Sign in to use this feature.

Years

Between: -

Subjects

remove_circle_outline
remove_circle_outline
remove_circle_outline
remove_circle_outline
remove_circle_outline
remove_circle_outline
remove_circle_outline
remove_circle_outline
remove_circle_outline

Journals

remove_circle_outline
remove_circle_outline
remove_circle_outline
remove_circle_outline
remove_circle_outline
remove_circle_outline
remove_circle_outline

Article Types

Countries / Regions

remove_circle_outline
remove_circle_outline
remove_circle_outline
remove_circle_outline

Search Results (305)

Search Parameters:
Keywords = large separation distance

Order results
Result details
Results per page
Select all
Export citation of selected articles as:
18 pages, 28370 KB  
Communication
Design and Analysis of a Magnetic Anchored and Cable-Driven Surgical Forceps for Minimally Invasive Surgery
by Jingwu Li, Yingtian Li, Zhongqing Sun and Zhijun Sun
Micromachines 2025, 16(10), 1109; https://doi.org/10.3390/mi16101109 - 29 Sep 2025
Abstract
Magnetic surgical instruments are primarily driven by magnetic force and/or micro-motors. When micro-motors are used to drive motion, they are typically installed near the manipulator joints, resulting in a larger manipulator size due to the presence of micro-motors. We designed a magnetic anchored [...] Read more.
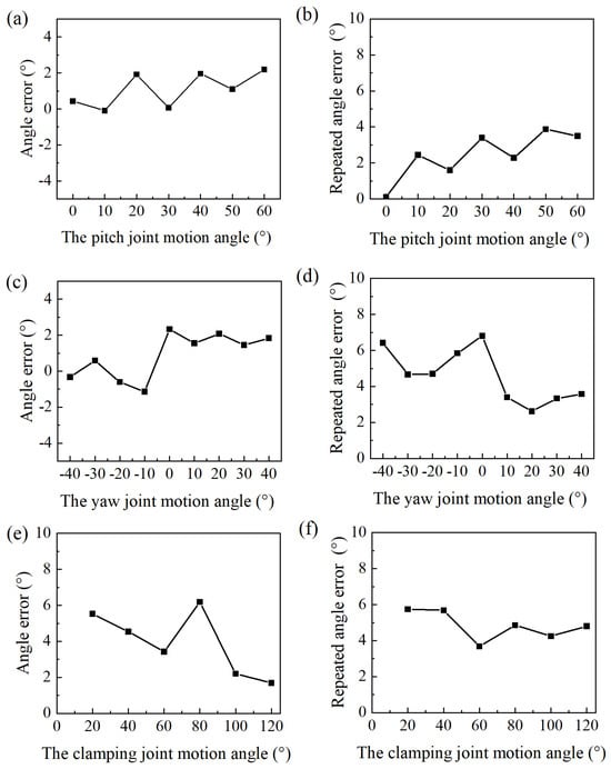
Magnetic surgical instruments are primarily driven by magnetic force and/or micro-motors. When micro-motors are used to drive motion, they are typically installed near the manipulator joints, resulting in a larger manipulator size due to the presence of micro-motors. We designed a magnetic anchored and cable-driven surgical forceps, which separates micro-motors from the manipulator through cables. The cables are responsible for transmitting motion and force from micro-motors to the manipulator. This design enables the integration of relatively large motors (diameter: 8 mm) while maintaining a compact overall diameter of the manipulator (diameter: 10 mm). This is beneficial for improving the flexibility of the manipulator and facilitating the coordination between surgical instruments. The manipulator of the magnetic anchored and cable-driven surgical forceps has three degrees of freedom (DoFs): pitch, yaw and clamping. A magnetic attraction experiment was conducted to measure the magnetic force on the magnetic surgical forceps with the variation of abdominal skin thickness. The results indicate that at a distance of 20 mm, the magnetic force exerted on the magnetic surgical forceps is 5.86 N, with a maximum vertical load capacity of 5.13 N. Additionally, an ex vivo experiment was conducted to validate the practicality of the magnetic anchored and cable-driven surgical forceps prototype. Full article
(This article belongs to the Special Issue Functional Materials and Microdevices, 2nd Edition)
Show Figures

