Sign in to use this feature.

Years

Between: -

Subjects

remove_circle_outline
remove_circle_outline
remove_circle_outline
remove_circle_outline
remove_circle_outline
remove_circle_outline
remove_circle_outline

Journals

Article Types

Countries / Regions

Search Results (31)

Search Parameters:
Keywords = jarosite residue

Order results
Result details
Results per page
Select all
Export citation of selected articles as:
18 pages, 2433 KB  
Article
Thermodynamic Assessment of the Pyrometallurgical Recovery of a Pb-Ag Alloy from a Mixture of Ammonium Jarosite–Lead Paste Wastes
by Jose Enrique Sanchez Vite, Alejandro Cruz Ramírez, Manuel Eduardo Flores Favela, Ricardo Gerardo Sánchez Alvarado, José Antonio Romero Serrano, Margarita García Hernández, Teresita del Refugio Jiménez Romero and Juan Cancio Jiménez Lugos
Recycling 2025, 10(4), 136; https://doi.org/10.3390/recycling10040136 - 8 Jul 2025
Cited by 2 | Viewed by 2604
Abstract
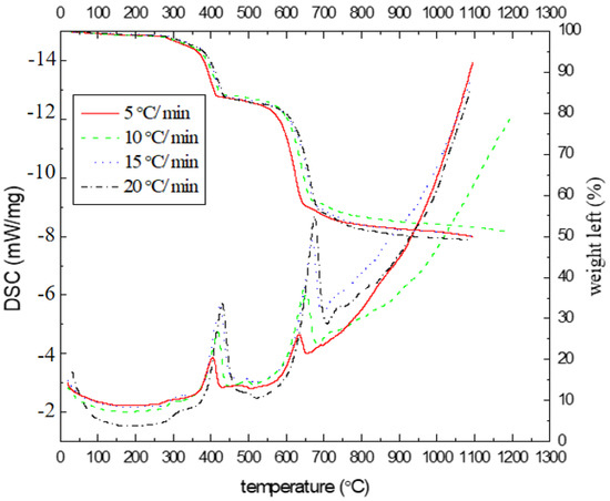
A previously pyrometallurgical process, developed to obtain a Pb-Ag alloy and a slag rich in sulfur from the recycling of a mixture of industrial wastes of jarosite and lead paste, was thermodynamically assessed at 1200 °C. The industrial jarosite sourced from a Mexican [...] Read more.
A previously pyrometallurgical process, developed to obtain a Pb-Ag alloy and a slag rich in sulfur from the recycling of a mixture of industrial wastes of jarosite and lead paste, was thermodynamically assessed at 1200 °C. The industrial jarosite sourced from a Mexican zinc hydrometallurgical plant corresponded to an ammonium jarosite with a measurable silver content. The specific heat capacity (Cp) of the ammonium jarosite was obtained from TGA and DSC measurements, as well as the thermodynamic functions of enthalpy, entropy, and Gibbs free energy. The Cp was successfully modeled using polynomial regression, with a second-degree polynomial employed to describe the low-temperature behavior. The thermodynamic data generated were input into the thermodynamic software FactSage 8.2 for modeling of the lead paste–ammonium jarosite-Na2CO3-SiC system and represented by stability phase diagrams. The thermodynamic assessment of the pyrometallurgical process predicted compounds formed at high temperatures, showing that a Pb-Ag alloy and a slag rich in Na, S, and Fe (NaFeS2 and NaFeO2) were obtained. The compounds formed evidence of the effective sulfur retention in the slag, which is crucial for mitigating SO2 emissions during high-temperature treatments. The experimental compounds, after solidification, were determined by X-ray diffraction measurements to be Na2Fe(SO4)2 and Na2(SO4), which reasonably match the thermodynamic assessment. The heat capacity of the ammonium jarosite provides essential thermodynamic insights into the compositional complexities of industrial waste, which are particularly relevant for thermodynamic modeling and process optimization in pyrometallurgical systems aimed at metal recovery and residue valorization. Full article
Show Figures

