lightweight and stiffness-limited applications where low mass and high specific stiffness are more important than energy absorption. Full article
(This article belongs to the Section Polymer Processing and Engineering)
Show Figures

Graphical abstract

24 pages, 1020 KB  
Article
Research on the Diagnosis of Abnormal Sound Defects in Automobile Engines Based on Fusion of Multi-Modal Images and Audio
by Yi Xu, Wenbo Chen and Xuedong Jing
Electronics 2026, 15(7), 1406; https://doi.org/10.3390/electronics15071406 - 27 Mar 2026
Abstract
Against the global carbon neutrality target, predictive maintenance (PdM) of automotive engines represents a core technical strategy to advance the sustainable development of the automotive industry. Conventional single-modal diagnostic approaches for engine abnormal sound defects suffer from low accuracy and weak anti-interference capability. [...] Read more.
Against the global carbon neutrality target, predictive maintenance (PdM) of automotive engines represents a core technical strategy to advance the sustainable development of the automotive industry. Conventional single-modal diagnostic approaches for engine abnormal sound defects suffer from low accuracy and weak anti-interference capability. Existing multi-modal fusion methods fail to deeply mine the physical coupling between cross-modal features and often entail excessive model complexity, hindering deployment on resource-constrained on-board edge devices. To resolve these limitations, this study proposes a Physical Prior-Embedded Cross-Modal Attention (PPE-CMA) mechanism for lightweight multi-modal fusion diagnosis of engine abnormal sound defects. First, wavelet packet decomposition (WPD) and mel-frequency cepstral coefficients (MFCC) are integrated to extract time-frequency features from engine audio signals, while a channel-pruned ResNet18 is employed to extract spatial features from engine thermal imaging and vibration visualization images. Second, the PPE-CMA module is designed to adaptively assign attention weights to audio and image features by exploiting the physical coupling between engine fault acoustic and visual characteristics, enabling efficient cross-modal feature fusion with redundant information suppression. A rigorous theoretical derivation is provided to link cosine similarity with the physical correlation of engine fault acoustic-visual features, justifying the attention weight constraint (β = 1 − α) from the perspective of fault feature physical coupling. Third, an improved lightweight XGBoost classifier is constructed for fault classification, and a hybrid data augmentation strategy customized for engine multi-modal data is proposed to address the small-sample challenge in industrial applications. Ablation experiments on ResNet18 pruning ratios verify the optimal trade-off between diagnostic performance and computational efficiency, while feature distribution analysis validates the authenticity and effectiveness of the hybrid augmentation strategy. Experimental results on a self-constructed multi-modal dataset show that the proposed method achieves 98.7% diagnostic accuracy and a 98.2% F1-score, retaining 96.5% accuracy under 90 dB high-level environmental noise, with an end-to-end inference speed of 0.8 ms per sample (including preprocessing, feature extraction, and classification). Cross-engine and cross-domain validation on a 2.0T diesel engine small-sample dataset and the open-source SEMFault-2024 dataset yield average accuracies of 94.8% and 95.2%, respectively, demonstrating strong generalization. This method effectively enhances the accuracy and robustness of engine abnormal sound defect diagnosis, offering a lightweight technical solution for on-board real-time fault diagnosis and in-plant online quality inspection. By reducing engine fault-induced energy loss and spare parts waste, it further promotes energy conservation and emission reduction in the automotive industry. Quantified experimental data on fuel efficiency improvement and carbon emission reduction are provided to substantiate the ecological benefits of the proposed framework. Full article
Show Figures

