Due to scheduled maintenance work on our servers, there may be short service disruptions on this website between 11:00 and 12:00 CEST on March 28th.
Sign in to use this feature.

Years

Between: -

Subjects

remove_circle_outline
remove_circle_outline
remove_circle_outline
remove_circle_outline
remove_circle_outline
remove_circle_outline
remove_circle_outline
remove_circle_outline
remove_circle_outline

Journals

remove_circle_outline
remove_circle_outline
remove_circle_outline
remove_circle_outline
remove_circle_outline
remove_circle_outline
remove_circle_outline
remove_circle_outline
remove_circle_outline
remove_circle_outline
remove_circle_outline
remove_circle_outline

Article Types

Countries / Regions

remove_circle_outline
remove_circle_outline
remove_circle_outline
remove_circle_outline

Search Results (692)

Search Parameters:
Keywords = kinetic parameter estimation

Order results
Result details
Results per page
Select all
Export citation of selected articles as:
16 pages, 764 KB  
Article
Integrating Tumor Biology and Host Factors in mCRPC: The Prognostic Value of ‘Time to Castration Resistance’, Systemic Inflammation, and Comorbidity Burden in Patients Treated with Enzalutamide
by Seda Sali, Arife Ulaş, Sibel Oyucu Orhan, Sevgi Topçu, Muharrem Koçar, Mürsel Sali, Birol Ocak, Adem Deligönül, Türkkan Evrensel and Erdem Çubukçu
Diagnostics 2026, 16(6), 950; https://doi.org/10.3390/diagnostics16060950 - 23 Mar 2026
Viewed by 119
Abstract
Background: Outcomes with enzalutamide in metastatic castration-resistant prostate cancer (mCRPC) are influenced by tumor burden, disease kinetics, and host factors. We evaluated the relative prognostic impact of metastatic pattern, laboratory markers, and prostate-specific antigen (PSA) dynamics in a real-world cohort. Methods: We retrospectively [...] Read more.
Background: Outcomes with enzalutamide in metastatic castration-resistant prostate cancer (mCRPC) are influenced by tumor burden, disease kinetics, and host factors. We evaluated the relative prognostic impact of metastatic pattern, laboratory markers, and prostate-specific antigen (PSA) dynamics in a real-world cohort. Methods: We retrospectively analyzed 72 patients with mCRPC treated with enzalutamide. Progression-Free Survival (PFS) and Overall Survival (OS) were estimated using the Kaplan–Meier method. Multivariate Cox proportional hazards models were utilized to identify independent predictors of survival, incorporating clinical variables (visceral metastases, bone tumor burden), kinetic parameters (Time to Castration Resistance [TTCR], Time to PSA Nadir [TTN]), and host factors (Charlson Comorbidity Index [CCI], Eastern Cooperative Oncology Group Performance Status (ECOG PS), Systemic Immune-Inflammation Index [SII], HALP score). Results: Visceral metastasis was a dominant predictor of poor outcomes, increasing the risk of death by 4.0-fold (HR: 4.05; 95% CI: 1.84–8.89; p < 0.001). A high skeletal tumor burden (≥5 bone lesions) was identified as a critical threshold, associated with a 5.5-fold increase in mortality risk (HR: 5.53; p < 0.001). Delays in initiating enzalutamide significantly compromised survival, with each 1-month delay increasing the risk of death by 7.3% (HR: 1.07; p = 0.003). While early PSA decline (≥50% at 3 months) did not independently predict OS, a prolonged TTN (>12 months) was associated with superior survival. Notably, host-related factors, including age, CCI, and ECOG PS, were not found to be significantly associated with survival outcomes in this specific dataset. Conclusions: Our preliminary findings suggest that survival in real-world mCRPC patients treated with enzalutamide may be influenced predominantly by intrinsic tumor biology—specifically anatomical extent and resistance kinetics—rather than host frailty or comorbidity burden. However, given the retrospective and single-center nature of this study, these findings should be considered hypothesis-generating and require validation in larger, multi-center cohorts. Host-related variables (including age and CCI) were evaluated but were not retained as independent predictors in the final multivariable model. Early initiation of therapy and monitoring of kinetic markers like TTN and TTCR offer superior prognostic stratification compared to static baseline characteristics. Full article
(This article belongs to the Special Issue Prostate Cancer: Innovations in Diagnosis and Risk Stratification)
Show Figures