Figure 1

25 pages, 3491 KB  
Article
Selective Targeting and Enhanced Photodynamic Inactivation of Methicillin-Resistant Staphylococcus aureus (MRSA) by a Decacationic Vancomycin–Mesochlorin Conjugate
by He Yin, Xiaojing Liu, Min Wang, Ying Wang, Tianhong Dai and Long Y. Chiang
Antibiotics 2025, 14(10), 978; https://doi.org/10.3390/antibiotics14100978 - 28 Sep 2025
Abstract
Background/Objectives: Covalent conjugation of an antibiotic vancomycin (VCM) moiety and a photosensitizing mesochlorin (mChlPd) unit into one molecular entity may present the potential to produce the combinatorial effect of both antibacterial photodynamic therapeutic (aPDT) and antibiotic activities. Our recent [...] Read more.
Background/Objectives: Covalent conjugation of an antibiotic vancomycin (VCM) moiety and a photosensitizing mesochlorin (mChlPd) unit into one molecular entity may present the potential to produce the combinatorial effect of both antibacterial photodynamic therapeutic (aPDT) and antibiotic activities. Our recent study indicated that a short linkage of <4 (C−C/or C−N) bond distances between these two moieties resulted in significant steric hindrance due to the bulky VCM, which greatly reduces the accessibility of the agent to the cell surface of methicillin-resistant Staphylococcus aureus (MRSA). The observed aPDT efficacy was found to be minimal. Here, we report that the revision of this linkage, via an EG10 unit using identical synthetic procedures, was able to resolve the issue. Methods: Accordingly, the corresponding combinatorial aPDT−antibiotic compound, consisting of two covalently bonded quaternary ammonium pentacationic arms on the mesochlorin chromophore core, designated as VCMe-mChlPd-N10+ (LC40e+), was prepared for applications in antibacterial photodynamic inactivation (aPDI) activity. It was selected to investigate its enhanced binding and targeting ability to the surface of Gram-positive MRSA cells. Subsequent antibacterial photodynamic therapeutic (aPDT) activity to inactivate MRSA was investigated to substantiate the corresponding cell-surface binding effect on the efficacy of aPDT. Results: We found that the covalent combination of 10 positive charges and an MRSA-targeting vancomycin (VCM) moiety in a conjugated structure, functioning as an antibiotic–decacationic photosensitizing agent (Abx-dcPS), was capable of largely improving the MRSA cell-targeting efficiency. Importantly, variation in the chain length of the oligo(ethylene glycol) linker of VCMe-mChlPd-N10+, which was sufficiently long enough to properly separate the photoactive mesochlorin ring moiety from the VCM moiety within the molecular structure, resulted in significantly enhanced aPDT activity. The new conjugate provided nearly complete eradication (>6.5-log10 colony-forming units (CFU) reduction) of MRSA cells in vitro. The aPDT efficacy followed the order Abx-dcPS (combinatorial decacationic) > dcPS (decacationic) >> nPS (nonionic). This order was also verified by the relative physical binding trend of these PSs using either nPS-, dcPS-, or Abx-dcPS-pretreated and pre-fixed MRSA cells in investigations of fluorescent confocal microscopy, UV–vis fluorescence spectroscopy, and transmission electron microscopy (TEM). Conclusions: Furthermore, the molecular conjugate of Abx-dcPS may provide covalent co-delivery of two drug components concurrently, which might also serve as an effective antibiotic agent after aPDT and potentially prevent the reoccurrence of MRSA-induced infection. Full article
Show Figures

Figure 1

21 pages, 2713 KB  
Article
Stacking in Layered Covalent Organic Frameworks: A Computational Approach and PXRD Reference Guide
by Robbin Steentjes and Egbert Zojer
Int. J. Mol. Sci. 2025, 26(18), 9222; https://doi.org/10.3390/ijms26189222 - 21 Sep 2025
Viewed by 165
Abstract
The stacking arrangement of layered covalent organic frameworks (LCOFs) critically influences their structure and function. We present a fully ab initio-based workflow to characterize stacking disorder in COF-1, combining simulated powder X-ray diffraction (PXRD) with stacking energy landscape analysis. By comparing PXRD patterns [...] Read more.
The stacking arrangement of layered covalent organic frameworks (LCOFs) critically influences their structure and function. We present a fully ab initio-based workflow to characterize stacking disorder in COF-1, combining simulated powder X-ray diffraction (PXRD) with stacking energy landscape analysis. By comparing PXRD patterns of idealized eclipsed, inclined, serrated, and staggered stacking with experiment, we rule out periodic high-symmetry motifs. A comprehensive “PXRD reference guide” links specific diffraction features to slip directions and magnitudes, providing a blueprint for the interpretation of experimental data of slipped structures. Quantum-mechanical potential energy surfaces reveal multiple symmetry-equivalent minima separated by small barriers. This makes diverse slip configurations thermally accessible and large-scale stacking disorder inevitable. Nevertheless, as staggered configurations are found to be energetically disfavored, open pore channels prevail despite the disorder. From the energy landscapes, we construct static disordered models using Boltzmann-weighted probabilities, where also the question is addressed, which energies should be used for actually calculating the Boltzmann weights. Simulated PXRD patterns from these models excellently reproduce experimental peak positions, shapes, and stacking distances, suggesting the dominance of disordered stacking not only in COF-1. Full article
(This article belongs to the Section Physical Chemistry and Chemical Physics)
Show Figures