Figure 1

20 pages, 5672 KB  
Article
New Process for Efficient Separation and Comprehensive Recovery of Valuable Metals from Jarosite Residues
by Qi Zhou, Jian Pan, Deqing Zhu, Congcong Yang, Zhengqi Guo, Siwei Li and Xianqing Xu
Metals 2025, 15(2), 171; https://doi.org/10.3390/met15020171 - 8 Feb 2025
Viewed by 1088
Abstract
Jarosite residue (JR), a hazardous solid waste generated in non-ferrous metallurgy, poses significant environmental challenges due to its large volume and poor storage stability. However, its high content of valuable metals (such as iron, zinc, gallium, indium, silver, …) makes its efficient recovery [...] Read more.
Jarosite residue (JR), a hazardous solid waste generated in non-ferrous metallurgy, poses significant environmental challenges due to its large volume and poor storage stability. However, its high content of valuable metals (such as iron, zinc, gallium, indium, silver, …) makes its efficient recovery and comprehensive utilization highly significant. This study investigates the “oxidative roasting–reductive smelting” process for JR treatment. The reduction thermodynamics of JR-R (roasted JR) were analyzed, and the effects of smelting temperature, time, and slag basicity on the reduction and smelting process were examined. The results indicate that increasing slag basicity and temperature generally decreases slag viscosity. Thermodynamic calculations demonstrate that reductive smelting effectively enriches valuable metals (>1039 °C). The optimal conditions for reductive smelting of JR were determined to be as follows: smelting temperature of 1550 °C, smelting time of 60 min, and slag basicity of 0.9. Under these conditions, the process achieved an Fe grade of 92.87% in pig iron with a recovery rate of 90.66%, a Ga grade of 377 g/t with a recovery rate of 94.91%, and Zn and In volatilization rates of 99.91% and 83.36%, respectively. This study provides a feasible approach for the comprehensive recovery of valuable metals such as Ga, Fe, Zn, and In from JR, offering promising economic and social benefits. Full article
Show Figures

Graphical abstract

16 pages, 2518 KB  
Article
Leveraging Industrial Jarosite Waste for Arsenic(V) and Chromium(III) Adsorption from Water: A Preliminary Study
by Montserrat Cruz-Hernández, Alondra García-Cerón, Ramón G. Salinas Maldonado, Irma A. Corro-Escorcia, Juan Hernández-Ávila, Eduardo Cerecedo-Sáenz, Javier Flores-Badillo, Norman Toro, Manuel Saldana, M. P. Gutiérrez-Amador, F. R. Barrientos-Hernández and Eleazar Salinas-Rodríguez
Appl. Sci. 2025, 15(3), 1469; https://doi.org/10.3390/app15031469 - 31 Jan 2025
Cited by 1 | Viewed by 1824
Abstract
The global problem of water scarcity is exacerbated by the continued contamination of potable water sources. This preliminary study investigates the potential of a hazardous industrial jarosite waste to adsorb As(V) and Cr(III) from contaminated waters. The results showed that this mining waste [...] Read more.
The global problem of water scarcity is exacerbated by the continued contamination of potable water sources. This preliminary study investigates the potential of a hazardous industrial jarosite waste to adsorb As(V) and Cr(III) from contaminated waters. The results showed that this mining waste effectively adsorbed both As(V) and Cr(III), demonstrating its potential as a low-cost and sustainable solution for water remediation along with the use of a hazardous waste that also contaminates. The adsorption process was optimized, and the effects of various parameters on the adsorption capacity were investigated. The findings of this study suggest that the use of toxic mining residues in porous concrete could provide a promising approach for the removal of toxic heavy metals from polluted water sources, contributing to the development of more sustainable and environmentally friendly water treatment technologies. A maximum adsorption of 90.6% of As(V) and 96.3% of Cr(III) was achieved, and it was verified that the industrial jarosite initially contained about 0.44% As, which was later leached during decomposition; again, the industrial jarosite was able to re-adsorb both As(V) and Cr(III). Full article
(This article belongs to the Special Issue Pathways for Water Conservation)
Show Figures