Figure 1

49 pages, 2911 KB  
Article
From LQ to AI-BED-Fx: A Unified Multi-Fraction Radiobiological and Machine-Learning Framework for Gamma Knife Radiosurgery Across Intracranial Pathologies
by Răzvan Buga, Călin Gheorghe Buzea, Valentin Nedeff, Florin Nedeff, Diana Mirilă, Maricel Agop, Letiția Doina Duceac and Lucian Eva
Cancers 2026, 18(6), 985; https://doi.org/10.3390/cancers18060985 - 18 Mar 2026
Viewed by 146
Abstract
Background: Gamma Knife radiosurgery (GKS) delivers highly conformal intracranial irradiation, yet clinical decision-making still relies predominantly on physical dose metrics that do not account for fractionation, dose rate, treatment time, or DNA repair. Classical radiobiological models—including the linear–quadratic (LQ) formula and the Jones–Hopewell [...] Read more.
Background: Gamma Knife radiosurgery (GKS) delivers highly conformal intracranial irradiation, yet clinical decision-making still relies predominantly on physical dose metrics that do not account for fractionation, dose rate, treatment time, or DNA repair. Classical radiobiological models—including the linear–quadratic (LQ) formula and the Jones–Hopewell single-session repair model—do not extend naturally to 3- and 5-fraction GKS. Meanwhile, growing evidence suggests that biologically effective dose (BED) may better capture radiosurgical response in selected pathologies. A unified, biologically grounded, multi-fraction GKS framework has been lacking. Methods: We developed AI-BED-Fx, the first multi-fraction extension of the Jones–Hopewell radiobiological model capable of computing fraction-resolved BED for 1-, 3-, and 5-fraction GKS. The framework incorporates α/β ratio, dual-component repair kinetics, isocentre geometry, beam-on–time structure, and lesion-specific biological parameters. Four synthetic pathology-specific cohorts—arteriovenous malformation (AVM), meningioma (MEN), vestibular schwannoma (VS), and brain metastasis (BM)—were generated using distinct radiobiological signatures. Machine-learning models were trained to quantify the predictive value of physical dose versus BED for local control or obliteration. Additional experiments included Bayesian estimation of α/β and a neural-network surrogate for fast BED prediction. An exploratory comparison with a 60-lesion clinical brain–metastasis dataset was performed to assess whether key trends observed in the synthetic BM cohort were consistent with real radiosurgical outcomes. Results: AI-BED-Fx produced realistic pathology-specific BED distributions (AVM 60–210 Gy2.47; MEN 41–85 Gy3.5; VS 46–68 Gy3; BM 37–75 Gy10) and biologically coherent dose–response relationships. Predictive modeling demonstrated strong pathology dependence. In AVM, the three models achieved AUCs of 0.921 (Model A), 0.922 (Model B), and 0.924 (Model C), with corresponding Brier scores of 0.054, 0.051, and 0.051, with BED-based models performing best. In meningioma, BED was the dominant predictor, with AUCs of 0.642 (Model A), 0.660 (Model B), and 0.661 (Model C) and Brier scores of 0.181, 0.177, and 0.179, respectively. In vestibular schwannoma, the narrow BED range resulted in minimal BED contribution, with AUCs of 0.812, 0.827, and 0.830 and Brier scores of 0.165, 0.160, and 0.162, with physical dose and tumor volume determining performance. In brain metastases, outcomes were driven primarily by volume and physical dose, with AUCs of 0.614, 0.630, and 0.629 and Brier scores of 0.254, 0.250, and 0.253, showing negligible improvement from BED. AI-BED-Fx also accurately recovered the true α/β from synthetic outcomes (posterior mean 2.54 vs. true 2.47), and a neural-network surrogate reproduced full radiobiological BED calculations with near-perfect fidelity (R2 = 0.9991). Conclusions: AI-BED-Fx provides the first unified, biologically explicit framework for modeling single- and multi-fraction Gamma Knife radiosurgery. The findings show that the predictive usefulness of BED is pathology-specific rather than universal, and that radiobiological dose provides additional predictive value only when repair kinetics and dose–response biology support it. By integrating mechanistic radiobiology with machine learning, AI-BED-Fx establishes the conceptual and computational foundations for biologically adaptive, AI-guided radiosurgery, and cross-pathology comparison of treatment response. This work uses large radiobiologically grounded synthetic cohorts for methodological validation; limited real-patient data are included only for exploratory consistency checks, and full clinical validation is planned. Full article
(This article belongs to the Special Issue Novel Insights into Glioblastoma and Brain Metastases (2nd Edition))
Show Figures

Figure 1

14 pages, 2284 KB  
Article
Kinetics of Growth and Mechanical Characterization of Hard Layers Obtained on the Surface of AISI H13 Steel by the Boriding Process Using a Non-Commercial Mixture
by Yesenia Sánchez-Fuentes, Rafael Carrera-Espinosa, Raúl Tadeo-Rosas, Cintia Proa-Coronado, José A. Balderas-López, Luz A. Linares-Duarte, Melvyn Alvarez-Vera, José G. Miranda-Hernández and Enrique Hernández-Sánchez
Lubricants 2026, 14(3), 124; https://doi.org/10.3390/lubricants14030124 - 13 Mar 2026
Viewed by 208
Abstract
Boriding is a thermochemical process that improves the surface properties of metallic materials, such as wear resistance, hardness, and Young’s modulus. The current work evaluated the kinetics of boride layers formed by boriding on AISI H13 steel. The AISI H13 steel samples were [...] Read more.
Boriding is a thermochemical process that improves the surface properties of metallic materials, such as wear resistance, hardness, and Young’s modulus. The current work evaluated the kinetics of boride layers formed by boriding on AISI H13 steel. The AISI H13 steel samples were covered with a non-commercial powder mixture of 70% wt. SiC, 20% B4C wt. and 10% wt. KBF4. The samples were treated for 2, 4, and 6 h at 850, 875, and 900 °C, respectively. The growth kinetics of boride layers were estimated as a function of the treatment parameters, using a solution of the second Fick’s Law, as in a parabolic model. Also, the hardness of layers was assessed by Vickers microindentation. Optical examination of the samples showed a biphasic FeB/Fe2B layer at all temperatures after 6 h of treatment. In contrast, those exposed for 2 h exhibited a monophasic Fe2B layer with isolated zones of the FeB phase in all temperatures. The results suggested that the obtained layer thicknesses are highly dependent on the treatment parameters. After 2 h at 850 °C, the samples exhibited a well-defined layer with a thickness of 8.51 ± 1.01 μm, whereas after 6 h it was 24.39 ± 1.01 μm. The activation energy was estimated at 230.63 kJ/mol, with a correlation coefficient (R2) of 0.97, consistent with values reported in the literature. Additionally, the hardness values were estimated to range from 1880 to 2192 HV for the FeB phase and from 1294 to 1715 HV for the Fe2B phase, indicating that the hardness of the boride layers is highly dependent on the treatment conditions. Full article
(This article belongs to the Special Issue Tribological Behaviour of Borided Surfaces)
Show Figures