Figure 1

37 pages, 3540 KB  
Article
A Multimodal Time-Frequency Fusion Architecture for FaultDiagnosis in Rotating Machinery
by Hui Wang, Congming Wu, Yong Jiang, Yanqing Ouyang, Chongguang Ren, Xianqiong Tang and Wei Zhou
Appl. Sci. 2026, 16(7), 3269; https://doi.org/10.3390/app16073269 - 27 Mar 2026
Abstract
Accurate fault diagnosis of rotating machinery in complex industrial environments demands an optimal trade-off between feature representation capability and computational efficiency. Existing single-modality models relying solely on 1D time-series signals or heavy 2D time-frequency images often fail to simultaneously capture high-frequency transient impacts [...] Read more.
Accurate fault diagnosis of rotating machinery in complex industrial environments demands an optimal trade-off between feature representation capability and computational efficiency. Existing single-modality models relying solely on 1D time-series signals or heavy 2D time-frequency images often fail to simultaneously capture high-frequency transient impacts and long-range degradation trends. CLiST (Complementary Lightweight Spatiotemporal Network), a novel lightweight multimodal framework driven by time-frequency fusion, was proposed to overcome this limitation. The architecture of CLiST employs a synergistic dual-stream design: a LightTS module efficiently extracts global operational trends from 1D vibration signals with linear complexity, while a structurally pruned LiteSwin integrated with Triplet Attention captures local high-frequency textures from 2D continuous wavelet transform (CWT) images. This mechanism establishes explicit cross-dimensional dependencies, effectively eliminating feature blind spots without excessive computational overhead. The experimental results show that CLiST not only achieves perfect accuracy on the fundamental CWRU benchmark but also exhibits exceptional spatial generalization when independently evaluated on non-dominant sensor axes of the XJTUGearbox dataset. Furthermore, validation on the real-world dataset (Guangzhou port) proves that the framework has excellent robustness to the attenuation of the signal transmission path and reduces the performance fluctuation between remote measurement points. Ultimately, CLiST delivers highly reliable AI-driven image and signal-processing solutions for vibration monitoring in industrial equipment. Full article
28 pages, 16669 KB  
Article
SQDPoS: A Secure and Practical Semi-Quantum Blockchain System for the Post-Quantum Era
by Ang Liu, Qi An, Sijiang Xie and Yalong Yan
Computers 2026, 15(4), 210; https://doi.org/10.3390/computers15040210 - 27 Mar 2026
Abstract
The rapid development of quantum computing poses severe threats to traditional blockchain security mechanisms, while existing full-quantum blockchains face challenges regarding high hardware costs and limited scalability. To address these issues, this paper proposes a secure and practical semi-quantum blockchain system. Specifically, a [...] Read more.
The rapid development of quantum computing poses severe threats to traditional blockchain security mechanisms, while existing full-quantum blockchains face challenges regarding high hardware costs and limited scalability. To address these issues, this paper proposes a secure and practical semi-quantum blockchain system. Specifically, a Semi-Quantum Delegated Proof of Stake consensus mechanism is constructed by integrating an adapted semi-quantum voting protocol with the Borda count method and a malicious behavior penalty model. Furthermore, a lightweight transaction verification framework is designed based on semi-quantum key distribution, enabling classical users with limited quantum capabilities to participate securely. Theoretical analysis demonstrates that the system achieves unconditional security against quantum attacks while maintaining high throughput. These results indicate that the proposed asymmetric resource design significantly lowers hardware barriers compared to full-quantum schemes, effectively balancing security, practicality, and cost-effectiveness for post-quantum blockchain networks. Full article
Show Figures