Figure 1

22 pages, 33681 KB  
Article
Geochemistry and Mineralogy of Precipitates from Passive Treatment of Acid Mine Drainage: Implications for Future Management Strategies
by Joaquín Delgado, Olivia Lozano, Diana Ayala, Domingo Martín and Cinta Barba-Brioso
Minerals 2025, 15(1), 15; https://doi.org/10.3390/min15010015 - 26 Dec 2024
Cited by 2 | Viewed by 1863
Abstract
Traditional mining activities in Zaruma-Portovelo (SE Ecuador) have led to high concentrations of pollutants in the Puyango River due to acid mine drainage (AMD) from abandoned waste. Dispersed alkaline substrate (DAS) passive treatment systems have shown efficacy in neutralizing acidity and retaining metals [...] Read more.
Traditional mining activities in Zaruma-Portovelo (SE Ecuador) have led to high concentrations of pollutants in the Puyango River due to acid mine drainage (AMD) from abandoned waste. Dispersed alkaline substrate (DAS) passive treatment systems have shown efficacy in neutralizing acidity and retaining metals and sulfates in acidic waters, achieving near a 100% retention for Fe, Al, and Cu, over 70% for trace elements, and 25% for SO42−. However, significant solid residues are generated, requiring proper geochemical and mineralogical understanding for management. This study investigates the fractionation of elements in AMD precipitates. Results indicate that Fe3+ and Al3+ predominantly precipitate as low-crystallinity oxyhydroxysulfate minerals such as schwertmannite [Fe3+16(OHSO4)12–13O16·10–12H2O] and jarosite [KFe3+3(SO4)2(OH)6], which retain elements like As, Cr, Cu, Pb, and Zn through adsorption and co-precipitation processes. Sulfate removal occurs via salts like coquimbite [AlFe3(SO4)6(H2O)12·6H2O] and gypsum [CaSO4·2H2O]. Divalent metals are primarily removed through carbonate and bicarbonate phases, with minerals such as azurite [Cu(OH)2·2CuCO3], malachite [Cu2(CO3)(OH)2], rhodochrosite [MnCO3], and calcite [CaCO3]. Despite the effectiveness of DAS, leachates from the precipitates exceed regulatory thresholds for aquatic life protection, classifying them as hazardous and posing environmental risks. However, these residues offer opportunities for the recovery of valuable metals. Full article
(This article belongs to the Special Issue Environmental Pollution and Assessment in Mining Areas)
Show Figures

Graphical abstract

11 pages, 4433 KB  
Article
Waste Minimization of Lead Paste and Jarosite to Recover a Silver-Rich Alloy by the Pyrometallurgical Route
by Jose Enrique Sanchez Vite, Alejandro Cruz Ramírez, Manuel Eduardo Flores Favela, José Antonio Romero Serrano, Miguel Pérez Labra, Víctor Hugo Gutiérrez Pérez, Ricardo Gerardo Sánchez Alvarado and Juan Cancio Jiménez Lugos
Recycling 2024, 9(6), 119; https://doi.org/10.3390/recycling9060119 - 5 Dec 2024
Cited by 2 | Viewed by 2108
Abstract
A silver-rich lead alloy was obtained through the recycling of two metallurgical wastes: these are lead paste obtained from spent lead–acid batteries and a jarosite residue obtained from the hydrometallurgical production of zinc. Mixtures of both wastes were pyrometallurgically treated with sodium carbonate [...] Read more.
A silver-rich lead alloy was obtained through the recycling of two metallurgical wastes: these are lead paste obtained from spent lead–acid batteries and a jarosite residue obtained from the hydrometallurgical production of zinc. Mixtures of both wastes were pyrometallurgically treated with sodium carbonate in a silicon carbide crucible at 1200 °C. The alloy and slag produced were analyzed by atomic absorption spectrometry, X-ray diffraction, and scanning electron microscopy with energy-dispersive spectra. High silver recovery was obtained in a Pb-Ag alloy for a mixture ratio of 30% Na2CO3–40% lead paste–30% jarosite, reaching a silver grade of 126 ppm. The slags produced for the highest jarosite content allow the compound formation of Na2(SO4) and Na2Fe(SO4)2, which have high sulfur-fixing, avoiding SO2 release and contributing to the minimization of atmospheric pollution. The novel pyrometallurgical route addresses not only the valorization of precious metals such as silver and lead but also the reduction in accumulated industrial waste. Full article
Show Figures