Figure 1

12 pages, 1248 KB  
Article
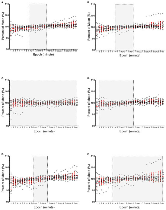
Gait Stability and Structure During a 30 Minute Treadmill Run: Implications for Protocol Duration and Shoe Familiarity
by Paul William Macdermid, Stephanie Julie Walker and Darryl Cochrane
Appl. Sci. 2026, 16(6), 2683; https://doi.org/10.3390/app16062683 - 11 Mar 2026
Viewed by 221
Abstract
Gait parameters are commonly reported, but their stability over durations representative of a typical continuous run remains poorly understood. This study investigated the stability and temporal structure of key spatiotemporal and kinetic parameters during a 30 min easy-paced treadmill run (13 km∙h−1 [...] Read more.
Gait parameters are commonly reported, but their stability over durations representative of a typical continuous run remains poorly understood. This study investigated the stability and temporal structure of key spatiotemporal and kinetic parameters during a 30 min easy-paced treadmill run (13 km∙h−1) while participants wore familiar and unfamiliar every day running shoes. Step-level data were analysed across the full time series and in sequential 1 min epochs to determine how long each parameter took to reach practical stability and whether this differed between shoe conditions. Approximately 2450 steps were analysed per condition. Within-participant variability was low (CV < 2.5%) for all parameters and conditions except for peak impact force (CV = 6.9–7.0%) and average loading rate (CV = 8.4–8.7%). Detrended fluctuation analysis (DFA-α) indicated persistent temporal structure for stride duration, swing time, and active peak force, whereas loading-phase kinetics showed weak long-range dependence. No significant differences were observed between shoe conditions for variability or temporal structure, although ground contact time was significantly longer when participants wore unfamiliar shoes. Practical windows of stability relative to each participant’s 30 min mean ranged from 11 to 17 min for spatiotemporal variables, 9 to 17 min for active peak force, and within the first minute for impact-related parameters and impulse. These findings indicate that studies examining spatiotemporal and kinetic parameters during easy-paced treadmill running require 11–17 min of continuous data to obtain 1 min epoch estimates that are practically stable relative to 30 min averages, regardless of footwear familiarity. Full article
(This article belongs to the Special Issue Applied Biomechanics: Sports Performance and Rehabilitation)
Show Figures

Figure 1

12 pages, 2262 KB  
Article
Insights into the Oxidation Mechanism and Oxidative Stability of Nettle (Urtica dioica L.) Seed Oil: Differential Scanning Calorimetry and Ozawa–Flynn–Wall Method
by Jelena Mitrović, Nada Nikolić, Ivana Karabegović, Ivan Ristić, Dani Dordevic, Saša Savić and Bojana Danilović
Processes 2026, 14(6), 887; https://doi.org/10.3390/pr14060887 - 10 Mar 2026
Viewed by 223
Abstract
Oxidation of oils is a free-radical cascade of reactions leading to the formation of undesirable odors and tastes, nutrient degradation, and potentially harmful compounds. To better understand the oxidation process, the kinetic parameters were examined depending on the degree of conversion (0 ≤ [...] Read more.
Oxidation of oils is a free-radical cascade of reactions leading to the formation of undesirable odors and tastes, nutrient degradation, and potentially harmful compounds. To better understand the oxidation process, the kinetic parameters were examined depending on the degree of conversion (0 ≤ α ≤ 1) in this study. This approach provides insight into the complexity of the oxidative mechanism and allows a more reliable evaluation of the oxidative stability of nettle seed oil and its behavior during thermal treatment. A non-isothermal DSC method was applied, and kinetic parameters including the activation energy (Ea), the pre-exponential factor (A), and the reaction rate constant (k) were evaluated by applying the isoconversional Ozawa–Flynn–Wall method. Based on kinetic parameters, a simulation of oil oxidation at constant temperature (22 °C) was performed and the oil induction time was estimated. This value was compared to the ones obtained by OXITEST method. The observed conversion-dependent kinetic parameters demonstrate the complex oxidation behavior of nettle seed oil and justify the application of conversion-sensitive kinetic models to accurately describe its thermal stability. The induction period obtained under accelerated oxidation conditions suggests satisfactory oxidative stability of oil and highlights its potential suitability for nutritional and functional applications. Full article
(This article belongs to the Section Food Process Engineering)
Show Figures