Figure 1

23 pages, 7893 KB  
Article
Long-Tail Learning for Three-Dimensional Pavement Distress Segmentation Using Point Clouds Reconstructed from a Consumer Camera
by Pengjian Cheng, Junyan Yi, Zhongshi Pei, Zengxin Liu, Dayong Jiang and Abduhaibir Abdukadir
Remote Sens. 2026, 18(7), 1008; https://doi.org/10.3390/rs18071008 - 27 Mar 2026
Abstract
The application of 3D data in pavement inspection represents an emerging trend. Acquiring and measuring the 3D information of pavement distress enables a more comprehensive assessment of severity, thereby allowing for accurate monitoring and evaluation of the pavement’s technical condition. Existing methods face [...] Read more.
The application of 3D data in pavement inspection represents an emerging trend. Acquiring and measuring the 3D information of pavement distress enables a more comprehensive assessment of severity, thereby allowing for accurate monitoring and evaluation of the pavement’s technical condition. Existing methods face challenges in high-cost pavement scanning and insufficient research on automated 3D distress segmentation. This study employed a consumer-grade action camera for data acquisition and constructed an engineering-aligned 3D point cloud dataset of pavements. Then a long-tail class imbalance mitigation strategy was introduced, integrating adaptive re-sampling with a weighted fusion loss function, effectively balancing minority class representation. The proposed network, named PointPaveSeg, was a dedicated point cloud processing architecture. A dual-stream feature fusion module was designed for the encoder layer, which decoupled geometric and semantic features to improve distress extraction capability. The network incorporated a hierarchical feature propagation structure enhanced by edge reinforcement, global interaction, and residual connections. Experimental results demonstrated that PointPaveSeg achieved an mIoU of 78.45% and an accuracy of 95.43%. In the field evaluation, post-processing and geometric information extraction were performed on the segmented point clouds. The results showed high consistency with manual measurements. Testing confirmed the method’s practical applicability in real-world projects, offering a new lightweight alternative for intelligent pavement monitoring and maintenance systems. Full article
(This article belongs to the Special Issue Point Cloud Data Analysis and Applications)
Show Figures

Figure 1

24 pages, 15151 KB  
Article
SG-YOLO: A Multispectral Small-Object Detector for UAV Imagery Based on YOLO
by Binjie Zhang, Lin Wang, Quanwei Yao, Keyang Li and Qinyan Tan
Remote Sens. 2026, 18(7), 1003; https://doi.org/10.3390/rs18071003 - 27 Mar 2026
Abstract
Object detection in unmanned aerial vehicle (UAV) imagery remains a crucial yet challenging task due to complex backgrounds, large scale variations, and the prevalence of small objects. Visible-spectrum images lack robustness under all-weather and all-illumination conditions; by contrast, multispectral sensing provides complementary cues [...] Read more.
Object detection in unmanned aerial vehicle (UAV) imagery remains a crucial yet challenging task due to complex backgrounds, large scale variations, and the prevalence of small objects. Visible-spectrum images lack robustness under all-weather and all-illumination conditions; by contrast, multispectral sensing provides complementary cues (e.g., thermal signatures) that improve detection robustness. However, existing multispectral solutions often incur high computational costs and are therefore difficult to deploy on resource-constrained UAV platforms. To address these issues, SG-YOLO is proposed, a lightweight and efficient multispectral object detection framework that aims to balance accuracy and efficiency. First, a Spectral Gated Downsampling Stem (SGDS) is designed, in which grouped convolutions and a gating mechanism are employed at the early stage of the network to extract band-specific features, thereby maximizing spectral complementarity while minimizing redundancy. Second, a Spectral–Spatial Iterative Attention Fusion (SSIAF) module is introduced, in which spectral-wise (channel) attention and spatial-wise attention are iteratively coupled and cascaded in a multi-scale manner to jointly model cross-band dependencies and spatial saliency, thereby aggregating high-level semantic information while suppressing redundant spectral responses. Finally, a Spatial–Channel Synergistic Fusion (SCSF) module is designed to enhance multi-scale and cross-channel feature integration in the neck. Experiments on the MODA dataset show that SG-YOLOs achieves 72.4% mAP50, outperforming the baseline by 3.2%. Moreover, compared with a range of mainstream one-stage detectors and multispectral detection methods, SG-YOLO delivers the best overall performance, providing an effective solution for UAV object detection while maintaining a favorable trade-off between model size and detection accuracy. Full article
Show Figures

