Due to scheduled maintenance work on our servers, there may be short service disruptions on this website between 11:00 and 12:00 CEST on March 28th.
Sign in to use this feature.

Years

Between: -

Subjects

remove_circle_outline
remove_circle_outline
remove_circle_outline
remove_circle_outline
remove_circle_outline
remove_circle_outline
remove_circle_outline
remove_circle_outline

Journals

remove_circle_outline
remove_circle_outline
remove_circle_outline

Article Types

Countries / Regions

Search Results (226)

Search Parameters:
Keywords = laser speckle

Order results
Result details
Results per page
Select all
Export citation of selected articles as:
10 pages, 2114 KB  
Article
Choroidal Thickening and Reduced Macular Blood Flow in Children with Hyperopic Anisometropic Amblyopia
by Ryuya Hashimoto, Juri Kawamura, Naoki Fujioka, Kazufumi Tanaka, Moe Nunose, Sara Imai, Serika Moriyama, Ryo Yamazaki, Asato Hirota and Fumihiko Yagi
J. Clin. Med. 2026, 15(5), 2085; https://doi.org/10.3390/jcm15052085 - 9 Mar 2026
Viewed by 213
Abstract
Background/Objectives: This study aimed to evaluate macular choroidal blood flow dynamics and structural alterations in children with hyperopic anisometropic amblyopia and compare these findings with those of the fellow eyes. Methods: This retrospective observational study included 36 eyes from 18 children (mean age: [...] Read more.
Background/Objectives: This study aimed to evaluate macular choroidal blood flow dynamics and structural alterations in children with hyperopic anisometropic amblyopia and compare these findings with those of the fellow eyes. Methods: This retrospective observational study included 36 eyes from 18 children (mean age: 4.9 years) with unilateral hyperopic anisometropic amblyopia. Central choroidal thickness (CCT) was measured using enhanced depth imaging optical coherence tomography. Macular choroidal hemodynamics were assessed using laser speckle flowgraphy. Mean blur rate (MBR) was used as an index of blood flow, whereas beat strength (BS) was used as a measure of pulsatility. Ocular perfusion pressure (OPP) was also calculated. All parameters were compared between amblyopic and fellow eyes. Results: Amblyopic eyes demonstrated significantly greater CCT compared with fellow eyes (407.6 ± 84.9 µm vs. 326.4 ± 79.1 µm). Conversely, macular MBR was significantly lower in amblyopic eyes (9.28 ± 3.60 AU vs. 10.94 ± 4.68 AU), as was BS (5.73 ± 3.07 AU vs. 7.28 ± 3.59 AU). No significant differences were observed in central retinal thickness or OPP between amblyopic and fellow eyes. In amblyopic eyes, CCT was not significantly correlated with macular MBR or BS. Conclusions: Amblyopic eyes exhibited significant central choroidal thickening accompanied by reduced macular blood flow and pulsatility. These findings suggest that localized macular hemodynamic dysregulation may contribute to the pathophysiology of hyperopic anisometropic amblyopia. Full article
(This article belongs to the Special Issue Progress in Clinical Diagnosis and Therapy in Ophthalmology)
Show Figures

Figure 1

12 pages, 1029 KB  
Article
Intraoperative Ocular Blood Flow Dynamics in Response to Intraocular Pressure Fluctuations During Vitrectomy for Proliferative Diabetic Retinopathy
by Ryuya Hashimoto, Naoki Fujioka, Kazufumi Tanaka, Serika Moriyama and Takatoshi Maeno
J. Clin. Med. 2026, 15(5), 2080; https://doi.org/10.3390/jcm15052080 - 9 Mar 2026
Viewed by 212
Abstract
Background/Objectives: This study aimed to evaluate the autoregulatory capacity of optic nerve head (ONH) tissue blood flow in response to intraocular pressure (IOP) fluctuations during vitrectomy in patients with proliferative diabetic retinopathy (PDR). We hypothesized that impaired autoregulation of ONH tissue blood flow [...] Read more.
Background/Objectives: This study aimed to evaluate the autoregulatory capacity of optic nerve head (ONH) tissue blood flow in response to intraocular pressure (IOP) fluctuations during vitrectomy in patients with proliferative diabetic retinopathy (PDR). We hypothesized that impaired autoregulation of ONH tissue blood flow in response to intraoperative IOP fluctuations could contribute to subsequent ONH atrophy and the development of visual field defects in PDR patients following vitrectomy. Methods: We included five eyes from five patients with PDR (mean age 70.6 ± 9.0 years) undergoing 25-gauge pars plana vitrectomy. ONH tissue blood flow was quantitatively assessed using intraoperative laser speckle flowgraphy. Mean blur rate in the tissue area (MT), an indicator of ONH tissue blood flow, was measured at baseline (infusion pressure 0 mmHg), during sustained elevation to 25 mmHg (at 5 and 10 min), and 1 min after return to baseline (11 min). IOP was modulated using the IOP Control system of the Constellation platform. Results: Elevation of IOP to 25 mmHg significantly reduced ONH tissue blood flow, with MT decreasing by 29% at 10 min compared with baseline (p < 0.05, Dunn’s multiple comparisons test). After IOP returned to baseline, MT significantly recovered compared with the 10 min measurement (p < 0.05) and returned to levels not significantly different from baseline (p > 0.05). Conclusions: MT decreases during intraoperative IOP elevation in PDR undergoing vitrectomy, but recovers after the return to baseline pressure, suggesting preserved short-term autoregulatory capacity. Careful IOP management during vitrectomy remains important in eyes with PDR. Full article
(This article belongs to the Special Issue Advances in the Clinical Management of Diabetic Retinopathy)
Show Figures