Figure 1

16 pages, 1634 KB  
Article
Radiobiological Effects of Low-Dose Radiation in Normal Fibroblasts of Patients with Head and Neck Cancer Treated with Induction Chemotherapy Combined with Low-Dose Fractionated Radiation
by Gabriela Winiarska, Tomasz Rutkowski, Adam Gądek, Wojciech Fidyk, Magdalena Głowala-Kosińska, Urszula Kacorzyk, Krzysztof Składowski and Dorota Słonina
Int. J. Mol. Sci. 2026, 27(6), 2525; https://doi.org/10.3390/ijms27062525 - 10 Mar 2026
Viewed by 200
Abstract
The aim of the study was to define radiobiological effects of single and fractionated low doses in normal fibroblasts in 40 patients with squamous cell carcinoma of the head and neck (HNSCC) treated with induction chemotherapy combined with low-dose fractionated radiation (LDFR) and [...] Read more.
The aim of the study was to define radiobiological effects of single and fractionated low doses in normal fibroblasts in 40 patients with squamous cell carcinoma of the head and neck (HNSCC) treated with induction chemotherapy combined with low-dose fractionated radiation (LDFR) and to answer the question regarding the role of low-dose hyper-radiosensitivity (HRS) in these effects. HRS status was determined using flow cytometry-based clonogenic survival assay (cells were irradiated with doses 0.1–4 Gy of 6 MV X-rays). Radiobiological effects (cell kill, kinetics of DSB recognition and repair, chemopotentiation) of LDFR 4x0.5 Gy and a single dose of 2, 0.5 and 0.2 Gy were estimated by clonogenic, pATM and γH2AX foci assays. HRS response was demonstrated for normal fibroblasts in 6 of the 40 HNSCC patients. For all assessed biological parameters, significant interindividual differences were observed. The presence of HRS had no effect on the chemopotentiating effects of LDFR 4x0.5 Gy, which were similar to that after 2 Gy. There was also no association between HRS and the maximum number of pATM and γH2AX foci induced by single (0.2, 0.5, 2 Gy) or fractionated low doses 4x0.5 Gy. Significantly higher percentages of residual pATM and γH2AX foci observed after LDFR 4x0.5 Gy than after 2 Gy were independent of HRS. HRS is a rare finding (15%) in normal fibroblasts from HNSCC patients; therefore, it is of rather little importance in healthy late-reacting connective tissues. Moreover, the fibroblast response to single and fractionated low doses (alone or in combination with carboplatin and paclitaxel) appeared more dependent on individual radiosensitivity than on HRS. Full article
(This article belongs to the Section Molecular Oncology)
Show Figures

Figure 1

18 pages, 2320 KB  
Article
Understanding the Oxidation Electrochemistry of Adsorbed Eugenol on a Glassy Carbon Electrode Modified with Electrochemically Partially Reduced Graphene Oxide: A Theoretical and Experimental Approach
by Gastón Darío Pierini, Edgardo Maximiliano Gavilán-Arriazu, Sergio Antonio Rodriguez, Sebastián Noel Robledo, Héctor Fernández and Adrian Marcelo Granero
Int. J. Mol. Sci. 2026, 27(5), 2461; https://doi.org/10.3390/ijms27052461 - 7 Mar 2026
Viewed by 265
Abstract
The electro-oxidation of eugenol (EUG) natural antioxidant was studied by cyclic voltammetry in phosphate buffer solutions (PBS) of different pH at electrochemically partially reduced graphene oxide (GCE/ePRGO). The voltammetric responses were mainly controlled by adsorption at this modified electrode. Current values were higher [...] Read more.
The electro-oxidation of eugenol (EUG) natural antioxidant was studied by cyclic voltammetry in phosphate buffer solutions (PBS) of different pH at electrochemically partially reduced graphene oxide (GCE/ePRGO). The voltammetric responses were mainly controlled by adsorption at this modified electrode. Current values were higher at pH 2.0 PBS, therefore, this pH was chosen to perform all experiments. DFT calculations of pKa’s and standard potentials defined the possible pathways of eugenol and its oxidation products. These pathways were evaluated through the comparison of voltammetric simulations of adsorbed species with experiments at pH 2.0, which also allowed for the estimation of the values of the kinetic parameters involved in electrochemistry. Our findings suggest a multi-step redox process in which Eugenol is first oxidized to the radical species and then to a cationic product. At this stage, the pathways branch into to methylenquinone and a 4-allyl-1,2-diquinone molecules. 4-allyl-1,2-diquinone is finally reduced in single or double reversible electrochemical step to the hydroquinone species. The present physicochemical work allows for a deeper understanding of the eugenol oxidation mechanism, which was only partially proposed in previous studies. Full article
(This article belongs to the Special Issue Advances in Electrochemical Detection Research: A Molecular Insight)
Show Figures