Figure 1

29 pages, 7226 KB  
Article
Experimental Research on the Bending Constitutive Model of Cold-Formed Steel Structural Panels at Elevated Temperatures
by Jie Li, Long Xu, Yutong Dong, Wenwen Chen, Xiaotian Zhang and Jiankang Lin
Buildings 2026, 16(7), 1338; https://doi.org/10.3390/buildings16071338 - 27 Mar 2026
Abstract
During fires, the temperature difference between indoor and outdoor environments induces out-of-plane deformation in steel studs. Due to the differential coefficients of thermal expansion between panels and steel, the panels exert a restraining effect on the studs. However, there remains a lack of [...] Read more.
During fires, the temperature difference between indoor and outdoor environments induces out-of-plane deformation in steel studs. Due to the differential coefficients of thermal expansion between panels and steel, the panels exert a restraining effect on the studs. However, there remains a lack of systematic experimental and theoretical models addressing the failure modes, restraining mechanisms, and synergistic effects of various panels on steel studs. This study conducted high-temperature bending tests to compare the failure modes, load–displacement curves, and key mechanical parameters (peak load, elastic stiffness) of connections combining steel studs with three types of panels: autoclaved lightweight concrete (ALC) panels, fire-resistant gypsum boards, and medium-density calcium silicate board. The research clarifies the constraining effect and temperature sensitivity of different panels. Based on experimental data, a bending constitutive model was developed to quantify the attenuation of the out-of-plane constraining effect at elevated temperatures. The results indicate that the load–displacement curves exhibit three distinct stages: Elastic Ascending Stage, Elastoplastic Ascending Stage, and Post-Peak Stage. A two-stage bending constitutive model was proposed and formulated. Comparison between numerical simulations and experimental specimens in terms of failure modes and characteristic parameters demonstrated that simplifying the panels as spring elements, with stiffness defined by the proposed bending constitutive model, yields errors within 15%, confirming the accuracy of the model. This study systematically investigates the influence of sheathing panels on the high-temperature out-of-plane mechanical behavior of cold-formed steel studs, innovatively proposes a two-stage bending constitutive model, provides theoretical and data support for cold-formed steel structural fire-resistant design, and offers new perspectives and methodologies for future research. Full article
(This article belongs to the Special Issue Large-Span, Tall and Special Steel and Composite Structures)
27 pages, 7931 KB  
Review
Carbon Nanotube-Reinforced Titanium Matrix Composites for Additive Manufacturing: Progress in Fabrication Methods and Strengthening Mechanisms
by Xingna Cheng, Shihao Liu, Zhijun Zheng and Zhongchen Lu
Metals 2026, 16(4), 369; https://doi.org/10.3390/met16040369 - 27 Mar 2026
Abstract
Titanium matrix composites reinforced with carbon nanotubes (CNTs) have attracted significant attention due to their potential to overcome the inherent limitations of titanium alloys in hardness, wear resistance, and strength–toughness balance. With the rapid development of additive manufacturing (AM) technologies, the integration of [...] Read more.
Titanium matrix composites reinforced with carbon nanotubes (CNTs) have attracted significant attention due to their potential to overcome the inherent limitations of titanium alloys in hardness, wear resistance, and strength–toughness balance. With the rapid development of additive manufacturing (AM) technologies, the integration of CNT reinforcements into titanium matrices provides new opportunities for fabricating high-performance lightweight components. This review systematically summarizes recent progress in the preparation and application of CNT-reinforced titanium matrix composites for AM. Key powder preparation strategies, including mechanical mixing, chemical coating, and in situ growth methods, are critically compared in terms of CNT dispersion uniformity, structural integrity preservation, powder flowability, and process compatibility. The influence of CNT incorporation on AM behavior and final material performance is discussed, with particular emphasis on multiscale strengthening mechanisms such as enhanced laser absorption, load transfer effects, grain refinement, and dispersion strengthening induced by TiC formation. Current challenges mainly involve achieving homogeneous CNT distribution, controlling interfacial reactions, and balancing dispersion efficiency with structural damage. Future research directions are proposed, focusing on advanced powder engineering techniques, interface regulation strategies, and deeper understanding of the relationships between processing parameters, microstructure evolution, and mechanical properties. This work provides a comprehensive reference for the design and fabrication of next-generation CNT-reinforced titanium-based materials. Full article
(This article belongs to the Special Issue Recent Advances in Powder-Based Additive Manufacturing of Metals)
Show Figures