Figure 1

11 pages, 2965 KB  
Article
Recovery of Silver and Lead from Jarosite Residues by Roasting and Reducing Pyrometallurgical Processes
by Cancio Jiménez-Lugos, Manuel Flores-Favela, Antonio Romero-Serrano, Aurelio Hernández-Ramírez, Josué López-Rodríguez, Lorena Cuéllar-Herrera and Eduardo Colin-García
Metals 2024, 14(8), 954; https://doi.org/10.3390/met14080954 - 22 Aug 2024
Cited by 7 | Viewed by 1962
Abstract
This work focuses on the recovery of lead and silver from jarosite waste by a three-stage process: drying, roasting and reduction at 100 °C, 700 °C and 1400 °C, respectively. A flux mixture with 48 mass% CaO and 52% SiO2 was used [...] Read more.
This work focuses on the recovery of lead and silver from jarosite waste by a three-stage process: drying, roasting and reduction at 100 °C, 700 °C and 1400 °C, respectively. A flux mixture with 48 mass% CaO and 52% SiO2 was used for the reduction stage. A gas consisting of 70 vol% CO and 30 vol% CO2 was used as a reducing agent. To select the temperatures and the amount of flux and reducing agent, a characterization of the jarosite waste was carried out using thermogravimetry and high-temperature X-ray diffraction, as well as a thermodynamic study of the effects of the process parameters. The lead-rich metallic and slag phases were characterized by chemical analysis, SEM-EDS and XRD. In addition, the jarosite residue and the final slag were leached with an aqueous acetic acid solution to estimate their chemical stability. The results show a recovery of over 95% of the lead and silver and the formation of an environmentally friendly residual slag. Full article
(This article belongs to the Section Extractive Metallurgy)
Show Figures

Figure 1

18 pages, 11415 KB  
Article
Copper, Zinc, and Lead Recovery from Jarosite Pb–Ag Tailings Waste (Part 2)
by Vesna Conić, Miloš Janošević, Dragana S. Božić, Ljiljana Avramović, Ivana Jovanović, Dejan M. Bugarin and Stefan Đorđievski
Minerals 2024, 14(8), 791; https://doi.org/10.3390/min14080791 - 31 Jul 2024
Cited by 3 | Viewed by 1868
Abstract
The present paper describes the technological solution for obtaining Cu, Zn, Pb, and Ag from jarosite waste raw material, with its simultaneous separation from In and Fe. By roasting at low temperatures, iron was transformed from the Fe2(SO4)3 [...] Read more.
The present paper describes the technological solution for obtaining Cu, Zn, Pb, and Ag from jarosite waste raw material, with its simultaneous separation from In and Fe. By roasting at low temperatures, iron was transformed from the Fe2(SO4)3 form into Fe2O3, which is insoluble in water and slightly soluble in acid. Copper sulfate and zinc sulfate are present in jarosite as sulfates. During temperature roasting, the copper and zinc were still in the form of CuSO4 and ZnSO4, i.e., they were easily dissolved in water. This procedure led to good selectivity of Cu and Zn compared to Fe. After water leaching, PbSO4 and Ag2SO4 remained in the solid residue. By treating jarosite with a content of 0.7% Cu, 5.39% Zn, and 5.68% Pb, products of commercial quality were obtained. By roasting jarosite in an electric furnace and leaching the roasted sample in water, leaching degrees of 91.07%, 91.97%, and 9.60% were obtained for Cu, Zn, and Fe, respectively. Using 1 M NaOH in the leaching solution, 99.93% Fe was precipitated to pH = 4. Cu in the form of CuSO4 was further treated by cementation with Zn, after which cement copper was obtained as a commercial product. Zn in the form of ZnSO4 was further treated by precipitation with Na2CO3 to obtain ZnCO3 concentrate of commercial grade. The total recovery of Pb and Ag, which were treated by chloride leaching, was 96.05% and 87.5%, respectively. The resulting NaPbCl3 solution was further treated with Na2CO3 solution, whereby PbCO3 was obtained as a commercial product. The produced PbCO3 could be further subjected to roasting to obtain soluble PbO. In these investigations, PbCO3 was smelted where a Pb anode was obtained; this was electrolytically refined to a Pb cathode. The proposed process does not pollute the environment with As and Cd. Full article
(This article belongs to the Section Mineral Processing and Extractive Metallurgy)
Show Figures