Figure 1

13 pages, 2213 KB  
Article
Automated Laser-Optical Setup for Seed Monitoring over Time
by José L. Contado, Dimitri Viana, Bruno Vicentini, Antônio A. A. Chepluki and Roberto A. Braga
AgriEngineering 2026, 8(3), 99; https://doi.org/10.3390/agriengineering8030099 - 5 Mar 2026
Viewed by 282
Abstract
The biospeckle laser (BSL) technique is recognized as a sensitive method for detecting biological activity and has been successfully applied for seed vigor testing. Given these achievements, whether the integration of BSL into automated systems can provide complementary information on the seed imbibition [...] Read more.
The biospeckle laser (BSL) technique is recognized as a sensitive method for detecting biological activity and has been successfully applied for seed vigor testing. Given these achievements, whether the integration of BSL into automated systems can provide complementary information on the seed imbibition process remains limited. Addressing this gap represents a significant challenge with strong potential for technological innovation. This study presents an automated laser-optical system designed to monitor the imbibition process of multiple seeds over time using a mechanized carousel. The developed apparatus integrates all necessary components for the illumination and image acquisition of eight seeds across programmable time intervals, controlled by an industrial-grade programmable controller. Validation using maize seeds (Zea mays L.) over a 36-h period confirmed the system’s reliability. BSL indices enabled the characterization of internal biological activity throughout imbibition, revealing dynamic processes that remained undetected in previous discrete-time analyses. These results highlight the potential of the proposed system for more comprehensive and continuous seed monitoring. The successful automated laser-optical system with relative humidity control opens great potential in seeds research and daily industrial analysis. The test of the proposed system in other seeds is the next challenge, regarding the thick and colored coats. The design of larger carousels is a possible step forward, which will demand studies of the limits linked to the illumination and image acquisition time performed in each seed. Full article
Show Figures

Figure 1

19 pages, 4992 KB  
Article
Research on Denoising Methods for Laser Doppler Blood Flow Signals Based on Time-Domain Noise Perception and DWT
by Quanxin Sun, Jie Duan, Hui Guo and Aoyan Guo
Sensors 2026, 26(5), 1500; https://doi.org/10.3390/s26051500 - 27 Feb 2026
Viewed by 260
Abstract
Addressing the challenges of composite noise (speckle noise, thermal noise, and random pulse interference) and non-stationarity in laser Doppler flow (LDF) signal processing, as well as the technical limitation of traditional threshold methods in balancing noise suppression and signal fidelity, this study proposes [...] Read more.
Addressing the challenges of composite noise (speckle noise, thermal noise, and random pulse interference) and non-stationarity in laser Doppler flow (LDF) signal processing, as well as the technical limitation of traditional threshold methods in balancing noise suppression and signal fidelity, this study proposes an adaptive denoising algorithm integrating temporal noise perception and discrete wavelet transform (DWT). A composite noise model is first established to characterize the interference. The signal undergoes a five-level DWT decomposition, where a local energy detection mechanism distinguishes signal-dominant from noise-dominant regions. An SNR-driven dynamic thresholding strategy is generated by combining inter-layer adaptive allocation with coefficient-level local weighting, followed by processing with an improved smoothing function to effectively suppress reconstruction artifacts. Simulations at a 1 dB input signal-to-noise ratio (SNR) yielded a 15.45 dB output SNR and a 0.05634 root mean square error (RMSE), outperforming traditional wavelet methods and modern benchmarks such as local variance and variational mode decomposition (VMD). Applied to a practical signal from an isolated vascular phantom with an initial SNR of 1.04 dB, the algorithm achieved a 13.86 dB output SNR and a 0.00258 RMSE. Results confirm the algorithm’s effectiveness for high-fidelity waveform capture in complex noise environments, offering a robust solution for vascular hemodynamic monitoring Full article
(This article belongs to the Special Issue Advanced Biomedical Imaging and Signal Processing)
Show Figures