Figure 1

16 pages, 3451 KB  
Article
A Compact SLED Light Source Driver Module for Optical Coherence Tomography Applications
by Yuanhao Cao, Feng Liu, Jianguo Mei, Qun Liu and Biao Chen
Sensors 2026, 26(7), 2084; https://doi.org/10.3390/s26072084 - 27 Mar 2026
Abstract
Optical coherence tomography (OCT) is a non-invasive, high-resolution imaging technique widely used in medical diagnosis, biomedical research and other fields. It plays an important role in the early detection and accurate diagnosis of diseases. The superluminescent light-emitting diode (SLED) is the ideal light [...] Read more.
Optical coherence tomography (OCT) is a non-invasive, high-resolution imaging technique widely used in medical diagnosis, biomedical research and other fields. It plays an important role in the early detection and accurate diagnosis of diseases. The superluminescent light-emitting diode (SLED) is the ideal light source for OCT systems, where the stability of its drive current and operating temperature directly determines the imaging quality of OCT. Existing driving and temperature control schemes for similar light sources predominantly rely on microcontrollers or field programmable gate arrays (FPGAs), a reliance which often results in complex system architectures and difficulties in balancing simplicity with control precision. To address these issues, a stable and compact SLED source driver module designed for OCT was developed in this study, integrating both a constant-current drive circuit and a temperature control circuit. The negative feedback control and improved current-limiting protection are employed in the constant-current drive circuit to maintain stable SLED operation and reduce the circuit footprint. A miniature dedicated temperature control chip is adopted in the temperature control circuit. The operating temperature of the SLED is acquired by linearizing the negative temperature coefficient (NTC) thermistor value and regulated through a proportional-integral-derivative (PID) compensation circuit. The size of the fabricated module (including casing) is less than 10 × 8 × 3 cm3. Experimental results show that the driver module achieves a drive current control accuracy of 0.1% and a temperature control accuracy of 0.01 °C. The output optical power fluctuation is less than 0.005 mW and the average axial resolution for OCT is 6.5992 μm with a standard deviation of 0.0107 μm. This light source driver module successfully balances control precision with structural simplicity, demonstrating excellent applicability in OCT systems. Full article
(This article belongs to the Special Issue Optical Sensors for Biomedical Diagnostics and Monitoring)
Show Figures

Figure 1

29 pages, 7403 KB  
Article
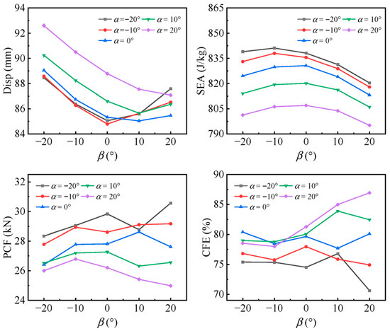
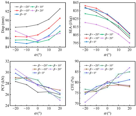
Parametric Cross-Section Design and Crashworthiness Optimization of High-Strength Steel Double-Cell Roll-Formed Tubes Under Lateral Bending
by Pinpin Qin, Yiyuan Shi, Junming Huang, Juncheng Lu, Wujing Tu and Hua Wu
World Electr. Veh. J. 2026, 17(4), 179; https://doi.org/10.3390/wevj17040179 - 27 Mar 2026
Abstract
Lightweight design and crashworthiness of protective structures are critical for battery safety in electric vehicles (EVs). This study addresses the limited research on cross-sectional shape design of high-strength steel double-cell roll-formed tubes (DCRFTs), widely used in EV bumper beams, battery boxes, and electric [...] Read more.
Lightweight design and crashworthiness of protective structures are critical for battery safety in electric vehicles (EVs). This study addresses the limited research on cross-sectional shape design of high-strength steel double-cell roll-formed tubes (DCRFTs), widely used in EV bumper beams, battery boxes, and electric bus frames. A parametric design method is proposed based on three parameters: middle flange offset (o), upper deflection angle (α), and lower deflection angle (β). Under the constraints of constant cross-sectional height and enclosed area, this method systematically generates diverse shapes, including square, trapezoid, hexagon, re-entrant hexagon, and various hybrid shapes. Validated finite element models were employed to analyze the deformation modes and crashworthiness of DP980 steel DCRFTs under idealized lateral three-point bending with simple supports. The results indicated that the re-entrant hexagon section reduced maximum deformation (Disp) by 2.95%, peak crushing force (PCF) by 9.53%, and improved crushing force efficiency (CFE) by 13.88% compared to the baseline square section. The parametric study and sensitivity analysis confirmed that the offset (o) was the most critical parameter, contributing over 80% of the variance in Disp, PCF, and CFE. Multi-objective optimization using an RBF surrogate model and the NSGA-II algorithm yielded Pareto optimal solutions. Compared to the baseline, three representative solutions achieved Disp reductions of 11.83–25.10% and CFE improvements of 15.63–22.26%, each with distinct trade-offs among objectives. This work establishes a methodological framework for parametric cross-section design of roll-formed profiles; its extension to realistic boundary conditions will further facilitate practical EV protective structure design. Full article
(This article belongs to the Section Manufacturing)
Show Figures