Figure 1

24 pages, 8341 KB  
Article
Research on Identification and Localization of Flanges on LNG Ships Based on Improved YOLOv8s Models
by Songling Song, Wuwei Feng, Rongsheng Lin, Wei Wang, Guicai Liu and Lin Xu
Appl. Sci. 2025, 15(18), 10051; https://doi.org/10.3390/app151810051 - 14 Sep 2025
Viewed by 344
Abstract
Recognition of flanges on LNG (“Liquefied Natural Gas”) vessels and distance determination are key prerequisites for automated docking of an unloading arm, and in complex environments, flange detection faces challenges such as low accuracy and large distance measurement errors. Therefore, an improved lightweight [...] Read more.
Recognition of flanges on LNG (“Liquefied Natural Gas”) vessels and distance determination are key prerequisites for automated docking of an unloading arm, and in complex environments, flange detection faces challenges such as low accuracy and large distance measurement errors. Therefore, an improved lightweight high-precision approach based on YOLOv8s that integrates the C2f_Ghost module, a CBAM, and Concat_BiFPN was proposed. In addition, a monocular ranging algorithm based on pixel width and coordinate transformation was introduced to estimate the 3D coordinates of a flange. Specifically, the original Bottleneck in the C2f module was replaced by the Ghost module, which combines dynamic convolution and dynamic depth-separable convolution to enhance feature representation while reducing model complexity. A CBAM was introduced in the middle layer of the backbone module to improve the model’s focus on key features with minimal parameter increases, and Concat_BiFPN was used in the neck to facilitate cross-scale feature fusion. To ensure the reproducibility of the experiments, this study primarily employed a fixed random seed (0), and experimental validation analysis was conducted on a flange dataset. The results show that for the improved model, mAP@0.5 reached 97.5% and mAP@0.5:0.95 reached 82.3% with a parameter size of 9.34 M, representing improvements in accuracy of 0.6% and 13.4%, respectively, and a reduction in the parameter size of 16.2% compared with the original YOLOv8s. The average ranging errors of the X-axis, Y-axis, and Z-axis were 2.43%, 2.77%, and 0.71%, respectively. Therefore, the combination of the two algorithms significantly improves the detection and ranging accuracy of flanges in complex environments. Full article
Show Figures

Figure 1

30 pages, 9222 KB  
Article
Thermodynamic Modeling of Multilayer Insulation Schemes Coupling Liquid Nitrogen Cooled Shield and Vapour Hydrogen Cooled Shield for LH2 Tank
by Jingyang Lu, Liqiong Chen and Xingyu Zhou
Processes 2025, 13(8), 2574; https://doi.org/10.3390/pr13082574 - 14 Aug 2025
Viewed by 481
Abstract
The thermal insulation performance of liquid hydrogen (LH2) storage tanks is critical for long-distance transportation. The active cooled shield (ACS) technologies, such as the liquid nitrogen cooled shield (LNCS) and the vapor hydrogen cooled shield (VHVCS) are important thermal insulation methods. [...] Read more.
The thermal insulation performance of liquid hydrogen (LH2) storage tanks is critical for long-distance transportation. The active cooled shield (ACS) technologies, such as the liquid nitrogen cooled shield (LNCS) and the vapor hydrogen cooled shield (VHVCS) are important thermal insulation methods. Many researchers installed the VHVCS inside the multilayer insulation (MLI) and obtained the optimal position. However, the MLI layer is often thinner than the vacuum interlayer between the inner and outer tanks, and there is a large vacuum interlayer between the outermost side of MLI and the inner wall of the outer tank. It is unknown whether the insulation performance can be improved if we install ACS in the mentioned vacuum interlayer and separate a portion of the MLI to be installed on the outer surface of ACS. In this configuration, the number of inner MLI (IMLI) layers and the ACS position are interdependent, a coupling that has not been thoroughly investigated. Therefore, thermodynamic models for MLI, MLI-LNCS, and MLI-VHVCS schemes were developed based on the Layer-by-Layer method. By applying Robin boundary conditions, the temperature distribution and heat leakage of the MLI scheme were predicted. Considering the coupled effects of IMLI layer count and ACS position, a co-optimization strategy was adopted, based on an alternating iterative search algorithm. The results indicate that for the MLI-LNCS scheme, the optimal number of IMLI layers and LNCS position are 36 layers and 49%, respectively. For the MLI-VHVCS scheme, the optimal values are 21 layers and 39%, respectively. Compared to conventional MLI, the MLI-LNCS scheme achieves an 88.09% reduction in heat leakage. However, this improvement involves increased system complexity and higher operational costs from LN2 circulation. In contrast, the MLI-VHVCS scheme achieves a 62.74% reduction in heat leakage, demonstrating that using sensible heat from cryogenic vapor can significantly improve the thermal insulation performance of LH2 storage tanks. The work of this paper provides a reference for the design and optimization of the insulation scheme of LH2 storage tanks. Full article
(This article belongs to the Section Chemical Processes and Systems)
Show Figures