Figure 1

25 pages, 7838 KB  
Review
Optical Biosensors for Blood Coagulation Monitoring: Advantages, Limitations, and Translational Potential
by Zichen Wang, Gaohong Di and Jing Wang
Biosensors 2026, 16(2), 123; https://doi.org/10.3390/bios16020123 - 16 Feb 2026
Viewed by 475
Abstract
Dynamic monitoring of hemostatic equilibrium is indispensable for clinical safety in high-risk scenarios, while current clinical methods are limited by sample volume, detection speed, and physiological relevance. These shortcomings underscore the demand for novel sensing platforms. Optical biosensors, leveraging label-free detection, rapid response, [...] Read more.
Dynamic monitoring of hemostatic equilibrium is indispensable for clinical safety in high-risk scenarios, while current clinical methods are limited by sample volume, detection speed, and physiological relevance. These shortcomings underscore the demand for novel sensing platforms. Optical biosensors, leveraging label-free detection, rapid response, and multi-level characterization, could serve as a transformative solution for decentralized and point-of-care monitoring. This review systematically summarizes advances in optical coagulation testing, encompassing light transmission aggregometry, laser speckle rheology, optical coherence tomography/elastography, optic–acoustic coupled methods, and fluorescence biosensing. These technologies complementarily capture structural and mechanical and some molecular and cellular dynamics of coagulation, bridging gaps in traditional assays. Despite promising preclinical and clinical correlations, translation barriers persist in lack of standardization of metrics, interference mitigation, and multi-center validation in diverse patient cohorts. Future development of optical biosensing platforms for coagulation testing should focus on modular integration, AI-aided interference correction, and microfluidic miniaturization to realize actionable, real-time coagulation assessment. Optical biosensors hold unparalleled potential to transform hemostatic monitoring from static endpoint testing to dynamic, interpretable evaluation, guiding personalized clinical decisions. Full article
(This article belongs to the Section Optical and Photonic Biosensors)
Show Figures

Graphical abstract

20 pages, 12409 KB  
Article
Fibrinogen-Driven NLRP3 Inflammasome: A Novel Therapeutic Target for Tong-Qiao-Huo-Xue Decoction in Ischemic Stroke
by Yan Wang, Yuqin Peng, Hao Sun, Kai Zhu, Ning Wang and Changzhong Wang
Pharmaceuticals 2026, 19(2), 325; https://doi.org/10.3390/ph19020325 - 15 Feb 2026
Viewed by 527
Abstract
Background: Plasma fibrinogen (FIB) levels exhibit a significant elevation during the acute phase of ischemic stroke (IS), and their dynamic fluctuations serve as important biomarkers for stroke onset, disease progression, and long-term prognosis. Tong-Qiao-Huo-Xue Decoction (TQHXD) is highly effective in treating blood [...] Read more.
Background: Plasma fibrinogen (FIB) levels exhibit a significant elevation during the acute phase of ischemic stroke (IS), and their dynamic fluctuations serve as important biomarkers for stroke onset, disease progression, and long-term prognosis. Tong-Qiao-Huo-Xue Decoction (TQHXD) is highly effective in treating blood stasis syndromes affecting the head and face. Nevertheless, the association between TQHXD and FIB in the underlying mechanism of treating IS warrants further investigation. Methods: Proteomics analysis predicted the potential therapeutic targets of TQHXD for IS. An in vivo model of middle cerebral artery occlusion followed by reperfusion (MCAO/R) was created in mice. To explore the interaction between FIB and NLRP3, as well as to verify the particular healing outcomes of TQHXD. Results: An increased blood–brain barrier (BBB) permeability was observed after MCAO/R, accompanied by substantial accumulation of FIB in the brain. In vivo experiments demonstrated that FIB triggered the activation of the NLRP3 inflammasome in microglia. Proteomic analysis revealed a significant increase in FIB levels following model induction, which were markedly reduced after treatment with TQHXD; KEGG pathway enrichment analysis indicated that these changes were primarily associated with the NOD-like receptor signaling pathway. Laser speckle contrast imaging showed that TQHXD treatment significantly improved cerebral blood flow and attenuated brain injury in mice. Fluorescence imaging, ELISA, and Western blotting results collectively demonstrated that TQHXD effectively reduced FIB accumulation and suppressed NLRP3 inflammasome activation. MD and pull-down experiments further demonstrated a strong interaction strength between FIB and NLRP3. Conclusions: FIB accumulates in the ischemic penumbra following CIRI, while TQHXD can effectively down-regulate FIB expression and inhibit NLRP3 inflammasome activation to mitigate CIRI. These findings provide a novel theoretical foundation and treatment direction for stroke management in clinical settings. Full article
(This article belongs to the Section Pharmacology)
Show Figures