Figure 1

16 pages, 3957 KB  
Article
Performance Assessment and Field Deployment of Carbon-Fiber-Reinforced Polymer (CFRP) Cables for Infrastructure Applications
by Sung-Jin Lee, Jongeok Lee and Woo-Tai Jung
Polymers 2026, 18(7), 811; https://doi.org/10.3390/polym18070811 - 26 Mar 2026
Abstract
Carbon-fiber-reinforced polymer (CFRP) cables have emerged as promising alternatives to conventional prestressing tendons because of their high tensile strength, excellent corrosion resistance, and low self-weight. Their use is particularly advantageous in infrastructure exposed to aggressive environments, such as chloride-induced corrosion, where improved durability [...] Read more.
Carbon-fiber-reinforced polymer (CFRP) cables have emerged as promising alternatives to conventional prestressing tendons because of their high tensile strength, excellent corrosion resistance, and low self-weight. Their use is particularly advantageous in infrastructure exposed to aggressive environments, such as chloride-induced corrosion, where improved durability and reduced maintenance are critically required. In this study, a 10 mm diameter round-bar-type CFRP cable was developed using a pultrusion process, and its applicability to structural systems was comprehensively evaluated through material testing and field implementation. Mechanical performance was assessed through tensile, relaxation, and fatigue tests. The developed CFRP cable exhibited an average tensile strength of 3019 MPa and an elastic modulus of 176.9 GPa, demonstrating mechanical properties comparable to or better than those of conventional prestressing tendons. The final relaxation ratio was measured as 2.25%, satisfying the low-relaxation criterion specified in KS D 7002. In the fatigue test, the cable sustained 2,000,000 loading cycles under a stress range corresponding to 60–66% of the ultimate tensile strength without fracture or significant stiffness degradation, confirming its excellent fatigue durability. In addition, the developed CFRP cable was implemented in a cable-net structure to verify its constructability and structural applicability in practice. The field application confirmed that the lightweight CFRP cable enabled convenient transportation and installation, while stable prestress introduction was achieved using the same tensioning procedure as that for conventional steel cable systems. The results demonstrate the integrated feasibility of the developed CFRP cable in terms of both material performance and practical structural application. This study provides experimental evidence supporting the structural use of CFRP tendons and offers a technical basis for the future development of design provisions and broader infrastructure applications. Full article
(This article belongs to the Section Polymer Applications)
Show Figures