Graphical abstract

13 pages, 5834 KB  
Article
Utilization of Flotation Wastewater for Separation of Chalcopyrite and Molybdenite by Selective Surface Passivation
by Yuwu Guo, Guohua Gu, Yisheng Zhang, Qingke Li, Su Liao and Yanhong Wang
Minerals 2024, 14(4), 388; https://doi.org/10.3390/min14040388 - 8 Apr 2024
Viewed by 1642
Abstract
In the flotation separation process of a Cu-Mo-W polymetallic ore, the wastewater from the scheelite cleaning flowsheet contains large numbers of residual flocculants and metal ions, and the separation of chalcopyrite and molybdenite requires a large number of environmentally harmful depressants. Therefore, it [...] Read more.
In the flotation separation process of a Cu-Mo-W polymetallic ore, the wastewater from the scheelite cleaning flowsheet contains large numbers of residual flocculants and metal ions, and the separation of chalcopyrite and molybdenite requires a large number of environmentally harmful depressants. Therefore, it is necessary to find new methods to reduce the environmental and cost pressures of wastewater treatment and the use of depressants. In this work, the flotation wastewater from the scheelite cleaning flowsheet for the separation of chalcopyrite and molybdenite by selective surface passivation was investigated for the first time. Flotations of single minerals and artificially mixed minerals with or without immersion pretreatment in the presence and absence of aeration were performed. The results showed that pulp pH had no effect on the flotation of either mineral, and a molybdenite recovery of 93.22% with a chalcopyrite recovery of 10.77% was achieved under the conditions of 10 days of immersion pretreatment with aeration, 350 mg/L of kerosene, and 100 mg/L of MIBC. By combining the electrochemical cyclic voltammetry analysis and characterization by XRD and SEM, the selective surface passivation mechanism of chalcopyrite was discussed, which could be due to the coverage of the insoluble oxidation products, especially jarosite. This work has simultaneously achieved the depressant-free flotation separation of molybdenite and chalcopyrite and the reuse of scheelite flotation wastewater, which is of great significance for environmental protection and cost saving. Full article
Show Figures