Figure 1

24 pages, 6997 KB  
Article
Characteristics of Overlying Rock Breakage and Fissure Evolution in the Mining of Extra-Thick Coal Seams in Anticline Structural Area
by Jun Wang, Shibao Liu, Xin Yu, Haoyuan Gu, Huaidong Liu and Changyou Liu
Appl. Sci. 2025, 15(16), 8812; https://doi.org/10.3390/app15168812 - 9 Aug 2025
Viewed by 454
Abstract
To reveal the fracture mechanism of overburden aquifers during mining under anticlinal structural zones in western mining areas, this study takes Panel 1309 of the Guojiahe Coal Mine as the engineering background and employs field investigations, physical similarity simulation, and numerical simulation methods [...] Read more.
To reveal the fracture mechanism of overburden aquifers during mining under anticlinal structural zones in western mining areas, this study takes Panel 1309 of the Guojiahe Coal Mine as the engineering background and employs field investigations, physical similarity simulation, and numerical simulation methods to systematically investigate the overburden fracture and crack evolution laws during extra-thick coal seam mining in anticlinal zones. The research results demonstrate the following: (1) The large slope angle of the anticlinal zone and significant elevation difference between slope initiation points and the axis constitute the primary causes of water inrush-induced support failures in working face 1309. The conglomerate of the Yijun Formation serves as the critical aquifer responsible for water inrush, while the coarse sandstone in the Anding Formation acts as the key aquiclude. (2) Influenced by the slope angle, both overburden fractures and maximum bed separation zones during rise mining predominantly develop toward the goaf side. The water-conducting fracture zone initially extends in the advance direction, when its width is greater than its height, and changes to a height greater than its width when the key aquifer fractures and connects to the main aquifer. (3) The height of the collapse zone of the working face is 65 m, and the distribution of broken rock blocks in the collapse zone is disordered; after the fracture of the water-insulating key layer, the upper rock layer is synchronously fractured and activated, and the water-conducting fissure leads to the water-conducting layer of the Yijun Formation. (4) Compared to the periodic ruptures of the main roof, the number of fractures and their propagation speed are greater during the initial ruptures of each stratum. Notably, the key aquiclude’s fracture triggers synchronous collapse of overlying strata, generating the most extensive and rapidly developing fracture networks. (5) The fracture surface on the mining face side and the overlying strata separation zone jointly form a “saddle-shaped” high-porosity area, whose distribution range shows a positive correlation with the working face advance distance. During the mining process, the porosity variation in the key aquiclude undergoes three distinct phases with advancing distance: first remaining stable, then increasing, and finally decreasing, with porosity reaching its peak when the key stratum fractures upon attaining its ultimate caving interval. Full article
(This article belongs to the Special Issue Novel Research on Rock Mechanics and Geotechnical Engineering)
Show Figures

Figure 1

32 pages, 1939 KB  
Review
A Review on Anaerobic Digestate as a Biofertilizer: Characteristics, Production, and Environmental Impacts from a Life Cycle Assessment Perspective
by Carmen Martín-Sanz-Garrido, Marta Revuelta-Aramburu, Ana María Santos-Montes and Carlos Morales-Polo
Appl. Sci. 2025, 15(15), 8635; https://doi.org/10.3390/app15158635 - 4 Aug 2025
Cited by 4 | Viewed by 1857
Abstract
Digestate valorization is essential for sustainable waste management and circular economy strategies, yet large-scale adoption faces technical, economic, and environmental challenges. Beyond waste-to-energy conversion, digestate is a valuable soil amendment, enhancing soil structure and reducing reliance on synthetic fertilizers. However, its agronomic benefits [...] Read more.
Digestate valorization is essential for sustainable waste management and circular economy strategies, yet large-scale adoption faces technical, economic, and environmental challenges. Beyond waste-to-energy conversion, digestate is a valuable soil amendment, enhancing soil structure and reducing reliance on synthetic fertilizers. However, its agronomic benefits depend on feedstock characteristics, treatment processes, and application methods. This study reviews digestate composition, treatment technologies, regulatory frameworks, and environmental impact assessment through Life Cycle Assessment. It analyzes the influence of functional unit selection and system boundary definitions on Life Cycle Assessment outcomes and the effects of feedstock selection, pretreatment, and post-processing on its environmental footprint and fertilization efficiency. A review of 28 JCR-indexed articles (2018–present) analyzed LCA studies on digestate, focusing on methodologies, system boundaries, and impact categories. The findings indicate that Life Cycle Assessment methodologies vary widely, complicating direct comparisons. Transportation distances, nutrient stability, and post-processing strategies significantly impact greenhouse gas emissions and nutrient retention efficiency. Techniques like solid–liquid separation and composting enhance digestate stability and agronomic performance. Digestate remains a promising alternative to synthetic fertilizers despite market uncertainty and regulatory inconsistencies. Standardized Life Cycle Assessment methodologies and policy incentives are needed to promote its adoption as a sustainable soil amendment within circular economy frameworks. Full article
(This article belongs to the Special Issue Novel Research on By-Products and Treatment of Waste)
Show Figures