Graphical abstract

22 pages, 1697 KB  
Article
Quality Evaluation and Shelf-Life Prediction of a Mixed Mango and Passion Fruit Smoothie Under Dimethyl Dicarbonate Treatment and Packaging Interventions
by Saeid Jafari, Nateekarn Rungroj, Mohammad Fikry, Muhammad Umar, Khursheed Ahmad Shiekh, Isaya Kijpatanasilp, Sochannet Chheng, Dharmendra K. Mishra and Kitipong Assatarakul
Foods 2026, 15(5), 913; https://doi.org/10.3390/foods15050913 - 6 Mar 2026
Viewed by 228
Abstract
This study investigated shelf-life prediction of a cold-stored mixed mango–passion fruit smoothie (60:40) using kinetic modeling to compare the effects of dimethyl dicarbonate (DMDC, 250 ppm), pasteurization (90 °C for 100 s), and packaging type (glass vs. polyethylene terephthalate (PET)) during six weeks [...] Read more.
This study investigated shelf-life prediction of a cold-stored mixed mango–passion fruit smoothie (60:40) using kinetic modeling to compare the effects of dimethyl dicarbonate (DMDC, 250 ppm), pasteurization (90 °C for 100 s), and packaging type (glass vs. polyethylene terephthalate (PET)) during six weeks at 4 °C. Physicochemical parameters, functional properties (total phenolic content, total flavonoid content, and antioxidant activity by 2,2-diphenyl-1-picrylhydrazyl (DPPH) and Ferric Reducing Antioxidant Power assay (FRAP), and microbial stability were monitored weekly. Zero- and first-order kinetic models were applied to describe quality changes, with the first-order model showing superior fit (average R2 = 0.936). pH remained relatively stable (p > 0.05), while total soluble solids (TSS) gradually declined in all treatments from approximately 16–17 °Brix to 13–14 °Brix by week 6. PET packaging resulted in a significantly higher total color difference (ΔE) than glass by the end of storage (p ≤ 0.05), particularly in DMDC-treated samples. Pasteurization reduced initial polyphenol oxidase (PPO) activity by 44–56% compared with untreated and DMDC-treated samples (p ≤ 0.05), whereas PET generally exhibited higher residual PPO activity than glass. DMDC treatment better preserved antioxidant capacity, phenolics, and flavonoids, with significantly higher DPPH and FRAP values than controls at week 6 (p ≤ 0.05). Microbiologically, DMDC effectively suppressed total viable counts (<5 log CFU/mL) and yeast and mold (<3 log CFU/mL), outperforming pasteurization. Shelf-life was estimated at 27–29 days for pasteurization and 41–42 days for DMDC (250 ppm), particularly when combined with glass packaging. Overall, the DMDC–glass combination demonstrated strong potential as a non-thermal preservation approach for fruit beverages. Full article
(This article belongs to the Special Issue Processing Methods in Plant-Based Foods)
Show Figures

Graphical abstract

22 pages, 11811 KB  
Article
Optimization of Pyrolysis Kinetics and Blending Ratio of Salix psammophila and Corn Stover Under a Nitrogen Atmosphere Based on TG-DTG and SEM
by Zhen Li, Hongyu Fu, Jinlu Yu, Hongqiang Wang, Wenkai Wang and Chao Fan
Sustainability 2026, 18(5), 2566; https://doi.org/10.3390/su18052566 - 5 Mar 2026
Viewed by 229
Abstract
Understanding the thermal decomposition behavior and kinetic characteristics of blended biomass is crucial for optimizing thermochemical conversion processes. This study systematically investigates the synergistic pyrolysis (thermal decomposition) behavior of Salix psammophila (SP) and corn stover (CS) under a nitrogen atmosphere, with particular emphasis [...] Read more.
Understanding the thermal decomposition behavior and kinetic characteristics of blended biomass is crucial for optimizing thermochemical conversion processes. This study systematically investigates the synergistic pyrolysis (thermal decomposition) behavior of Salix psammophila (SP) and corn stover (CS) under a nitrogen atmosphere, with particular emphasis on process behavior and reaction kinetics (and thermodynamic feasibility). Based on elemental and proximate analyses, SP provides high calorific value and lignin content, while CS contributes high volatile matter and cellulose, enabling complementary interaction during thermal conversion. Three blending ratios (CS:SP = 2:1, 3:1, and 5:2) were analyzed using scanning electron microscopy (SEM), Fourier-transform infrared spectroscopy (FTIR), thermogravimetric analysis (TGA), and kinetic evaluation via the Coats–Redfern, Flynn–Wall–Ozawa (FWO), and Kissinger–Akahira–Sunose (KAS) methods, together with thermodynamic parameter estimation (ΔH, ΔS, and ΔG). The results indicate that the 3:1 blend forms an optimized “continuous phase–dispersed phase” structure with an interfacial transition layer of 11–15 μm and uniformly distributed fine pores, promoting effective heat and mass transfer and facilitating volatile-release pathways across the blend interface. At a heating rate of 15 °C·min−1, this blend exhibits the lowest onset temperature of rapid mass loss (Tonset, 209 °C), the highest comprehensive pyrolysis performance index (SN, 3.01), and stable DTG profiles. Kinetic analysis confirmed that the 3:1 blend exhibits the lowest activation energy during the devolatilization stage, indicating enhanced reaction feasibility under inert conditions. The results provide mechanistic insight into biomass blending effects and offer guidance for process optimization in inert-atmosphere thermochemical conversion systems. Full article
Show Figures