Graphical abstract

16 pages, 588 KB  
Article
Microvascular Dysfunction in Patients with Prediabetes: Novel Methods Identify Impaired Microcirculation
by Stamatina Lamprou, Nikolaos Evangelidis, Nikolaos Koletsos, Ioanna Zografou, Anastasia Stoimeni, Gesthimani Mintziori, Vasileios Gkolias, Christina-Maria Trakatelli, Christos Savopoulos, Michael Doumas and Areti Triantafyllou
Life 2026, 16(2), 326; https://doi.org/10.3390/life16020326 - 13 Feb 2026
Viewed by 443
Abstract
Background: Skin and myocardial microvascular dysfunction in prediabetes remains underexplored, and limited studies have investigated the microcirculation in prediabetes in multiple vascular beds. This study aimed to examine microvascular alterations in patients with prediabetes, patients with type 2 diabetes mellitus (DM), and normoglycemic [...] Read more.
Background: Skin and myocardial microvascular dysfunction in prediabetes remains underexplored, and limited studies have investigated the microcirculation in prediabetes in multiple vascular beds. This study aimed to examine microvascular alterations in patients with prediabetes, patients with type 2 diabetes mellitus (DM), and normoglycemic controls without established cardiovascular disease (CVD). Methods: In this cross-sectional study, the microcirculation was assessed using established and novel noninvasive techniques. The skin microvascular reactivity was evaluated using laser speckle contrast analysis (LASCA). The myocardial perfusion was assessed by the subendocardial viability ratio (SEVR). The retinal microvasculature was evaluated using digital nonmydriatic fundus photography, the renal microvascular damage through the urinary albumin-to-creatinine ratio (ACR), and the peripheral vasculopathy by the augmentation index (AIx). Results: Sixty-seven participants were included (22 controls, 24 with prediabetes, 21 with DM; aged: 55.9 ± 9.4 years). Patients with prediabetes and DM showed significantly reduced baseline-to-peak skin flux responses in LASCA compared with controls (p = 0.006), and lower SEVR values (p = 0.001). Moreover, no significant differences were identified in the retinal, renal, or peripheral microvascular indices. In multivariate analysis, systolic blood pressure and glucose were independently associated with skin microvascular dysfunction, while the heart rate and arteriovenous ratio were associated with the SEVR. Conclusions: In this cross-sectional study, impaired skin and myocardial microvascular function were observed in patients with prediabetes in the absence of overt CVD. These findings suggest that LASCA and the SEVR may serve as sensitive markers for the detection of early, subclinical microvascular dysfunction in prediabetes. Full article
(This article belongs to the Special Issue Microvascular Research: Advances and Perspectives)
Show Figures