Figure 1

36 pages, 11174 KB  
Article
Exploring Cranial Growth Patterns from Birth to Adulthood for Forensic Research and Practice
by Briana T. New, Kyra E. Stull, Louise K. Corron and Christopher A. Wolfe
Forensic Sci. 2025, 5(3), 32; https://doi.org/10.3390/forensicsci5030032 - 26 Jul 2025
Cited by 1 | Viewed by 1147
Abstract
Although cranial growth has been extensively explored, forensic and biological anthropology lack a formal incorporation of how cranial growth processes impact the adult phenotype and downstream biological profile estimations. Objectives: This research uses an ontogenetic framework to identify when interlandmark distances (ILDs) stabilize [...] Read more.
Although cranial growth has been extensively explored, forensic and biological anthropology lack a formal incorporation of how cranial growth processes impact the adult phenotype and downstream biological profile estimations. Objectives: This research uses an ontogenetic framework to identify when interlandmark distances (ILDs) stabilize during growth to reach adult levels of variation and to evaluate patterns of cranial sexual size dimorphism. Methods: Multivariate adaptive regression splines (MARS) were conducted on standardized cranial ILDs for 595 individuals from the Subadult Virtual Anthropology Database (SVAD) and the Forensic Data Bank (FDB) aged between birth and 25 years. Cross-Validated R-squared (CVRSq) values evaluated ILD variation explained by age while knot placements identified meaningful changes in ILD growth trajectories. Results: Results reveal the ages at which males and females reach craniometric maturity across splanchnocranium, neurocranium, basicranium and cross-regional ILDs. Changes in growth patterns observed here largely align with growth milestones of integrated soft tissue and skeletal structures as well as developmental milestones like puberty. Conclusions: Our findings highlight the variability in growth by sex and cranial region and move forensic anthropologists towards recognizing cranial growth as a mosaic, continuous process with overlap between subadults and adults rather than consistently approaching subadult and adult research separately. Full article
(This article belongs to the Special Issue Forensic Anthropology and Human Biological Variation)
Show Figures

Figure 1

25 pages, 11253 KB  
Article
YOLO-UIR: A Lightweight and Accurate Infrared Object Detection Network Using UAV Platforms
by Chao Wang, Rongdi Wang, Ziwei Wu, Zetao Bian and Tao Huang
Drones 2025, 9(7), 479; https://doi.org/10.3390/drones9070479 - 7 Jul 2025
Viewed by 1256
Abstract
Within the field of remote sensing, Unmanned Aerial Vehicle (UAV) infrared object detection plays a pivotal role, especially in complex environments. However, existing methods face challenges such as insufficient accuracy or low computational efficiency, particularly in the detection of small objects. This paper [...] Read more.
Within the field of remote sensing, Unmanned Aerial Vehicle (UAV) infrared object detection plays a pivotal role, especially in complex environments. However, existing methods face challenges such as insufficient accuracy or low computational efficiency, particularly in the detection of small objects. This paper proposes a lightweight and accurate UAV infrared object detection model, YOLO-UIR, for small object detection from a UAV perspective. The model is based on the YOLO architecture and mainly includes the Efficient C2f module, lightweight spatial perception (LSP) module, and bidirectional feature interaction fusion (BFIF) module. The Efficient C2f module significantly enhances feature extraction capabilities by combining local and global features through an Adaptive Dual-Stream Attention Mechanism. Compared with the existing C2f module, the introduction of Partial Convolution reduces the model’s parameter count while maintaining high detection accuracy. The BFIF module further enhances feature fusion effects through cross-level semantic interaction, thereby improving the model’s ability to fuse contextual features. Moreover, the LSP module efficiently combines features from different distances using Large Receptive Field Convolution Layers, significantly enhancing the model’s long-range information capture capability. Additionally, the use of Reparameterized Convolution and Depthwise Separable Convolution ensures the model’s lightweight nature, making it highly suitable for real-time applications. On the DroneVehicle and HIT-UAV datasets, YOLO-UIR achieves superior detection performance compared to existing methods, with an mAP of 71.1% and 90.7%, respectively. The model also demonstrates significant advantages in terms of computational efficiency and parameter count. Ablation experiments verify the effectiveness of each optimization module. Full article
(This article belongs to the Special Issue Intelligent Image Processing and Sensing for Drones, 2nd Edition)
Show Figures