Figure 1

23 pages, 29101 KB  
Article
Unveiling High-Tech Metals in Roasted Pyrite Wastes from the Iberian Pyrite Belt, SW Spain
by Lola Yesares, José María González-Jiménez, Francisco Abel Jiménez-Cantizano, Igor González-Pérez, David Caro-Moreno and Isabel María Sánchez
Sustainability 2023, 15(15), 12081; https://doi.org/10.3390/su151512081 - 7 Aug 2023
Cited by 6 | Viewed by 3072
Abstract
The Iberian Pyrite Belt (IPB), in the southwestern Iberian Peninsula, is a large metallogenic province exploited since ancient times. As a result of historical and current mining activity, a vast volume of metallic mineral waste, mainly derived from the processing of pyrite, is [...] Read more.
The Iberian Pyrite Belt (IPB), in the southwestern Iberian Peninsula, is a large metallogenic province exploited since ancient times. As a result of historical and current mining activity, a vast volume of metallic mineral waste, mainly derived from the processing of pyrite, is still in situ and polluting the environment. A specific mine waste residuum locally known in the area as “morrongos”, which was produced during pyrite roasting mainly in the 19th century, is evaluated here in order to unravel untapped resources of high-tech metals commonly used in high-tech devices. Applying a combination of whole-rock geochemical (ICP-AES, ICPMS, FA-AAS) and single-grain mineralogical techniques (EPMA, LA-ICP-MS, FESEM, and FIB-HRTEM) on the “morrongos”, we unhide the still-present remarkable concentrations of Au, Ag, Pb, Zn, and Cu in them. The mineralogical expressions for these economic metals include oxides (hematite, magnetite, and hercynite), arsenates, sulfates of the jarosite group, native metals, and, to a lesser extent, relictic sulfides. This first-ever estimation of these economic metals in this type of residue allows their revalorization, highlighting them as suitable sources for the exploitation and recovery of metals necessary for the clean energy transition. Full article
(This article belongs to the Special Issue Sustainable Mining and Circular Economy)
Show Figures

Figure 1

17 pages, 5597 KB  
Article
Physicochemical Properties and Leaching Toxicity Assessment of Jarosite Residue
by Jun Peng, Hui Liu, Luhua He, Zhumei Sun, Yanmei Peng, Xiaofang Huang and Xu Yan
Sustainability 2023, 15(12), 9472; https://doi.org/10.3390/su15129472 - 13 Jun 2023
Cited by 3 | Viewed by 2277
Abstract
The safe disposal of hazardous waste from zinc hydrometallurgy, such as jarosite residue, is crucial for the sustainable development of the industry. The chemical, structural and morphological properties of jarosite residue from zinc smelting were studied by a combination of various characterizations, and [...] Read more.
The safe disposal of hazardous waste from zinc hydrometallurgy, such as jarosite residue, is crucial for the sustainable development of the industry. The chemical, structural and morphological properties of jarosite residue from zinc smelting were studied by a combination of various characterizations, and environmental stability was evaluated using the toxicity characteristic leaching procedure (TCLP), Chinese standard leaching tests (CSLT) and long-term leaching experiments (LTLE). Phase composition analysis revealed that zinc ferrite and sodium jarosite were the main phases present in the jarosite residue. TCLP and CSLT analyses indicated that the Zn and Pb contents exceeded their respective toxicity identification standards by more than 30 times and 8 times, respectively, exceeding the threshold values of the standard. The LTLE results demonstrated that Pb concentrations continued to exceed the standard limits, even after long contact times. This study has paramount significance in the prediction of jarosite residue stability and the evaluation of its potential for secondary environmental pollution. Full article
(This article belongs to the Special Issue Sustainable Recycling of Solid Waste and Wastewater Treatment)
Show Figures