Figure 1

18 pages, 508 KB  
Review
Microcirculation Monitoring in Septic Shock: Focused Review
by Viktorija Serova, Mara Klibus, Zbignevs Marcinkevics, Uldis Rubins, Andris Grabovskis and Olegs Sabelnikovs
Medicina 2026, 62(2), 346; https://doi.org/10.3390/medicina62020346 - 9 Feb 2026
Viewed by 805
Abstract
Background and Objectives: Septic shock is marked by profound circulatory and cellular dysfunction, with mortality rates of 25–40% despite guideline-based resuscitation. Normalization of macrohemodynamic variables often fails to restore tissue perfusion, a concept known as hemodynamic incoherence. Persistent microcirculatory dysfunction is associated with [...] Read more.
Background and Objectives: Septic shock is marked by profound circulatory and cellular dysfunction, with mortality rates of 25–40% despite guideline-based resuscitation. Normalization of macrohemodynamic variables often fails to restore tissue perfusion, a concept known as hemodynamic incoherence. Persistent microcirculatory dysfunction is associated with organ failure and poor outcomes, underscoring the limitations of systemic monitoring alone. This focused narrative review synthesizes current evidence on microcirculatory monitoring in septic shock, with emphasis on bedside and emerging optical technologies, and evaluates their role as adjuncts to traditional hemodynamic assessment for perfusion-targeted resuscitation. Materials and Methods: A concept-driven search of PubMed/MEDLINE (January 2015 to January 2026) was performed, incorporating MeSH and free-text terms for septic shock, microcirculation, hemodynamic coherence, and monitoring modalities. Foundational pre-2015 studies were included for context. Articles were screened using predefined inclusion/exclusion criteria to minimize bias, with thematic qualitative synthesis. A PRISMA-inspired flow diagram was used to summarize the study selection process. Results: Microcirculatory alterations in septic shock include reduced functional capillary density, perfusion heterogeneity, and impaired oxygen extraction, persisting despite macrohemodynamic correction. Bedside markers, such as capillary refill time (CRT) and mottling, track microvascular recovery more closely than lactate. When used to guide resuscitation, CRT-based strategies show a non-significant mortality trend in randomized evaluation, with later studies reporting benefit in composite clinical outcomes. Optical technologies offer non-invasive insights: photoplethysmography (PPG) and perfusion index (PI) show prognostic value and early detection of incoherence; automated CRT (aCRT) enhances reproducibility; advanced modalities, such as laser speckle contrast imaging (LSCI), near-infrared spectroscopy (NIRS), and sublingual videomicroscopy, provide detailed physiological data but face standardization challenges. Recent interventional evidence, including peripheral perfusion-targeted RCTs, supports improved outcomes, though large-scale trials remain limited. Conclusions: Microcirculatory monitoring provides complementary, physiologically relevant information to macrohemodynamic assessment in septic shock. Emerging bedside tools, such as PI and aCRT, are poised for routine use, while multimodal integration may enable personalized management. Future research should prioritize standardization, AI-driven analysis, and randomized trials to confirm outcome benefits. Full article
(This article belongs to the Section Intensive Care/ Anesthesiology)
Show Figures

Figure 1

20 pages, 3691 KB  
Article
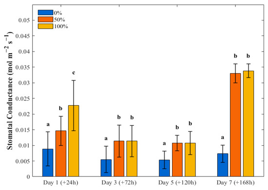
Deep Learning-Based Classification of Water Stress in Maize Using Biospeckle Activity Maps
by Seongho Lee, Moon-Sub Lee and Hoonsoo Lee
Appl. Sci. 2026, 16(3), 1639; https://doi.org/10.3390/app16031639 - 6 Feb 2026
Viewed by 277
Abstract
Biospeckle imaging enables non-destructive observation of dynamic physiological activity in plant tissues; however, the relative sensitivity of different biospeckle activity maps to water stress and their implications for data-driven classification remain insufficiently understood. This study systematically evaluates multiple biospeckle activity mapping approaches for [...] Read more.
Biospeckle imaging enables non-destructive observation of dynamic physiological activity in plant tissues; however, the relative sensitivity of different biospeckle activity maps to water stress and their implications for data-driven classification remain insufficiently understood. This study systematically evaluates multiple biospeckle activity mapping approaches for water stress analysis in maize (Zea mays L.) leaves and examines how their characteristics influence deep learning–based classification performance. Maize plants were subjected to three irrigation levels (0%, 50%, and 100%) over a 7-day experimental period. Stomatal conductance was measured as an independent physiological reference, and a microfluidic phantom experiment was conducted to verify the physical response behavior of the biospeckle imaging system. Temporal variations in biospeckle activity were statistically analyzed, followed by deep learning–based classification using representative two-dimensional convolutional neural network models. Statistical analysis revealed that biospeckle activity exhibited stress-dependent responses, with severe water stress (0%) being consistently distinguishable, whereas moderate and well-watered conditions (50% and 100%) showed partially overlapping patterns. These trends were consistent with stomatal conductance measurements. Deep learning models trained on different biospeckle activity maps achieved classification accuracies of up to 0.73 and macro-averaged F1 scores of 0.73, with notable differences in performance depending on the selected activity representation. These results suggest that while traditional statistical parameters show limited linearity, the proposed deep learning-based biospeckle analysis could serve as a useful tool for water stress classification. By capturing complex spatial-texture features, this study presents a potential data-driven approach for precision plant phenotyping. Full article
Show Figures