Figure 1

19 pages, 451 KB  
Article
A Mathematical Model of Cysteine-Driven Metabolic Adaptation to Hypoxia in Ovarian Cancer
by José A. Rodrigues, Sofia C. Nunes, Cristiano Ramos, Luis G. Gonçalves and Jacinta Serpa
Bioengineering 2026, 13(3), 300; https://doi.org/10.3390/bioengineering13030300 - 4 Mar 2026
Viewed by 395
Abstract
Ovarian cancer progression is strongly influenced by tumour hypoxia and associated oxidative stress. Experimental evidence indicates that cysteine availability supports ovarian cancer cell fitness under hypoxic conditions, yet the quantitative integration of cysteine metabolism, redox control, and energetic maintenance remains incompletely understood. We [...] Read more.
Ovarian cancer progression is strongly influenced by tumour hypoxia and associated oxidative stress. Experimental evidence indicates that cysteine availability supports ovarian cancer cell fitness under hypoxic conditions, yet the quantitative integration of cysteine metabolism, redox control, and energetic maintenance remains incompletely understood. We present a reduced mechanistic mathematical model describing intracellular cysteine allocation between glutathione (GSH) synthesis and hydrogen sulfide production under experimentally imposed hypoxia. The model integrates extracellular cysteine uptake, GSH-dependent reactive oxygen species (ROS) detoxification, hypoxia-amplified ROS generation, and redox-modulated ATP maintenance. Parameter estimation was performed using experimentally derived extracellular metabolite fluxes measured over a 24 h interval. Uncertainty was assessed via bootstrap resampling, and variance-based sensitivity analysis was conducted within (patho)physiologically constrained parameter domains. The calibrated model reproduces extracellular fluxes with relative deviations below 7% and identifies GSH synthesis capacity as the dominant determinant of ATP maintenance within experimentally supported ranges. Hydrogen sulfide (H2S) production exerts a secondary stabilising influence, whereas hypoxia-driven ROS amplification negatively impacts energetic state. Numerical continuation across hypoxia levels reveals distinct qualitative response regions but does not imply a formal bifurcation structure. Importantly, intracellular metabolite dynamics are inferred as latent variables consistent with extracellular constraints and established biochemical knowledge; the model does not uniquely identify intracellular pool sizes or enzyme kinetics. The framework therefore provides flux-consistent mechanistic plausibility rather than direct intracellular validation. This systems-level analysis supports cysteine allocation as a quantitatively influential control point in hypoxic adaptation and establishes a constrained modelling framework for subsequent metabolic network expansions and experimental validation. Full article
(This article belongs to the Special Issue Multiscale PDE–Agent-Based Modeling in Health and Disease)
Show Figures

Figure 1

19 pages, 2404 KB  
Article
Metabolic Flux Analysis of Escherichia coli Based on Kinetic Model and Genome-Scale Metabolic Network Model
by Zhiren Gan, Jingyan Jiang, Mengxuan Zhou, Qihang Tao, Jinpeng Yang, Renquan Guo, Xueliang Li, Jian Ding and Zhenggang Xie
Fermentation 2026, 12(3), 134; https://doi.org/10.3390/fermentation12030134 - 4 Mar 2026
Viewed by 560
Abstract
The application of Genome-Scale Metabolic Network Models (GSMM) in fermentation optimization is hampered by challenges in differentiating viable from dead cells and parameter distortion induced by conventional detection methods. Using E. coli BL21(DE3) as the model organism, this study developed a flux analysis [...] Read more.
The application of Genome-Scale Metabolic Network Models (GSMM) in fermentation optimization is hampered by challenges in differentiating viable from dead cells and parameter distortion induced by conventional detection methods. Using E. coli BL21(DE3) as the model organism, this study developed a flux analysis strategy that couples cell kinetics with GSMM. Key parameters were estimated using the gradient descent algorithm, thereby enabling precise prediction of viable cell concentration and glucose consumption dynamics. Integrating this with the Quadratic Programming-based parsimonious Flux Balance Analysis (QP-pFBA) algorithm, intracellular metabolic reaction fluxes were quantified. Results demonstrated that the model can effectively differentiate viable from dead cells; Batch D, adopting the gradient-increasing feeding strategy, achieved the maximum specific growth rate (μmax) of 0.6457, the highest among the four batches. Moreover, key metabolic reaction fluxes were highly correlated with the feeding strategy. This framework forgoes specialized, high-cost equipment and offers robust cross-strain/process adaptability, thereby greatly advancing GSMM utility. It provides a powerful tool for precise fermentation control and accelerates the shift toward data-driven biomanufacturing. Full article
(This article belongs to the Special Issue Applied Microorganisms and Industrial/Food Enzymes, 3rd Edition)
Show Figures