Figure 1

22 pages, 4435 KB  
Article
Semantic Mapping in Public Indoor Environments Using Improved Instance Segmentation and Continuous-Frame Dynamic Constraint
by Yumin Lu, Xueyu Feng, Zonghuan Guo, Jianchao Wang, Lin Zhou and Yingcheng Lin
Electronics 2026, 15(7), 1392; https://doi.org/10.3390/electronics15071392 - 26 Mar 2026
Abstract
Reliable semantic perception is crucial for service robots operating in complex public indoor environments. However, existing semantic mapping approaches often face the dual challenges of high computational overhead and semantic redundancy in maps. To address these limitations, this paper proposes a low-resource semantic [...] Read more.
Reliable semantic perception is crucial for service robots operating in complex public indoor environments. However, existing semantic mapping approaches often face the dual challenges of high computational overhead and semantic redundancy in maps. To address these limitations, this paper proposes a low-resource semantic mapping framework based on improved instance segmentation and dynamic constraints from consecutive frames. First, we design the lightweight model MS-YOLO, which adopts MobileNetV4 as its backbone network and incorporates the SHViT neck module, effectively optimizing the balance between detection accuracy and computational cost. Second, we propose a consecutive frame dynamic constraint method that eliminates redundant object annotations through consecutive frame stability verification. Experimental results relating to both fusion and custom datasets demonstrate that compared to YOLOv8n-seg, MS-YOLO achieves improvements in accuracy, recall, and mAP@0.5, while reducing the number of parameters by 11.7% and floating-point operations (FLOPs) by 32.2%. Furthermore, compared to YOLOv11n-seg and YOLOv5n-seg, its FLOPs are reduced by 17.2% and 25.5%, respectively. Finally, the successful deployment and field validation of this system on the Jetson Orin NX platform demonstrate its real-time capability and engineering practicality for edge computing in public indoor service robots. Full article
(This article belongs to the Section Artificial Intelligence)
Show Figures

Figure 1

22 pages, 5289 KB  
Article
Surface Topography and Tolerance Quality Evaluation of Polymer Gears Using Non-Contact 3D Scanning Method
by Enis Muratović, Adis J. Muminović, Łukasz Gierz, Ilyas Smailov, Maciej Sydor, Edin Dizdarević, Nedim Pervan and Muamer Delić
Materials 2026, 19(7), 1324; https://doi.org/10.3390/ma19071324 - 26 Mar 2026
Abstract
The shift toward lightweight powertrain architectures necessitates a detailed characterization of polymer gears to verify their efficiency and durability. This study investigated the effectiveness of non-contact structured-light 3D scanning for evaluating the surface topography and dimensional tolerance quality of polymer gears produced via [...] Read more.
The shift toward lightweight powertrain architectures necessitates a detailed characterization of polymer gears to verify their efficiency and durability. This study investigated the effectiveness of non-contact structured-light 3D scanning for evaluating the surface topography and dimensional tolerance quality of polymer gears produced via distinct manufacturing technologies. A structured-light 3D scanner was used to capture dense point clouds (exceeding 6 million points) of gears produced by three methods: conventional hobbing (POM-C), Material Extrusion (MEX) with carbon fiber reinforcement, and Selective Laser Sintering (SLS). The manufactured parts were compared against the nominal Computer Aided Design (CAD) models to evaluate their geometrical deviations in accordance with DIN 3961 and surface roughness parameters per ISO 25178. The experimental results revealed a consistent ranking of manufacturing quality. The conventionally hobbed POM-C gear exhibited superior precision, achieving DIN quality grades of Q9–Q10 and the smoothest surface finish (Sa = 5.0 µm). Among additive manufacturing techniques, SLS-printed PA 12 showed intermediate quality (Q11, Sa = 12 µm), whereas MEX-printed PPS-CF exhibited significant deviations (exceeding Q12) and the highest surface irregularity (Sa = 25 µm) due to stair-stepping effects. These findings indicate that while additive manufacturing offers geometric flexibility, conventional hobbing retains a decisive advantage in dimensional precision. The optical scanning methodology demonstrated here constitutes an efficient metrological framework for gear quality control, with potential applications extending to the quality assurance of additively manufactured adaptive fixtures and assembly tooling, including automotive assembly operations. Full article
Show Figures