Figure 1

28 pages, 7001 KB  
Article
Puerarin Attenuates White Matter Injury and Blood–Brain Barrier Disruption After Intracerebral Hemorrhagic Stroke via cGAS-STING Axis
by Yetong Ouyang, Lijia Yu, Yue Shi, Zhilin Chen, Xiaohui Tang, Jiayi Jin, Zhexue Huang, Xiaoshun Tang, Bing Zhu and Xijin Wang
Biology 2026, 15(3), 277; https://doi.org/10.3390/biology15030277 - 3 Feb 2026
Viewed by 649
Abstract
White matter injury (WMI) and blood–brain barrier (BBB) disruption contribute to neurological and cognitive deficits in intracerebral hemorrhage (ICH), with no effective pharmacological treatments available. Puerarin, with anti-inflammatory, anti-apoptotic, and antioxidant properties, exhibits neuroprotective potential. Here, mice subjected to ICH were treated with [...] Read more.
White matter injury (WMI) and blood–brain barrier (BBB) disruption contribute to neurological and cognitive deficits in intracerebral hemorrhage (ICH), with no effective pharmacological treatments available. Puerarin, with anti-inflammatory, anti-apoptotic, and antioxidant properties, exhibits neuroprotective potential. Here, mice subjected to ICH were treated with puerarin for 14 days. Neurological function, cerebral perfusion, and BBB integrity were assessed using behavioral tests, laser speckle imaging, Evans blue assays, immunofluorescence, Western blotting, and MRI. Integrated transcriptomics, machine learning, network pharmacology, molecular docking, and dynamics simulations were used to identify key targets. Puerarin improved neurological outcomes, reduced BBB permeability, enhanced microvascular perfusion, and attenuated WMI. Twenty-six hub genes were identified, with PARP1 and AKT1 correlated with OLIG2 and MBP, enriched in the cGAS-STING and AKT1-mTOR pathways. Molecular simulations indicated stable puerarin–cGAS interactions, validated experimentally: puerarin suppressed cGAS-STING activation, reduced oligodendrocyte apoptosis, and promoted remyelination. These results provide new insights into ICH pathogenesis and support puerarin as a potential therapeutic agent for BBB disruption and WMI. Full article
Show Figures

Figure 1

22 pages, 6312 KB  
Article
Speckle Suppression in Micro-Projection Systems Using a Vibrating Particle Scattering Surface
by Yiran Zhao, Xinyan Zheng, Shun Zhou, Huachen Liu, Xueping Sun and Weiguo Liu
Photonics 2026, 13(2), 134; https://doi.org/10.3390/photonics13020134 - 30 Jan 2026
Viewed by 342
Abstract
Laser beams are excellent projection sources due to their high brightness and color purity; however, their high coherence produces speckle noise, which reduces the clarity of images cast by compact projection systems. Existing suppression methods often require complex designs. Here, we propose a [...] Read more.
Laser beams are excellent projection sources due to their high brightness and color purity; however, their high coherence produces speckle noise, which reduces the clarity of images cast by compact projection systems. Existing suppression methods often require complex designs. Here, we propose a simple miniaturized speckle suppression structure (SSS) that consists of a low-absorption particle surface and a micro-vibrating unit. By generating and superimposing different speckle patterns over time, the structure simultaneously reduces both temporal and spatial coherence. A time-varying functional model was developed using a simulation to optimize its dynamic operation. The results of the experimental validation show that at 50 Hz vibration, the speckle contrast decreases from 30.23% to 6.98%, closely matching the simulated prediction of 7.12% and outperforming static configurations by 24%. The results indicate that the SSS is a straightforward, effective solution for enhancing the image quality of compact laser projection displays. Full article
Show Figures