Figure 1

27 pages, 1917 KB  
Article
Machine Learning and Approximated Estimation Approaches for Process Design in Drug Synthesis
by Andrea Repetto, Gianguido Ramis and Ilenia Rossetti
Chemistry 2026, 8(3), 32; https://doi.org/10.3390/chemistry8030032 - 3 Mar 2026
Viewed by 447
Abstract
The continuous-flow technologies in organic synthesis for the production of active pharmaceutical ingredients (APIs) are nowadays more and more applied. In-silico process design is a powerful tool able to support organic synthesis in the field of scale-up and process development. Process design feasibility [...] Read more.
The continuous-flow technologies in organic synthesis for the production of active pharmaceutical ingredients (APIs) are nowadays more and more applied. In-silico process design is a powerful tool able to support organic synthesis in the field of scale-up and process development. Process design feasibility and reliability depend on the availability of a well-defined chemical reaction kinetic scheme, information which is usually derived from experimental datasets collected on purpose. The latter approach is time-consuming and demanding in terms of resources. Different possibilities are here proposed to valorize widely available experimental data from explorative works with different approaches, depending on the nature, richness, and structure of the datasets. The kinetic parameters (i.e., reaction order, kinetic constant, and activation energy) of some interesting organic reactions have been approximately estimated by applying different computational methodologies, thanks to built-in experimental databases. The numerical algebra approach dealing with linear and non-linear regression analysis for the kinetic parameters has been initially considered and related to the database information for oseltamivir synthesis. The Bayesian statistic was applied to the ibuprofen case through the application of the Markov Chain Monte Carlo (MCMC) method for reaction order estimation. At last, a Machine Learning (ML) approach has been applied to the Rolipram and Pregabalin case study. The in-house developed T-ReX experimental kinetic constant database was exploited, with application of the k-Nearest neighbor algorithm for classification and regular expression pattern recognition. Advantages and limitations of the three approaches are discussed. Full article
(This article belongs to the Special Issue AI and Big Data in Chemistry)
Show Figures

Graphical abstract

22 pages, 2507 KB  
Article
Acidogenic Anaerobic Digestion of Municipal Wastewater: Temperature Effects on Organic Carbon Kinetics, VFA Production, and Implications for Nutrient Removal
by Manuel L. Aguado, Francisco Vázquez, S. Fernando F. Calatrava, Arturo F. Chica and Mª Ángeles Martín
Clean Technol. 2026, 8(2), 28; https://doi.org/10.3390/cleantechnol8020028 - 28 Feb 2026
Viewed by 371
Abstract
Biological wastewater treatment relies primarily on activated sludge and anaerobic digestion for the removal of organic matter. In urban wastewater treatment plants discharging into eutrophication-sensitive environments, the simultaneous removal of carbon, nitrogen, and phosphorus is required to meet increasingly stringent discharge limits. Under [...] Read more.
Biological wastewater treatment relies primarily on activated sludge and anaerobic digestion for the removal of organic matter. In urban wastewater treatment plants discharging into eutrophication-sensitive environments, the simultaneous removal of carbon, nitrogen, and phosphorus is required to meet increasingly stringent discharge limits. Under these conditions, the transformation of complex organic matter into volatile fatty acids (VFAs) represents a more efficient strategy than complete mineralization, as biodegradable carbon is essential to sustain biological nitrogen and phosphorus removal processes. In this study, an anaerobic sequencing batch reactor was operated under acidogenic conditions to promote the conversion of organic matter into VFAs. For the first time, this study demonstrates how temperature-controlled acidogenic pretreatment can reliably supply biodegradable carbon to support efficient downstream nitrogen and phosphorus removal in municipal wastewater treatment. A kinetic model was developed to describe the temporal evolution of the different carbon fractions involved in anaerobic digestion, including biodegradable and non-biodegradable organic matter, intermediate compounds, short-chain volatile fatty acids, and biogas. The model assumes first-order kinetics and constant biomass concentration and was successfully validated against experimental data, with deviations below 10%. Estimated kinetic constants exhibited a strong temperature dependence, particularly for hydrolysis and acidogenic pathways, whereas methanogenic steps showed lower sensitivity. Overall, the results demonstrate that temperature is a key operational parameter governing acidogenic performance and carbon transformation pathway. The simple and novel proposed kinetic model provides a useful tool for predicting VFA production and optimizing anaerobic pretreatment strategies aimed at enhancing downstream nutrient removal processes. Optimizing SBR operation for nutrient removal also offers sustainability benefits by improving resource efficiency and reducing energy and chemical inputs. Full article
(This article belongs to the Collection Water and Wastewater Treatment Technologies)
Show Figures