Graphical abstract

24 pages, 19222 KB  
Article
LID-YOLO: A Lightweight Network for Insulator Defect Detection in Complex Weather Scenarios
by Yangyang Cao, Shuo Jin and Yang Liu
Energies 2026, 19(7), 1640; https://doi.org/10.3390/en19071640 - 26 Mar 2026
Abstract
Ensuring the structural reliability of power transmission networks is a fundamental prerequisite for the stable operation of modern energy systems. To address the challenges posed by complex weather interference and the small scale of insulator defects during power line inspections, this paper proposes [...] Read more.
Ensuring the structural reliability of power transmission networks is a fundamental prerequisite for the stable operation of modern energy systems. To address the challenges posed by complex weather interference and the small scale of insulator defects during power line inspections, this paper proposes LID-YOLO, a lightweight insulator defect detection network. First, to mitigate image feature degradation caused by weather interference, we design the C3k2-CDGC module. By leveraging the input-adaptive characteristics of dynamic convolution and the spatial preservation properties of coordinate attention, this module enhances feature extraction capabilities and robustness in complex weather scenarios. Second, to address the detection challenges arising from the significant scale disparity between insulators and defects, we propose Detect-LSEAM, a detection head featuring an asymmetric decoupled architecture. This design facilitates multi-scale feature fusion while minimizing computational redundancy. Subsequently, we develop the NWD-MPDIoU hybrid loss function to balance the weights between distribution metrics and geometric constraints dynamically. This effectively mitigates gradient instability arising from boundary ambiguity and the minute size of insulator defects. Finally, we construct a synthetic multi-weather condition insulator defect dataset for training and validation. Compared to the baseline, LID-YOLO improves precision, recall, and mAP@0.5 by 1.7%, 3.6%, and 4.2%, respectively. With only 2.76 M parameters and 6.2 G FLOPs, it effectively maintains the lightweight advantage of the baseline, achieving an optimal balance between detection accuracy and computational efficiency for insulator inspections under complex weather conditions. This lightweight and robust framework provides a reliable algorithmic foundation for automated grid monitoring, supporting the continuous and resilient operation of modern energy systems. Full article
(This article belongs to the Section F: Electrical Engineering)
Show Figures

Figure 1

18 pages, 23292 KB  
Article
SOI-Structured Piezoresistive Pressure Sensor with Integration of Temperature Sensor for Downhole Applications
by José Mireles Jr., Abimael Jiménez and Ángel Sauceda
Sensors 2026, 26(7), 2076; https://doi.org/10.3390/s26072076 - 26 Mar 2026
Abstract
Micro-electro-mechanical systems (MEMS) sensors offer the benefits of compact size, lightweight design, and low cost, which has led to widespread use in consumer electronics, vehicles, healthcare, defense, and communications. As their performance has improved, MEMS sensors have also found applications in oil exploration [...] Read more.
Micro-electro-mechanical systems (MEMS) sensors offer the benefits of compact size, lightweight design, and low cost, which has led to widespread use in consumer electronics, vehicles, healthcare, defense, and communications. As their performance has improved, MEMS sensors have also found applications in oil exploration and geophysical studies. Pressure and temperature measurements during hydraulic fracturing have long been employed to improve downhole conductivity during oil and gas extraction. Nevertheless, the development of high-precision MEMS sensors for oil exploration remains an active area of research. This paper presents the design, fabrication, packaging, and characterization of a silicon-on-insulator (SOI) MEMS piezoresistive pressure sensor integrated with a temperature sensor. It also describes the design of a chamber intended to emulate conditions at the bottom of oil exploration wells. The sensors were successfully designed and fabricated on the basis of physics-based simulations, deep reactive ion etching and anodic bonding. The pressure sensors, together with the signal-conditioning system, exhibited a linear response with a sensitivity of 0.0268 mV/V/MPa and maximum hysteresis of 5.3%. Full article
(This article belongs to the Section Physical Sensors)
Show Figures

Figure 1

Back to TopTop