Figure 1

11 pages, 3400 KB  
Article
Use of Laser Speckle Contrast Imaging for Distribution of Animals by Severity of Brain Tissue Damage in a Neonatal Hypoxia-Ischemia Model in Mice
by Vladimir Pokrovskii, Konstantin Lapin, Viktoria Antonova, Mikhail Korokin, Oleg Gudyrev, Vladimir Gureev, Liliya Korokina, Olesya Scheblykina, Arkadii Nesterov, Maria Maslinikova, Ivan Chatsky, Denis Mukhamedov and Mikhail Pokrovskii
Brain Sci. 2026, 16(1), 102; https://doi.org/10.3390/brainsci16010102 - 17 Jan 2026
Viewed by 394
Abstract
Background/Objectives: Inter-individual variability in injury severity represents a major barrier to reproducibility in neonatal hypoxia–ischemia (HI) models. Objective early postoperative stratification of animals is therefore essential for standardized group allocation and reliable assessment of experimental outcomes. This study aimed to evaluate whether [...] Read more.
Background/Objectives: Inter-individual variability in injury severity represents a major barrier to reproducibility in neonatal hypoxia–ischemia (HI) models. Objective early postoperative stratification of animals is therefore essential for standardized group allocation and reliable assessment of experimental outcomes. This study aimed to evaluate whether laser speckle contrast imaging (LSCI) can be used as a rapid, noninvasive tool for early post hoc stratification of ischemic brain damage severity in neonatal mice following HI. Methods: Neonatal CD-1 mice (postnatal day 9; n = 60) underwent hypoxia–ischemia using a modified Rice–Vannucci protocol. Cerebral perfusion was assessed by laser speckle contrast imaging at baseline, 3 h, and 7 days after HI. The difference in mean perfusion between ipsilateral and contralateral hemispheres at 3 h (Δ perfusion) was used to stratify animals into severity groups. Brain injury was quantified by 2,3,5-triphenyltetrazolium chloride (TTC) staining at 24 h and 7 days. Survival was monitored for 7 days and analyzed using Kaplan–Meier curves and the log-rank (Mantel–Cox) test. Results: LSCI-derived Δ perfusion at 3 h enabled the formation of distinct injury-severity groups (no visible damage, mild, moderate, and severe) with significant between-group differences (p < 0.0001). TTC-based lesion area increased stepwise across severity groups, and Δ perfusion correlated with lesion size when all animals were analyzed together (r = 0.688, p = 0.0011). No significant correlations were observed within individual severity groups, indicating that the overall association was driven primarily by between-group differences. Survival analysis revealed 75% mortality in the severe injury group (p < 0.0001). Conclusions: LSCI represents a robust and practical approach for early, objective, group-level stratification of neonatal mice by HI injury severity, thereby improving reproducibility and statistical validity in preclinical studies. However, its ability to predict outcomes within individual severity categories is limited, and repeated long-term measurements may pose technical challenges. Full article
(This article belongs to the Section Molecular and Cellular Neuroscience)
Show Figures

Graphical abstract

29 pages, 9815 KB  
Article
Minimally Invasive Endovascular Administration for Targeted PLGA Nanoparticles Delivery to Brain, Salivary Glands, Kidney and Lower Limbs
by Olga A. Sindeeva, Lyubov I. Kazakova, Alexandra Sain, Olga I. Gusliakova, Oleg A. Kulikov, Daria A. Terentyeva, Irina A. Gololobova, Nikolay A. Pyataev and Gleb B. Sukhorukov
Pharmaceutics 2026, 18(1), 85; https://doi.org/10.3390/pharmaceutics18010085 - 9 Jan 2026
Viewed by 646
Abstract
Background: While intravenous administration of nanoparticles (NPs) is effective for targeting the lungs and liver, directing them to other organs and tissues remains challenging. Methods: Here, we report alternative administration routes that improve organ-specific accumulation of poly (lactic-co-glycolic acid) (PLGA) NPs (100 nm, [...] Read more.
Background: While intravenous administration of nanoparticles (NPs) is effective for targeting the lungs and liver, directing them to other organs and tissues remains challenging. Methods: Here, we report alternative administration routes that improve organ-specific accumulation of poly (lactic-co-glycolic acid) (PLGA) NPs (100 nm, negatively charged) loaded with the near-infrared dye Cyanine 7 (Cy7). NP cytotoxicity was evaluated in HEK293, mMSCs, C2C12, L929, and RAW264.7 cells. Hemocompatibility was assessed using WBCs and RBCs. NPs were administered via the tail vein, carotid, renal, and femoral arteries in BALB/c mice. Administration safety was evaluated by laser speckle contrast imaging and histological analysis. NP biodistribution and accumulation were assessed using in vivo and ex vivo fluorescence tomography and confocal microscopy of cryosections. Results: PLGA-Cy7 NPs demonstrate low cytotoxicity even at high doses and exhibit good hemocompatibility. Administration of NPs through the mouse carotid, renal, and femoral arteries significantly increases accumulation in the target ipsilateral brain hemisphere (31.7-fold) and salivary glands (28.3-fold), kidney (13.7-fold), and hind paw (3.6-fold), respectively, compared to intravenous administration. Injection of NPs through arteries supplying the target organs and tissues does not result in significant changes in blood flow, morphological alterations, or irreversible embolization of vessels, provided the procedure is performed correctly and the optimal dosage is used. Conclusions: These results highlight the potential of intra-arterial delivery of NPs for organ-specific drug targeting, underscoring the synergistic impact of advances in materials science, minimally invasive endovascular surgery, and nanomedicine. Full article
(This article belongs to the Section Nanomedicine and Nanotechnology)
Show Figures