Figure 1

22 pages, 12753 KB  
Article
Detecting Out-of-Distribution Samples in Complex IoT Traffic Based on Distance Loss
by Chengye Zhao, Jinxin Zuo, Mingrui Fan, Yun Cai, Yueming Lu and Chonghua Wang
Appl. Sci. 2025, 15(13), 7522; https://doi.org/10.3390/app15137522 - 4 Jul 2025
Viewed by 372
Abstract
Out-of-distribution (OOD) detection is critical for securing Internet of Things (IoT) systems, particularly in applications such as intrusion detection and device identification. However, conventional classification-based approaches struggle in IoT environments due to challenges like large class numbers and data imbalance. To address these [...] Read more.
Out-of-distribution (OOD) detection is critical for securing Internet of Things (IoT) systems, particularly in applications such as intrusion detection and device identification. However, conventional classification-based approaches struggle in IoT environments due to challenges like large class numbers and data imbalance. To address these limitations, we propose a novel framework that combines class mean clustering and a group-level feature distance loss to optimize both intra-group compactness and inter-group separability. Our framework utilizes Mahalanobis distance for robust OOD scoring and Kernel density estimation (KDE) for adaptive threshold selection, enabling precise boundary estimation under varying data distributions. Experimental results on real-world IoT datasets show that our framework outperforms baseline techniques, achieving at least a 10% improvement in AUROC and a 33% reduction in FPR95, demonstrating its scalability and effectiveness in complex, imbalanced IoT scenarios. Full article
(This article belongs to the Special Issue IoT Technology and Information Security)
Show Figures

Graphical abstract

27 pages, 2591 KB  
Article
MCRS-YOLO: Multi-Aggregation Cross-Scale Feature Fusion Object Detector for Remote Sensing Images
by Lu Liu and Jun Li
Remote Sens. 2025, 17(13), 2204; https://doi.org/10.3390/rs17132204 - 26 Jun 2025
Viewed by 797
Abstract
With the rapid development of deep learning, object detection in remote sensing images has attracted extensive attention. However, remote sensing images typically exhibit the following characteristics: significant variations in object scales, dense small targets, and complex backgrounds. To address these challenges, a novel [...] Read more.
With the rapid development of deep learning, object detection in remote sensing images has attracted extensive attention. However, remote sensing images typically exhibit the following characteristics: significant variations in object scales, dense small targets, and complex backgrounds. To address these challenges, a novel object detection method named MCRS-YOLO is innovatively proposed. Firstly, a Multi-Branch Aggregation (MBA) network is designed to enhance information flow and mitigate challenges caused by insufficient object feature representation. Secondly, we construct a Multi-scale Feature Refinement and Fusion Pyramid Network (MFRFPN) to effectively integrate spatially multi-scale features, thereby augmenting the semantic information of feature maps. Thirdly, a Large Depth-wise Separable Kernel (LDSK) module is proposed to comprehensively capture contextual information while achieving an enlarged effective receptive field. Finally, the Normalized Wasserstein Distance (NWD) is introduced into hybrid loss training to emphasize small object features and suppress background interference. The efficacy and superiority of MCRS-YOLO are rigorously validated through extensive experiments on two publicly available datasets: NWPU VHR-10 and VEDAI. Compared with the baseline YOLOv11, the proposed method demonstrates improvements of 4.0% and 6.7% in mean Average Precision (mAP), which provides an efficient and accurate solution for object detection in remote sensing images. Full article
Show Figures