Figure 1

23 pages, 2175 KB  
Article
Sustainable Assessment of Exergetic, Energetic, Greenhouse Gas Emissions and Quality Performance During Ultrasound–Assisted Microwave–Convective Drying of Dill Leaves
by Kazem Sasani, Yousef Abbaspour-Gilandeh, Mohammad Kaveh, Iman Golpour and José Daniel Marcos
Appl. Sci. 2026, 16(4), 2108; https://doi.org/10.3390/app16042108 - 21 Feb 2026
Viewed by 255
Abstract
Dill is a valuable herb recognized for its rich nutritional composition and bioactive properties. Drying is an efficient preservation technique for maintaining its quality characteristics and ensuring longer storage stability. Incorporating ultrasonic pretreatment before the drying process can significantly reduce energy consumption (SEC) [...] Read more.
Dill is a valuable herb recognized for its rich nutritional composition and bioactive properties. Drying is an efficient preservation technique for maintaining its quality characteristics and ensuring longer storage stability. Incorporating ultrasonic pretreatment before the drying process can significantly reduce energy consumption (SEC) and greenhouse gas emissions. To the best of our knowledge, this is the first study to comprehensively evaluate ultrasound-assisted hybrid microwave–convective drying of dill (Anethum graveolens L.) leaves, focusing on the combined effects on drying kinetics, energetic and exergetic performance, providing an indirect emission estimate and multiple quality attributes. This study aimed to evaluate the drying kinetics, energy and exergy performance parameters, greenhouse gas emissions, quality properties (water activity, rehydration ratio and color) and antioxidant capacity of dill leaves dried by the microwave–hot-air (MW-HA) technique combined with ultrasonic (US) pretreatment. The experiments were conducted at MW power levels of 20%, 40%, and 60% (corresponding to a total output of 900 W), air temperatures of 40 and 60 °C, and US pretreatment durations of 0, 10, and 30 min. The results illustrated that rising MW power, air temperature and US duration significantly reduced the drying time, SEC and greenhouse gas emissions. At higher process conditions, specifically, 40% MW power, 60 °C drying temperature, and 30 min US pretreatment, the maximum energy efficiency (10.17%) and exergy efficiency (11.35%) were obtained. In terms of quality attributes, the best results were achieved at 40% MW power, 60 °C air temperature, and 10 min ultrasonic pretreatment, with reduced water activity (0.258), minimal color variation (ΔE = 11.44), improved rehydration ratio (3.88), and high retention of antioxidant activity. These findings demonstrate the potential of ultrasound pretreatment to enhance drying performance by reducing energy use and emissions while improving quality and antioxidant retention in dill, offering new guidelines for sustainable processing of this herb. Future studies should optimize microwave–hot-air-drying conditions to balance energy efficiency, exergy, and product quality. Full article
Show Figures

Figure 1

22 pages, 3687 KB  
Article
Modelling Transdermal Permeation of Volatiles from Complex Product Formulations
by Zhihao Zhong, Guoping Lian, Tao Chen and Yuan Yu
Pharmaceutics 2026, 18(2), 221; https://doi.org/10.3390/pharmaceutics18020221 - 9 Feb 2026
Viewed by 464
Abstract
Background: The evaporation of volatile ingredients from topical formulations strongly influences transdermal permeation and overall bioavailability, yet coupled evaporation–permeation dynamics are mostly simplified or neglected in existing models. Methods: We developed a mechanistic framework that couples Fickian gas-phase evaporation and transdermal [...] Read more.
Background: The evaporation of volatile ingredients from topical formulations strongly influences transdermal permeation and overall bioavailability, yet coupled evaporation–permeation dynamics are mostly simplified or neglected in existing models. Methods: We developed a mechanistic framework that couples Fickian gas-phase evaporation and transdermal permeation, both driven by the activity coefficients of volatiles. The model equations are implemented in a hybrid MATLAB–Python architecture with the volatile activity computed on-the-fly using UNIFAC and the gas-phase diffusivity calculated by the kinetic equation of Fuller–Schettler–Giddings (FSG). Initial validation used published IVPT data for 4-Tolunitrile and Nitrobenzene. Results: For 4-Tolunitrile, the FSG-based model estimated an initial evaporation coefficient of Kevap,i = 7.9348 × 10−10 mol·cm−2·s−1, and parameter optimization converged to 8.3929 × 10−11 mol·cm−2·s−1 (≈1/10 of the FSG estimate). The optimized model predicted an accumulation amount of 19.15% versus an experimental value of 16.97% in the receptor fluid (RF) at 24 h. For Nitrobenzene, the FSG initial estimation value of Kevap,i = 6.6480 × 10−10 mol·cm−2·s−1 was optimized to 8.1174 × 10−11 mol·cm−2·s−1 (≈1/8 of the FSG value), and the predicted amount of 24 h RF is 27.61% (experimental 23.19%). Both optimized Kevap,i values are roughly one order of magnitude lower than the initial FSG estimates, but >20× larger than Stokes–Einstein (SE)-derived values. Sensitivity scans show that further tuning of internal skin parameters (e.g., diffusion coefficient (DSC,i) and partition coefficient (PSCw,i)) produced only marginal improvements in RF prediction once Kevap,i was optimized. Conclusions: The coupled evaporation–permeation framework reproduces key IVPT kinetics for volatile solutes when the effective evaporation coefficient is calibrated. The kinetic-theory estimates (FSG-based) are a reasonable starting point, but typically overestimate the evaporation rate constant under finite-dose unoccluded IVPT conditions. By implementing the on-the-fly computation of volatile activity using UNIFAC, the approach is extensible to modelling transdermal permeation of volatiles from multicomponent/non-ideal formulations. Full article
Show Figures

Figure 1

Back to TopTop