Figure 1

12 pages, 903 KB  
Article
Effects of a Red-Ginger-Based Multi-Nutrient Supplement on Optic Nerve Head Blood Flow in Open-Angle Glaucoma
by Akiko Hanyuda, Satoru Tsuda, Nana Takahashi, Naoki Takahashi, Kota Sato and Toru Nakazawa
Nutrients 2026, 18(1), 140; https://doi.org/10.3390/nu18010140 - 1 Jan 2026
Viewed by 1077
Abstract
Objectives: Glaucoma is an age-related neurodegenerative disease, characterized by retinal ganglion cell loss and progressive visual field deterioration. Beyond intraocular pressure (IOP), vascular and metabolic dysregulation contributes to optic nerve head (ONH) ischemia and neuronal vulnerability. Nutritional factors with antioxidative and vasodilatory [...] Read more.
Objectives: Glaucoma is an age-related neurodegenerative disease, characterized by retinal ganglion cell loss and progressive visual field deterioration. Beyond intraocular pressure (IOP), vascular and metabolic dysregulation contributes to optic nerve head (ONH) ischemia and neuronal vulnerability. Nutritional factors with antioxidative and vasodilatory properties may help preserve ocular perfusion. This study investigated the acute and subacute effects of a single dose of a dietary supplement containing red ginger extract (Zingiber officinale var. rubra), lutein, and vitamin B6 on ONH blood flow in patients with open-angle glaucoma (OAG). Methods: A retrospective self-controlled study was conducted at Tohoku University Hospital between August 2023 and March 2025. ONH blood flow was quantified using a laser speckle flowgraphy (LSFG) baseline one hour after and one month after continuous oral supplementation in patients with OAG. Systemic parameters, ocular biometry, and concomitant glaucoma medications were recorded in medical charts. Relative mean blur rate (MBR) changes were analyzed using a linear mixed-effects model, accounting for repeated measures and inter-eye correlations. Results: Nineteen glaucoma patients (38 eyes) were included in the acute phase and 13 patients (26 eyes) completed the one-month follow-up. After adjusting for age and sex, a single oral dose of red ginger extract significantly increased the relative MBR at 1 h (106.9 ± 3.1%; p < 0.05), and this enhancement increased after 1 month of continuous intake (115.4 ± 6.7%; p < 0.05). Greater ONH perfusion was particularly prominent in eyes with shorter axial length. Conclusions: Oral supplementation was associated with acute and short-term increases in ONH blood flow in glaucomatous eyes. Although this study was a retrospective study without a placebo-controlled comparison group, our findings offer hypothesis-generating evidence that nutritional interventions may support ocular perfusion alongside conventional glaucoma management. Future prospective randomized controlled trials are required to confirm these associations. Full article
Show Figures

Graphical abstract

24 pages, 9697 KB  
Article
Rapid Seed Viability Detection Using Laser Speckle Weighted Generalized Difference with Improved Residual Networks
by Sen Men, Junhao Zhang, Xinhong Liu, Tianyi Sun and Wei Liu
Agronomy 2026, 16(1), 81; https://doi.org/10.3390/agronomy16010081 - 27 Dec 2025
Cited by 1 | Viewed by 393
Abstract
Conventional seed viability assessment methods are often destructive, time-consuming, and highly sensitive to environmental conditions, resulting in estimated annual global agricultural losses exceeding 12 billion USD, as reported by the Food and Agriculture Organization (FAO) of the United Nations. To overcome these limitations, [...] Read more.
Conventional seed viability assessment methods are often destructive, time-consuming, and highly sensitive to environmental conditions, resulting in estimated annual global agricultural losses exceeding 12 billion USD, as reported by the Food and Agriculture Organization (FAO) of the United Nations. To overcome these limitations, this study proposes a non-destructive framework for evaluating the viability of multiple pea seed varieties—including Gancui-2, Jinwan No.6, Hongyun 211, Mawan No.1, and Wuxuwan No.2—using laser speckle imaging (LSI). A He–Ne laser combined with a CCD camera was employed to capture 512-frame dynamic speckle sequences from 3000 seeds. A weighted generalized difference (WGD) algorithm was developed to enhance feature extraction by emphasizing physiologically relevant temporal variations through frame weighting based on the global mean and standard deviation of inter-frame differences. The extracted features were classified using an improved Weighted Generalized Residual Network (ResNet-W), which integrates weighted average pooling and 1 × 1 convolution to enhance feature aggregation and classification efficiency. Experimental results demonstrated strong performance, achieving 91.32% accuracy, 90.78% precision, 92.04% recall, and a 91.38% F1-score. The proposed framework offers a cost-effective, high-accuracy, and fully non-destructive solution for seed viability assessment, with significant potential for real-time agricultural quality monitoring and intelligent seed sorting applications. Full article
(This article belongs to the Section Precision and Digital Agriculture)
Show Figures

Figure 1

Back to TopTop