Figure 1

12 pages, 1127 KB  
Article
Automated Clinical Dosimetry Planning of Dense Lattice Radiation Therapy
by David Macias-Verde, Javier Burgos-Burgos and Pedro C. Lara
Cancers 2025, 17(12), 2048; https://doi.org/10.3390/cancers17122048 - 19 Jun 2025
Viewed by 1027
Abstract
Background: Patients bearing large-volume, bulky primary or relapsed tumors, are usually referred to palliative low-dose radiotherapy with very poor results. Lattice Radiation Therapy (LRT) is able to produce a high number of high-dose foci or vortexes (multiple SBRT treatments), separated by low-dose zones [...] Read more.
Background: Patients bearing large-volume, bulky primary or relapsed tumors, are usually referred to palliative low-dose radiotherapy with very poor results. Lattice Radiation Therapy (LRT) is able to produce a high number of high-dose foci or vortexes (multiple SBRT treatments), separated by low-dose zones (valleys). Treatment planning on vortex placing, valley definition, and dose administered depends on individual decisions of the treating team. The aim of our study is to assess for the first time the possibility of a dense fractionated LRT within the target volume. Methods: A total of 22 treatments in 20 patients were performed in the frame of a prospective observational study of fractionated LRT ongoing in our institution. According to our aim of achieving dense LRT, no GTV contraction was considered to create the LRTV (GTV is equal to LRTV). The vortexes were segmented as 1 cm diameter at a 1.5 cm vortex-to-vortex distance. Dose prescription to the vortexes per fraction was 12 Gy. Results: The vortex/LRTV ratio was 7.38 ± 2.13% (3.4–10.40%, median 7.60%). Mean dose to the vortex volume was 11.90 ± 0.09 Gy (11.70–12.10 Gy, median 11.90 Gy). Mean dose administered to the valley volume was 8.29 ± 0.70 (7.05–9.51 Gy, median 8.29 Gy). Valley/vortex (peak) dose ratio (VPDR) was 69.40 ± 6.02% (59.00–79.80%, median 69.70%). The mean peripheral tumor dose was 5.11 ± 0.8710 Gy (3.16–6.78 Gy, median 5.18 Gy). Conclusions: Our dense LRT schedule fulfilled most of the recommended guidelines for LRT, increasing the high dose points without risking the dose to the surrounding tissues. Further analysis of feasibility and safety are needed to secure the clinical relevance of our proposed protocol. Full article
(This article belongs to the Special Issue New Approaches in Radiotherapy for Cancer)
Show Figures

Figure 1

17 pages, 7493 KB  
Article
Profiling Genetic Variation: Divergence Patterns and Population Structure of Thailand’s Endangered Celastrus paniculatus Willd
by Kornchanok Kaenkham, Warayutt Pilap, Weerachai Saijuntha and Sudarat Thanonkeo
Biology 2025, 14(6), 725; https://doi.org/10.3390/biology14060725 - 19 Jun 2025
Viewed by 770
Abstract
This study examined genetic diversity in the endangered medicinal plant Celastrus paniculatus using 62 individual samples from seven natural populations in northern and northeastern Thailand to inform conservation strategies. The analysis of the nuclear internal transcribed spacer (ITS) and ribulose-1,5-bisphosphate carboxylase/oxygenase large subunit [...] Read more.
This study examined genetic diversity in the endangered medicinal plant Celastrus paniculatus using 62 individual samples from seven natural populations in northern and northeastern Thailand to inform conservation strategies. The analysis of the nuclear internal transcribed spacer (ITS) and ribulose-1,5-bisphosphate carboxylase/oxygenase large subunit (rbcL) markers revealed 17 haplotypes (CpI1–CpI17) across these populations, with 15 being population-specific. The genetic diversity varied significantly among populations: CMI showed the highest diversity (Hd = 0.944 ± 0.070), while LEI and LPN displayed complete homogeneity. The haplotype network identified a central shared haplotype (CpI4), suggesting a common ancestry, with the PLK population showing a distinct genetic divergence through unique haplotypes separated by multiple mutation steps. Genetic distance calculations revealed close relationships between LEI and NPM populations (distance = 0.0004), with greater differentiation between PLK and other populations (distances > 0.005). Phylogenetic analyses confirmed the species integrity while highlighting population clusters, especially PLK in ITS analyses and LPN in rbcL analyses. This genetic structure information provides a foundation for targeted conservation planning. Results suggest that conservation efforts should prioritize both genetically diverse populations (like CMI and MKM) and genetically distinct ones (like PLK) to preserve the maximum evolutionary potential. This study delivers crucial molecular data for developing evidence-based conservation strategies to protect this valuable medicinal species from further decline. Full article
(This article belongs to the Special Issue Genetic Variability within and between Populations)
Show Figures