Figure 1

16 pages, 2328 KB  
Article
Lead Release from Simulated Lead-Containing Jarosite Using Freeze–Thaw Cycling with EDTA
by Jun Peng, Yujun Shen, Hui Liu, Luhua He, Yangjin Wei and Xu Yan
Minerals 2023, 13(6), 769; https://doi.org/10.3390/min13060769 - 3 Jun 2023
Viewed by 1674
Abstract
Lead is the primary toxic element found in jarosite residue; it is necessary to synthesize simulated lead-containing jarosite residue (SLJS) to investigate its lead release behavior and predict the slag’s stability and potential for secondary environmental pollution. This study explores the ion release [...] Read more.
Lead is the primary toxic element found in jarosite residue; it is necessary to synthesize simulated lead-containing jarosite residue (SLJS) to investigate its lead release behavior and predict the slag’s stability and potential for secondary environmental pollution. This study explores the ion release behavior, leaching toxicity, and stability of SLJS during freeze–thaw cycles with EDTA (E-FTC). Experimental results demonstrate that the release of lead, iron, and sulfate from SLJS under E-FTC is contingent upon multiple factors, including solution pH, EDTA concentration, freeze–thaw cycles, freezing temperature, and freeze–thaw mode. Specifically, employing an EDTA concentration of 200 mM, a pH of 6, a freezing temperature of −20 °C, and 12 freeze–thaw cycles, the lead release reaches 15.1 mM, accounting for 94.9% of the total lead content, while iron is negligibly released, thus enabling effective separation of lead from iron. Subsequent to E-FTC, the exchangeable lead content exhibits a substantial reduction, accompanied by a marked increase in residual lead, resulting in a remarkable 98% reduction in leaching toxicity. Moreover, the equilibrium concentration of lead in the continuous stable leaching solution is 0.13 mg/L, significantly below the lead toxicity threshold (5 mg/L). Therefore, environmental stability can be greatly enhanced. This study presents a novel approach for the safe disposal of jarosite residue under mild conditions and at low temperatures, contributing to the broader field of environmentally sustainable waste management. Full article
(This article belongs to the Special Issue Comprehensive Utilization of Metallurgical Slag)
Show Figures

Figure 1

14 pages, 2729 KB  
Article
Effect of Thiourea on Lead Release from Lead-Bearing Jarosite under Freeze–Thaw Cycling
by Jun Peng, Hui Liu, Yujun Shen, Luhua He, Yangjin Wei and Xu Yan
Metals 2023, 13(6), 1053; https://doi.org/10.3390/met13061053 - 31 May 2023
Cited by 1 | Viewed by 1952
Abstract
Lead is a toxic factor in jarosite residue, and it is important to study its release behavior from simulated lead jarosite residue (LSJ) to predict the stability of the jarosite residue and its impact on the environment. This study investigated the ion release [...] Read more.
Lead is a toxic factor in jarosite residue, and it is important to study its release behavior from simulated lead jarosite residue (LSJ) to predict the stability of the jarosite residue and its impact on the environment. This study investigated the ion release behavior, leaching toxicity, stability, and ion migration of LSJ during freeze–thaw cycling with thiourea (T-FTC). The release of lead, iron, and sulfate radicals from lead jarosite via T-FTC was influenced by several factors. Under specific conditions, the amount of lead released was 6.09 mM/L, which accounted for 38.3% of the total lead. After the T-FTC treatment, the residual lead increased, and the leaching toxicity and long-term stable equilibrium concentration of lead were reduced to 42.1 mg/L and 12.4 mg/L, respectively, which decreased by 82% and 84%, respectively and led to improved environmental stability. This study provides a novel approach for the safe disposal of jarosite residue under low-temperature and mild conditions, and the results can be used to predict the stability of jarosite residue and its secondary pollution in the environment. Full article
Show Figures

Figure 1

15 pages, 4767 KB  
Article
The Synthesis of Lead-Bearing Jarosite and Its Occurrence Characteristic and Leaching Toxicity Evaluation
by Jun Peng, Luhua He, Hui Liu, Zhumei Sun and Xu Yan
Metals 2023, 13(5), 941; https://doi.org/10.3390/met13050941 - 12 May 2023
Cited by 5 | Viewed by 2146
Abstract
Lead is the main toxic factor in jarosite residue. It is important to study the release behavior of lead from simulated lead-bearing jarosite (SLBJ) for predicting the stability of jarosite residue and its secondary pollution to the environment. To identify the technical issues [...] Read more.
Lead is the main toxic factor in jarosite residue. It is important to study the release behavior of lead from simulated lead-bearing jarosite (SLBJ) for predicting the stability of jarosite residue and its secondary pollution to the environment. To identify the technical issues and limitations associated with its safe disposal, a comprehensive analysis of the chemical, structural, and morphological characteristics of SLBJ was conducted using various detection techniques including XRF, XRD, SEM-EDS, FTIR, XPS, etc. The environmental stability of SLBJ was assessed through the toxicity characteristic leaching procedure (TCLP), Chinese standard leaching tests (CSLT), and a long-term leaching experiment (LTLE). Phase composition analysis revealed that the primary components of SLBJ are sodium jarosite and lead sulfate. TCLP and CSLT results indicated that lead content surpassed the toxicity identification standard limit by more than 47 times. Furthermore, LTLE indicated that the lead concentration surpassed the standard limit about 15 times after prolonged contact time. This study is of great significance for predicting the stability of jarosite residue and its secondary pollution to the environment. Full article
Show Figures