Figure 1

24 pages, 2536 KB  
Article
The Interplay of Inter- and Intramolecular Hydrogen Bonding in Ether Alcohols Related to n-Octanol
by Markus M. Hoffmann, Troy N. Smith and Gerd Buntkowsky
Molecules 2025, 30(11), 2456; https://doi.org/10.3390/molecules30112456 - 4 Jun 2025
Cited by 1 | Viewed by 1349
Abstract
n-Octanol and related ether alcohols are studied via molecular dynamics (MD) simulations using the two classical all-atom force fields OPLS-AA and CHARMM. The ether alcohols studied possess one ether functionality separated by varying n carbon atoms from the hydroxy group to elucidate how [...] Read more.
n-Octanol and related ether alcohols are studied via molecular dynamics (MD) simulations using the two classical all-atom force fields OPLS-AA and CHARMM. The ether alcohols studied possess one ether functionality separated by varying n carbon atoms from the hydroxy group to elucidate how the positioning of the ether functionality affects intra- and intermolecular hydrogen bonding and, in turn, the physical properties of the studied alcohols. Important general trends observed from simulations with both force fields include the following: Intramolecular hydrogen bonding is majorly present in 3-butoxypropanol and 4-propoxybutanol (n = 3 and 4) while being only marginally present for 5-ethoxypentanol and 6-methoxyhexanol (n = 5 and 6) and absent in 1-hexyloxymethanol and 2-pentyloxyethanol (n = 1 and 2). The intramolecular hydrogen bonds formed by 3-butoxypropanol and 4-propoxybutanol are among the most stable ones of all present hydrogen bonds. Intermolecular hydrogen bonding is stronger between hydroxy groups (OH-OH) than between hydroxy and ether groups (OH-OE). An increased temperature causes a reduction in intermolecular OH-OH and OH-OE hydrogen bonding but a slight increase in intramolecular hydrogen bonding. A reduction in end-to-end distances at a higher temperature is also observed for all studied alcohols, which is likely a reflection of increased dihedral bond rotations. Hydrogen bonding extends mostly between just two molecules while hydrogen bonding networks are rare but do exist, involving, in some instances, up to 30 hydrogen bonds. Regardless of force field and temperature, the obtained radial distribution functions (RDFs) mostly show the same features at same distances that only vary in their intensity. 1-hexyloxymethanol forms a very specific and stable intermolecular double OH-OE hydrogen-bonded dimer. Similar double-hydrogen-bonded dimers can be found for the ether alcohols but are only significantly present for 2-pentyloxyethanol. Overall, the main difference between OPLS-AA and CHARMM is their quantitative prediction of the present hydrogen bonding speciation largely due to the stiffer dihedral potentials in OPLS-AA compared to the CHARMM force field. The simulations indicate that (a) the variations in densities are correlated to the reduced packing efficiency caused by intramolecular hydrogen bonding, (b) self-diffusion correlates with the stability of the intermolecular hydrogen bonds, and (c) the presence of hydrogen-bonded networks, although small in numbers, affect the viscosity. Full article
(This article belongs to the Section Physical Chemistry)
Show Figures

Graphical abstract

27 pages, 3436 KB  
Article
Collaborative Scheduling of Yard Cranes, External Trucks, and Rail-Mounted Gantry Cranes for Sea–Rail Intermodal Containers Under Port–Railway Separation Mode
by Xuhui Yu and Cong He
J. Mar. Sci. Eng. 2025, 13(6), 1109; https://doi.org/10.3390/jmse13061109 - 2 Jun 2025
Viewed by 721
Abstract
The spatial separation of port yards and railway hubs, which relies on external truck drayage as a necessary link, hampers the seamless transshipment of sea–rail intermodal containers between ports and railway hubs. This creates challenges in synchronizing yard cranes (YCs) at the port [...] Read more.
The spatial separation of port yards and railway hubs, which relies on external truck drayage as a necessary link, hampers the seamless transshipment of sea–rail intermodal containers between ports and railway hubs. This creates challenges in synchronizing yard cranes (YCs) at the port terminal, external trucks (ETs) on the road, and rail-mounted gantry cranes (RMGs) at the railway hub. However, most existing studies focus on equipment scheduling or container transshipment organization under the port–railway integration mode, often overlooking critical time window constraints, such as train schedules and export container delivery deadlines. Therefore, this study investigates the collaborative scheduling of YCs, ETs, and RMGs for synchronized loading and unloading under the port–railway separation mode. A mixed-integer programming (MIP) model is developed to minimize the maximum makespan of all tasks and the empty-load time of ETs, considering practical time window constraints. Given the NP-hard complexity of this problem, an improved genetic algorithm (GA) integrated with a “First Accessible Machinery” rule is designed. Extensive numerical experiments are conducted to validate the correctness of the proposed model and the performance of the solution algorithm. The improved GA demonstrates a 6.08% better solution quality and a 97.94% reduction in computation time compared to Gurobi for small-scale instances. For medium to large-scale instances, it outperforms the adaptive large neighborhood search (ALNS) algorithm by 1.51% in solution quality and reduces computation time by 45.71%. Furthermore, the impacts of objective weights, equipment configuration schemes, port–railway distance, and time window width are analyzed to provide valuable managerial insights for decision-making to improve the overall efficiency of sea–rail intermodal systems. Full article
(This article belongs to the Special Issue Sustainable Maritime Transport and Port Intelligence)
Show Figures

Figure 1

Back to TopTop