Figure 1

16 pages, 5972 KB  
Article
Indium Recovery from Jarosite Pb–Ag Tailings Waste (Part 1)
by Miloš Janošević, Vesna Conić, Dragana Božić, Ljiljana Avramović, Ivana Jovanović, Željko Kamberović and Saša Marjanović
Minerals 2023, 13(4), 540; https://doi.org/10.3390/min13040540 - 12 Apr 2023
Cited by 8 | Viewed by 2958
Abstract
The processing of zinc ore using hydrometallurgical methods leads to the formation and accumulation of a by-product called jarosite, which contains concentrated precious metals. In this study, we propose the recovery of In and its separation from Cu, Zn, Fe, Pb, and Ag. [...] Read more.
The processing of zinc ore using hydrometallurgical methods leads to the formation and accumulation of a by-product called jarosite, which contains concentrated precious metals. In this study, we propose the recovery of In and its separation from Cu, Zn, Fe, Pb, and Ag. This study also presents a proposal for a new technological procedure for jarosite treatment. First we roasted the jarosite, and then the calcine collected was leached in water. The leaching extraction values obtained for Cu, Zn, Fe, and In were 91.07%, 91.97%, 9.60%, and 100.0%, respectively. Following the leaching of the roasted material in water, Pb, Ag, and most of the Fe obtained remained in the solid residue. The leaching solution was treated further by a precipitation process using NaOH, where In and Fe were precipitated and consequently separated from Cu and Zn. The In (OH)3 and Fe(OH)3 precipitates were dissolved further in a diluted H2SO4 solution, and then the cementation of In with Al was performed. We used HCl acid to remove Al from the In, after which unwrought In was obtained. Full article
Show Figures

Figure 1

10 pages, 1595 KB  
Article
Thermal Decomposition Process Analysis of Jarosite Residue
by Diankun Lu, Yunlong Bai, Wei Wang, Yan Fu, Feng Xie, Yongfeng Chang and Yuexin Han
Metals 2023, 13(2), 261; https://doi.org/10.3390/met13020261 - 29 Jan 2023
Cited by 10 | Viewed by 2967
Abstract
In this work, a mineralogical study and thermal decomposition analysis of jarosite residue sample from a zinc plant were carried out. The mineralogical analysis showed that the jarosite residue is mainly composed of four components, including jarosites, sulfates–hydroxides, sulfides and spinel. The distribution [...] Read more.
In this work, a mineralogical study and thermal decomposition analysis of jarosite residue sample from a zinc plant were carried out. The mineralogical analysis showed that the jarosite residue is mainly composed of four components, including jarosites, sulfates–hydroxides, sulfides and spinel. The distribution of relevant metallic elements in these components was characterized using a sequential extraction process. The X-ray diffraction results showed that AFe3(OH)6(SO4)2 and ZnFe2O4 are the main components of the jarosite residue sample. The thermal decomposition mechanisms of ammoniojarosite and sodium jarosite were studied by TG-DSC (Thermogravimetric analysis–differential scanning calorimetry). The thermal decomposition process and the corresponding mechanism of the jarosite residue were analyzed. The jarosite thermal decomposition process includes the removal of crystal water, dihydroxylation and deammoniation, desulfonation of component jarosite and desulfonation of component zinc sulfate. Full article
(This article belongs to the Section Metal Casting, Forming and Heat Treatment)
Show Figures

Figure 1

Back to TopTop